Preparation and Coagulation Performance of Carboxypropylated and Carboxypentylated Lignosulfonates for Dye Removal
Abstract
1. Introduction
2. Materials and Methods
2.1. Chemicals
2.2. Synthesis of 1-Carboxypropyl Lignosulfonate and 5-Carboxypentyl Lignosulfonate
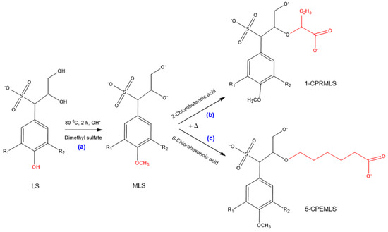
2.3. Methylated Lignosulfonate
2.4. Taguchi Experimental Design
2.5. Functional Group Analysis
2.6. Charge Density Analysis
2.7. Molecular Weight Analysis
2.8. Elemental Analysis
2.9. FT-IR Analysis
2.10. 1H-NMR Analysis
2.11. 13C-NMR Analysis
2.12. Dye Removal Analysis
3. Results and Discussion
3.1. Mechanism of 1-Carboxypropylation of Lignosulfonate
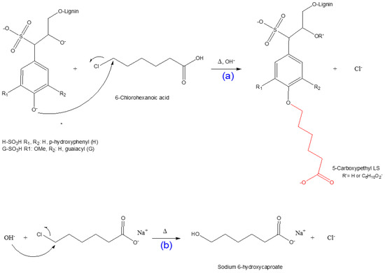
3.2. Mechanism of 5-Carboxypentylation of Lignosulfonate
3.3. Mechanisms of Methylation of Lignosulfonate
3.4. 1H-NMR Analysis
3.5. 13C-NMR Technique
3.6. FT-IR Spectrum Analysis
3.7. Taguchi Method and Optimization
3.8. Effect of Reaction Conditions on DS
3.9. Properties of LS, MLS, 1-CPRLS, 5-CPELS, 1-CPRMLS, and 5-CPEMLS
3.10. Dye Removal
3.11. Carboxyalkylated Lignosulfonate Comparison
4. Conclusions
Author Contributions
Funding
Conflicts of Interest
References
- Costa, S.; Rugiero, I.; Larenas Uria, C.; Pedrini, P.; Tamburini, E. Lignin degradation efficiency of chemical pre-treatments on banana rachis destined to bioethanol production. Biomolecules 2018, 8, 141. [Google Scholar] [CrossRef] [PubMed]
- Damião Xavier, F.; Santos Bezerra, G.; Florentino Melo Santos, S.; Sousa Conrado Oliveira, L.; Luiz Honorato Silva, F.; Joice Oliveira Silva, A.; Maria Conceição, M. Evaluation of the simultaneous production of xylitol and ethanol from sisal fiber. Biomolecules 2018, 8, 2. [Google Scholar] [CrossRef] [PubMed]
- Sørensen, A.; Lübeck, M.; Lübeck, P.; Ahring, B. Fungal beta-glucosidases: A bottleneck in industrial use of lignocellulosic materials. Biomolecules 2013, 3, 612–631. [Google Scholar] [CrossRef] [PubMed]
- Kan, K.; Akashi, M.; Ajiro, H. Dynamic self-assembly and synthesis of polylactide bearing 5-hydroxymethylfurfural chain ends. ACS Appl. Polym. Mater. 2018, 1, 267–274. [Google Scholar] [CrossRef]
- Murphy, B.M.; Xu, B. Foundational techniques for catalyst design in the upgrading of biomass-derived multifunctional molecules. Prog. Energy Combust. Sci. 2018, 6, 1–30. [Google Scholar] [CrossRef]
- Abdelaziz, O.Y.; Hulteberg, C.P. Physicochemical characterisation of technical lignins for their potential valorisation. Waste Biomass Valor 2017, 8, 859–869. [Google Scholar] [CrossRef]
- Ghaffar, S.H.; Fan, M. Structural analysis for lignin characteristics in biomass straw. Biomass Bioenergy 2013, 57, 264–279. [Google Scholar] [CrossRef]
- Komissarenkov, A.A.; Lukanina, T.L. Use of lignosulfonates in newsprint paper production. Russ. J. Gen. Chem. 2012, 82, 985–990. [Google Scholar] [CrossRef]
- Santford Rusk, B. Fractionation of Waste Sulfite Liquor. Master’s Thesis, Oregon State College, Corvallis, OR, USA, 1938. [Google Scholar]
- Benson, H.K.; Partansky, A.M. Sulfite waste liquor: Laboratory study of its anaeuml; robic decomposition when discharged into water bodies. J. Ind. Eng. Chem. 1936, 28, 738–740. [Google Scholar] [CrossRef]
- Rueda, C.; Calvo, P.A.; Moncalian, G.; Ruiz, G.; Coz, A. Biorefinery options to valorize the spent liquor from sulfite pulping. J. Chem. Technol. Biotechnol. 2015, 90, 2218–2226. [Google Scholar] [CrossRef]
- Altwaiq, A.; Abdel-Rahema, R.; Al-Shamaileh, E.; Al-luaibi, S.; Khouri, S. Sodium lignosulfonate as a friendly-environment corrosion inhibitor for zinc metal in acidic media. Eurasian J. Anal. Chem. 2015, 10, 10–18. [Google Scholar]
- Reknes, I.K. Quality lignosulfonate for concrete. Masterbuilder 2013, 15, 84–90. [Google Scholar]
- Ramachandran, V.S. Interaction of calcium lignosulfonate with tricalcium silicate, hydrated tricalcium silicate, and calcium hydroxide. Cem. Concr. Res. 1972, 2, 179–194. [Google Scholar] [CrossRef]
- Lou, H.; Zhu, D.; Yuan, L.; Qiu, X.; Lin, X.; Yang, D.; Li, Y. Fabrication of high-concentration aqueous graphene suspensions dispersed by sodium lignosulfonate and its mechanism. J. Phys. Chem. C 2015, 119, 23221–23230. [Google Scholar] [CrossRef]
- Rebis, T.; Sobkowiak, M.; Milczarek, G. Electrocatalytic oxidation and detection of hydrazine at conducting polymer/lignosulfonate composite modified electrodes. J. Electroanal. Chem. 2016, 780, 257–263. [Google Scholar] [CrossRef]
- El Mansouri, N.; Farriol, X.; Salvado, J. Structural modification and characterization of lignosulfonate by a reaction in an alkaline medium for its incorporation into phenolic resins. J. Appl. Polym. Sci. 2006, 102, 3286–3292. [Google Scholar] [CrossRef]
- Xue, Y.; Liang, W.; Li, Y.; Wu, Y.; Peng, X.; Qiu, X.; Liu, J.; Sun, R. Fluorescent pH-sensing probe based on biorefinery wood lignosulfonate and its application in human cancer cell bioimaging. J. Agric. Food Chem. 2016, 64, 9592–9600. [Google Scholar] [CrossRef]
- Wu, Z.; Sun, Y.; Song, H.; Chu, Y.; Wang, Q.; Jiang, H.; Qiu, M. Application of lignosulfonate and pharmaceutical composition thereof. China Patent CN102091091 A, 15 June 2011. [Google Scholar]
- Bahrpaima, K.; Fatehi, P. Synthesis and characterization of carboxyethylated lignosulfonate. ChemSusChem 2018, 11, 2967–2980. [Google Scholar] [CrossRef]
- Holladay, J.E.; White, J.F.; Bozell, J.J.; Johnson, D. Top Value Added Chemicals from Biomass-Volume II—Results of Screening for Potential Candidates from Biorefinery Lignin; Pacific Northwest National Lab. (PNNL): Richland, WA, USA, 2007. [Google Scholar]
- Hasan, A.; Fatehi, P. Cationic kraft lignin-acrylamide copolymer as a flocculant for clay suspensions: (2) Charge density effect. Sep. Purif. Technol. 2019, 210, 963–972. [Google Scholar] [CrossRef]
- Raj, P.; Blanco, A.; de la Fuente, E.; Batchelor, W.; Negro, C.; Garnier, G. Microfibrilated cellulose as a model for soft colloid flocculation with polyelectrolytes. Colloid Surf. A Physicochem. Eng. Asp. 2017, 516, 325–335. [Google Scholar] [CrossRef]
- Adeyemo, A.A.; Adeoye, I.O.; Bello, O.S. Adsorption of dyes using different types of clay: A review. Appl. Water Sci. 2017, 7, 543–568. [Google Scholar] [CrossRef]
- Liu, Z.; Xu, D.; Xia, N.; Zhao, X.; Kong, F.; Wang, S.; Fatehi, P. Preparation and application of phosphorylated xylan as a flocculant for cationic ethyl violet dye. Polymers 2018, 10, 317. [Google Scholar] [CrossRef]
- Dao, V.H.; Cameron, N.R.; Saito, K. Synthesis, properties and performance of organic polymers employed in flocculation applications. Polym. Chem. 2016, 7, 11–25. [Google Scholar] [CrossRef]
- Agunbiade, M.O.; Pohl, C.H.; Ashafa, A.O.T. A Review of the application of biofloccualnts in wastewater treatment. Pol. J. Environ. Stud. 2016, 25, 1381–1389. [Google Scholar] [CrossRef]
- Zhu, Z.; Li, T.; Lu, J.; Wang, D.; Yao, C. Characterization of kaolin flocs formed by polyacrylamide as flocculation aids. Int. J. Miner. Process. 2009, 91, 94–99. [Google Scholar] [CrossRef]
- Teh, C.Y.; Budiman, P.M.; Shak, K.P.Y.; Wu, T.Y. Recent advancement of coagulation–flocculation and its application in wastewater treatment. Ind. Eng. Chem. Res. 2016, 55, 4363–4389. [Google Scholar] [CrossRef]
- Salehizadeh, H.; Yan, N.; Farnood, R. Recent advances in polysaccharide bio-based flocculants. Biotechnol. Adv. 2018, 36, 92–119. [Google Scholar] [CrossRef]
- Konduri, M.K.R.; Fatehi, P. Synthesis and characterization of carboxymethylated xylan and its application as a dispersant. Carbohydr. Polym. 2016, 146, 26–35. [Google Scholar] [CrossRef]
- De Abreu, F.R.; Campana-Filho, S.P. Preparation and characterization of carboxymethylchitosan. Polímeros 2005, 15, 79–83. [Google Scholar] [CrossRef]
- Konduri, M.K.; Kong, F.; Fatehi, P. Production of carboxymethylated lignin and its application as a dispersant. Eur. Polym. J. 2015, 70, 371–383. [Google Scholar] [CrossRef]
- Stack, R.J.; Stein, T.M.; Plattner, R.D. 4-O-(1-carboxyethyl)-d-galactose. A new acidic sugar from the extracellular polysaccharide produced by Butyrivibrio fibrisolvens strain 49. Biochem. J. 1988, 256, 769–773. [Google Scholar] [CrossRef]
- Ren, J.L.; Sun, R.C.; Peng, F. Carboxymethylation of hemicelluloses isolated from sugarcane bagasse. Polym. Degrad. Stab. 2008, 93, 786–793. [Google Scholar] [CrossRef]
- Efanov, M.V.; Popova, A.A. Carboxymethylation of peat in 2-propanol. Solid Fuel Chem. 2011, 45, 270–274. [Google Scholar] [CrossRef]
- Hebeish, A.; Higazy, A.; El-Shafei, A.; Sharaf, S. Synthesis of carboxymethyl cellulose (CMC) and starch-based hybrids and their applications in flocculation and sizing. Carbohydr. Polym. 2010, 79, 60–69. [Google Scholar] [CrossRef]
- Rachtanapun, P.; Luangkamin, S.; Tanprasert, K.; Suriyatem, R. Carboxymethyl cellulose film from durian rind. LWT-Food Sci. Technol. 2012, 48, 52–58. [Google Scholar] [CrossRef]
- Ali, Z.M.; Laghari, A.J.; Ansari, A.K.; Khuhawar, M.Y. Synthesis and characterization of carboxymethyl chitosan and its effect on turbidity removal of river water. J. Appl. Chem. 2013, 5, 72–79. [Google Scholar]
- Husband, J.C. Adsorption and rheological studies of sodium carboxymethyl cellulose onto kaolin: Effect of degree of substitution. Colloid Surf. A Physicochem. Eng. Asp. 1998, 134, 349–358. [Google Scholar] [CrossRef]
- Cerrutti, B.M.; de Souza, C.S.; Castellan, A.; Ruggiero, R.; Frollini, E. Carboxymethyl lignin as stabilizing agent in aqueous ceramic suspensions. Ind. Crops Prod. 2012, 36, 108–115. [Google Scholar] [CrossRef]
- Chursin, V.I. Synthesis and use of carboxymethylated lignosulfonates. Russ. J. Appl. Chem. 2010, 83, 312–315. [Google Scholar] [CrossRef]
- Lawal, O.S.; Lechner, M.D.; Kulicke, W.M. The synthesis conditions, characterizations and thermal degradation studies of an etherified starch from an unconventional source. Polym. Degrad. Stab. 2008, 93, 1520–1528. [Google Scholar] [CrossRef]
- Yang, Z.; Li, H.; Yan, H.; Wu, H.; Yang, H.; Wu, Q.; Li, H.; Li, A.; Cheng, R. Evaluation of a novel chitosan-based flocculant with high flocculation performance, low toxicity and good floc properties. J. Hazard. Mater. 2014, 276, 480–488. [Google Scholar] [CrossRef]
- Aguir, C.; M’Henni, M.F. Experimental study on carboxymethylation of cellulose extracted from Posidonia oceanica. J. Appl. Polym. Sci. 2006, 99, 1808–1816. [Google Scholar] [CrossRef]
- Barrios, S.E.; Contreras, J.M.; Carrasquero, F.L.; Muller, A.J. Modificación química del almidón de yuca mediante reacciones de carboximetilación usando monocloro acetato de sodio como agente modificante. Rev. Fac. Ing. Univ. Cent. Venez. 2012, 27, 97–105. [Google Scholar]
- Kamel, S.; Jahangir, K. Optimization of carboxymethylation of starch in organic solvents. Int. J. Polym. Mater. 2007, 56, 511–519. [Google Scholar] [CrossRef]
- Ismail, N.M.; Bono, A.; Valintinus, A.C.R.; Nilus, S.; Chng, L.M. Optimization of reaction conditions for preparing carboxymethyl cellulose. J. Appl. Sci. 2010, 10, 2530–2536. [Google Scholar]
- Kono, H.; Oshima, K.; Hashimoto, H.; Shimizu, Y.; Tajima, K. NMR characterization of sodium carboxymethyl cellulose 2: Chemical shift assignment and conformation analysis of substituent groups. Carbohydr. Polym. 2016, 150, 241–249. [Google Scholar] [CrossRef]
- Capitani, D.; Porro, F.; Segre, A.L. High field NMR analysis of the degree of substitution in carboxymethyl cellulose sodium salt. Carbohydr. Polym. 2000, 42, 283–286. [Google Scholar] [CrossRef]
- Ambjornsson, H.A.; Schenzel, K.; Germgard, U. Carboxymethyl cellulose produced at different mercerization conditions and characterized by NIR FT Raman spectroscopy in combination with multivariate analytical methods. BioResources 2013, 8, 1918–1932. [Google Scholar]
- Namazi, H.; Rakhshaei, R.; Hamishehkar, H.; Kafil, H.S. Antibiotic loaded carboxymethylcellulose/MCM-41 nanocomposite hydrogel films as potential wound dressing. Int. J. Biol. Macromol. 2016, 85, 327–334. [Google Scholar] [CrossRef]
- Upadhyaya, L.; Singh, J.; Agarwal, V.; Tewari, R.P. Biomedical applications of carboxymethyl chitosans. Carbohydr. Polym. 2013, 91, 452–466. [Google Scholar] [CrossRef]
- Rajput, G.; Pandey, I.P.; Joshi, G. Carboxymethylation of Cassia angustifolia seed gum: Synthesis and rheological study. Carbohydr. Polym. 2015, 117, 494–500. [Google Scholar] [CrossRef]
- Wang, L.C.; Chen, X.G.; Liu, C.S.; Li, P.W.; Zhou, Y.M. Dissociation behaviors of carboxyl and amine groups on carboxymethyl-chitosan in aqueous system. J. Polym. Sci. B Polym. Phys. 2008, 46, 1419–1429. [Google Scholar] [CrossRef]
- Pestov, A.V.; Zhuravlev, N.A.; Yatluk, Y.G. Synthesis in a gel as a new procedure for preparing carboxyethyl chitosan. Russ. J. Appl. Chem. 2007, 80, 1154–1159. [Google Scholar] [CrossRef]
- Konduri, M.K.R.; Fatehi, P. Production of water-soluble hardwood kraft lignin via sulfomethylation using formaldehyde and sodium sulfite. ACS Sustain. Chem. Eng. 2015, 3, 1172–1182. [Google Scholar] [CrossRef]
- Muthuramalingam, T.; Mohan, B. Taguchi-grey relational based multi response optimization of electrical process parameters in electrical discharge machining. Indian J. Eng. Mater. Sci. 2013, 20, 471–475. [Google Scholar]
- Vankanti, V.K.; Ganta, V. Optimization of process parameters in drilling of GFRP composite using Taguchi method. J. Mater. Res. Technol. 2014, 3, 35–41. [Google Scholar] [CrossRef]
- Sasmal, S.; Goud, V.V.; Mohanty, K. Optimisation of the acid catalysed pretreatment of areca nut husk fibre using the Taguchi design method. Biosyst. Eng. 2011, 110, 465–472. [Google Scholar] [CrossRef]
- Chen, C.Y.; Yen, S.H.; Chung, Y.C. Combination of photoreactor and packed bed bioreactor for the removal of ethyl violet from wastewater. Chemosphere 2014, 117, 494–501. [Google Scholar] [CrossRef]
- Johnson, C.E.; Smernik, R.J.; Siccama, T.G.; Kiemle, D.K.; Xu, Z.; Vogt, D.J. Using 13C nuclear magnetic resonance spectroscopy for the study of northern hardwood tissues. Can. J. For. Res. 2005, 35, 1821–1831. [Google Scholar] [CrossRef]
- Kong, F.; Wang, S.; Price, J.T.; Konduri, M.K.R.; Fatehi, P. Water soluble kraft lignin–acrylic acid copolymer: Synthesis and characterization. Green Chem. 2015, 17, 4355–4366. [Google Scholar] [CrossRef]
- Sadeghifar, H.; Cui, C.; Argyropoulos, D.S. Toward thermoplastic lignin polymers. Part 1. Selective masking of phenolic hydroxyl groups in kraft lignins via methylation and oxypropylation chemistries. Ind. Eng. Chem. Res. 2012, 51, 16713–16720. [Google Scholar] [CrossRef]
- Lemieux, M.; Gosselin, P.; Mateescu, M.A. Carboxymethyl high amylose starch as excipient for controlled drug release: Mechanistic study and the influence of degree of substitution. Int. J. Pharm. 2009, 382, 172–182. [Google Scholar] [CrossRef]
- Peng, X.W.; Ren, J.L.; Peng, F.; Sun, R.C. Rapid carboxymethylation of xylan-rich hemicelluloses by microwave irradiation. Adv. Mater. Res. 2011, 236–238, 292–296. [Google Scholar] [CrossRef]
- Wyman, C.E. Aqueous Pretreatment of Plant Biomass for Biological and Chemical Conversion to Fuels and Chemicals; John Wiley & Sons Inc.: Hoboken, NJ, USA, 2013; pp. 369–390. [Google Scholar]
- Zoia, L.; Salanti, A.; Frigerio, P.; Orlandi, M. Exploring allylation and Claisen rearrangement as a novel chemical modification of lignin. BioResources 2014, 9, 6540–6561. [Google Scholar] [CrossRef]
- Mcmurry, J. Organic Chemistry; Brooks/Cole Publishing Co.: Pacific Grove, CA, USA, 1996. [Google Scholar]
- Lundquist, K. NMR studies of lignins. 4. Investigation of spruce lignin by 1H NMR spectroscopy. Acta Chem. Scand. Ser. B 1980, 34, 21–26. [Google Scholar] [CrossRef]
- Special Database for Organic Compounds, SDBS# 3508. Available online: https://sdbs.db.aist.go.jp/sdbs/cgi-bin/direct_frame_top.cgi (accessed on 10 June 2019).
- Special Database for Organic Compounds, SDBS# 582. Available online: https://sdbs.db.aist.go.jp/sdbs/cgi-bin/direct_frame_top.cgi (accessed on 10 June 2019).
- Robert, D. Carbon-13 nuclear magnetic resonance spectroscopy. In Methods in Lignin Chemistry; Lin, S.Y., Dence, C.W., Eds.; Springer: New York, NY, USA, 1992; pp. 250–273. [Google Scholar]
- Akazawa, M.; Kato, Y.; Kojima, Y. Application of two resinols as lignin dimer models to characterize reaction mechanisms during pyrolysis. J. Anal. Appl. Pyrolysis 2016, 122, 355–364. [Google Scholar] [CrossRef]
- Lutnaes, B.F.; Myrvold, B.O.; Lauten, R.A.; Endeshaw, M.M. 1H and 13C NMR data of benzylsulfonic acids—Model compounds for lignosulfonate. Magn. Reson. Chem. 2008, 46, 299–305. [Google Scholar] [CrossRef]
- Hallac, B.B. Fundamental Understanding of the Biochemical Conversion of Buddleja Davidii to Fermentable Sugars. Ph.D. Thesis, Georgia Institute of Technology, Atlanta, GA, USA, 2011. [Google Scholar]
- Ang, A.; Ashaari, Z.; Bakar, E.S.; Ibrahim, N.A. Characterization of sequential solvent fractionation and base-catalysed depolymerisation of treated alkali lignin. BioResources 2015, 10, 4137–4151. [Google Scholar] [CrossRef]
- Hu, L.; Pan, H.; Zhou, Y.; Zhang, M. Methods to improve lignin’s reactivity as a phenol substitute and as replacement for other phenolic compounds: A brief review. BioResources 2011, 6, 1–11. [Google Scholar]
- Wang, H.C.; Tian, G.; Chiu, C.Y. Invasion of moso bamboo into a Japanese cedar plantation affects the chemical composition and humification of soil organic matter. Sci. Rep. 2016, 6, 32211–32216. [Google Scholar] [CrossRef]
- Gao, H.; Chen, X.; Wei, J.; Zhang, Y.; Zhang, L.; Chang, J.; Thompson, M.L. Decomposition dynamics and changes in chemical composition of wheat straw residue under anaerobic and aerobic conditions. PLoS ONE 2016, 11, e0158172. [Google Scholar] [CrossRef]
- Li, Z.; Zhao, B.; Wang, Q.; Cao, X.; Zhang, J. Differences in chemical composition of soil organic carbon resulting from long-term fertilization strategies. PLoS ONE 2015, 10, e0124359. [Google Scholar] [CrossRef]
- Babij, N.R.; McCusker, E.O.; Whiteker, G.T.; Canturk, B.; Choy, N.; Creemer, L.C.; De Amicis, C.V.; Hewlett, N.M.; Johnson, P.L.; Knobelsdorf, J.A.; et al. NMR chemical shifts of trace impurities: Industrially preferred solvents used in process and green chemistry. Org. Process Res. Dev. 2016, 20, 661–667. [Google Scholar] [CrossRef]
- Gonzalez-Vila, F.J.; Ludemann, H.D.; Martin, F. 3C-NMR structural features of soil humic acids and their methylated, hydrolyzed and extracted derivatives. Geoderma 1983, 31, 3–15. [Google Scholar] [CrossRef]
- Lewis, N.G.; Sarkanen, S. Lignin and Lignan Biosynthesis; American Chemical Society: Washington, DC, USA, 1998; pp. 255–275. [Google Scholar]
- Mathers, N.J.; Xu, Z. Solid-state 13C NMR spectroscopy: Characterization of soil organic matter under two contrasting residue management regimes in a 2-year-old pine plantation of subtropical Australia. Geoderma 2003, 114, 19–31. [Google Scholar] [CrossRef]
- Knicker, H. Solid state CPMAS 13C and 15N NMR spectroscopy in organic geochemistry and how spin dynamics can either aggravate or improve spectra interpretation. Org. Geochem. 2011, 42, 867–890. [Google Scholar] [CrossRef]
- Mathers, N.J.; Jalota, R.K.; Dalal, R.C.; Boyd, S.E. 13C-NMR analysis of decomposing litter and fine roots in the semi-arid Mulga Lands of southern Queensland. Soil Biol. Biochem. 2007, 39, 993–1006. [Google Scholar] [CrossRef]
- Balakshin, M.Y.; Capanema, E.A. Comprehensive structural analysis of biorefinery lignins with a quantitative 13C NMR approach. RSC Adv. 2015, 5, 87187–87199. [Google Scholar] [CrossRef]
- Wen, J.L.; Sun, S.L.; Xue, B.L.; Su, R.C. Recent advances in characterization of lignin polymer by solution-state nuclear magnetic resonance (NMR) methodology. Materials 2013, 6, 359–391. [Google Scholar] [CrossRef]
- Nelson, P.; Baldock, J.A. Estimating the molecular composition of a diverse range of natural organic materials from solid-state 13C NMR and elemental analyses. Biogeochemistry 2005, 72, 1–34. [Google Scholar] [CrossRef]
- Andjia, J.; Nkengfackz, U.; Omum, T. A new prenylated isoflavone and long chain esters from two Erythrina species. J. Nat. Prod. 1990, 53, 1425–1429. [Google Scholar]
- Yang, H.; Zheng, X.; Yao, L.; Xie, Y. Structural changes of lignin in the soda-AQ pulping process studied using the carbon-13 tracer method. BioResources 2014, 9, 176–190. [Google Scholar] [CrossRef]
- Xia, Z.; Akim, L.G.; Argyropoulos, D.S. Quantitative 13C NMR analysis of lignins with internal standards. J. Agric. Food Chem. 2001, 49, 3573–3578. [Google Scholar] [CrossRef]
- Fulmer, G.R.; Miller, A.J.M.; Sherden, N.H.; Gottlieb, H.E.; Nudelman, A.; Stoltz, B.M.; Bercaw, J.E.; Goldberg, K.I. NMR chemical shifts of trace impurities: Common laboratory solvents, organics, and gases in deuterated solvents relevant to the organometallic chemist. Organometallics 2010, 29, 2176–2179. [Google Scholar] [CrossRef]
- Ren, J.L.; Peng, F.; Sun, R.C. The effect of hemicellulosic derivatives on the strength properties of old corrugated container pulp fibres. J. Biobased Mater. Bioenergy 2009, 3, 62–68. [Google Scholar] [CrossRef]
- Wu, D.; Chang, P.R.; Ma, X. Preparation and properties of layered double hydroxide–carboxymethylcellulose sodium/glycerol plasticized starch nanocomposites. Carbohydr. Polym. 2011, 86, 877–882. [Google Scholar] [CrossRef]
- Sangseethong, K.; Chatakanonda, P.; Wansuksri, R.; Sriroth, K. Influence of reaction parameters on carboxymethylation of rice starches with varying amylose contents. Carbohydr. Polym. 2015, 115, 186–192. [Google Scholar] [CrossRef]
- Bhattacharyya, D.; Singhal, R.S.; Kulkarni, P.R. A comparative account of conditions for synthesis of sodium carboxymethyl starch from corn and amaranth starch. Carbohydr. Polym. 1995, 27, 247–253. [Google Scholar] [CrossRef]
- Lawal, O.S.; Lechner, M.D.; Hartmann, B.; Kulicke, W.M. Carboxymethyl cocoyam starch: Synthesis, characterisation and influence of reaction parameters. Starch 2007, 59, 224–233. [Google Scholar] [CrossRef]
- Yokota, H. The mechanism of cellulose alkalization in the isopropyl alcohol–water–sodium hydroxide–cellulose system. J. Appl. Polym. Sci. 1985, 30, 263–277. [Google Scholar] [CrossRef]
- Soutsas, K.; Karayannis, V.; Poulios, I.; Riga, A.; Ntampegliotis, K.; Spiliotis, X.; Papapolymerou, G. Decolorization and degradation of reactive azo dyes via heterogeneous photocatalytic processes. Desalination 2010, 250, 345–350. [Google Scholar] [CrossRef]
- Wang, S.; Hou, Q.; Kong, F.; Fatehi, P. Production of cationic xylan–METAC copolymer as a flocculant for textile industry. Carbohydr. Polym. 2015, 124, 229–236. [Google Scholar] [CrossRef]
- Li, H.; Long, J.; Xu, Z.; Masliyah, J.H. Effect of molecular weight and charge density on the performance of polyacrylamide in low-grade oil sand ore processing. Can. J. Chem. Eng. 2008, 86, 177–185. [Google Scholar] [CrossRef]
- Zafar, M.S.; Tausif, M.; Mohsin, M.; Ahmad, S.W.; Zia-ul-Haq, M. Potato starch as a coagulant for dye removal from textile wastewater. Water Air Soil Pollut. 2015, 226, 244. [Google Scholar] [CrossRef]









| Selected Groups (ppm) | δExp. (ppm) | Peak Assignment According to Literature Data | δ (ppm) | ||
|---|---|---|---|---|---|
| LS | 1−CPRLS | 5−CPELS | |||
| Carbonyl C (C = O) (200.0–160.0) [85] | - | 178−174 | 179−177 | Carboxylic acid units | 173.0 [86], (172.8–171.2, 170.7–168.8) [76], 172.8 [81] |
| Aromatic C–O (ArC3, C4) (160.3–144.0) [75] * (160.0–140.0) [76] (154.6–140.7) [93] | 148–136 | 160–141 | 156–140 | ArC4 in H-type units | 157.8 [75] *, 156.4 [67,78] |
| ArC3/C3′ in etherified 5-5 units | 152.1 [67] | ||||
| ArC4 in etherified G-type units with αC = O | 151.3 [75] * | ||||
| ArC3 in etherified G-type β-O-4 units | (151.5–151.1) [75] *, 149.1 [67] | ||||
| ArC3 in etherified G-type units | 149.7 [89], 149.4 [67,77], 149.0 [75] * | ||||
| ArC3/C3′ in pinoresinol structure | 148.6 [74] | ||||
| ArC4 in etherified G-type units | 148.2 [75] *, 146.8 [67,77,89] | ||||
| ArC3 in non-etherified G-type β-O-4 units | (148.7–148.1) [75] *, 146.6 [67] | ||||
| ArC4 in non-etherified G-type β-O-4 units | (147.1–146.6) [75] *, 145.8 [67,77,89] | ||||
| ArC4/C4′ in pinoresinol structure | 146.7 [74] | ||||
| ArC4/C4′ in etherified 5-5 units | 145.0 [74] | ||||
| ArC4/C4′ in non-etherified 5-5 units | 144.0 [75] *,143.3 [67,89] | ||||
| ArC4 in ring β of β-5 units | 143.3 [67,89] | ||||
| Aromatic C–C (ArC2,C5 condensed) (140.7–123.4) [93] (140.3–122.9) [93] * (140.0–123.0) [76] | 136–114 | 141–118 | 140–118 | ArC1 in etherified G-type units | 137.5 [75] *, 134.6 [67,77] |
| ArC1/C1′ in pinoresinol structure | 132.9 [74] | ||||
| ArC5/C5′ in etherified 5-5 units | 132.4 [67,77,89] | ||||
| ArC1 in non-etherified 5-5 units | 131.2 [75] *, 131.1 [67,89] | ||||
| ArC2/C6′ in H-type units | 128.6 [92], 128.1 [67], 128.0 [86] | ||||
| ArC5/C5′ in non-etherified 5-5 units | 126.8 [75] *, 125.9 [67,77,89] | ||||
| Aromatic C–H (ArC2,C5,C6–H) (131.5–108.5) [50] * (123.4–105.3) [67] (123.0–103.0) [51] | 113–106 | 118–107 | 118–100 | ArC6 in G-type units | (125.2–120.0) [75] *, 124.0 [75], (123.0–117.0) [76], (119.9, 119.4, 118.4) [67,89], 118.4 [77] |
| ArC5 in G-type units | (118.1–111.4) [75] *, (117.0–114.0) [76], (115.1, 114.7) [67,77,89] | ||||
| ArC5/C5′ in pinoresinol structure | 115.7 [74] | ||||
| ArC3,C5 in H-type units | 115.0 [75] | ||||
| ArC2 in G-type units | (115.2–111.3) [75] *, (114.0–108.0) [76], (111.1–110.4) [67,89] | ||||
| ArC2/C2′ in pinoresinol structure | 110.3 [74] | ||||
| Cα,Cβ, Cγ (90.0–58.6) [93] (89.8–58.6) [93] (81.9–56.3) [75] * | 80–58 | 86–59 | 89–60 | Cβ in β-O-4, Cα in β-5 and β-β units | (90.0–82.5) [88], (90.0–78.0) [76] |
| Cα in pinoresinol structure | 87.0 [74] | ||||
| Cα in β-5 and G-type β-5 units | 86.7 [92], 86.6 [67,89], (68.2–68.7) [75] * | ||||
| Cβ in G-type β-O-4 units | (84.6–83.8) [67],84.2 [92], (81.9–77.7) [75] * | ||||
| Cα, Cγ in β-β units | (84.3, 71.1) [92] | ||||
| Cα in β-O-4 and G-type β-O-4 units | (78.0–67.0) [76], 72.8 [92], (71.8, 71.2) [67,89], 71.2 [77], (68.0, 66.7) [75] * | ||||
| Cγ in β-β units | 72.4 [89] | ||||
| Cγ in pinoresinol structure | 72.3 [74] | ||||
| Cγ in β-O-4 and G-type β-O-4 units with αC = O | 63.2 [67,89], 53.7 [75] * | ||||
| Cγ in G-type β-5 and β-1 units | 62.8 [67,77,89] | ||||
| Cγ in β-O-4 and G-type β-O-4 units (without αC = O) | (62.8, 62.7) [75] *, (61.3–58.0) [76], 60.2 [67,77,89], (59.0–61.0) [88] | ||||
| Methoxyl, Cβ in β-β and β-5 units (52.0–58.0) [76] | 58–52 | 59–54 | 59–53 | Methoxyl (-OCH3) | (58.0–54.0) [76], 56.5 [92], 56.2 [74], 56.0 [62,86,87], 55.6 [67,89] |
| Methoxyl and Cβ in β-5 units | (58.1–52.5) [93], (56.5–52.0) [75] * | ||||
| Cβ in pinoresinol structure | 54.8 [74] | ||||
| Cβ in β-β and β-5 units | (54.0–53.0) [88], (54.0–52.0) [76] | ||||
| Cβ in β-β units | 53.8 [77], 53.9 [67,89] | ||||
| Cβ in β-5 units | 53.4 [67,77,89] | ||||
| Alkyl C (10.0–45.0) [90] (0.0–45.0) [86] | - | 27–8 | 38–22 | Terminal methyl (-CH3) and methylene (-CH2-) in saturated aliphatic chain | 45–10 [90], 41.2–12.1 [75] *, 26.7 [89] |
| Methylene groups in aliphatic rings and side chains | 45–25 [86], 29.2 [89], 27 [76] | ||||
| Terminal methyl groups | 25–0 [86], 12–15 [76], 14.0 [89] | ||||
| Expt. No. | Control Factors and Their Levels | Dependent Variables | ||||||
|---|---|---|---|---|---|---|---|---|
| 1-CPRLS | 5-CPELS | |||||||
| Temp. (°C) | ClCBAi */LS (mol·mol−1) | Time (h) | H2O/IPA (vol.%) | CD (meq·g−1) | Mw (g·mol−1) | CD (meq·g−1) | Mw (g·mol−1) | |
| 1 | 60 | 1.0 | 1.0 | 10 | 3.04 | 33,159 | 2.69 | 34,124 |
| 2 | 70 | 2.0 | 1.0 | 15 | 3.25 | 56,234 | 2.81 | 36,413 |
| 3 | 80 | 1.5 | 1.0 | 20 | 2.47 | 48,437 | 2.82 | 24,302 |
| 4 | 60 | 1.5 | 1.5 | 15 | 3.14 | 52,455 | 2.75 | 39,009 |
| 5 | 70 | 1.0 | 1.5 | 20 | 3.30 | 32,490 | 2.93 | 32,070 |
| 6 | 80 | 2.0 | 1.5 | 10 | 3.37 | 81,175 | 3.12 | 38,681 |
| 7 | 60 | 2.0 | 2.0 | 20 | 3.17 | 30,496 | 2.86 | 33,787 |
| 8 | 70 | 1.5 | 2.0 | 10 | 3.35 | 61,665 | 2.08 | 41,958 |
| 9 | 80 | 1.0 | 2.0 | 15 | 3.45 | 87,938 | 2.94 | 42,364 |
| Sample | CD (meq·g−1) (±0.10) | Carboxylic acid Group Content (mmol·g−1) (±0.10) | DS (mol·mol−1) (±0.02) | Phenolic-OH Group Content (mmol·g−1) (±0.10) | Empirical Formula (* the basic unit) | Mw (g·mol−1) | Mn (g·mol−1) | Mw/Mn | Yield (%) (±0.1) |
|---|---|---|---|---|---|---|---|---|---|
| LS | 2.21 | 0.08 | 0.02 | 0.81 | C9.00H9.47 S0.45O5.71 | 32,506 | 19,641 | 1.66 | - |
| 1-CPRLS | 3.45 | 2.37 | 0.70 | 0.43 | C9.00H10.87S0.35O6.53 | 87,938 | 18,044 | 4.87 | 83.4 |
| 5-CPELS | 2.94 | 2.13 | 0.66 | 0.69 | C9.00H10.98S0.34O6.01 | 42,364 | 14,961 | 2.83 | 80.5 |
| MLS | 2.17 | 0.03 | 0.01 | 0.09 | C9.00H9.82S0.44O5.46 | 40,086 | 16,145 | 2.48 | - |
| 1-CPRMLS | 2.29 | 0.51 | 0.12 | 0.07 | C9.00H10.40S0.25O5.78 | 34,417 | 9152 | 3.76 | - |
| 5-CPEMLS | 2.25 | 0.37 | 0.09 | 0.08 | C9.00H9.18S0.27O5.63 | 27,014 | 5908 | 4.57 | - |
| 1-CELS | 3.51 [20] | 2.63 [20] | 0.78 [20] | 0.34 [20] | C9.00H9.78 N0.05S0.28O6.20 [20] | 46,493 [20] | 26,209 [20] | 1.77 [20] | 87.8 |
© 2019 by the authors. Licensee MDPI, Basel, Switzerland. This article is an open access article distributed under the terms and conditions of the Creative Commons Attribution (CC BY) license (http://creativecommons.org/licenses/by/4.0/).
Share and Cite
Bahrpaima, K.; Fatehi, P. Preparation and Coagulation Performance of Carboxypropylated and Carboxypentylated Lignosulfonates for Dye Removal. Biomolecules 2019, 9, 383. https://doi.org/10.3390/biom9080383
Bahrpaima K, Fatehi P. Preparation and Coagulation Performance of Carboxypropylated and Carboxypentylated Lignosulfonates for Dye Removal. Biomolecules. 2019; 9(8):383. https://doi.org/10.3390/biom9080383
Chicago/Turabian StyleBahrpaima, Khatereh, and Pedram Fatehi. 2019. "Preparation and Coagulation Performance of Carboxypropylated and Carboxypentylated Lignosulfonates for Dye Removal" Biomolecules 9, no. 8: 383. https://doi.org/10.3390/biom9080383
APA StyleBahrpaima, K., & Fatehi, P. (2019). Preparation and Coagulation Performance of Carboxypropylated and Carboxypentylated Lignosulfonates for Dye Removal. Biomolecules, 9(8), 383. https://doi.org/10.3390/biom9080383

