Recent Advances in Design, Synthesis, and Biological Activity Studies of 1,3-Selenazoles
Abstract
1. Introduction
2. 1,3-Selenazole Derivatives
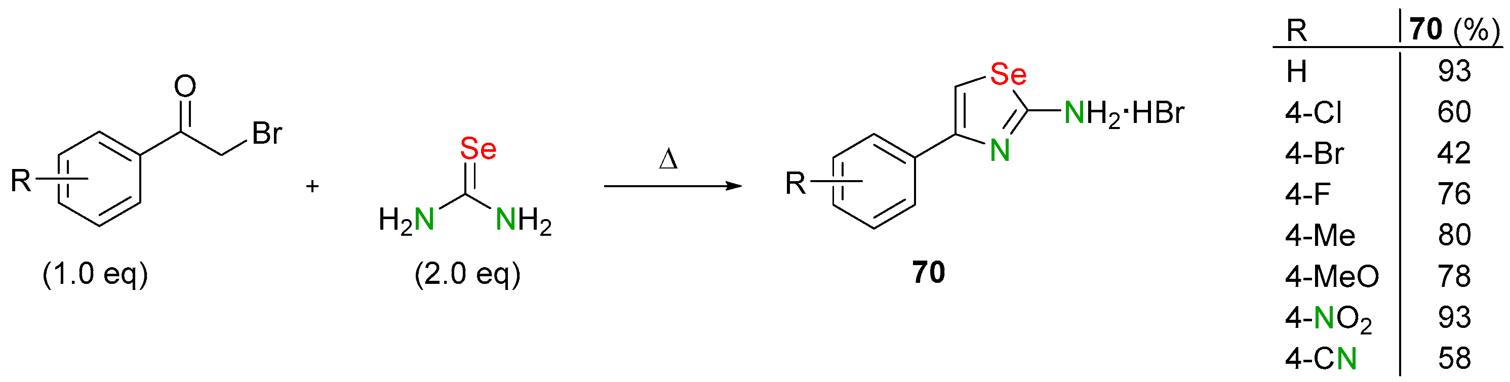
2.1. 1,3-Selenazole and 4-Substituted 1,3-Selenazoles
2.2. 2,4-Substituted 1,3-Selenazoles
2.3. 2,5-Substituted 1,3-Selenazoles
2.4. 2,4,5-Substituted 1,3-Selenazoles
3. Conclusions
Author Contributions
Funding
Institutional Review Board Statement
Informed Consent Statement
Data Availability Statement
Acknowledgments
Conflicts of Interest
References
- Longtin, R. A forgotten debate: Is selenocysteine the 21st amino acid? J. Nat. Cancer Inst. 2004, 96, 504–505. [Google Scholar] [CrossRef] [PubMed][Green Version]
- Iwaoka, M.; Arai, K. From sulfur to selenium. A new research arena in chemical biology and biological chemistry. Curr. Chem. Biol. 2013, 7, 2–24. [Google Scholar] [CrossRef]
- Gandhil, U.H.; Nagaraja, T.P.; Prabhu, K.S. Selenoproteins and their role in oxidative stress and inflammation. Curr. Chem. Biol. 2013, 7, 65–73. [Google Scholar] [CrossRef]
- Refaay, D.A.; Ahmed, D.M.; Mowafy, A.M.; Shaaban, S. Evaluation of novel multifunctional organoselenium compounds as potential cholinesterase inhibitors against Alzheimer’s disease. Med. Chem. Res. 2022, 31, 894–904. [Google Scholar] [CrossRef]
- Mamgain, R.; Kostic, M.; Singh, F.V. Synthesis and antioxidant properties of organoselenium compounds. Curr. Med. Chem. 2023, 30, 2421–2448. [Google Scholar] [CrossRef]
- Obieziurska-Fabisiak, M.; Pacuła-Miszewska, A.J.; Laskowska, A.; Ścianowski, J. Organoselenium compounds as antioxidants. Arkivoc 2023, 2023, 69–92. [Google Scholar] [CrossRef]
- Orlov, A.A.; Eletskaya, A.A.; Frolov, K.A.; Golinets, A.D.; Palyulin, V.A.; Krivokolysko, S.G.; Kozlovskaya, L.I.; Dotsenko, V.V.; Osolodkin, D.I. Probing chemical space of tick-borne encephalitis virus reproduction inhibitors with organoselenium compounds. Arch. Pharm. Chem. Life Sci. 2018, 351, e1700353. [Google Scholar] [CrossRef]
- Qiao, J.; Zhao, C.; Liu, J.; Du, Y. Design and synthesis of selenazole-substituted ritonavir analogs. Bioorg. Med. Chem. Lett. 2018, 28, 2379–2381. [Google Scholar] [CrossRef]
- Eibergen, N.R.; Im, I.; Patel, N.Y.; Hergenrother, P.J. Identification of a novel protein synthesis inhibitor active against gram-positive bacteria. ChemBioChem 2012, 13, 574–583. [Google Scholar] [CrossRef]
- Marković, S.B.; Maciejewska, N.; Olszewski, M.; Višnjevac, A.; Puerta, A.; Padrón, J.M.; Novaković, I.; Kojić, S.; Fernandes, H.S.; Sousa, S.F.; et al. Study of the anticancer potential of Cd complexes of selenazoyl-hydrazones and their sulfur isosters. Eur. J. Med. Chem. 2022, 238, 114449. [Google Scholar] [CrossRef]
- Wu, T.-Y.; Chen, X.-C.; Tang, G.-X.; Shao, W.; Li, Z.-C.; Chen, S.-B.; Huang, Z.-S.; Tan, J.-H. Development and characterization of benzoselenazole derivatives as potent and selective c-MYC transcription inhibitors. J. Med. Chem. 2023, 66, 5484–5499. [Google Scholar] [CrossRef] [PubMed]
- Araškov, J.B.; Nikolić, M.; Armaković, S.; Armaković, S.; Rodić, M.; Višnjevac, A.; Padrón, J.M.; Todorović, T.R.; Filipović, N.R. Structural, antioxidant, antiproliferative and in–silico study of pyridine-based hydrazonyl–selenazoles and their sulphur isosteres. J. Mol. Struct. 2021, 1240, 130512. [Google Scholar] [CrossRef]
- Al-Tamimi, A.-M.S.; Etxebeste-Mitxeltorena, M.; Sanmartín, C.; Jiménez-Ruiz, A.; Syrjänen, L.; Parkkila, S.; Selleri, S.; Carta, F.; Angeli, A.; Supuran, C.T. Discovery of new organoselenium compounds as antileishmanial agents. Bioorg. Chem. 2019, 86, 339–345. [Google Scholar] [CrossRef]
- Wang, H.; Yue, Y.; Zhao, H.; Wu, H.; Jiang, K.; Li, S.; Zhao, M.; Lin, F. Neuroprotective effects of 2-substituted 1, 3-selenazole amide derivatives on amyloid-beta-induced toxicity in a transgenic caenorhabditis elegans model of Alzheimer’s disease. Neurotoxic. Res. 2021, 39, 841–850. [Google Scholar] [CrossRef]
- Šmelcerović, A.; Tomović, K.; Šmelcerović, Ž.; Petronijević, Ž.; Kocić, G.; Tomašič, T.; Jakopin, Ž.; Anderluh, M. Xanthine oxidase inhibitors beyond allopurinol and febuxostat; an overview and selection of potential leads based on in silico calculated physico-chemical properties, predicted pharmacokinetics and toxicity. Eur. J. Med. Chem. 2017, 135, 491–516. [Google Scholar] [CrossRef]
- Jain, V.K.; Priyadarsini, K.I. Selenium compounds as promising antiviral agents. New J. Chem. 2024, 48, 6534–6552. [Google Scholar] [CrossRef]
- Leyssen, P.; Van Lommel, A.; Drosten, C.; Schmitz, H.; De Clercq, E.; Neyts, J. A novel model for the study of the therapy of Flavivirus infections using the Modoc virus. Virology 2001, 279, 27–37. [Google Scholar] [CrossRef]
- Paragas, J.; Whitehouse, C.A.; Endy, T.P.; Bray, M. A simple assay for determining antiviral activity against Crimean-Congo hemorrhagic fever virus. Antivir. Res. 2004, 62, 21–25. [Google Scholar] [CrossRef]
- Chung, D.-H.; Sun, Y.; Parker, W.B.; Arterburn, J.B.; Bartolucci, A.; Jonsson, C.B. Ribavirin reveals a lethal threshold of allowable mutation frequency for Hantaan virus. J. Virol. 2007, 81, 11722–11729. [Google Scholar] [CrossRef]
- Roth, J.P.; Li, J.K.-K.; Smee, D.F.; Morrey, J.D.; Barnard, D.L. A recombinant, infectious human parainfluenza virus type 3 expressing the enhanced green fluorescent protein for use in high-throughput antiviral assays. Antivir. Res. 2009, 82, 12–21. [Google Scholar] [CrossRef][Green Version]
- Tao, H.; Peng, L.; Zhang, Q. Synthesis of azole-enriched cyclic peptides by a clean solid-phase-based cyclization-cleavage strategy. ACS Comb. Sci. 2013, 15, 447–451. [Google Scholar] [CrossRef] [PubMed]
- Tao, H.; Weng, Y.; Zhuo, R.; Chang, G.; Urbatsch, I.L.; Zhang, Q. Design and synthesis of selenazole-containing peptides for cocrystallization with P-glycoprotein. ChemBioChem 2011, 12, 868–873. [Google Scholar] [CrossRef] [PubMed]
- Aller, S.G.; Yu, J.; Ward, A.; Weng, Y.; Chittaboina, S.; Zhuo, R.; Harrell, P.M.; Trinh, Y.T.; Zhang, Q.; Urbatsch, I.L.; et al. Structure of P-glycoprotein reveals a molecular basis for poly-specific drug binding. Science 2009, 323, 1718–1722. [Google Scholar] [CrossRef] [PubMed]
- Singh, S.; Prasad, N.R.; Kapoor, K.; Chufan, E.E.; Patel, B.A.; Ambudkar, S.V.; Talele, T.T. Design, synthesis, and biological evaluation of (S)-valine thiazole-derived cyclic and noncyclic peptidomimetic oligomers as modulators of human P-glycoprotein (ABCB1). ChemBioChem 2014, 15, 157–169. [Google Scholar] [CrossRef]
- Yu, L.-J.; Gai, W.; Yang, Q.-F.; Xiang, J.-F.; Sun, H.-X.; Li, Q.; Wang, L.-X.; Guan, A.-J.; Tang, Y.-L. Recognizing parallel-stranded G-quadruplex by cyanine dye dimer based on dual-site binding mode. Chin. Chem. Lett. 2015, 26, 705–708. [Google Scholar] [CrossRef]
- Lukashov, S.S.; Makovenko, I.E.; Losytskyy, M.Y.; Slominskii, Y.L.; Yarmoluk, S.M. Interaction of cyanine dyes with nucleic acids. Meso-methylsubstituted trimethincyanines, as possible probes for fluorescent nucleic acid detection. Biopolym. Cell. 2001, 17, 448–454. [Google Scholar] [CrossRef]
- Hong, S.Y.; Jun, H.; Yoon, S.S.; Kang, C.; Suh, M. New fluorescent stains for protein detection in sodium dodecyl sulfate–polyacrylamide gels. Chem. Lett. 2004, 33, 318–319. [Google Scholar] [CrossRef]
- Volkova, K.D.; Kovalska, V.B.; Losytskyy, M.Y.; Bento, A.; Reis, L.V.; Santos, P.F.; Almeida, P.; Yarmoluk, S.M. Studies of benzothiazole and benzoselenazole squaraines as fluorescent probes for albumins detection. J. Fluoresc. 2008, 18, 877–882. [Google Scholar] [CrossRef]
- Volkova, K.D.; Kovalska, V.B.; Losytskyy, M.Y.; Reis, L.V.; Santos, P.F.; Almeida, P.; Lynch, D.E.; Yarmoluk, S.M. Aza-substituted squaraines for the fluorescent detection of albumins. Dyes Pigm. 2011, 90, 41–47. [Google Scholar] [CrossRef]
- Li, Z.-C.; Wu, T.-Y.; Zeng, S.-T.; Fang, L.; Mao, J.-X.; Chen, S.-B.; Huang, Z.-S.; Chen, X.-C.; Tan, J.-H. Benzoselenazolium-based hemicyanine dye for G-Quadruplex detection. Bioorg. Med. Chem. Lett. 2022, 70, 128801. [Google Scholar] [CrossRef]
- Deligeorgiev, T.; Timcheva, I.; Maximova, V.; Gadjev, N.; Vassilev, A.; Jacobsen, J.-P.; Drexhage, K.-H. Homodimeric monomethine cyanine dyes SOSO-1 and TOTO-1-6C—Synthesis and fluorescence properties in the presence of nucleic acids. Dyes Pigm. 2004, 61, 79–84. [Google Scholar] [CrossRef]
- Kurutos, A.; Ryzhova, O.; Trusova, V.; Gorbenko, G.; Gadjev, N.; Deligeorgiev, T.J. Symmetric meso-chloro-substituted pentamethine cyanine dyes containing benzothiazolyl/benzoselenazolyl chromophores novel synthetic approach and studies on photophysical properties upon interaction with bio-objects. J. Fluoresc. 2016, 26, 177–187. [Google Scholar] [CrossRef] [PubMed]
- Jędrzejewska, B.; Bajorek, A.; Moraczewska, J. Interaction of carbocyanine dyes with DNA: Synthesis and spectroscopic studies. Appl. Spectrosc. 2013, 67, 672–680. [Google Scholar] [CrossRef] [PubMed]
- Martynov, A.V.; Makhaeva, N.A.; Amosova, S.V. Synthesis of E,E-bis(chloromethylidene) derivatives of N-organylthiomorpholines and -selenomorpholines and their quaternary salts. J. Sulfur Chem. 2014, 35, 502–511. [Google Scholar] [CrossRef]
- Potapov, V.A.; Ishigeev, R.S.; Amosova, S.V.; Borodina, T.N. Synthesis of a novel family of water-soluble 2H,3H-[1,3]thia- and -selenazolo[3,2-a]pyridin-4-ium heterocycles by annulation reactions. Tetrahedron Lett. 2019, 60, 475–479. [Google Scholar] [CrossRef]
- Potapov, V.A.; Ishigeev, R.S.; Shkurchenko, I.V.; Zinchenko, S.V.; Amosova, S.V. Natural compounds and their structural analogs in regio- and stereoselective synthesis of new families of water-soluble 2H,3H-[1,3]thia- and -Selenazolo[3,2-a]pyridin-4-ium heterocycles by annulation reactions. Molecules 2020, 25, 376. [Google Scholar] [CrossRef]
- Ishigeev, R.S.; Amosova, S.V.; Potapov, V.A. Regioselective synthesis of new [1,3]thiazolo- and [1,3]selenazolo[3,2-a]pyridinium derivatives. Russ. J. Gen. Chem. 2023, 93, S87–S93. [Google Scholar] [CrossRef]
- Potapov, V.A.; Ishigeev, R.S.; Belovezhets, L.A.; Amosova, S.V. A novel family of selenazolo[3,2-a]pyridinium derivatives based on annulation reactions and comparative analysis of antimicrobial activity of the selenium and sulfur analogs of chalcogenazolo[3,2-a]pyridiniums. Curr. Org. Chem. 2025, 29. [Google Scholar] [CrossRef]
- Koketsu, M.; Ishihara, H. Synthesis of 1,3-selenazine and 1,3-selenazole and their biological activities. Curr. Org. Chem. 2003, 7, 175–185. [Google Scholar] [CrossRef]
- Ninomiya, M.; Garud, D.R.; Koketsu, M. Biologically significant selenium-containing heterocycles. Coord. Chem. Rev. 2011, 255, 2968–2990. [Google Scholar] [CrossRef]
- Langer, P. Adventures in 1,3-selenazole chemistry. Synlett 2022, 33, 728–736. [Google Scholar] [CrossRef]
- Elsherbini, M.; Hamama, W.S.; Zoorob, H.H. Recent advances in the chemistry of selenium-containing heterocycles: Five-membered ring systems. Coord. Chem. Rev. 2016, 312, 149–177. [Google Scholar] [CrossRef]
- Banerjee, B.; Koketsu, M. Recent developments in the synthesis of biologically relevant selenium-containing scaffolds. Coord. Chem. Rev. 2017, 339, 104–127. [Google Scholar] [CrossRef]
- Ruberte, A.C.; Sanmartin, C.; Aydillo, C.; Sharma, A.K.; Plano, D. Development and therapeutic potential of selenazo compounds. J. Med. Chem. 2020, 63, 1473–1489. [Google Scholar] [CrossRef] [PubMed]
- Below, H.; Pfeiffer, W.-D.; Geisler, K.; Lalk, M.; Langer, P. 1,3-Selenazole. Eur. J. Org. Chem. 2005, 2005, 3637–3639. [Google Scholar] [CrossRef]
- Below, H.; Pfeiffer, W.-D.; Geisler, K.; Saghyan, A.S.; Fischere, C.; Langer, P. Synthesis of 2-unsubstituted 1,3-selenazoles by cyclization of selenoformamide with α-bromocarbonyl compounds. J. Heterocycl. Chem. 2015, 52, 592–596. [Google Scholar] [CrossRef]
- Geisler, K.; Jacobs, A.; Künzler, A.; Mathes, M.; Girrleit, I.; Zimmermann, B.; Bulka, E.; Pfeiffer, W.-D.; Langer, P. Efficient synthesis of primary selenocarboxylic amides by reaction of nitriles with phosphorous (V) selenide. Synlett 2002, 2002, 1983–1986. [Google Scholar] [CrossRef]
- Geisler, K.; Künzler, A.; Below, H.; Bulka, E.; Pfeiffer, W.-D.; Langer, P. Efficient synthesis of 2-unsubstituted 1,3-selenazoles. Synlett 2003, 2003, 1195–1197. [Google Scholar] [CrossRef]
- Geisler, K.; Künzler, A.; Below, H.; Bulka, E.; Pfeiffer, W.-D.; Langer, P. Synthesis and reactivity of 2-acyl-1,3-selenazoles. Synthesis 2003, 2004, 97–105. [Google Scholar] [CrossRef]
- Geisler, K.; Pfeiffer, W.-D.; Künzler, A.; Below, H.; Bulka, E.; Langer, P. Synthesis of 1,3-selenazoles and bis(selenazoles) from primary selenocarboxylic amides and selenourea. Synthesis 2004, 35, 875–884. [Google Scholar] [CrossRef]
- Hua, G.; Du, J.; Slawin, A.M.Z.; Woollins, J.D. A synthetic and structural study of arylselenoamides and 2,4-diaryl-1,3- selenazoles. Synlett 2014, 25, 2189–2195. [Google Scholar] [CrossRef]
- Zhang, P.-F.; Chen, Z.-C. Hypervalent iodine in synthesis 53: Synthesis of 2,4-disubstituted and 2,4,5-trisubstituted 1,3-selenazoles. Synthesis 2000, 2000, 1219–1222. [Google Scholar] [CrossRef]
- Al-Rubaie, A.Z.; Al-Jadaan, S.A.S.; Muslim, S.K.; Saeed, E.A.; Ali, E.T.; Al-Hasani, A.K.J.; Al-Salman, H.N.K.; Al-Fadal, S.A.M. Synthesis, characterization and antibacterial activity of some new ferrocenyl selenazoles and 3,5-diferrocenyl-1,2,4-selenadiazole. J. Organomet. Chem. 2014, 774, 43–47. [Google Scholar] [CrossRef]
- Koketsu, M.; Takenaka, Y.; Ishihara, H. Syntheses of cyanoselenoamides and diselenoamides: Conversion into selenazoles and selenazines. Heteroat. Chem. 2003, 14, 106–110. [Google Scholar] [CrossRef]
- Yoshimatsu, M.; Yamamoto, T.; Sawa, A.; Kato, T.; Tanabe, G.; Muraoka, O. α-Sulfanyl and α-selanyl propadienyl cations: Regioselective generations and cycloadditions with thioamides and selemides controlled by MeNO2-H2O system. Org. Lett. 2009, 11, 2952–2955. [Google Scholar] [CrossRef]
- Hua, G.; Du, J.; Slawin, A.M.Z.; Woollins, J.D. 2,4-Diaryl-1,3-chalcogen azoles bearing pentafluorosulfanyl SF5 groups: A synthetic and structural study. J. Org. Chem. 2014, 79, 3876–3886. [Google Scholar] [CrossRef]
- Zhang, P.-F.; Chen, Z.-C. Hypervalent iodine in synthesis 50: A novel method of synthesis of selenazoles by cyclocondensation of selenoamides and alkynyl(phenyl)iodonium salts. J. Heterocycl. Chem. 2001, 38, 503–505. [Google Scholar] [CrossRef]
- Al-Rubaie, A.Z.; Al-Masoudi, W.A.; Hameed, A.J.; Yousif, L.Z.; Graia, M. Synthesis, reaction and antiviral activity of 2,4-diaryl-1,3-selenazoles. J. Korean Chem. Soc. 2008, 52, 36–46. [Google Scholar] [CrossRef][Green Version]
- Majnooni, S.; Duffield, J.; Price, J.; Khosropour, A.R.; Zali-Boeini, H.; Beyzavi, M.H. Aryliodoazide synthons: A different approach for diversified synthesis of 2-aminothiazole, 1,3-thiazole, and 1,3-selenazole scaffolds. ACS Comb. Sci. 2019, 21, 516–521. [Google Scholar] [CrossRef]
- Zhao, H.-C.; Shi, Y.-P.; Liu, Y.-M.; Li, C.-W.; Xuan, L.-N.; Wang, P.; Zhang, K.; Chen, B.-Q. Synthesis and antitumor-evaluation of 1,3-selenazole-containing 1,3,4-thiadiazole derivatives. Bioorg. Med. Chem. Lett. 2013, 23, 6577–6579. [Google Scholar] [CrossRef]
- Dyachenko, V.D.; Pugach, Y.Y. Synthesis of 2-(4′-morpholin-4″-yl-5H-chromeno-[2,3-d]pyrimidin-2′-yl)phenol from salicylaldehyde and substituted acrylonitriles. Russ. J. Gen. Chem. 2012, 82, 921–926. [Google Scholar] [CrossRef]
- Dyachenko, I.V.; Dyachenko, V.D.; Abakarov, G.M.; Nenajdenko, V.G. New derivatives of (carbamoselenoyl)acetic acid for the synthesis of functionally substituted selenazoles. Russ. J. Org. Chem. 2021, 57, 1188–1190. [Google Scholar] [CrossRef]
- Battula, S.R.K.; Putta, V.P.R.K.; Subbareddy, G.V.; Chakravarthy, I.E.; Saravanan, V. A divergent and metal free synthesis of sulfoximine tethered imidazoles, imidazopyridines, imidazothiazoles, imidazobenzothiazines, thiazoles and selenazoles. Org. Biomol. Chem. 2017, 15, 3742–3755. [Google Scholar] [CrossRef] [PubMed]
- Qiao, J.; Liu, Y.; Du, Y. Method to build 2,4-substituted selenazole from β-azido diselenide and carboxylic acid: A formal synthesis of selenazofurin. Tetrahedron 2018, 74, 3061–3068. [Google Scholar] [CrossRef]
- Banothu, J.; Vaarla, K.; Bavantula, R.; Crooks, P.A. Sodium fluoride as an efficient catalyst for the synthesis of 2,4-disubstituted-1,3-thiazoles and selenazoles at ambient temperature. Chin. Chem. Lett. 2014, 25, 172–175. [Google Scholar] [CrossRef]
- Ramesh, G.; Janardhan, B.; Rajitha, B. Green approach: An efficient synthesis of 2,4-disubstituted-1,3-thiazoles and selenazoles in aqueous medium under ultrasonic irradiation. Res. Chem. Intermed. 2015, 41, 8099–8109. [Google Scholar] [CrossRef]
- Narender, M.; Reddy, M.S.; Kumar, V.P.; Reddy, V.P.; Nageswar, Y.V.D.; Rao, K.R. Supramolecular synthesis of selenazoles using selenourea in water in the presence of β-cyclodextrin under atmospheric pressure. J. Org. Chem. 2007, 72, 1849–1851. [Google Scholar] [CrossRef]
- Madhav, J.V.; Kuarm, B.S.; Rajitha, B. Solid-state synthesis of 1,3-selenazoles employing CuPy2Cl2 as a Lewis acid catalyst. Synth. Commun. 2008, 38, 3514–3522. [Google Scholar] [CrossRef]
- Hassell-Hart, S.; Speranzini, E.; Srikwanjai, S.; Hossack, E.; Roe, S.M.; Fearon, D.; Akinbosede, D.; Hare, S.; Spencer, J. Synthesis of a thiazole library via an iridium-catalyzed sulfur ylide insertion reaction. Org. Lett. 2022, 24, 7924–7927. [Google Scholar] [CrossRef]
- Lalithamba, H.S.; Narendra, N.; Naik, S.A.; Sureshbabu, V.V. Ultrasound mediated synthesis of 2-amino-1,3-selenazoles derived from Fmoc/Boc/Z-α-amino acids. Arkivoc 2010, 2010, 77–90. [Google Scholar] [CrossRef]
- Facchinetti, V.; Avellar, M.M.; Nery, A.C.S.; Gomes, C.R.B.; Vasconcelos, T.R.A.; de Souza, M.V.N. An eco-friendly, Hantzsch-based, solvent-free approach to 2-aminothiazoles and 2-aminoselenazoles. Synthesis 2016, 48, 437–440. [Google Scholar] [CrossRef]
- Kuchar, J.; Reinhold, K.; Rösgen, V.; Nöthling, N.; Lehmann, C.W.; Mohr, F. Synthesis, reactivity and antimicrobial activity of a series of 2-arylamino-1,3-selenazoles. Molecules 2021, 26, 7695. [Google Scholar] [CrossRef] [PubMed]
- Łączkowski, K.Z.; Misiura, K.; Biernasiuk, A.; Malm, A. Discovery and evaluation of efficient selenazoles with high antifungal activity against Candida spp. Med. Chem. 2015, 11, 118–127. [Google Scholar] [CrossRef] [PubMed]
- Łączkowski, K.Z.; Biernasiuk, A.; Baranowska-Łączkowska, A.; Zielińska, S.; Sałat, K.; Furgała, A.; Misiura, K.; Malm, A. Synthesis, antimicrobial and anticonvulsant screening of small library of tetrahydro-2H-thiopyran-4-yl based thiazoles and selenazoles. J. Enzyme Inhib. Med. Chem. 2016, 31, 24–39. [Google Scholar] [CrossRef]
- Łączkowski, K.Z.; Motylewska, K.; Baranowska-Łączkowska, A.; Biernasiuk, A.; Misiura, K.; Malm, A.; Fernández, B. Synthesis, antimicrobial evaluation and theoretical prediction of NMR chemical shifts of thiazole and selenazole derivatives with high antifungal activity against Candida spp. J. Mol. Struct. 2016, 1108, 427–437. [Google Scholar] [CrossRef]
- Elshaflu, H.; Todorović, T.R.; Nikolić, M.; Lolić, A.; Višnjevac, A.; Hagenow, S.; Padrón, J.M.; García-Sosa, A.T.; Djordjević, I.S.; Grubišić, S.; et al. Selenazolyl-hydrazones as novel selective MAO inhibitors with antiproliferative and antioxidant activities: Experimental and in-silico studies. Front. Chem. 2018, 6, 247. [Google Scholar] [CrossRef]
- Ali, T.E.; Assiri, M.A.; Aboelwafa, H.R. Synthesis and cytotoxicity properties of some novel functionalized 2-{2-[(4-oxo-4H-chromen-3-yl)methylene]-hydrazinyl}-1,3-selenazoles. Heterocycles 2021, 102, 920–929. [Google Scholar] [CrossRef]
- Zaharia, V.; Ignat, A.; Ngameni, B.; Kuete, V.; Moungang, M.L.; Fokunang, C.N.; Vasilescu, M.; Palibroda, N.; Cristea, C.; Silaghi-Dumitrescu, L.; et al. Heterocycles 23: Synthesis, characterization and anticancer activity of new hydrazinoselenazole derivatives. Med. Chem. Res. 2013, 22, 5670–5679. [Google Scholar] [CrossRef]
- Kanoh, K.; Ishihara, H.; Koketsu, M. Preparation of 2-dialkylamino-1,3-selenazoles by reaction of N,N-unsubstituted selenoureas with α,α-diketones. Heterocycles 2007, 74, 1009–1014. [Google Scholar] [CrossRef]
- Hua, G.; Du, J.; Slawin, A.M.Z.; Woollins, J.D. Synthesis and structural study of novel selenation derivatives of N,N-dialkylcyanamides. ChemistrySelect 2016, 1, 6810–6817. [Google Scholar] [CrossRef]
- Geisler, K.; Pfeiffer, W.-D.; Müller, C.; Nobst, E.; Bulka, E.; Langer, P. Synthesis and functionalization of 4-halomethyl-1,3-selenazoles. Synthesis 2003, 2003, 1215–1220. [Google Scholar] [CrossRef]
- Madhav, B.; Murthy, S.N.; Anil Kumar, B.S.P.; Ramesh, K.; Nageswar, Y.V.D. A tandem one-pot aqueous phase synthesis of thiazoles/selenazoles. Tetrahedron Lett. 2012, 53, 3835–3838. [Google Scholar] [CrossRef]
- Potewar, T.M.; Ingale, S.A.; Srinivasan, K.V. An efficient and eco-friendly synthesis of 2-amino-1,3-selenazoles in an ionic liquid/water system under ambient conditions. Arkivoc 2008, 2008, 117–125. [Google Scholar] [CrossRef]
- Maradolla, M.; Chandramouli, G.V.P. A convenient synthesis of 2-amino-1,3-selenazoles using ionic liquid and microwave irradiation. Phosphorus Sulfur Silicon Relat. Elem. 2011, 186, 1650–1654. [Google Scholar] [CrossRef]
- Hua, G.; Du, J.; Slawin, A.M.Z.; Woollins, J.D. Synthesis and single crystal structures of substituted-1,3-selenazol-2-amines. Molecules 2017, 22, 46. [Google Scholar] [CrossRef]
- Madhu, C.; Panguluri, N.R.; Narendra, N.; Panduranga, V.; Sureshbabu, V.V. One-pot synthesis of orthogonally protected dipeptide selenazoles employing N a -amino selenocarboxamides and a -bromomethyl ketones. Tetrahedron Lett. 2014, 55, 6831–6835. [Google Scholar] [CrossRef][Green Version]
- Dyachenko, I.V.; Dyachenko, V.D. Ethyl 3-amino-3-selenoxopropanoate as a new reagent for the synthesis of selenium-containing heterocycles. Russ. J. Gen. Chem. 2015, 85, 1673–1676. [Google Scholar] [CrossRef]
- Dyachenko, I.V.; Dyachenko, V.D.; Dorovatovskii, P.V.; Khrustalev, V.N.; Nenaidenko, V.G. Multicomponent synthesis of thiazole, selenazole, pyrane, and pyridine derivatives, initiated by the Knoevenagel reaction. Russ. J. Org. Chem. 2019, 55, 215–226. [Google Scholar] [CrossRef]
- Frolov, K.A.; Dotsenko, V.V.; Krivokolysko, S.G. Synthesis of 3-aminoselenoacrylamides and 3-amino-2-(selenazol-2-yl)acrylonitriles. Chem. Heterocycl. Compd. 2013, 48, 1886–1888. [Google Scholar] [CrossRef]
- Dyachenko, V.D.; Roman, S.V. Unexpected formation of ethyl 5-cyano-6-[cyano(4’-phenyl-1,3’-selenazol-2-yl)methyl]-4-(furan-2’-yl)-2-methyl-1,4-dihydropyridine-3-carboxylate. Russ. J. Gen. Chem. 2011, 81, 442–443. [Google Scholar] [CrossRef]
- Pizzo, C.; Mahler, S.G. Synthesis of selenazoles by in situ cycloisomerization of propargyl selenoamides using oxygen−selenium exchange reaction. J. Org. Chem. 2014, 79, 1856–1860. [Google Scholar] [CrossRef] [PubMed]
- Afzal, M.S.; Pitteloud, J.-P.; Buccella, D. Enhanced ratiometric fluorescent indicators for magnesium based on azoles of the heavier chalcogens. Chem. Commun. 2014, 50, 11358–11361. [Google Scholar] [CrossRef] [PubMed]
- Angeli, A.; Trallori, E.; Ferraroni, M.; Di Cesare Mannelli, L.; Ghelardini, C.; Supuran, C.T. Discovery of new 2, 5-disubstituted 1,3-selenazoles as selective human carbonic anhydrase IX inhibitors with potent anti-tumor activity. Eur. J. Med. Chem. 2018, 157, 1214–1222. [Google Scholar] [CrossRef] [PubMed]
- Angeli, A.; Pinteala, M.; Maier, S.S.; Del Prete, S.; Capasso, C.; Simionescu, B.C.; Supuran, C.T. Inhibition of bacterial α-, β- and γ-class carbonic anhydrases with selenazoles incorporating benzenesulfonamide moieties. J. Enzyme Inhib. Med. Chem. 2019, 34, 244–249. [Google Scholar] [CrossRef] [PubMed]
- Macias-Benitez, P.; Sierra-Padilla, A.; Guerra, F.M.; Moreno-Dorado, F.J. Microwave-assisted one-pot telescoped synthesis of 2-amino-1,3-thiazoles, selenazoles, imidazo[1,2-a]pyridines, and other heterocycles from alcohols. J. Org. Chem. 2024, 89, 4628–4646. [Google Scholar] [CrossRef]
- Koketsu, M.; Kogami, M.; Ando, H.; Ishihara, H. Preparation of 5-acyl-2-amino-1,3-selenazoles by the reaction of selenazadienes with α-haloketone. Synthesis 2006, 2006, 31–36. [Google Scholar] [CrossRef]
- Sekiguchi, A.; Nishina, A.; Kimura, H.; Fukumoto, R.-h.; Kogami, M.; Ishihara, H.; Koketsu, M. Bis-(2-amino-5-selenazoyl) Ketone as a Superoxide Anion-Scavenger. Biol. Pharm. Bull. 2006, 29, 1404–1407. [Google Scholar] [CrossRef]
- Koketsu, M.; Nada, F.; Mio, T.; Ishihara, H. Syntheses of 4-selenazolones. Hetero Diels-Alder reaction of the selenazadienes with DMAD. Heterocycles 2003, 60, 1211–1218. [Google Scholar] [CrossRef]
- Koketsu, M.; Mio, T.; Ishihara, H. Facile preparation of 1,3-selenazole-5-carboxylic acids and the carboxylates by reaction of selenazadienes with chloroacetyl chloride preparation of 1,3-selenazole-5-carboxylates. Synthesis 2004, 2004, 233–236. [Google Scholar] [CrossRef]
- Koketsu, M.; Imagawa, M.; Mio, T.; Ishihara, H. Preparation of 1,3-selenazoles using selenazadienes. J. Heterocycl. Chem. 2005, 42, 831–834. [Google Scholar] [CrossRef]
- Koketsu, M.; Kanoh, K.; Ishihara, H. Synthesis of 2-amino-1,3-selenazoles by reaction of N,N-unsubstituted selenoureas with α,β-unsaturated aldehydes. Heterocycles 2006, 68, 2647–2652. [Google Scholar] [CrossRef]
- Koketsu, M.; Takenaka, Y.; Ishihara, H. Preparation of 1,3-selenazol-4-one derivatives from primary selenoamides and haloacyl halides. Synthesis 2001, 2001, 731–734. [Google Scholar] [CrossRef]
- Zhang, C.; Sun, X.; Pu, Y.; Li, C.; Sun, L.; Wang, J.; Li, Y. Design, synthesis and activities of multiheterocyclic modified novel molecules using 1,3-selenazole as template. Chin. J. Org. Chem. 2017, 37, 440–454. [Google Scholar] [CrossRef]
- Zhang, C.; Li, Y.; Li, J.; Wang, J.; Wang, H.; Gong, R. Synthesis of two novel 1,3-selenazole carbonyl hydrazones and their specific fluorescent recognition toward acetate ions. Chin. J. Appl. Chem. 2018, 35, 197–205. [Google Scholar] [CrossRef]
- Guan, Q.; Cheng, Z.; Ma, X.; Wang, L.; Feng, D.; Cui, Y.; Bao, K.; Wu, L.; Zhang, W. Synthesis and bioevaluation of 2-phenyl-4-methyl-1,3-selenazole-5-carboxylic acids as potent xanthine oxidase inhibitors. Eur. J. Med. Chem. 2014, 85, 508–516. [Google Scholar] [CrossRef]
- Yoshimatsu, M.; Matsui, M.; Yamamoto, T.; Sawa, A. Convenient preparation of 4-arylmethyl- and 4-hetarylmethyl thiazoles by regioselective cycloaddition reactions of 3-sulfanyl- and selanylpropargyl alcohols. Tetrahedron 2010, 66, 7975–7987. [Google Scholar] [CrossRef]
- Časar, Z.; Majcen-Le Maréchal, A.; Lorcy, D. A novel approach to a substituted 1,3-selenazole core as a precursor of electron-rich olefins: Diselenadiazafulvalene and azino-diselenadiazafulvalene. New J. Chem. 2003, 27, 1622–1626. [Google Scholar] [CrossRef]
- Ostapiuk, Y.V.; Ostapiuk, M.Y.; Barabash, O.V.; Kravets, M.; Herzberger, C.; Namyslo, J.C.; Obushak, M.D.; Schmidt, A. One-pot syntheses of substituted 2-aminothiazoles and 2-amino-selenazoles via Meerwein arylation of alkyl vinyl ketones. Synthesis 2022, 54, 3658–3666. [Google Scholar] [CrossRef]
- Yang, H.; Chen, Y.; Xu, X.; Li, Z. Metal-free synthesis of thiocyanated aminonitroalkenes and 2-aminothiazoles/selenazoles from β-aminonitroalkenes and N-thio/selenocyanatosaccharin. Synlett 2023, 34, 176–182. [Google Scholar] [CrossRef]
- Tao, S.; Xu, L.; Yang, K.; Zhang, J.; Du, Y. Construction of the 2-amino-1,3-selenazole skeleton via PhICl2/KSeCN-mediated selenocyanation/cyclization. Org. Lett. 2022, 24, 4187–4191. [Google Scholar] [CrossRef]
- Narender, M.; Reddy, M.S.; Kumar, V.P.; Srinivas, B.; Sridhar, R.; Venkata, Y.; Nageswar, D.; Rao, K.R. Aqueous-phase one-pot synthesis of 2-aminothiazole- or 2-aminoselenazole-5-carboxylates from β-keto esters, thiourea or selenourea, and N-bromosuccinimide under supramolecular catalysis synthesis of 2-aminothiazole- and 2-aminoselenazole-5-carboxylates. Synthesis 2007, 2007, 3469–3472. [Google Scholar] [CrossRef]
- Kuarm, B.S.; Madhav, J.V.; Rajitha, B. Xanthan sulfuric acid: An efficient bio-supported and recyclable solid acid catalyst for the synthesis of 2-aminothiazole-5-carboxylates and 2-aminoselenazole-5-carboxylates. Lett. Org. Chem. 2011, 8, 549–553. [Google Scholar] [CrossRef]
- Malinauskienė, V.; Kveselytė, A.; Dzedulionytė, K.; Bieliauskas, A.; Burinskas, S.; Sløk, F.A.; Šačkus, A. L-Proline and related chiral heterocyclic amino acids as scaffolds for the synthesis of functionalized 2-amino-1,3-selenazole-5-carboxylates. Chem. Heterocycl. Compd. 2018, 54, 469–473. [Google Scholar] [CrossRef]
- Dzedulionytė, K.; Voznikaitė, P.; Bieliauskas, A.; Malinauskienė, V.; Sløk, F.A.; Šačkus, A. Methyl 2-amino-4-[1-(tert-butoxycarbonyl)azetidin-3-yl]-1,3-selenazole-5-carboxylate. Molbank 2021, 2021, M1207. [Google Scholar] [CrossRef]
- Kanapickaitė, V.; Martynaitis, V.; Šačkus, A. Facile synthesis of novel functionalized 1,3-selenazoles. Arkivoc 2009, 2009, 268–276. [Google Scholar] [CrossRef]
- Fry, D.J.; Keogh, P.J. Production of selenium compounds. Patent GB 1326379 A, 8 August 1973. [Google Scholar]
- Kodomari, M.; Aoyama, T.; Suzuki, Y. One-pot synthesis of 2-aminothiazoles using supported reagents. Tetrahedron Lett. 2002, 43, 1717–1720. [Google Scholar] [CrossRef]
- Poirier, D.; Mérand, Y.; Labrie, F. Synthesis of 17β-estradiol derivatives with N-butyl, N-methyl alkylamides side chain at position 15. Tetrahedron 1991, 47, 7751–7766. [Google Scholar] [CrossRef]
- Ling, C.; Zheng, Z.; Jiang, X.C.; Zhong, W.; Li, S. Synthesis of a series of novel 2,4,5-trisubstituted selenazole compounds as potential PLTP inhibitors. Bioorg. Med. Chem. Lett. 2010, 20, 5123–5125. [Google Scholar] [CrossRef]
- Ranjan, A.; Yerande, R.; Jadhav, M.; Yerande, S.G.; Dethem, D.H. One-pot synthesis of 2-amino-1,3-selenazole via an intermediary amidinoselenourea. Eur. J. Org. Chem. 2015, 2015, 3230–3234. [Google Scholar] [CrossRef]
- Ignat (Grozav), A.; Gaina, L.; Kuete, V.; Silaghi-Dumitrescu, L.; Efferth, T.; Zaharia, V. Microwave-assisted synthesis of new selenazole derivatives with antiproliferative activity. Molecules 2013, 18, 4679–4688. [Google Scholar] [CrossRef]
- López, Ó.; Maza, S.; Ulgar, V.; Maya, I.; Fernández-Bolaños, J.G. Synthesis of sugar-derived isoselenocyanates, selenoureas, and selenazoles. Tetrahedron 2009, 65, 2556–2566. [Google Scholar] [CrossRef]
- Pereira, F.A.C.; de Andrade, V.S.C.; Souza, E.A.; de Mattos, M.C.S.; Oliveira, D.F. 2-Aminoselenazoles and 2-aminothiazoles: One-pot synthesis and control of the fungus Colletotrichum lindemuthianum in common beans. Pest Manag. Sci. 2022, 78, 1665–1676. [Google Scholar] [CrossRef] [PubMed]
- Liu, H.-W.; Fang, Y.; Wang, S.-Y.; Ji, S.-J. Base-promoted multicomponent reactions: A synthesis of 2-amino-1,3-selenazole derivatives. J. Org. Chem. 2020, 85, 3508–3516. [Google Scholar] [CrossRef] [PubMed]
- Mohr, F. Old selenium heterocycles revisited: Synthesis, spectroscopic, and structural characterization of N-Acyl-1,3-selenazol-2(3H)-imines and 5-acyl-1,3-selenazol-2-amines from acylselenourea derivatives. J. Heterocycl. Chem. 2014, 51, 1435–1441. [Google Scholar] [CrossRef]
- Murai, T.; Yamaguchi, K.; Hori, F.; Maruyama, T. Reaction of selenoamide dianions with thio- and selenoformamides leading to the formation of 5-aminoselenazoles: Photophysical and electrochemical properties. J. Org. Chem. 2014, 79, 4930–4939. [Google Scholar] [CrossRef]
- Thomae, D.; Perspicace, E.; Hesse, S.; Kirsch, G.; Seck, P. Synthesis of substituted [1,3]thiazolo[4,5-b]pyridines and [1,3]thiazolo-[4,5-d][1,2,3]triazines. Tetrahedron 2008, 64, 9309–9314. [Google Scholar] [CrossRef]
- Thomae, D.; Perspicace, E.; Xu, Z.; Henryon, D.; Schneider, S.; Hesse, S.; Kirsch, G.; Seck, P. One-pot synthesis of new 2,4,5-trisubstituted 1,3-thiazoles and 1,3-selenazoles. Tetrahedron 2009, 65, 2982–2988. [Google Scholar] [CrossRef]
- Sekiguchi, A.; Nishina, A.; Kimura, H.; Fukumoto, R.-h.; Kanoh, K.; Ishihara, H.; Koketsu, M. Superoxide anion-scavenging effect of 2-amino-1,3-selenazoles. Chem. Pharm. Bull. 2005, 53, 1439–1442. [Google Scholar] [CrossRef]
- Koketsu, M.; Kanoh, K.; Ando, H.; Ishihara, H. A facile synthesis of 2-amino-1,3-selenazole by reaction of N,N-unsubstituted selenourea with ketone. Heteroat. Chem. 2006, 17, 88–92. [Google Scholar] [CrossRef]
- Koketsu, M.; Kanoh, K.; Ishihara, H. Preparation of 2-amino-1,3-selenazoles by reaction of N,N-unsubstituted selenoureas with α,β-unsaturated ketones in alcohol. Heterocycles 2006, 68, 2145–2152. [Google Scholar] [CrossRef]
- El-Shamy, I.E.; Abdel-Mohsen, A.M.; Al-Shehri, M.M.; El-Hashash, M.A.; Al-Shamrani, K.M. Selenium containing heterocycles: Synthesis and antimicrobial evaluation of some new 4-substituted-2-(4-phenyl-2-(piperidin-1-yl)-1, 3-selenazol-5-yl) phthalazin-1(2H)-ones. Life Sci. J. 2014, 11, 385–391. [Google Scholar] [CrossRef]
- Zhou, Y.; Linden, A.; Heimgartner, H. Selenium-containing heterocycles from isoselenocyanates: Synthesis of 1,3-selenazoles from N-phenylimidoyl isoselenocyanates. Helv. Chim. Acta 2000, 83, 1576–1598. [Google Scholar] [CrossRef]
- Garud, D.R.; Koketsu, M.; Ishihara, H. Isoselenocyanates: A powerful tool for the synthesis of selenium-containing heterocycles. Molecules 2007, 12, 504–535. [Google Scholar] [CrossRef] [PubMed]





















































































Disclaimer/Publisher’s Note: The statements, opinions and data contained in all publications are solely those of the individual author(s) and contributor(s) and not of MDPI and/or the editor(s). MDPI and/or the editor(s) disclaim responsibility for any injury to people or property resulting from any ideas, methods, instructions or products referred to in the content. |
© 2024 by the authors. Licensee MDPI, Basel, Switzerland. This article is an open access article distributed under the terms and conditions of the Creative Commons Attribution (CC BY) license (https://creativecommons.org/licenses/by/4.0/).
Share and Cite
Makhaeva, N.A.; Amosova, S.V.; Filippov, A.S.; Potapov, V.A.; Musalov, M.V. Recent Advances in Design, Synthesis, and Biological Activity Studies of 1,3-Selenazoles. Biomolecules 2024, 14, 1546. https://doi.org/10.3390/biom14121546
Makhaeva NA, Amosova SV, Filippov AS, Potapov VA, Musalov MV. Recent Advances in Design, Synthesis, and Biological Activity Studies of 1,3-Selenazoles. Biomolecules. 2024; 14(12):1546. https://doi.org/10.3390/biom14121546
Chicago/Turabian StyleMakhaeva, Nataliya A., Svetlana V. Amosova, Andrey S. Filippov, Vladimir A. Potapov, and Maxim V. Musalov. 2024. "Recent Advances in Design, Synthesis, and Biological Activity Studies of 1,3-Selenazoles" Biomolecules 14, no. 12: 1546. https://doi.org/10.3390/biom14121546
APA StyleMakhaeva, N. A., Amosova, S. V., Filippov, A. S., Potapov, V. A., & Musalov, M. V. (2024). Recent Advances in Design, Synthesis, and Biological Activity Studies of 1,3-Selenazoles. Biomolecules, 14(12), 1546. https://doi.org/10.3390/biom14121546

