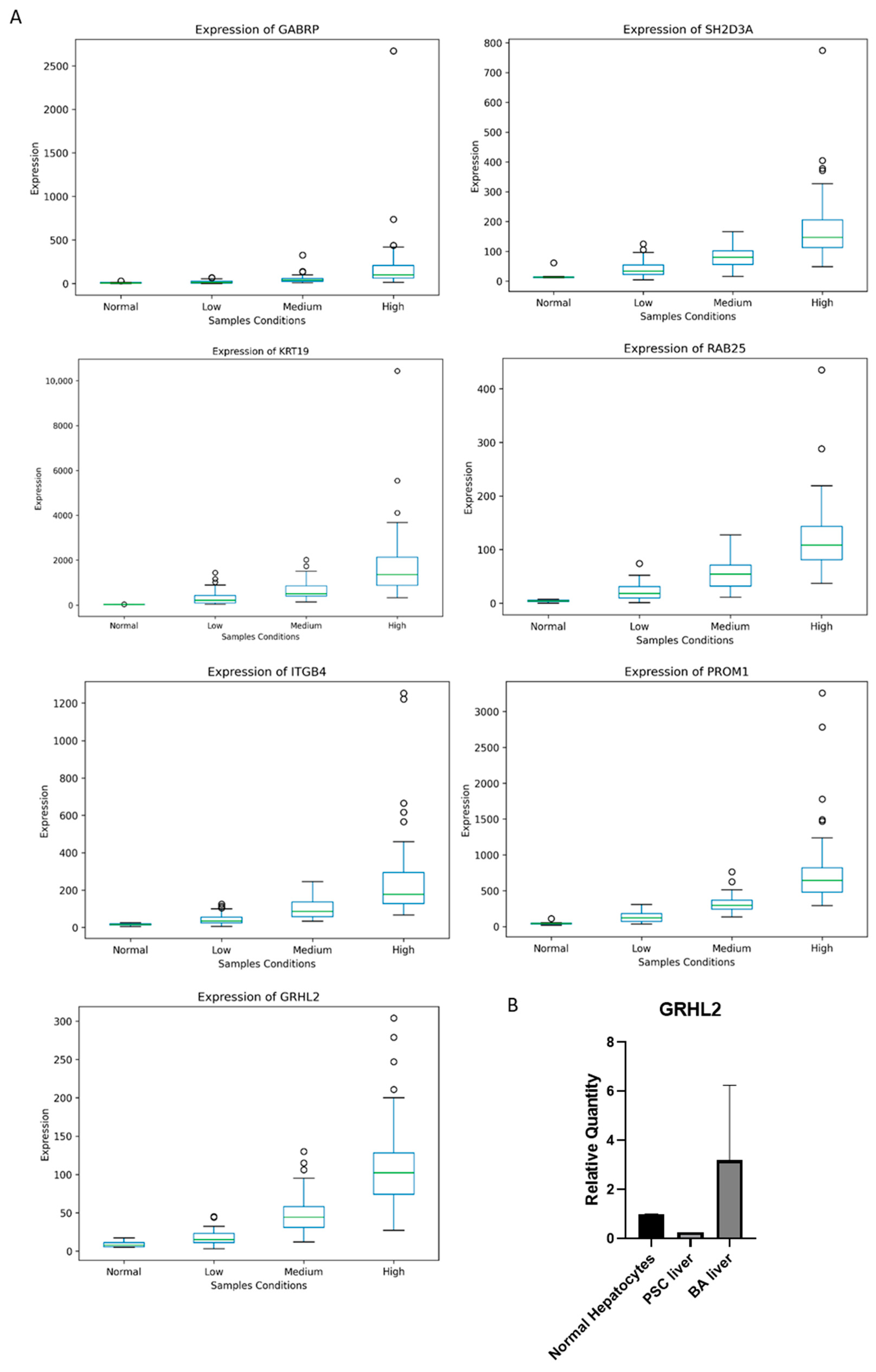
Elevated Epithelial Splicing Regulatory Protein 1 Expression in Biliary Atresia Indicates Its Potential as a Molecular Marker
Abstract
Share and Cite
Ammirata, G.; Navarro-Tableros, V.; Manco, M.; Zubair, G.; Di Costanzo, L.; Chiusa, L.; Ponte, A.; Pinon, M.; Romagnoli, R.; Weiskirchen, R.; et al. Elevated Epithelial Splicing Regulatory Protein 1 Expression in Biliary Atresia Indicates Its Potential as a Molecular Marker. Biomolecules 2026, 16, 9. https://doi.org/10.3390/biom16010009
Ammirata G, Navarro-Tableros V, Manco M, Zubair G, Di Costanzo L, Chiusa L, Ponte A, Pinon M, Romagnoli R, Weiskirchen R, et al. Elevated Epithelial Splicing Regulatory Protein 1 Expression in Biliary Atresia Indicates Its Potential as a Molecular Marker. Biomolecules. 2026; 16(1):9. https://doi.org/10.3390/biom16010009
Chicago/Turabian StyleAmmirata, Giorgia, Victor Navarro-Tableros, Marta Manco, Ghania Zubair, Luca Di Costanzo, Luigi Chiusa, Alice Ponte, Michele Pinon, Renato Romagnoli, Ralf Weiskirchen, and et al. 2026. "Elevated Epithelial Splicing Regulatory Protein 1 Expression in Biliary Atresia Indicates Its Potential as a Molecular Marker" Biomolecules 16, no. 1: 9. https://doi.org/10.3390/biom16010009
APA StyleAmmirata, G., Navarro-Tableros, V., Manco, M., Zubair, G., Di Costanzo, L., Chiusa, L., Ponte, A., Pinon, M., Romagnoli, R., Weiskirchen, R., Cassoni, P., Calvo, P. L., Ala, U., Altruda, F., & Fagoonee, S. (2026). Elevated Epithelial Splicing Regulatory Protein 1 Expression in Biliary Atresia Indicates Its Potential as a Molecular Marker. Biomolecules, 16(1), 9. https://doi.org/10.3390/biom16010009

