Electrochemical Sensor for Rapid and Sensitive Detection of Tryptophan by a Cu2O Nanoparticles-Coated Reduced Graphene Oxide Nanocomposite
Abstract
:1. Introduction
2. Experimental
2.1. Materials
2.2. Apparatus
2.3. Preparation of Cu2O and Cu2O–GO Composites
2.4. Preparation of Modified Electrode
2.5. Electrochemical Measurements
3. Results and Discussion
3.1. XRD and SEM Characterizations
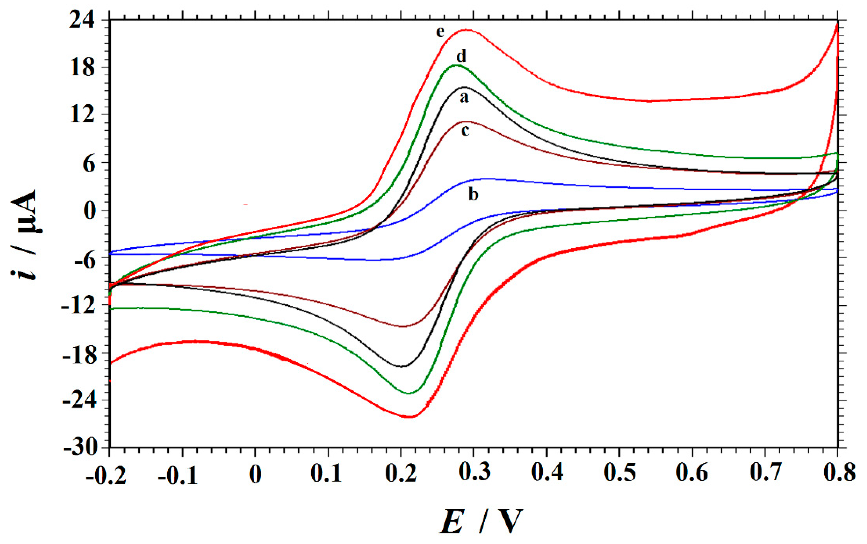
3.2. Electrochemical Characterization of Different Electrodes
3.3. Voltammetric Behavior of Trp at Different Electrodes
3.4. Effect of Scan Rate
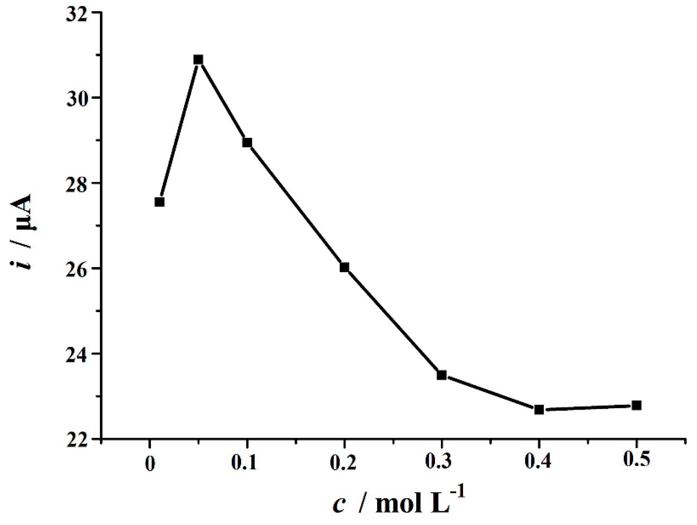
3.5. Optimization of Parameters for Trp Determination
3.6. Interference Studies
3.7. Calibration Curve and Limit of Detection
3.8. Repeatability, Reproducibility, and Stability of Cu2O–ERGO/GCE
3.9. Practical Applications
4. Conclusions
Author Contributions
Funding
Conflicts of Interest
References
- Gholivand, M.B.; Pashabadi, A.; Azadbakht, A.; Menati, S.A. nano-structured Ni(II)–ACDA modified gold nanoparticle self-assembled electrode for electrocatalytic oxidation and determination of tryptophan. Electrochim. Acta 2011, 56, 4022–4030. [Google Scholar] [CrossRef]
- Babaei, A.; Zendehdel, M.; Khalilzadeh, B.; Taheri, A. Simultaneous determination of tryptophan, uric acid and ascorbic acid at iron(III) doped zeolite modified carbon paste electrode. Colloids Surf. B Biointerfaces 2008, 66, 226–232. [Google Scholar]
- He, Q.; Liu, J.; Liang, J.; Liu, X.; Li, W.; Liu, Z.; Ding, Z.; Tuo, D. Towards Improvements for Penetrating the Blood–Brain Barrier—Recent Progress from a Material and Pharmaceutical Perspective. Cells 2018, 7, 24. [Google Scholar] [CrossRef] [PubMed]
- Zhang, L.; Li, Y.; Zhou, H.; Li, L.; Wang, Y.; Zhang, Y. Determination of eight amino acids in mice embryonic stem cells by precolumn derivatization HPLC with fluorescence detection. J. Pharm. Biomed. Anal. 2012, 66, 356–358. [Google Scholar] [CrossRef]
- Dario, M.F.; Freire, T.B.; de Oliveira Pinto, C.A.S.; Prado, M.S.A.; Baby, A.R.; Velasco, M.V.R. Tryptophan and kynurenine determination in human hair by liquid chromatography. J. Chromatogr. B 2017, 1065–1066, 59–62. [Google Scholar] [CrossRef]
- Jiao, L.; Bing, S.; Zhang, X.; Wang, Y.; Li, H. Determination of enantiomeric composition of tryptophan by using fluorescence spectroscopy combined with backward interval partial least squares. Anal. Methods 2015, 7, 4535–4540. [Google Scholar] [CrossRef]
- Gomez, F.J.; Martin, A.; Silva, M.F.; Escarpa, A. Microchip electrophoresis-single wall carbon nanotube press-transferred electrodes for fast and reliable electrochemical sensing of melatonin and its precursors. Electrophoresis 2015, 36, 1880–1885. [Google Scholar] [CrossRef] [PubMed]
- Lin, Z.J.; Chen, X.M.; Cai, Z.M.; Li, P.W.; Chen, X.; Wang, X.R. Chemiluminescence of tryptophan and histidine in Ru(bpy)32+-KMnO4 aqueous solution. Talanta 2008, 75, 544–550. [Google Scholar] [CrossRef] [PubMed]
- Lee, C.J.; Yang, J. α-Cyclodextrin-modified infrared chemical sensor for selective determination of tyrosine in biological fluids. Anal. Biochem. 2006, 359, 124–131. [Google Scholar]
- Mattioli, I.A.; Baccarin, M.; Cervini, P.; Cavalheiro, É.T.G. Electrochemical investigation of a graphite-polyurethane composite electrode modified with electrodeposited gold nanoparticles in the voltammetric determination of tryptophan. J. Electroanal. Chem. 2019, 835, 212–219. [Google Scholar] [CrossRef]
- Mukdasai, S.; Poosittisak, S.; Ngeontae, W.; Srijaranai, S. A highly sensitive electrochemical determination of L-tryptophan in the presence of ascorbic acid and uric acid using in situ addition of tetrabutylammonium bromide on the ß-cyclodextrin incorporated multi-walled carbon nanotubes modified electrode. Sens. Actuators B Chem. 2018, 272, 518–525. [Google Scholar] [CrossRef]
- Özcan, A.; Şahin, Y. A novel approach for the selective determination of tryptophan in blood serum in the presence of tyrosine based on the electrochemical reduction of oxidation product of tryptophan formed in situ on graphite electrode. Biosen. Bioelectron. 2012, 31, 26–31. [Google Scholar] [CrossRef] [PubMed]
- Ba, X.; Luo, L.; Ding, Y.; Liu, X. Determination of l-tryptophan in the presence of ascorbic acid and dopamine using poly(sulfosalicylic acid) modified glassy carbon electrode. Sens. Actuators B Chem. 2013, 187, 27–32. [Google Scholar] [CrossRef]
- Haldorai, Y.; Yeon, S.-H.; Huh, Y.S.; Han, Y.-K. Electrochemical determination of tryptophan using a glassy carbon electrode modified with flower-like structured nanocomposite consisting of reduced graphene oxide and SnO2. Sens. Actuators B Chem. 2017, 239, 1221–1230. [Google Scholar] [CrossRef]
- Li, C.; Ya, Y.; Zhan, G. Electrochemical investigation of tryptophan at gold nanoparticles modified electrode in the presence of sodium dodecylbenzene sulfonate. Colloids Surf. B Biointerfaces 2010, 76, 340–345. [Google Scholar] [CrossRef] [PubMed]
- Deng, P.; Xu, Z.; Feng, Y. Acetylene black paste electrode modified with graphene as the voltammetric sensor for selective determination of tryptophan in the presence of high concentrations of tyrosine. Mater. Sci. Eng. C 2014, 35, 54–60. [Google Scholar] [CrossRef] [PubMed]
- Tang, X.; Liu, Y.; Hou, H.; You, T. Electrochemical determination of L-Tryptophan, L-Tyrosine and L-Cysteine using electrospun carbon nanofibers modified electrode. Talanta 2010, 80, 2182–2186. [Google Scholar] [CrossRef]
- Jin, G.P.; Lin, X.Q. The electrochemical behavior and amperometric determination of tyrosine and tryptophan at a glassy carbon electrode modified with butyrylcholine. Electrochem. Commun. 2004, 6, 454–460. [Google Scholar] [CrossRef]
- Wu, F.-H.; Zhao, G.-C.; Wei, X.-W.; Yang, Z.-S. Electrocatalysis of tryptophan at multi-walled carbon nanotube modified electrode. Microchim. Acta 2004, 144, 243–247. [Google Scholar] [CrossRef]
- Li, J.; Jiang, J.; Xu, Z.; Liu, M.; Tang, S.; Yang, C.; Qian, D. Facile synthesis of Pd−Cu@Cu2O/N-RGO hybrid and its application for electrochemical detection of tryptophan. Electrochim. Acta 2018, 260, 526–535. [Google Scholar] [CrossRef]
- He, Q.; Liu, J.; Liu, X.; Li, G.; Chen, D.; Deng, P.; Liang, J. Fabrication of amine-modified magnetite-electrochemically reduced graphene oxide nanocomposite modified glassy carbon electrode for sensitive dopamine determination. Nanomaterials 2018, 8, 194. [Google Scholar] [CrossRef]
- He, Q.; Li, G.; Liu, X.; Liu, J.; Deng, P.; Chen, D. Morphologically tunable MnO2 nanoparticles fabrication, modelling and their influences on electrochemical sensing performance toward dopamine. Catalysts 2018, 8, 323. [Google Scholar] [CrossRef]
- Elhag, S.; Ibupoto, Z.H.; Liu, X.; Nur, O.; Willander, M. Dopamine wide range detection sensor based on modified Co3O4 nanowires electrode. Sens. Actuators B Chem. 2014, 203, 543–549. [Google Scholar] [CrossRef]
- He, Q.; Liu, J.; Liu, X.; Li, G.; Deng, P.; Liang, J.; Chen, D. Sensitive and selective detection of tartrazine based on TiO2-Electrochemically reduced graphene oxide composite-modified electrodes. Sensors 2018, 18, 1911. [Google Scholar] [CrossRef]
- Carbone, M.; Nesticò, A.; Bellucci, N.; Micheli, L.; Palleschi, G. Enhanced performances of sensors based on screen printed electrodes modified with nanosized NiO particles. Electrochim. Acta 2017, 246, 580–587. [Google Scholar] [CrossRef]
- He, Q.; Wu, Y.; Tian, Y.; Li, G.; Liu, J.; Deng, P.; Chen, D. Facile electrochemical sensor for nanomolar rutin detection based on magnetite nanoparticles and reduced graphene oxide decorated electrode. Nanomaterials 2019, 9, 115. [Google Scholar] [CrossRef]
- He, Q.; Liu, J.; Liu, X.; Li, G.; Deng, P.; Liang, J. Manganese dioxide Nanorods/electrochemically reduced graphene oxide nanocomposites modified electrodes for cost-effective and ultrasensitive detection of Amaranth. Colloids Surf. B Biointerfaces 2018, 172, 565–572. [Google Scholar] [CrossRef]
- He, Q.; Liu, J.; Liu, X.; Li, G.; Chen, D.; Deng, P.; Liang, J. A promising sensing platform toward dopamine using MnO2 nanowires/electro-reduced graphene oxide composites. Electrochim. Acta 2019, 296, 683–692. [Google Scholar] [CrossRef]
- Akimoto, K.; Ishizuka, S.; Yanagita, M.; Nawa, Y.; Paul, G.K.; Sakurai, T. Thin film deposition of Cu2O and application for solar cells. Sol. Energy. 2006, 80, 715–722. [Google Scholar] [CrossRef]
- Poizot, P.; Laruelle, S.; Grugeon, S.; Dupont, L.; Tarascon, J.M. Nano-sized transition-metal oxides as negative-electrode materials for lithium-ion batteries. Nature 2000, 407, 496–499. [Google Scholar] [CrossRef]
- Zhang, H.; Zhu, Q.; Zhang, Y.; Wang, Y.; Zhao, L.; Yu, B. One-Pot Synthesis and Hierarchical Assembly of Hollow Cu2O Microspheres with Nanocrystals-Composed Porous Multishell and Their Gas-Sensing Properties. Adv. Funct. Mater. 2007, 17, 2766–2771. [Google Scholar] [CrossRef]
- Singh, D.P.; Ali, N. Synthesis of TiO2 and CuO nanotubes and nanowires. Sci. Adv. Mater. 2010, 2, 295–335. [Google Scholar] [CrossRef]
- Ng, S.Y.; Ngan, A.H.W. Fabrication of nanometer-to-micron sized Cu2O single crystals by electrodeposition. Electrochim. Acta 2011, 56, 7686–7695. [Google Scholar] [CrossRef]
- Gou, L.; Murphy, C.J. Controlling the size of Cu2O nanocubes from 200 to 25 nm. J. Mater. Chem. 2004, 14, 735–738. [Google Scholar] [CrossRef]
- Zhang, J.T.; Liu, J.F.; Peng, Q.; Wang, X.; Li, Y.D. Nearly monodisperse Cu2O and CuO nanospheres: Preparation and applications for sensitive gas sensors. Chem. Mater. 2006, 18, 867–871. [Google Scholar] [CrossRef]
- He, Q.; Tian, Y.; Wu, Y.; Liu, J.; Li, G.; Deng, P.; Chen, D. Facile and Ultrasensitive Determination of 4-Nitrophenol Based on Acetylene Black Paste and Graphene Hybrid Electrode. Nanomaterials 2019, 9, 429. [Google Scholar] [CrossRef]
- Deng, P.; Xu, Z.; Zeng, R.; Ding, C. Electrochemical behavior and voltammetric determination of vanillin based on an acetylene black paste electrode modified with grapheme–polyvinylpyrrolidone composite film. Food Chem. 2015, 180, 156–163. [Google Scholar] [CrossRef]
- Li, J.; Xu, Z.; Liu, M.; Deng, P.; Tang, S.; Jiang, J.; Feng, H.; Qian, D.; He, L. Ag/N-doped reduced graphene oxide incorporated with molecularly imprinted polymer: An advanced electrochemical sensing platform for salbutamol determination. Biosens. Bioelectron. 2017, 90, 10–216. [Google Scholar] [CrossRef]
- He, Q.; Liu, J.; Liu, X.; Li, G.; Deng, P.; Liang, J. Preparation of Cu2O-reduced graphene nanocomposite modified electrodes towards ultrasensitive dopamine detection. Sensors 2018, 18, 199. [Google Scholar] [CrossRef]
- Zhang, F.; Li, Y.; Gu, Y.; Wang, Z.; Wang, C. One-pot solvothermal synthesis of a Cu2O/Graphene nanocomposite and its application in an electrochemical sensor for dopamine. Microchim. Acta 2011, 173, 103–109. [Google Scholar] [CrossRef]
- Xu, F.; Deng, M.; Li, G.; Chen, S.; Wang, L. Electrochemical behavior of cuprous oxide–reduced graphene oxide nanocomposites and their application in nonenzymatic hydrogen peroxide sensing. Electrochim. Acta 2013, 88, 59–65. [Google Scholar] [CrossRef]
- Li, Y.; Zhong, Y.; Zhang, Y.; Weng, W.; Li, S. Carbon quantum dots/octahedral Cu2O nanocomposites for non-enzymatic glucose and hydrogen peroxide amperometric sensor. Sens. Actuators B 2015, 206, 735–743. [Google Scholar] [CrossRef]
- Cao, H.; Yang, A.; Li, H.; Wang, L.; Li, S.; Kong, J.; Bao, X.; Yang, R. A non-enzymatic glucose sensing based on hollow cuprous oxide nanospheres in a Nafion matrix. Sens. Actuators B 2015, 214, 169–173. [Google Scholar] [CrossRef]
- Yuan, B.; Xu, C.; Liu, L.; Zhang, Q.; Ji, S.; Pi, L.; Zhang, D.; Huo, Q. Cu2O/NiOx/graphene oxide modified glassy carbon electrode for the enhanced electrochemical oxidation of reduced glutathione and nonenzyme glucose sensor. Electrochim. Acta 2013, 104, 78–83. [Google Scholar] [CrossRef]
- Shao, Y.; Wang, J.; Engelhard, M.; Wang, C.; Lin, Y. Facile and controllable electrochemical reduction of graphene oxide and its applications. J. Mater. Chem. 2010, 20, 743–748. [Google Scholar] [CrossRef]
- Chen, L.; Tang, Y.; Wang, K.; Liu, C.; Luo, S. Direct electrodeposition of reduced graphene oxide on glassy carbon electrode and its electrochemical application. Electrochem. Commun. 2011, 13, 133–137. [Google Scholar] [CrossRef]
- Guo, H.L.; Wang, X.F.; Qian, Q.Y.; Wang, F.B.; Xia, X.H. A green approach to the synthesis of graphene nanosheets. ACS Nano 2009, 3, 2653–2659. [Google Scholar] [CrossRef] [PubMed]
- Unnikrishnan, B.; Mani, V.; Chen, S.-M. Highly sensitive amperometric sensor for carbamazepine determination based on electrochemically reduced graphene oxide–single-walled carbon nanotube composite film. Sens. Actuators B 2012, 173, 274–280. [Google Scholar] [CrossRef]
- Long, J.; Dong, J.; Wang, X.; Ding, Z.; Zhang, Z.; Wu, L.; Li, Z.; Fu, X. Photochemical synthesis of submicron- and nano-scale Cu2O particles. J. Colloid Interface Sci. 2009, 333, 791–799. [Google Scholar] [CrossRef]
- Laviron, E. Adsorption, autoinhibition and autocatalysis in polarography and in linear potential sweep voltammetry. J. Electroanal. Chem. 1974, 52, 355–393. [Google Scholar] [CrossRef]
- Hu, S.; Wu, K.; Yi, H.; Cui, D. Voltammetric behavior and determination of estrogens at Nafion-modified glassy carbon electrode in the presence of cetyltrimethylammonium bromide. Anal. Chim. Acta 2002, 464, 209–216. [Google Scholar] [CrossRef]
- Deng, P.; Fei, J.; Feng, Y. Sensitive voltammetric determination of tryptophan using an acetylene black paste electrode modified with a Schiff’s base derivative of chitosan. Analyst 2011, 136, 5211–5217. [Google Scholar] [CrossRef]









| Technique | Modified Electrode | Linear Range (μM) | Detection Limit (μM) | Repeatability (RSD%) | Reproducibility (RSD%) | Stability | Reference |
|---|---|---|---|---|---|---|---|
| a DPV | d EGPU-tAuNP | 0.6–2.0 | 0.053 | - | - | - | [10] |
| DPV | e β-CD/MWCNTs/GCE | 1.5–30.5 | 0.07 | 6.0 | - | 20 days | [11] |
| DPV | f ETPG | 0.5–50.0 | 0.05 | - | 3.2 | a month | [12] |
| g PSA/GCE | 0.05–10 | 0.0068 | 2.7 | - | four weeks | [13] | |
| DPV | h rGO/SnO2/GCE | 1–100 | 0.04 | - | 2.87 | two weeks | [14] |
| DPV | i Au-NPs/GCE | 0.09–50 | 0.08 | 2.4 | - | a week | [15] |
| b SDLSV | j Graphene/ABPE | 0.1–10; 10–100 | 0.06 | 2.7 | 4.6 | two weeks | [16] |
| amperometry | k CNF/CPE | 0.1–119 | 0.1 | 1.0 | 2.2 | an hour | [17] |
| DPV | l BuCh/GCE | 2–60 | 0.6 | - | - | a month | [18] |
| DPV | m MWNTs/GCE | 0.25–100 | 0.027 | 2.6 | - | two weeks | [19] |
| DPV | n Pd-Cu@Cu2O/N-RGO/GCE | 0.01–40 | 0.0019 | 2.11 | 3.78 | a month | [20] |
| c SWV | Cu2O–ERGO/GCE | 0.02–20 | 0.01 | 1.64 | 4.61 | two weeks | This work |
| Electrode | ip/μA | Ep/V |
|---|---|---|
| GCE | 0.3190 | 0.994 |
| GO/GCE | 4.295 | 0.995 |
| Cu2O–GO/GCE | 6.985 | 0.975 |
| ERGO/GCE | 11.48 | 0.924 |
| Cu2O–ERGO/GCE | 38.17 | 0.923 |
| Samples | Labeled/µM | a Detected/µM | Added/µM | a Total Detected/µM | Recovery/% |
|---|---|---|---|---|---|
| 17AA-I | 2.12 | 2.14 (±0.06) | 2.0 | 4.10 (±0.10) | 98.0 |
| 18AA-I | 4.90 | 4.97 (±0.13) | 5.0 | 10.03 (±0.29) | 101.2 |
| Serum 1 | - | 1.29 (±0.03) | 1.0 | 2.26 (±0.06) | 97.0 |
| Serum 2 | - | 2.74 (±0.07) | 1.0 | 5.81 (±0.15) | 102.3 |
© 2019 by the authors. Licensee MDPI, Basel, Switzerland. This article is an open access article distributed under the terms and conditions of the Creative Commons Attribution (CC BY) license (http://creativecommons.org/licenses/by/4.0/).
Share and Cite
He, Q.; Tian, Y.; Wu, Y.; Liu, J.; Li, G.; Deng, P.; Chen, D. Electrochemical Sensor for Rapid and Sensitive Detection of Tryptophan by a Cu2O Nanoparticles-Coated Reduced Graphene Oxide Nanocomposite. Biomolecules 2019, 9, 176. https://doi.org/10.3390/biom9050176
He Q, Tian Y, Wu Y, Liu J, Li G, Deng P, Chen D. Electrochemical Sensor for Rapid and Sensitive Detection of Tryptophan by a Cu2O Nanoparticles-Coated Reduced Graphene Oxide Nanocomposite. Biomolecules. 2019; 9(5):176. https://doi.org/10.3390/biom9050176
Chicago/Turabian StyleHe, Quanguo, Yaling Tian, Yiyong Wu, Jun Liu, Guangli Li, Peihong Deng, and Dongchu Chen. 2019. "Electrochemical Sensor for Rapid and Sensitive Detection of Tryptophan by a Cu2O Nanoparticles-Coated Reduced Graphene Oxide Nanocomposite" Biomolecules 9, no. 5: 176. https://doi.org/10.3390/biom9050176
APA StyleHe, Q., Tian, Y., Wu, Y., Liu, J., Li, G., Deng, P., & Chen, D. (2019). Electrochemical Sensor for Rapid and Sensitive Detection of Tryptophan by a Cu2O Nanoparticles-Coated Reduced Graphene Oxide Nanocomposite. Biomolecules, 9(5), 176. https://doi.org/10.3390/biom9050176

