PGTI: Pose-Graph Topological Integrity for Map Quality Assessment in SLAM
Abstract
1. Introduction
- We introduce PGTI, a multi-scale measure that helps assess the correctness of pose graphs, which provides both graph-level and per-vertex measurements.
- We propose a simple map topology representation combining the pose graph with the free-space constraints.
- We establish and exploit a theoretical connection between error propagation in pose graphs and heat diffusion on graphs to derive a heat-kernel-based topological integrity metric.
2. Related Works
2.1. Pose Graphs and Map Structure
2.2. Covariance-Based Map Optimality in SLAM
2.3. Map Topology in Graph-Based SLAM and Navigation
3. Notations and Preliminaries
3.1. Notations for Map Representation
3.2. Formulation of PGO
3.3. Brief Introduction of HKS
4. Heat Diffusion and PGO
4.1. Relative Consensus Problem and PGO
4.2. Consensus Problem as a Heat Diffusion Process
4.3. PGO: Relative Consensus on Nonlinear Spaces
5. Pose-Graph Topological Integrity
5.1. Construction of Support Graphs
5.2. Inconsistency Score Vector
5.3. Overall Integrity Metric
5.4. Discussion on Motivation
- Least square view: Solving the normal equation gives an incremental pose update that minimizes the linearized PGO objective at each step.
- Heat diffusion view: Integrating in a time parameter t yields the same solution at , which exposes topology through HKS. Moreover, applying steady-state condition to the diffusion equation with external force exactly yields , which again confirms the equivalence.
6. Experimental Results
6.1. Experimental Setting
6.2. Comparison Between Metrics
6.3. Case Studies About Inconsistency Classification
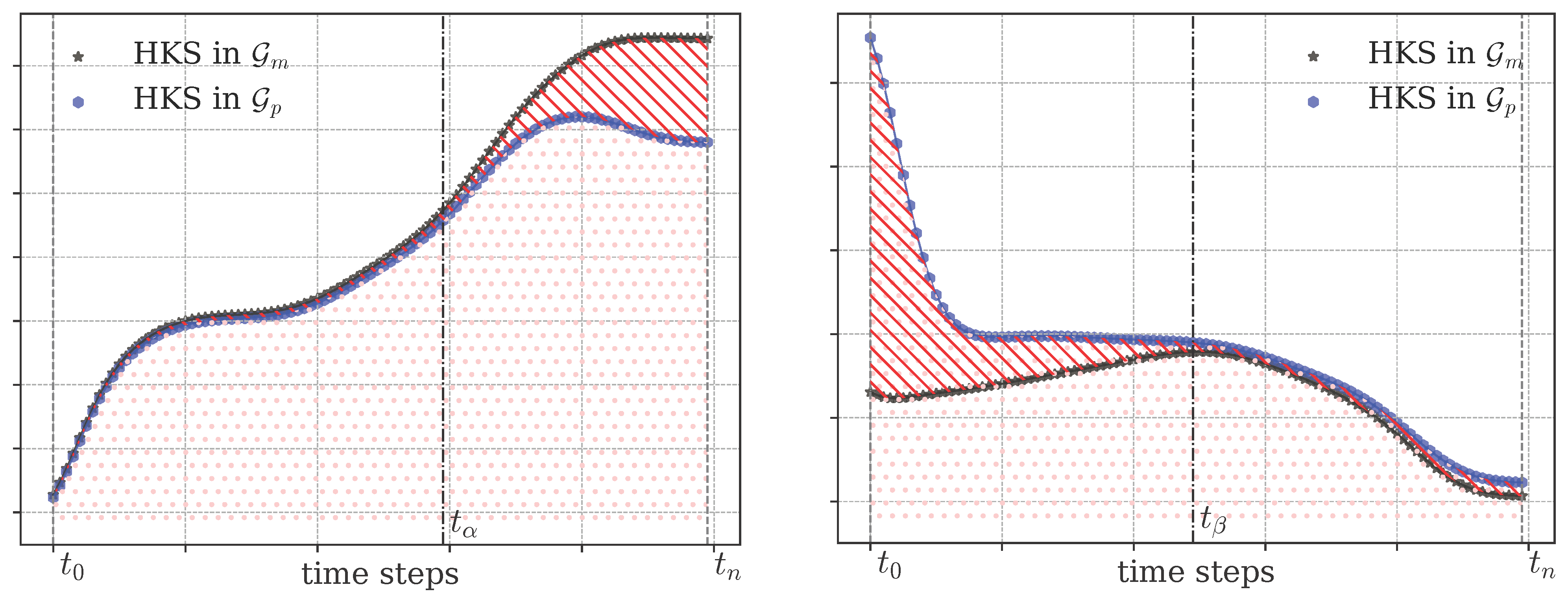
6.3.1. Time-Cut Inconsistency Test
6.3.2. Results Interpretation
6.3.3. Discussion on Experiment Results
6.4. Time Complexity
7. Limitations
8. Conclusions
Supplementary Materials
Author Contributions
Funding
Data Availability Statement
Conflicts of Interest
References
- Kümmerle, R.; Grisetti, G.; Strasdat, H.; Konolige, K.; Burgard, W. g2o: A general framework for graph optimization. In Proceedings of the 2011 IEEE International Conference on Robotics and Automation, Shanghai, China, 9–13 May 2011; IEEE: Piscataway, NJ, USA, 2011; pp. 3607–3613. [Google Scholar]
- Strasdat, H. Local Accuracy and Global Consistency for Efficient Visual SLAM. Ph.D. Thesis, Department of Computing, Imperial College London, London, UK, 2012. [Google Scholar]
- Rodríguez-Arévalo, M.L.; Neira, J.; Castellanos, J.A. On the importance of uncertainty representation in active SLAM. IEEE Trans. Robot. 2018, 34, 829–834. [Google Scholar] [CrossRef]
- Chen, Y.; Huang, S.; Fitch, R. Active SLAM for mobile robots with area coverage and obstacle avoidance. IEEE/ASME Trans. Mechatronics 2020, 25, 1182–1192. [Google Scholar] [CrossRef]
- Carrillo, H.; Reid, I.; Castellanos, J.A. On the comparison of uncertainty criteria for active SLAM. In Proceedings of the 2012 IEEE International Conference on Robotics and Automation, St. Paul, MN, USA, 14–18 May 2012; IEEE: Piscataway, NJ, USA, 2012; pp. 2080–2087. [Google Scholar]
- Chen, Y.; Huang, S.; Fitch, R.; Zhao, L.; Yu, H.; Yang, D. On-line 3D active pose-graph SLAM based on key poses using graph topology and sub-maps. In Proceedings of the 2019 International Conference on Robotics and Automation (ICRA), Montreal, QC, Canada, 20–24 May 2019; IEEE: Piscataway, NJ, USA, 2019; pp. 169–175. [Google Scholar]
- Zou, D.; Tan, P.; Yu, W. Collaborative visual SLAM for multiple agents: A brief survey. Virtual Real. Intell. Hardw. 2019, 1, 461–482. [Google Scholar] [CrossRef]
- Blochliger, F.; Fehr, M.; Dymczyk, M.; Schneider, T.; Siegwart, R. Topomap: Topological mapping and navigation based on visual slam maps. In Proceedings of the 2018 IEEE International Conference on Robotics and Automation (ICRA), Brisbane, Australia, 21–25 May 2018; IEEE: Piscataway, NJ, USA, 2018; pp. 3818–3825. [Google Scholar]
- Chaplot, D.S.; Salakhutdinov, R.; Gupta, A.; Gupta, S. Neural topological slam for visual navigation. In Proceedings of the IEEE/CVF Conference on Computer Vision and Pattern Recognition, Seattle, WA, USA, 14–19 June 2020; pp. 12875–12884. [Google Scholar]
- Sun, J.; Ovsjanikov, M.; Guibas, L. A concise and provably informative multi-scale signature based on heat diffusion. Comput. Graph. Forum 2009, 28, 1383–1392. [Google Scholar] [CrossRef]
- Strasdat, H.; Montiel, J.; Davison, A.J. Scale Drift-Aware Large Scale Monocular SLAM. In Proceedings of the Robotics: Science and Systems, Zaragoza, Spain, 27–30 June 2010; MIT Press: Cambridge, MA, USA, 2011; Volume 2, p. 5. [Google Scholar]
- Grisetti, G.; Stachniss, C.; Burgard, W. Nonlinear constraint network optimization for efficient map learning. IEEE Trans. Intell. Transp. Syst. 2009, 10, 428–439. [Google Scholar] [CrossRef]
- Carlone, L.; Aragues, R.; Castellanos, J.A.; Bona, B. A fast and accurate approximation for planar pose graph optimization. Int. J. Robot. Res. 2014, 33, 965–987. [Google Scholar] [CrossRef]
- Werner, F.; Maire, F.; Sitte, J.; Choset, H.; Tully, S.; Kantor, G. Topological slam using neighbourhood information of places. In Proceedings of the 2009 IEEE/RSJ International Conference on Intelligent Robots and Systems, St. Louis, MO, USA, 11–15 October 2009; IEEE: Piscataway, NJ, USA, 2009; pp. 4937–4942. [Google Scholar]
- Xia, Y.; Li, J.; Qi, L.; Fan, H. Loop closure detection for visual SLAM using PCANet features. In Proceedings of the 2016 International Joint Conference on Neural Networks (IJCNN), Vancouver, BC, Canada, 24–29 July 2016; IEEE: Piscataway, NJ, USA, 2016; pp. 2274–2281. [Google Scholar]
- Lajoie, P.Y.; Hu, S.; Beltrame, G.; Carlone, L. Modeling perceptual aliasing in slam via discrete–continuous graphical models. IEEE Robot. Autom. Lett. 2019, 4, 1232–1239. [Google Scholar] [CrossRef]
- Xie, S.; Ishikawa, R.; Sakurada, K.; Onishi, M.; Oishi, T. Fast Structural Representation and Structure-aware Loop Closing for Visual SLAM. In Proceedings of the 2022 IEEE/RSJ International Conference on Intelligent Robots and Systems (IROS), Kyoto, Japan, 23–27 October 2022; IEEE: Piscataway, NJ, USA, 2022; pp. 6396–6403. [Google Scholar]
- Eudes, A.; Lhuillier, M. Error propagations for local bundle adjustment. In Proceedings of the 2009 IEEE Conference on Computer Vision and Pattern Recognition, Miami, FL, USA, 20–25 June 2009; IEEE: Piscataway, NJ, USA, 2009; pp. 2411–2418. [Google Scholar]
- Shi, P.; Zhu, Z.; Sun, S.; Rong, Z.; Zhao, X.; Tan, M. Covariance estimation for pose graph optimization in visual-inertial navigation systems. IEEE Trans. Intell. Veh. 2023, 8, 3657–3667. [Google Scholar] [CrossRef]
- Khosoussi, K.; Huang, S.; Dissanayake, G. Novel insights into the impact of graph structure on SLAM. In Proceedings of the 2014 IEEE/RSJ International Conference on Intelligent Robots and Systems, Chicago, IL, USA, 14–18 September 2014; IEEE: Piscataway, NJ, USA, 2014; pp. 2707–2714. [Google Scholar]
- Chen, Y.; Huang, S.; Zhao, L.; Dissanayake, G. Cramér–Rao bounds and optimal design metrics for pose-graph SLAM. IEEE Trans. Robot. 2021, 37, 627–641. [Google Scholar] [CrossRef]
- Placed, J.A.; Castellanos, J.A. A general relationship between optimality criteria and connectivity indices for active graph-SLAM. IEEE Robot. Autom. Lett. 2022, 8, 816–823. [Google Scholar] [CrossRef]
- Placed, J.A.; Rodríguez, J.J.G.; Tardós, J.D.; Castellanos, J.A. Explorb-slam: Active visual slam exploiting the pose-graph topology. In Proceedings of the Iberian Robotics Conference, Zaragoza, Spain, 23–25 November 2022; Springer: New York, NY, USA, 2022; pp. 199–210. [Google Scholar]
- Bai, R.; Guo, H.; Yau, W.Y.; Xie, L. Graph-based slam-aware exploration with prior topo-metric information. IEEE Robot. Autom. Lett. 2024, 9, 7597–7604. [Google Scholar] [CrossRef]
- Bai, R.; Yuan, S.; Guo, H.; Yin, P.; Yau, W.Y.; Xie, L. Multi-robot active graph exploration with reduced pose-slam uncertainty via submodular optimization. In Proceedings of the 2024 IEEE/RSJ International Conference on Intelligent Robots and Systems (IROS), Abu Dhabi, United Arab Emirates, 14–18 October 2024; IEEE: Piscataway, NJ, USA, 2024; pp. 10229–10236. [Google Scholar]
- Mur-Artal, R.; Tardós, J.D. ORB-SLAM2: An Open-Source SLAM System for Monocular, Stereo and RGB-D Cameras. IEEE Trans. Robot. 2017, 33, 1255–1262. [Google Scholar] [CrossRef]
- Campos, C.; Elvira, R.; Rodríguez, J.J.G.; Montiel, J.M.; Tardós, J.D. Orb-slam3: An accurate open-source library for visual, visual–inertial, and multimap slam. IEEE Trans. Robot. 2021, 37, 1874–1890. [Google Scholar] [CrossRef]
- Chen, Y.; Zhao, L.; Zhang, Y.; Huang, S.; Dissanayake, G. Anchor selection for SLAM based on graph topology and submodular optimization. IEEE Trans. Robot. 2021, 38, 329–350. [Google Scholar] [CrossRef]
- Kitanov, A.; Indelman, V. Topological belief space planning for active SLAM with pairwise Gaussian potentials and performance guarantees. Int. J. Robot. Res. 2024, 43, 69–97. [Google Scholar] [CrossRef]
- Rodríguez-Martínez, E.A.; Flores-Fuentes, W.; Achakir, F.; Sergiyenko, O.; Murrieta-Rico, F.N. Vision-based navigation and perception for autonomous robots: Sensors, SLAM, control strategies, and cross-domain applications—A review. Eng 2025, 6, 153. [Google Scholar] [CrossRef]
- Muravyev, K.; Yakovlev, K. Evaluation of topological mapping methods in indoor environments. IEEE Access 2023, 11, 132683–132698. [Google Scholar] [CrossRef]
- Sünderhauf, N.; Protzel, P. Towards a robust back-end for pose graph SLAM. In Proceedings of the 2012 IEEE International Conference on Robotics and Automation, St. Paul, MN, USA, 14–18 May 2012; IEEE: Piscataway, NJ, USA, 2012; pp. 1254–1261. [Google Scholar]
- Khosoussi, K.; Giamou, M.; Sukhatme, G.S.; Huang, S.; Dissanayake, G.; How, J.P. Reliable graphs for SLAM. Int. J. Robot. Res. 2019, 38, 260–298. [Google Scholar] [CrossRef]
- Vallvé, J.; Solà, J.; Andrade-Cetto, J. Graph SLAM sparsification with populated topologies using factor descent optimization. IEEE Robot. Autom. Lett. 2018, 3, 1322–1329. [Google Scholar] [CrossRef]
- Mu, B.; Giamou, M.; Paull, L.; Agha-mohammadi, A.a.; Leonard, J.; How, J. Information-based active SLAM via topological feature graphs. In Proceedings of the 2016 IEEE 55th Conference on Decision and Control (CDC), Las Vegas, NV, USA, 12–14 December 2016; IEEE: Piscataway, NJ, USA, 2016; pp. 5583–5590. [Google Scholar]
- Muravyev, K.; Melekhin, A.; Yudin, D.; Yakovlev, K. PRISM-TopoMap: Online topological mapping with place recognition and scan matching. IEEE Robot. Autom. Lett. 2025, 10, 3126–3133. [Google Scholar] [CrossRef]
- Muravyev, K.; Yakovlev, K. NavTopo: Leveraging Topological Maps for Autonomous Navigation of a Mobile Robot. In Proceedings of the International Conference on Interactive Collaborative Robotics, Mexico City, Mexico, 14–18 October 2024; Springer: New York, NY, USA, 2024; pp. 144–157. [Google Scholar]
- Xue, W.; Liu, P.; Miao, R.; Gong, Z.; Wen, F.; Ying, R. Navigation system with SLAM-based trajectory topological map and reinforcement learning-based local planner. Adv. Robot. 2021, 35, 939–960. [Google Scholar] [CrossRef]
- Lin, S.; Wang, J.; Xu, M.; Zhao, H.; Chen, Z. Topology aware object-level semantic mapping towards more robust loop closure. IEEE Robot. Autom. Lett. 2021, 6, 7041–7048. [Google Scholar] [CrossRef]
- Kwon, O.; Kim, N.; Choi, Y.; Yoo, H.; Park, J.; Oh, S. Visual graph memory with unsupervised representation for visual navigation. In Proceedings of the IEEE/CVF International Conference on Computer Vision, Montreal, QC, Canada, 11–17 October 2021; IEEE: Piscataway, NJ, USA, 2021; pp. 15890–15899. [Google Scholar]
- Zhao, G.; Li, Y.; Qi, W.; Zhang, K.; Liu, B.; Chen, K.; Li, H.; Ma, J. SLAM-Free Visual Navigation with Hierarchical Vision-Language Perception and Coarse-to-Fine Semantic Topological Planning. arXiv 2025, arXiv:2509.20739. [Google Scholar]
- Sepulchre, R. Consensus on nonlinear spaces. Annu. Rev. Control 2011, 35, 56–64. [Google Scholar] [CrossRef]
- Carlsson, G. Topology and data. Bull. Am. Math. Soc. 2009, 46, 255–308. [Google Scholar] [CrossRef]
- Xue, W.; Ying, R.; Gong, Z.; Miao, R.; Wen, F.; Liu, P. SLAM based topological mapping and navigation. In Proceedings of the 2020 IEEE/ION Position, Location and Navigation Symposium (PLANS), Portland, Oregon, USA, 20–23 April 2020; IEEE: Piscataway, NJ, USA, 2020; pp. 1336–1341. [Google Scholar]
- Geiger, A.; Lenz, P.; Urtasun, R. Are we ready for Autonomous Driving? The KITTI Vision Benchmark Suite. In Proceedings of the Conference on Computer Vision and Pattern Recognition (CVPR), Providence, RI, USA, 16–21 June 2012. [Google Scholar]
- Mohar, B. Eigenvalues, diameter, and mean distance in graphs. Graphs Comb. 1991, 7, 53–64. [Google Scholar] [CrossRef]
- Murai, R.; Dexheimer, E.; Davison, A.J. MASt3R-SLAM: Real-time dense SLAM with 3D reconstruction priors. In Proceedings of the IEEE/CVF Conference on Computer Vision and Pattern Recognition, Seattle, WA, USA, 17–21 June 2025; IEEE: Piscataway, NJ, USA, 2025; pp. 16695–16705. [Google Scholar]






| Symbol | Domain | Meaning |
|---|---|---|
| Graph | Pose graph | |
| Vertex | i-th keyframe (robot pose) in the pose graph | |
| Edge | Edge connecting vertices and in the pose graph | |
| Information matrix associated with edge | ||
| Number of landmarks associated with vertex | ||
| k-th landmark observed from keyframe | ||
| Radius of the minimum sphere lefted at | ||
| Lie group (e.g. ) | World-to-camera pose of keyframe i | |
| Lie group | Relative pose measurement from to | |
| Residual error vector for edge in PGO | ||
| Small increment in pose i in the Lie algebra | ||
| Group → Algebra | Logarithm map from a Lie group element to its Lie algebra vector | |
| Algebra → Group | Exponential map from a Lie algebra vector to the corresponding Lie group element | |
| Algebra | Hat: maps a vector in to a Lie algebra matrix | |
| Algebra | Vee: maps a Lie algebra matrix back to its vector form | |
| ⊕ | Group action | Pose update operator: applies increment to |
| Adjoint matrix of pose | ||
| Right Jacobian of the Lie group | ||
| Stacked Jacobian of all edge residuals in PGO |
| Symbol | Domain | Meaning |
|---|---|---|
| Graph | Free-space graph | |
| Graph | Merged graph | |
| Graph Laplacian associated with a graph | ||
| Laplacians of the pose graph and merged graph | ||
| — | k-th eigenvalue and eigenvector of a Laplacian . | |
| Logarithmically spaced time grids | ||
| Scaled diagonal heat-kernel value (Equation (4)) | ||
| HKS descriptor of vertex at times (Equation (3)) | ||
| Relative HKS distortion at vertex (topological inconsistency score, Equation (17)) | ||
| Vector of per-vertex inconsistency scores | ||
| PGTI integrity metric (Equation (18)) | ||
| — | Local and global parts of the time grid used in the -split test | |
| Partition ratio that splits into and |
| Metric | Interpretation | Multi- Scale Cap. | Vertex- Loc. Cap. |
|---|---|---|---|
| -opt | Spanning trees count change | ✗ | ✗ |
| -opt | Average degree change | ✗ | ✗ |
| -opt | Shift in | ✗ | ✗ |
| -opt | Shift in (algebraic connectivity) | ✗ | ✗ |
| Worst-case relative HKS change | ✓ | ✓ |
| Dataset | Graph Property | Separated PGTI at Different -Splits, | PGTI | |||||||
|---|---|---|---|---|---|---|---|---|---|---|
| (a) | KITTI-00 | 877 | 15,228 | 15,250 | (0.0146, 1.7554) | (0.0149, 2.0740) | (0.0522, 2.7790) | (0.1634, 4.7935) | (0.3988, 11.7651) | 1.3702 |
| (b) | KITTI-08 | 1019 | 18,388 | 18,424 | (0.0176, 2.2215) | (0.0317, 2.6169) | (0.0465, 3.5049) | (0.1974, 5.9635) | (0.5599, 8.8850) | 1.7096 |
| (c) | Campus-8 | 266 | 6015 | 7354 | (1.2473, 9.0408) | (1.7285, 10.7859) | (2.2552, 11.9005) | (2.7747, 12.5754) | (3.2776, 13.0900) | 4.7524 |
| (d) | Campus-9 | 277 | 6239 | 6399 | (0.4201, 0.3700) | (0.3982, 0.3818) | (0.3859, 0.3923) | (0.3828, 0.3984) | (0.3842, 0.4003) | 0.3890 |
| (e) | Campus-10 | 415 | 9596 | 10,392 | (0.5832, 3.8679) | (0.7446, 4.9282) | (0.9764, 6.2534) | (1.2768, 7.2474) | (1.6033, 7.6630) | 2.4414 |
| (f) | Campus-3 | 739 | 17,446 | 17,999 | (0.1074, 1.5604) | (0.1767, 1.9200) | (0.2770, 2.5624) | (0.3989, 3.8761) | (0.5525, 7.3810) | 1.2050 |
| (g) | Campus-4 | 489 | 11,036 | 11,206 | (0.0729, 1.5737) | (0.1737, 2.3355) | (0.3712, 3.9282) | (0.6123, 4.9457) | (0.7857, 4.8397) | 1.0533 |
| (h) | KITTI-13 | 1090 | 16,183 | 16,197 | (0.1507, 0.0032) | (0.1289, 0.0032) | (0.1104, 0.0026) | (0.0976, 0.0017) | (0.0894, 0.0008) | 0.0672 |
| (i) | KITTI-18 | 551 | 6420 | 6431 | (0.2185, 0.0691) | (0.1964, 0.0787) | (0.1829, 0.0993) | (0.1754, 0.1273) | (0.1717, 0.1578) | 0.1708 |
| (j) | Campus-7 | 450 | 8973 | 8976 | (0.0473, 0.0047) | (0.0418, 0.0055) | (0.0385, 0.0083) | (0.0369, 0.0155) | (0.0365, 0.0173) | 0.0365 |
Disclaimer/Publisher’s Note: The statements, opinions and data contained in all publications are solely those of the individual author(s) and contributor(s) and not of MDPI and/or the editor(s). MDPI and/or the editor(s) disclaim responsibility for any injury to people or property resulting from any ideas, methods, instructions or products referred to in the content. |
© 2025 by the authors. Licensee MDPI, Basel, Switzerland. This article is an open access article distributed under the terms and conditions of the Creative Commons Attribution (CC BY) license (https://creativecommons.org/licenses/by/4.0/).
Share and Cite
Xie, S.; Sakurada, K.; Ishikawa, R.; Onishi, M.; Oishi, T. PGTI: Pose-Graph Topological Integrity for Map Quality Assessment in SLAM. Robotics 2025, 14, 189. https://doi.org/10.3390/robotics14120189
Xie S, Sakurada K, Ishikawa R, Onishi M, Oishi T. PGTI: Pose-Graph Topological Integrity for Map Quality Assessment in SLAM. Robotics. 2025; 14(12):189. https://doi.org/10.3390/robotics14120189
Chicago/Turabian StyleXie, Shuxiang, Ken Sakurada, Ryoichi Ishikawa, Masaki Onishi, and Takeshi Oishi. 2025. "PGTI: Pose-Graph Topological Integrity for Map Quality Assessment in SLAM" Robotics 14, no. 12: 189. https://doi.org/10.3390/robotics14120189
APA StyleXie, S., Sakurada, K., Ishikawa, R., Onishi, M., & Oishi, T. (2025). PGTI: Pose-Graph Topological Integrity for Map Quality Assessment in SLAM. Robotics, 14(12), 189. https://doi.org/10.3390/robotics14120189
