The Anti-Inflammatory Effects of Resistance Training in Patients with Type 2 Diabetes: A Systematic Review and Meta-Analysis
Abstract
1. Introduction
2. Materials and Methods
2.1. Criteria for Considering Studies for This Review
2.2. Search Methods
2.3. Data Collection and Extraction
2.4. Assessment of Methodological Quality
2.5. Statistical Analysis and Data Synthesis
3. Results
4. Discussion
5. Conclusions
6. Limitations
Author Contributions
Funding
Institutional Review Board Statement
Informed Consent Statement
Data Availability Statement
Conflicts of Interest
References
- Laakso, M. Biomarkers for type 2 diabetes. Mol. Metab. 2019, 27, S139–S146. [Google Scholar] [CrossRef] [PubMed]
- Einarson, T.R.; Acs, A.; Ludwig, C.; Panton, U.H. Prevalence of cardiovascular disease in type 2 diabetes: A systematic literature review of scientific evidence from across the world in 2007–2017. Cardiovasc. Diabetol. 2018, 17, 83. [Google Scholar] [CrossRef]
- Sigal, R.J.; Kenny, G.P.; Boulé, N.G.; Wells, G.A.; Prud′HOmme, D.; Fortier, M.; Reid, R.D.; Tulloch, H.; Coyle, D.; Phillips, P.; et al. Effects of Aerobic Training, Resistance Training, or Both on Glycemic Control in Type 2 Diabetes: A Randomized Trial. Ann. Intern. Med. 2007, 147, 357. [Google Scholar] [CrossRef]
- Ruegsegger, G.N.; Booth, F.W. Health Benefits of Exercise. Cold Spring Harb. Perspect. Med. 2018, 8, a029694. [Google Scholar] [CrossRef] [PubMed]
- Kadoglou, N.P.E.; Fotiadis, G.; Kapelouzou, A.; Kostakis, A.; Liapis, C.D.; Vrabas, I.S. The differential anti-inflammatory effects of exercise modalities and their association with early carotid atherosclerosis progression in patients with Type 2 diabetes. Diabet. Med. 2013, 30, e41–e50. [Google Scholar] [CrossRef]
- Wang, X.; Bao, W.; Liu, J.; OuYang, Y.Y.; Wang, D.; Rong, S.; Xiao, X.; Shan, Z.-L.; Zhang, Y.; Yao, P.; et al. Inflammatory Markers and Risk of Type 2 Diabetes. Diabetes Care 2013, 36, 166–175. [Google Scholar] [CrossRef]
- Kadoglou, N.P.E.; Velidakis, N.; Khattab, E.; Kassimis, G.; Patsourakos, N. The interplay between statins and adipokines is this another explanation of statins’ ‘pleiotropic’ effects? Cytokine 2021, 148, 155698. [Google Scholar] [CrossRef]
- Esser, N.; Legrand-Poels, S.; Piette, J.; Scheen, A.J.; Paquot, N. Inflammation as a link between obesity, metabolic syndrome and type 2 diabetes. Diabetes Res. Clin. Pract. 2014, 105, 141–150. [Google Scholar] [CrossRef]
- Ouchi, N.; Parker, J.L.; Lugus, J.J.; Walsh, K. Adipokines in inflammation and metabolic disease. Nat. Rev. Immunol. 2011, 11, 85–97. [Google Scholar] [CrossRef]
- Liu, L.; Shi, Z.; Ji, X.; Zhang, W.; Luan, J.; Zahr, T.; Qiang, L. Adipokines, adiposity, and atherosclerosis. Cell Mol. Life Sci. 2022, 79, 272. [Google Scholar] [CrossRef] [PubMed]
- Kadoglou, N.P.E.; Kassimis, G.; Patsourakos, N.; Kanonidis, I.; Valsami, G. Omentin-1 and vaspin serum levels in patients with pre-clinical carotid atherosclerosis and the effect of statin therapy on them. Cytokine 2021, 138, 155364. [Google Scholar] [CrossRef]
- Papagianni, G.; Panayiotou, C.; Vardas, M.; Balaskas, N.; Antonopoulos, C.; Tachmatzidis, D.; Didangelos, T.; Lambadiari, V.; Kadoglou, N.P. The anti-inflammatory effects of aerobic exercise training in patients with type 2 diabetes: A systematic review and meta-analysis. Cytokine 2023, 164, 156157. [Google Scholar] [CrossRef]
- Fernández-Rodríguez, R.; Monedero-Carrasco, S.; Bizzozero-Peroni, B.; Garrido-Miguel, M.; Mesas, A.E.; Martínez-Vizcaíno, V. Effectiveness of Resistance Exercise on Inflammatory Biomarkers in Patients with Type 2 Diabetes Mellitus: A Systematic Review with Meta-Analysis. Diabetes Metab. J. 2023, 47, 118–134. [Google Scholar] [CrossRef] [PubMed]
- Xing, H.; Lu, J.; Yoong, S.Q.; Tan, Y.Q.; Kusuyama, J.; Wu, X.V. Effect of Aerobic and Resistant Exercise Intervention on Inflammaging of Type 2 Diabetes Mellitus in Middle-Aged and Older Adults: A Systematic Review and Meta-Analysis. J. Am. Med. Dir. Assoc. 2022, 23, 823–830.e13. [Google Scholar] [CrossRef]
- McInnes, M.D.F.; Moher, D.; Thombs, B.D.; McGrath, T.A.; Bossuyt, P.M.; Clifford, T.; Cohen, J.F.; Deeks, J.J.; Gatsonis, C.; Hooft, L.; et al. Preferred Reporting Items for a Systematic Review and Meta-analysis of Diagnostic Test Accuracy Studies: The PRISMA-DTA Statement. JAMA 2018, 319, 388. [Google Scholar] [CrossRef] [PubMed]
- Higgins, J.P.T.; Thomas, J.; Chandler, J.; Cumpston, M.; Li, T.; Page, M.J.; Welch, V.A. (Eds.) Cochrane Handbook for Systematic Reviews of Interventions, 2nd ed.; John Wiley & Sons: Chichester, UK, 2019. [Google Scholar]
- Bhati, P.; Hussain, M.E.; Deepak, K.K.; Masood, S.; Anand, P. Progressive resistance training ameliorates deteriorating cardiac autonomic dysfunction, subclinical inflammation and endothelial dysfunction in type 2 diabetes mellitus: A randomized control trial. Diabetes Metab. Syndr. 2023, 17, 102778. [Google Scholar] [CrossRef]
- Brooks, N.; Layne, J.E.; Gordon, P.L.; Roubenoff, R.; Nelson, M.E.; Castaneda-Sceppa, C. Strength training improves muscle quality and insulin sensitivity in Hispanic older adults with type 2 diabetes. Int. J. Med. Sci. 2007, 4, 19–27. [Google Scholar] [CrossRef] [PubMed]
- Dadrass, A.; Mohamadzadeh Salamat, K.; Hamidi, K.; Azizbeigi, K. Anti-inflammatory effects of vitamin D and resistance training in men with type 2 diabetes mellitus and vitamin D deficiency: A randomized, double-blinded, placebo-controlled clinical trial. J. Diabetes Metab. Disord. 2019, 18, 323–331. [Google Scholar] [CrossRef]
- Ghodrat, L.; Razeghian Jahromi, I.; Koushkie Jahromi, M.; Nemati, J. Effect of performing high-intensity interval training and resistance training on the same day vs. different days in women with type 2 diabetes. Eur. J. Appl. Physiol. 2022, 122, 2037–2047. [Google Scholar] [CrossRef]
- SJangjo-Borazjani, M.; Dastgheib, E.; Kiyamarsi, R.; Jamshidi, S.; Rahmati-Ahmadabad, M.; Helalizadeh, R.; Iraji, S.M.; Cornish, S.; Mohammadi-Darestani, Z.; Khojasteh, M.A.; et al. Effects of resistance training and nigella sativa on type 2 diabetes: Implications for metabolic markers, low grade inflammation and liver enzyme production. Arch. Physiol. Biochem. 2021, 129, 913–921. [Google Scholar] [CrossRef]
- Jorge, M.L.M.P.; de Oliveira, V.N.; Resende, N.M.; Paraiso, L.F.; Calixto, A.; Diniz, A.L.D.; Resende, E.S.; Ropelle, E.R.; Carvalheira, J.B.; Espindola, F.S.; et al. The effects of aerobic, resistance, and combined exercise on metabolic control, inflammatory markers, adipocytokines, and muscle insulin signaling in patients with type 2 diabetes mellitus. Metabolism 2011, 60, 1244–1252. [Google Scholar] [CrossRef]
- Kadoglou, N.P.E.; Fotiadis, G.; Athanasiadou, Z.; Vitta, I.; Lampropoulos, S.; Vrabas, I.S. The effects of resistance training on ApoB/ApoA-I ratio, Lp(a) and inflammatory markers in patients with type 2 diabetes. Endocrine 2012, 42, 561–569. [Google Scholar] [CrossRef]
- Ku, Y.; Han, K.; Ahn, H.; Kwon, H.; Koo, B.; Kim, H.; Min, K. Resistance Exercise Did Not Alter Intramuscular Adipose Tissue but Reduced Retinol-binding Protein-4 Concentration in Individuals with Type 2 Diabetes Mellitus. J. Int. Med. Res. 2010, 38, 782–791. [Google Scholar] [CrossRef]
- Magalhães, J.P.; Santos, D.A.; Correia, I.R.; Hetherington-Rauth, M.; Ribeiro, R.; Raposo, J.F.; Matos, A.; Bicho, M.D.; Sardinha, L.B. Impact of combined training with different exercise intensities on inflammatory and lipid markers in type 2 diabetes: A secondary analysis from a 1-year randomized controlled trial. Cardiovasc. Diabetol. 2020, 19, 169. [Google Scholar] [CrossRef]
- Mavros, Y.; Kay, S.; Simpson, K.A.; Baker, M.K.; Wang, Y.; Zhao, R.R.; Meiklejohn, J.; Climstein, M.; O’SUllivan, A.J.; de Vos, N.; et al. Reductions in C-reactive protein in older adults with type 2 diabetes are related to improvements in body composition following a randomized controlled trial of resistance training. J. Cachexia Sarcopenia Muscle 2014, 5, 111–120. [Google Scholar] [CrossRef] [PubMed]
- Miller, E.G.; Sethi, P.; Nowson, C.A.; Dunstan, D.W.; Daly, R.M. Effects of progressive resistance training and weight loss versus weight loss alone on inflammatory and endothelial biomarkers in older adults with type 2 diabetes. Eur. J. Appl. Physiol. 2017, 117, 1669–1678. [Google Scholar] [CrossRef] [PubMed]
- Rech, A.; Botton, C.E.; Lopez, P.; Quincozes-Santos, A.; Umpierre, D.; Pinto, R.S. Effects of short-term resistance training on endothelial function and inflammation markers in elderly patients with type 2 diabetes: A randomized controlled trial. Exp. Gerontol. 2019, 118, 19–25. [Google Scholar] [CrossRef]
- Sabouri, M.; Hatami, E.; Pournemati, P.; Shabkhiz, F. Inflammatory, antioxidant and glycemic status to different mode of high-intensity training in type 2 diabetes mellitus. Mol. Biol. Rep. 2021, 48, 5291–5304. [Google Scholar] [CrossRef]
- Swift, D.L.; Johannsen, N.M.; Earnest, C.P.; Blair, S.N.; Church, T.S. Effect of Exercise Training Modality on C-Reactive Protein in Type 2 Diabetes. Med. Sci. Sports Exerc. 2012, 44, 1028–1034. [Google Scholar] [CrossRef] [PubMed]
- Wycherley, T.P.; Noakes, M.; Clifton, P.M.; Cleanthous, X.; Keogh, J.B.; Brinkworth, G.D. A High-Protein Diet With Resistance Exercise Training Improves Weight Loss and Body Composition in Overweight and Obese Patients With Type 2 Diabetes. Diabetes Care 2010, 33, 969–976. [Google Scholar] [CrossRef]
- Haß, U.; Heider, S.; Kochlik, B.; Herpich, C.; Pivovarova-Ramich, O.; Norman, K. Effects of Exercise and Omega-3-Supplemented, High-Protein Diet on Inflammatory Markers in Serum, on Gene Expression Levels in PBMC, and after Ex Vivo Whole-Blood LPS Stimulation in Old Adults. Int. J. Mol. Sci. 2023, 24, 928. [Google Scholar] [CrossRef] [PubMed]
- Memelink, R.G.; Njemini, R.; Kuil, M.J.d.B.; Wopereis, S.; Bosch, J.d.V.-V.D.; Schoufour, J.D.; Tieland, M.; Weijs, P.J.; Bautmans, I. The effect of a combined lifestyle intervention with and without protein drink on inflammation in older adults with obesity and type 2 diabetes. Exp. Gerontol. 2024, 190, 112410. [Google Scholar] [CrossRef]
- Arikawa, A.Y.; Thomas, W.; Schmitz, K.H.; Kurzer, M.S. Sixteen Weeks of Exercise Reduces C-Reactive Protein Levels in Young Women. Med. Sci. Sports Exerc. 2011, 43, 1002–1009. [Google Scholar] [CrossRef]
- Pan, B.; Ge, L.; Xun, Y.-Q.; Chen, Y.-J.; Gao, C.-Y.; Han, X.; Zuo, L.-Q.; Shan, H.-Q.; Yang, K.-H.; Ding, G.-W.; et al. Exercise training modalities in patients with type 2 diabetes mellitus: A systematic review and network meta-analysis. Int. J. Behav. Nutr. Phys. Act. 2018, 15, 72. [Google Scholar] [CrossRef]
- Li, J.; Li, J.; Lu, Y. Effects of resistance training on insulin sensitivity in the elderly: A meta-analysis of randomized controlled trials. J. Exerc. Sci. Fit. 2021, 19, 241–251. [Google Scholar] [CrossRef]
- Feng, M.; Gu, L.; Zeng, Y.; Gao, W.; Cai, C.; Chen, Y.; Guo, X. The efficacy of resistance exercise training on metabolic health, body composition, and muscle strength in older adults with type 2 diabetes: A systematic review and Meta-Analysis. Diabetes Res. Clin. Pract. 2025, 222, 112079. [Google Scholar] [CrossRef]
- Harrison, A.L.; Shields, N.; Taylor, N.F.; Frawley, H.C. Exercise improves glycaemic control in women diagnosed with gestational diabetes mellitus: A systematic review. J. Physiother. 2016, 62, 188–196. [Google Scholar] [CrossRef] [PubMed]
- Tan, L.; Yan, W.; Zhang, B.; Zhao, Z.; Lipowski, M.; Ossowski, Z. Comparative efficacy of different exercise types on inflammatory markers in women with overweight and obesity: A systematic review and network meta-analysis of randomized controlled trials. J. Sci. Med. Sport. 2024, 27, 458–465. [Google Scholar] [CrossRef]
- Donges, C.E.; Duffield, R.; Drinkwater, E.J. Effects of Resistance or Aerobic Exercise Training on Interleukin-6, C-Reactive Protein, and Body Composition. Med. Sci. Sports Exerc. 2010, 42, 304–313. [Google Scholar] [CrossRef]
- Henein, M.Y.; Vancheri, S.; Longo, G.; Vancheri, F. The Role of Inflammation in Cardiovascular Disease. Int. J. Mol. Sci. 2022, 23, 12906. [Google Scholar] [CrossRef] [PubMed]
- Hejazi, K.; Wong, A. Effects of exercise training on inflammatory and cardiometabolic health markers in overweight and obese adults: A systematic review and meta-analysis of randomized controlled trials. J. Sports Med. Phys. Fit. 2023, 63, 345–359. [Google Scholar] [CrossRef]
- Hejazi, K.; Mohammad Rahimi, G.R.; Rosenkranz, S.K. Effects of Exercise Training on Inflammatory and Cardiometabolic Risk Biomarkers in Patients With Type 2 Diabetes Mellitus: A Systematic Review and Meta-Analysis of Randomized Controlled Trials. Biol. Res. Nurs. 2023, 25, 250–266. [Google Scholar] [CrossRef]
- Chen, Y.; Ma, Y.; Tang, J.; Zhang, D.; Zhao, Q.; Liu, J.; Tang, H.; Zhang, J.; He, G.; Zhong, C.; et al. Physical exercise attenuates age-related muscle atrophy and exhibits anti-ageing effects via the adiponectin receptor 1 signalling. J. Cachexia Sarcopenia Muscle 2023, 14, 1789–1801. [Google Scholar] [CrossRef]
- Agostinis-Sobrinho, C.; Santos, R.; Moreira, C.; Abreu, S.; Lopes, L.; Oliveira-Santos, J.; Rosário, R.; Póvoas, S.; Mota, J. Association between serum adiponectin levels and muscular fitness in Portuguese adolescents: LabMed Physical Activity Study. Nutr. Metab. Cardiovasc. Dis. 2016, 26, 517–524. [Google Scholar] [CrossRef] [PubMed]
- Fang, H.; Judd, R.L. Adiponectin Regulation and Function. Compr. Physiol. 2018, 8, 1031–1063. [Google Scholar] [CrossRef]
- Shklyaev, S.S.; Melnichenko, G.A.; Volevodz, N.N.; Falaleeva, N.A.; Ivanov, S.A.; Kaprin, A.D.; Mokrysheva, N.G. Adiponectin: A pleiotropic hormone with multifaceted roles. Probl. Endokrinol. 2021, 67, 98–112. [Google Scholar] [CrossRef] [PubMed]
- Lau, W.B.; Ohashi, K.; Wang, Y.; Ogawa, H.; Murohara, T.; Ma, X.L.; Ouchi, N. Role of Adipokines in Cardiovascular Disease. Circ. J. 2017, 81, 920–928. [Google Scholar] [CrossRef]
- Shinmura, K. Is adiponectin a bystander or a mediator in heart failure? The tangled thread of a good-natured adipokine in aging and cardiovascular disease. Heart Fail. Rev. 2010, 15, 457–466. [Google Scholar] [CrossRef]
- Makiel, K.; Suder, A.; Targosz, A.; Maciejczyk, M.; Haim, A. Exercise-Induced Alternations of Adiponectin, Interleukin-8 and Indicators of Carbohydrate Metabolism in Males with Metabolic Syndrome. Biomolecules 2023, 13, 852. [Google Scholar] [CrossRef]
- Said, E.A.; Al-Reesi, I.; Al-Shizawi, N.; Jaju, S.; Al-Balushi, M.S.; Koh, C.Y.; Al-Jabri, A.A.; Jeyaseelan, L. Defining IL-6 levels in healthy individuals: A meta-analysis. J. Med. Virol. 2021, 93, 3915–3924. [Google Scholar] [CrossRef] [PubMed]
- Mihara, M.; Hashizume, M.; Yoshida, H.; Suzuki, M.; Shiina, M. IL-6/IL-6 receptor system and its role in physiological and pathological conditions. Clin. Sci. 2012, 122, 143–159. [Google Scholar] [CrossRef]
- Scheller, J.; Chalaris, A.; Schmidt-Arras, D.; Rose-John, S. The pro- and anti-inflammatory properties of the cytokine interleukin-6. Biochim. Biophys. Acta 2011, 1813, 878–888. [Google Scholar] [CrossRef]
- Su, X.; He, J.; Cui, J.; Li, H.; Men, J. The effects of aerobic exercise combined with resistance training on inflammatory factors and heart rate variability in middle-aged and elderly women with type 2 diabetes mellitus. Ann. Noninvasive Electrocardiol. 2022, 27, e12996. [Google Scholar] [CrossRef]
- Zouhal, H.; Zare-Kookandeh, N.; Haghighi, M.M.; Daraei, A.; de Sousa, M.; Soltani, M.; Ben Abderrahman, A.; Tijani, J.M.; Hackney, A.C.; Laher, I.; et al. Physical activity and adipokine levels in individuals with type 2 diabetes: A literature review and practical applications. Rev. Endocr. Metab. Disord. 2021, 22, 987–1011. [Google Scholar] [CrossRef] [PubMed]
- Del Giudice, M.; Gangestad, S.W. Rethinking IL-6 and CRP: Why they are more than inflammatory biomarkers, and why it matters. Brain Behav. Immun. 2018, 70, 61–75. [Google Scholar] [CrossRef]
- Pedersen, B.K.; Hoffman-Goetz, L. Exercise and the immune system: Regulation, integration, and adaptation. Physiol. Rev. 2000, 80, 1055–1081. [Google Scholar] [CrossRef]
- Libardi, C.A.; De Souza, G.V.; Cavaglieri, C.R.; Madruga, V.A.; Chacon-Mikahil, M.P.T. Effect of Resistance, Endurance, and Concurrent Training on TNF-α, IL-6, and CRP. Med. Sci. Sports Exerc. 2012, 44, 50–56. [Google Scholar] [CrossRef]
- Akash, M.S.H.; Rehman, K.; Liaqat, A. Tumor Necrosis Factor-Alpha: Role in Development of Insulin Resistance and Pathogenesis of Type 2 Diabetes Mellitus. J. Cell. Biochem. 2018, 119, 105–110. [Google Scholar] [CrossRef] [PubMed]
- Wang, Y.-H.; Jiang, H.-C.; Luo, D.-L.; Jiang, B.-G.; Shen, Y.-J.; Zhou, H.-H.; Liu, X.-D.; Nie, Z.-B. Effect of resistance exercise on peripheral inflammatory biomarkers in healthy adults: A meta-analysis of randomized controlled trials. Eur. Rev. Med. Pharmacol. Sci. 2022, 26, 7742–7755. [Google Scholar]
- Isath, A.; Koziol, K.J.; Martinez, M.W.; Garber, C.E.; Martinez, M.N.; Emery, M.S.; Baggish, A.L.; Naidu, S.S.; Lavie, C.J.; Arena, R.; et al. Exercise and cardiovascular health: A state-of-the-art review. Prog. Cardiovasc. Dis. 2023, 79, 44–52. [Google Scholar] [CrossRef] [PubMed]
- Islam, S.; Wei, P.; Suzauddula; Nime, I.; Feroz, F.; Acharjee, M.; Pan, F. The interplay of factors in metabolic syndrome: Understanding its roots and complexity. Mol. Med. 2024, 30, 279. [Google Scholar] [CrossRef] [PubMed]




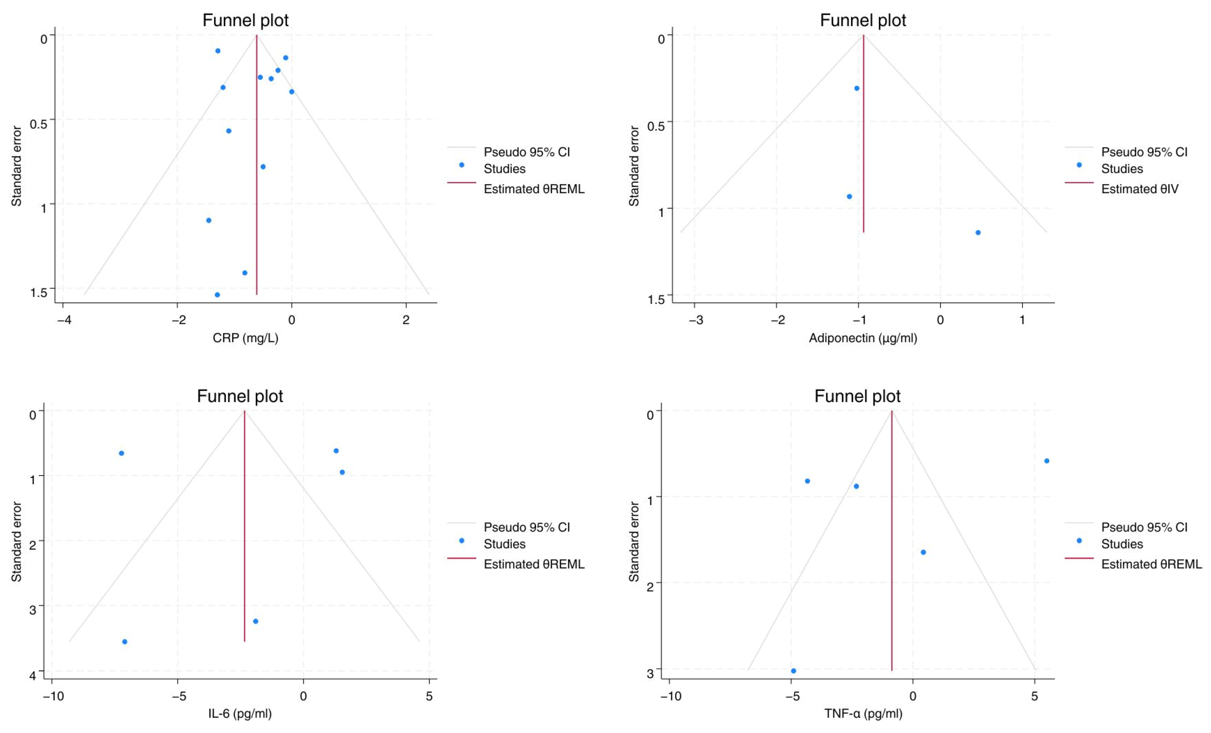
| Regression-Based Egger Test for Small-Study Effects | |
|---|---|
| Outcome | p-Value |
| CRP | 0.53 |
| Adiponectin | 0.40 |
| IL-6 | 0.60 |
| TNF-α | 0.44 |
| GLU | 0.90 |
| HbA1c | 0.03 |
| Body weight | 0.17 |
| BMI | 0.36 |
| Fat mass | 0.72 |
| References | Country | Exercise Cohort (Sample Size, Gender (M/F), Age) | Control Cohort (Sample Size, Gender (M/F), Age) | Exercise Intervention (Frequency, Session Duration, Total Duration, Intensity) | Post-Intervention Inflammatory Variables in RET vs. Controls |
|---|---|---|---|---|---|
| Bhati 2023 [17] | India | 28 (15/13) pts 52.8 ± 6.82 y | 28 (17/11) pts 54.0 ± 8.18 y | 3 sess/wk, 60 min/sess, 12 wk, 65–75% of 1RM | ↔ hsCRP, ↓ IL-6 |
| Brooks 2006 [18] | USA | 31 (21/10) pts 66 ± 2 y | 31 (19/12) pts 66 ± 1 y | 3 sess/wk, 35 min/sess, 16 wk, 60–80% of 1RM | ↓ CRP, ↑ Adiponectin |
| Dadrass 2019 [19] | Iran | 12 (12/0) pts 54.91 ± 5.86 y | 12 (12/0) pts 53.16 ± 8.12 y | 3 sess/wk, 50 min/sess, 12 wk, 55–75% of 1RM | ↔ CRP, ↓ IL-6, ↓ TNF-α |
| Ghodrat 2022 [20] | Iran | 7 (0/7) pts 45–65 y | 8 (0/8) pts 45–65 y | 3 sess/wk, 40–70% 1RM | ↔ CRP |
| Jangjo-Borazjani 2021 [21] | Iran | 10 (0/10) pts 44.13 ± 1.19 y | 10 (0/10) pts 42.9 ± 3.2 y | 3 sess/wk, 45 min/sess, 8 wk, 60–80% of 1RM | ↓ CRP |
| Jorge 2011 [22] | Brazil | 12 (5/7) pts 54.10 ± 8.94 y | 12 (4/8) pts 53.42 ± 9.82 y | 3 sess/wk, 60 min/sess, 12 wk | ↓ hsCRP, ↔ IL-6, ↔ TNF-α, ↔ Adiponectin, ↔ Resistin |
| Kadoglou 2012 [23] | Greece | 23 (7/16) pts 61.5 ± 5.4 y | 24 (5/19) pts 64.6 ± 4.3 y | 3 sess/wk, 45–60 min/sess, 12 wk, 60–80% of 1RM | ↔ hsCRP |
| Kadoglou 2013 [5] | Greece | 23 (7/16) pts 56.1 ± 5.3 y | 24 (7/17) pts 57.9 ± 7.2 y | 4 sess/wk, 60 min/sess, 24 wk, 60–75% HRmax | ↔ hsCRP |
| Ku 2010 [24] | Korea | 13 (0/13) pts 55.7 ± 6.2 y | 16 (0/16) pts 57.8 ± 8.1 y | 5 sess/wk, 12 wk, 40–50% VO2max | ↔ Adiponectin |
| Magalhaes JP 2020 [25] | Portugal | 25 (15/10) pts 56.7 ± 8.3 y | 27 (14/13) pts 59.0 ± 8.1 y | 3 sess/wk, 52 wk | ↔ CRP, ↓ IL-6, ↔ TNF-α |
| Mavros Y 2014 [26] | Australia | 30 pts † ‡ | 39 pts † ‡ | 3 sess/wk, 52 wk, 80% of 1RM | ↔ CRP |
| Miller 2017 [27] | Australia | 16 (10/6) pts 67.6 ± 5.2 y | 13 (6/7) pts 66.9 ± 5.3 y | 3 sess/wk, 45 min/sess, 26 wk, 75–85% of 1RM | ↔ hsCRP, ↔ IL-6, ↔ TNF-α, ↔ Adiponectin, ↔ Resistin |
| Rech 2019 [28] | Brazil | 17 (10/7) pts 70.5 ± 7.4 y | 21 (10/11) pts 68 ± 6.5 y | 3 sess/wk, 12 wk | ↔ CRP, ↔ IL-6, ↔ TNF-α |
| Sabouri M 2021 [29] | Iran | 15 (7/8) pts 51.31 ± 4.47 y | 13 (6/7) pts 52.28 ± 3.16 y | 3 sess/wk, 12 wk, 100% of 1RM | ↓ CRP, ↓ IL-6, ↔ TNF-α |
| Swift 2012 [30] | USA | 58 (26/32) pts 58.7 ± 8 y | 37 (11/26) pts 58.5 ± 8.6 y | 3 sess/wk, 39 wk | ↔ CRP |
| Wycherley TP 2010 [31] | Australia | 17 † ‡ | 16 † ‡ | 3 sess/wk, 45 min/sess, 16 wk, 70–85% of 1RM | ↔ CRP |
| Random Sequence Generation | Allocation Concealment | Blinding of Participants and Personnel | Blinding of Outcome Assessment | Incomplete Outcome Data | Selective Reporting | Other Bias | |
|---|---|---|---|---|---|---|---|
| Bhati 2023 [17] | |||||||
| Brooks 2007 [18] | |||||||
| Dadrass 2019 [19] | |||||||
| Ghodrat 2022 [20] | |||||||
| Jangjo-Borazjani 2021 [21] | |||||||
| Jorge 2011 [22] | |||||||
| Kadoglou 2012 [23] | |||||||
| Kadoglou 2013 [5] | |||||||
| Ku 2010 [24] | |||||||
| Magalhaes JP 2020 [25] | |||||||
| Mavros Y 2014 [26] | |||||||
| Miller 2017 [27] | |||||||
| Rech 2019 [28] | |||||||
| Sabouri M 2021 [29] | |||||||
| Swift 2012 [30] | |||||||
| Wycherley TP 2010 [31] |
Disclaimer/Publisher’s Note: The statements, opinions and data contained in all publications are solely those of the individual author(s) and contributor(s) and not of MDPI and/or the editor(s). MDPI and/or the editor(s) disclaim responsibility for any injury to people or property resulting from any ideas, methods, instructions or products referred to in the content. |
© 2025 by the authors. Licensee MDPI, Basel, Switzerland. This article is an open access article distributed under the terms and conditions of the Creative Commons Attribution (CC BY) license (https://creativecommons.org/licenses/by/4.0/).
Share and Cite
Kadoglou, N.P.E.; Georgiou, C.; Balaskas, N.; Panayiotou, C.; Vardas, M.; Mitsis, A.; Antonopoulos, C.N. The Anti-Inflammatory Effects of Resistance Training in Patients with Type 2 Diabetes: A Systematic Review and Meta-Analysis. Biomolecules 2025, 15, 1417. https://doi.org/10.3390/biom15101417
Kadoglou NPE, Georgiou C, Balaskas N, Panayiotou C, Vardas M, Mitsis A, Antonopoulos CN. The Anti-Inflammatory Effects of Resistance Training in Patients with Type 2 Diabetes: A Systematic Review and Meta-Analysis. Biomolecules. 2025; 15(10):1417. https://doi.org/10.3390/biom15101417
Chicago/Turabian StyleKadoglou, Nikolaos P. E., Chrysostomos Georgiou, Nikolaos Balaskas, Chrystalla Panayiotou, Michail Vardas, Andreas Mitsis, and Constantine N. Antonopoulos. 2025. "The Anti-Inflammatory Effects of Resistance Training in Patients with Type 2 Diabetes: A Systematic Review and Meta-Analysis" Biomolecules 15, no. 10: 1417. https://doi.org/10.3390/biom15101417
APA StyleKadoglou, N. P. E., Georgiou, C., Balaskas, N., Panayiotou, C., Vardas, M., Mitsis, A., & Antonopoulos, C. N. (2025). The Anti-Inflammatory Effects of Resistance Training in Patients with Type 2 Diabetes: A Systematic Review and Meta-Analysis. Biomolecules, 15(10), 1417. https://doi.org/10.3390/biom15101417

