The Effects of Kynurenic Acid in Zebrafish Embryos and Adult Rainbow Trout
Abstract
1. Introduction
2. Materials and Methods
2.1. Chemicals
2.2. Zebrafish
2.3. Effects of KYNA Exposure on Zebrafish
2.3.1. Determination of the Maximum Tolerated Concentration
2.3.2. Hatchability and Heart Rate Analysis
2.3.3. Locomotor Activity
2.3.4. Rainbow Trout
2.4. KYNA Determination
2.5. Statistical Analysis
3. Results
3.1. The Effect of KYNA on Larval Morphology and Touch Response
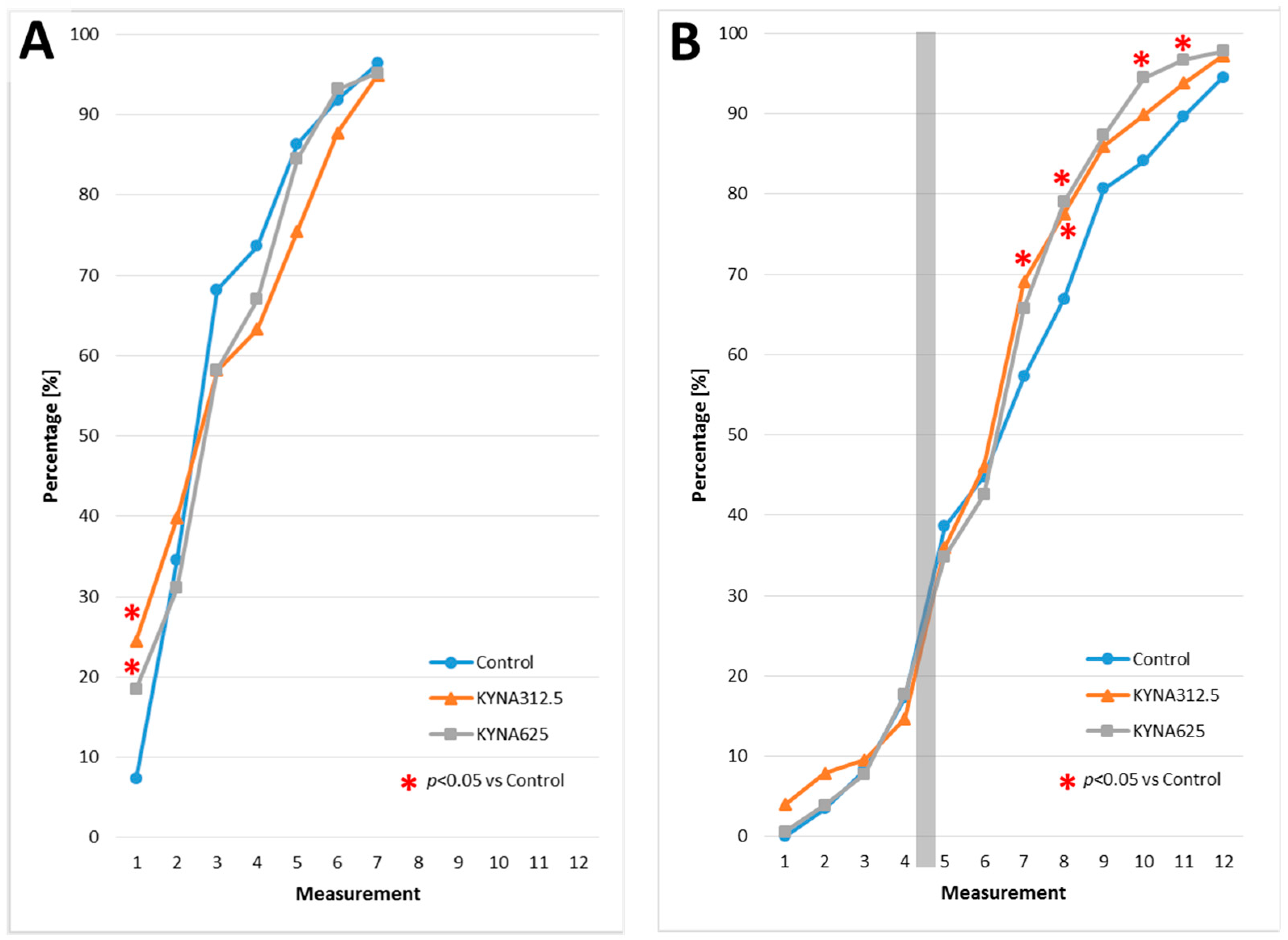
3.2. The Effect of KYNA Exposure on Larvae Hatching
3.3. The Effect of KYNA Exposure on Larvae Heart Rate
3.4. The Effect of KYNA Exposure on Larval Mobility
3.5. The Effect of KYNA Exposure on Larval Behavior in a Light–Dark Transition Paradigm
3.6. The Effect of KYNA Exposure on Larval Mobility Stimulated by Pentylenetetrazole
3.7. KYNA Content in Fertilized Zebrafish Embryos and Larvae
3.8. KYNA Content in Rainbow Trout Fed Standard Forage
3.9. KYNA Content in Rainbow Trout Fed KYNA-Enriched Forage
4. Discussion
Limitations
5. Conclusions
Author Contributions
Funding
Institutional Review Board Statement
Informed Consent Statement
Data Availability Statement
Acknowledgments
Conflicts of Interest
References
- Schwarcz, R.; Stone, T.W. The Kynurenine Pathway and the Brain: Challenges, Controversies and Promises. Neuropharmacology 2017, 112, 237–247. [Google Scholar] [CrossRef] [PubMed]
- Wang, J.; Simonavicius, N.; Wu, X.; Swaminath, G.; Reagan, J.; Tian, H.; Ling, L. Kynurenic Acid as a Ligand for Orphan G Protein-Coupled Receptor GPR35. J. Biol. Chem. 2006, 281, 22021–22028. [Google Scholar] [CrossRef] [PubMed]
- DiNatale, B.C.; Murray, I.A.; Schroeder, J.C.; Flaveny, C.A.; Lahoti, T.S.; Laurenzana, E.M.; Omiecinski, C.J.; Perdew, G.H. Kynurenic Acid Is a Potent Endogenous Aryl Hydrocarbon Receptor Ligand That Synergistically Induces Interleukin-6 in the Presence of Inflammatory Signaling. Toxicol. Sci. 2010, 115, 89–97. [Google Scholar] [CrossRef] [PubMed]
- Alves, L.d.F.; Moore, J.B.; Kell, D.B. The Biology and Biochemistry of Kynurenic Acid, a Potential Nutraceutical with Multiple Biological Effects. Int. J. Mol. Sci. 2024, 25, 9082. [Google Scholar] [CrossRef]
- Turski, W.A.; Małaczewska, J.; Marciniak, S.; Bednarski, J.; Turski, M.P.; Jabłoński, M.; Siwicki, A.K. On the Toxicity of Kynurenic Acid In Vivo and In Vitro. Pharmacol. Rep. 2014, 66, 1127–1133. [Google Scholar] [CrossRef]
- Schwarcz, R.; Bruno, J.P.; Muchowski, P.J.; Wu, H.-Q. Kynurenines in the Mammalian Brain: When Physiology Meets Pathology. Nat. Rev. Neurosci. 2012, 13, 465–477. [Google Scholar] [CrossRef] [PubMed]
- Kaya, B.; Melhem, H.; Niess, J.H. GPR35 in Intestinal Diseases: From Risk Gene to Function. Front. Immunol. 2021, 12, 717392. [Google Scholar] [CrossRef]
- Kaya, B.; Doñas, C.; Wuggenig, P.; Diaz, O.E.; Morales, R.A.; Melhem, H.; Hernández, P.P.; Kaymak, T.; Das, S.; Hruz, P.; et al. Lysophosphatidic Acid-Mediated GPR35 Signaling in CX3CR1+ Macrophages Regulates Intestinal Homeostasis. Cell Rep. 2020, 32, 107979. [Google Scholar] [CrossRef]
- Tanguay, R.L.; Abnet, C.C.; Heideman, W.; Peterson, R.E. Cloning and Characterization of the Zebrafish (Danio rerio) Aryl Hydrocarbon Receptor. Biochim. Biophys. Acta BBA Gene Struct. Expr. 1999, 1444, 35–48. [Google Scholar] [CrossRef]
- Abnet, C.C.; Tanguay, R.L.; Hahn, M.E.; Heideman, W.; Peterson, R.E. Two Forms of Aryl Hydrocarbon Receptor Type 2 in Rainbow Trout (Oncorhynchus mykiss). Evidence for Differential Expression and Enhancer Specificity. J. Biol. Chem. 1999, 274, 15159–15166. [Google Scholar] [CrossRef]
- Abnet, C.C.; Tanguay, R.L.; Heideman, W.; Peterson, R.E. Transactivation Activity of Human, Zebrafish, and Rainbow Trout Aryl Hydrocarbon Receptors Expressed in COS-7 Cells: Greater Insight into Species Differences in Toxic Potency of Polychlorinated Dibenzo-p-Dioxin, Dibenzofuran, and Biphenyl Congeners. Toxicol. Appl. Pharmacol. 1999, 159, 41–51. [Google Scholar] [CrossRef] [PubMed]
- Robinson, K.S.L.; Stewart, A.M.; Cachat, J.; Landsman, S.; Gebhardt, M.; Kalueff, A.V. Psychopharmacological Effects of Acute Exposure to Kynurenic Acid (KYNA) in Zebrafish. Pharmacol. Biochem. Behav. 2013, 108, 54–60. [Google Scholar] [CrossRef] [PubMed]
- Majewski, M.; Kasica, N.; Jakimiuk, A.; Podlasz, P. Toxicity and Cardiac Effects of Acute Exposure to Tryptophan Metabolites on the Kynurenine Pathway in Early Developing Zebrafish (Danio rerio) Embryos. Toxicol. Appl. Pharmacol. 2018, 341, 16–29. [Google Scholar] [CrossRef]
- Małaczewska, J.; Siwicki, A.K.; Wójcik, R.; Turski, W.A.; Kaczorek, E. The In Vitro Effect of Kynurenic Acid on the Rainbow Trout (Oncorhynchus mykiss) Leukocyte and Splenocyte Activity. Pol. J. Vet. Sci. 2014, 17, 453–458. [Google Scholar] [CrossRef] [PubMed]
- Kaczorek, E.; Szarek, J.; Mikiewicz, M.; Terech-Majewska, E.; Schulz, P.; Małaczewska, J.; Wójcik, R.; Siwicki, A.K. Effect of Feed Supplementation with Kynurenic Acid on the Morphology of the Liver, Kidney and Gills in Rainbow Trout (Oncorhynchus mykiss Walbaum, 1792), Healthy and Experimentally Infected with Yersinia ruckeri. J. Fish Dis. 2017, 40, 873–884. [Google Scholar] [CrossRef]
- Turski, M.P.; Zgrajka, W.; Siwicki, A.K.; Paluszkiewicz, P. Presence and Content of Kynurenic Acid in Animal Feed. J. Anim. Physiol. Anim. Nutr. 2015, 99, 73–78. [Google Scholar] [CrossRef]
- Gawel, K.; Turski, W.A.; Van Der Ent, W.; Mathai, B.J.; Kirstein-Smardzewska, K.J.; Simonsen, A.; Esguerra, C.V. Phenotypic Characterization of Larval Zebrafish (Danio rerio) with Partial Knockdown of the Cacna1a Gene. Mol. Neurobiol. 2020, 57, 1904–1916. [Google Scholar] [CrossRef]
- Marszalek-Grabska, M.; Gawel, K.; Kosheva, N.; Kocki, T.; Turski, W.A. Developmental Exposure to Kynurenine Affects Zebrafish and Rat Behavior. Cells 2023, 12, 2224. [Google Scholar] [CrossRef]
- Lin, C.; Hui, M.; Cheng, S. Toxicity and Cardiac Effects of Carbaryl in Early Developing Zebrafish (Danio rerio) Embryos. Toxicol. Appl. Pharmacol. 2007, 222, 159–168. [Google Scholar] [CrossRef]
- Gawel, K.; Hulas-Stasiak, M.; Marszalek-Grabska, M.; Grenda, A.; Siekierska, A.; Kosheva, N.; Van Der Ent, W.; Esguerra, C.V.; Krawczyk, P.; Turski, W.A. Induction of Seizures and Initiation of Epileptogenesis by Pilocarpine in Zebrafish Larvae. Front. Mol. Neurosci. 2024, 17, 1418606. [Google Scholar] [CrossRef]
- Shibata, K. Fluorimetric Micro-Determination of Kynurenic Acid, an Endogenous Blocker of Neurotoxicity, by High-Performance Liquid Chromatography. J. Chromatogr. B Biomed. Sci. App. 1988, 430, 376–380. [Google Scholar] [CrossRef] [PubMed]
- Turski, W.A.; Nakamura, M.; Todd, W.P.; Carpenter, B.K.; Whetsell, W.O.; Schwarcz, R. Identification and Quantification of Kynurenic Acid in Human Brain Tissue. Brain Res. 1988, 454, 164–169. [Google Scholar] [CrossRef]
- Ho, J.; Tumkaya, T.; Aryal, S.; Choi, H.; Claridge-Chang, A. Moving beyond P Values: Data Analysis with Estimation Graphics. Nat. Methods 2019, 16, 565–566. [Google Scholar] [CrossRef] [PubMed]
- Kimmel, C.B.; Ballard, W.W.; Kimmel, S.R.; Ullmann, B.; Schilling, T.F. Stages of Embryonic Development of the Zebrafish. Dev. Dyn. 1995, 203, 253–310. [Google Scholar] [CrossRef] [PubMed]
- Jung, M.E.; Lal, H.; Gatch, M.B. The Discriminative Stimulus Effects of Pentylenetetrazol as a Model of Anxiety: Recent Developments. Neurosci. Biobehav. Rev. 2002, 26, 429–439. [Google Scholar] [CrossRef] [PubMed]
- Gawel, K.; Langlois, M.; Martins, T.; Van Der Ent, W.; Tiraboschi, E.; Jacmin, M.; Crawford, A.D.; Esguerra, C.V. Seizing the Moment: Zebrafish Epilepsy Models. Neurosci. Biobehav. Rev. 2020, 116, 1–20. [Google Scholar] [CrossRef]
- Stone, T.W. Does Kynurenic Acid Act on Nicotinic Receptors? An Assessment of the Evidence. J. Neurochem. 2020, 152, 627–649. [Google Scholar] [CrossRef]
- Buss, R.R.; Drapeau, P. Synaptic Drive to Motoneurons During Fictive Swimming in the Developing Zebrafish. J. Neurophysiol. 2001, 86, 197–210. [Google Scholar] [CrossRef]
- De Luca, E.; Zaccaria, G.M.; Hadhoud, M.; Rizzo, G.; Ponzini, R.; Morbiducci, U.; Santoro, M.M. ZebraBeat: A Flexible Platform for the Analysis of the Cardiac Rate in Zebrafish Embryos. Sci. Rep. 2014, 4, 4898. [Google Scholar] [CrossRef]
- Ni, J.; Wang, H.; Wei, X.; Shen, K.; Sha, Y.; Dong, Y.; Shu, Y.; Wan, X.; Cheng, J.; Wang, F.; et al. Isoniazid Causes Heart Looping Disorder in Zebrafish Embryos by the Induction of Oxidative Stress. BMC Pharmacol. Toxicol. 2020, 21, 22. [Google Scholar] [CrossRef]
- Baker, K.; Warren, K.S.; Yellen, G.; Fishman, M.C. Defective “Pacemaker” Current (Ih) in a Zebrafish Mutant with a Slow Heart Rate. Proc. Natl. Acad. Sci. USA 1997, 94, 4554–4559. [Google Scholar] [CrossRef] [PubMed]
- Hemmings, K.E.; Leese, H.J.; Picton, H.M. Amino Acid Turnover by Bovine Oocytes Provides an Index of Oocyte Developmental Competence In Vitro. Biol. Reprod. 2012, 86, 165. [Google Scholar] [CrossRef] [PubMed]
- Ma, Y.; Zhang, W.; Gao, M.; Li, J.; Wang, Q.; Chen, M.; Gu, L. Combined Analysis of Temporal Metabolomics and Transcriptomics Reveals the Metabolic Patterns in Goat Oocytes during Maturation. Theriogenology 2024, 218, 69–78. [Google Scholar] [CrossRef]
- ZFIN—The Zebrafish Information Network. Available online: https://zfin.org/ (accessed on 16 August 2024).
- Evans, D.H.; Piermarini, P.M.; Choe, K.P. The Multifunctional Fish Gill: Dominant Site of Gas Exchange, Osmoregulation, Acid-Base Regulation, and Excretion of Nitrogenous Waste. Physiol. Rev. 2005, 85, 97–177. [Google Scholar] [CrossRef]
- Saghari Fard, M.R.; Weisheit, C.; Poynton, S.L. Intestinal PH Profile in Rainbow Trout Oncorhynchus mykiss and Microhabitat Preference of the Flagellate Spironucleus salmonis (Diplomonadida). Dis. Aquat. Org. 2007, 76, 241–249. [Google Scholar] [CrossRef] [PubMed]
- Ptashynski, M.D.; Pedlar, R.M.; Evans, R.E.; Wautier, K.G.; Baron, C.L.; Klaverkamp, J.F. Accumulation, Distribution and Toxicology of Dietary Nickel in Lake Whitefish (Coregonus clupeaformis) and Lake Trout (Salvelinus namaycush). Comp. Biochem. Physiol. Part C Toxicol. Pharmacol. 2001, 130, 145–162. [Google Scholar] [CrossRef]
- Farag, A.M.; Boese, C.J.; Bergman, H.L.; Woodward, D.F. Physiological Changes and Tissue Metal Accumulation in Rainbow Trout Exposed to Foodborne and Waterborne Metals. Environ. Toxicol. Chem. 1994, 13, 2021–2029. [Google Scholar] [CrossRef]
- Qi, X.; Fu, K.; Yue, M.; Shou, N.; Yuan, X.; Chen, X.; He, C.; Yang, Y.; Shi, Z. Kynurenic Acid Mediates Bacteria-Algae Consortium in Resisting Environmental Cadmium Toxicity. J. Hazard. Mater. 2022, 444 Pt A, 130397. [Google Scholar] [CrossRef]
- D’Agaro, E.; Gibertoni, P.; Esposito, S. Recent Trends and Economic Aspects in the Rainbow Trout (Oncorhynchus mykiss) Sector. Appl. Sci. 2022, 12, 8773. [Google Scholar] [CrossRef]
- Małaczewska, J.; Siwicki, A.K.; Wójcik, R.M.; Kaczorek, E.; Turski, W.A. Effect of Oral Administration of Kynurenic Acid on the Activity of the Peripheral Blood Leukocytes in Mice. Cent. Eur. J. Immunol. 2014, 39, 6–13. [Google Scholar] [CrossRef]
- Małaczewska, J.; Siwicki, A.K.; Wójcik, R.; Kaczorek, E.; Turski, W.A. Effect of Dietary Administration of Kynurenic Acid on the Activity of Splenocytes of the Rainbow Trout (Oncorhynchus mykiss). Cent. Eur. J. Immunol. 2013, 4, 475–479. [Google Scholar] [CrossRef]
- Martos, D.; Tuka, B.; Tanaka, M.; Vécsei, L.; Telegdy, G. Memory Enhancement with Kynurenic Acid and Its Mechanisms in Neurotransmission. Biomedicines 2022, 10, 849. [Google Scholar] [CrossRef] [PubMed]
- Wang, H.; Li, J.; Wang, Z.; Tian, Y.; Li, C.; Jin, F.; Li, J.; Wang, L. Perivascular Brown Adipocytes-Derived Kynurenic Acid Relaxes Blood Vessel via Endothelium PI3K-Akt-ENOS Pathway. Biomed. Pharmacother. 2022, 150, 113040. [Google Scholar] [CrossRef] [PubMed]
- Li, J.; Zhang, Y.; Yang, S.; Lu, Z.; Li, G.; Wu, S.; Wu, D.-R.; Liu, J.; Zhou, B.; Wang, H.-M.D.; et al. The Beneficial Effects of Edible Kynurenic Acid from Marine Horseshoe Crab (Tachypleus tridentatus) on Obesity, Hyperlipidemia, and Gut Microbiota in High-Fat Diet-Fed Mice. Oxid. Med. Cell. Longev. 2021, 2021, 8874503. [Google Scholar] [CrossRef]
- Mariano, D.O.C.; Yamaguchi, L.F.; Jared, C.; Antoniazzi, M.M.; Sciani, J.M.; Kato, M.J.; Pimenta, D.C. Pipa carvalhoi Skin Secretion Profiling: Absence of Peptides and Identification of Kynurenic Acid as the Major Constitutive Component. Comp. Biochem. Physiol. Part C Toxicol. Pharmacol. 2015, 167, 1–6. [Google Scholar] [CrossRef]









| Tissue | KYNA Content [ng/g Fresh Weight] | |
|---|---|---|
| Mean ± SEM | Median | |
| Serum # | 2.05 ± 0.16 | 1.84 |
| Gills | 19.68 ± 4.14 | 16.63 |
| Heart | 12.36 ± 1.75 | 11.25 |
| Intestines | 15.63 ± 2.07 | 14.74 |
| Kidney | 14.84 ± 2.91 | 13.14 |
| Liver | 23.98 ± 5.04 | 18.33 |
| Muscle | 0.81 ± 0.13 | 0.80 |
| Pyloric caeca | 19.21 ± 3.29 | 17.58 |
| Tissue | Treatment | [% of Control] | p Value |
|---|---|---|---|
| Serum | Control | 100.0 | - |
| KYNA 2.5 | 102.6 | ns | |
| KYNA 25 | 112.8 | ns | |
| KYNA 250 | 371.3 | <0.05 | |
| Heart | Control | 100.0 | - |
| KYNA 2.5 | 116.8 | ns | |
| KYNA 25 | 105.9 | ns | |
| KYNA 250 | 178.2 | <0.05 | |
| Muscle | Control | 100.0 | - |
| KYNA 2.5 | 80.0 | ns | |
| KYNA 25 | 75.3 | ns | |
| KYNA 250 | 275.3 | <0.05 | |
| Gills | Control | 100.0 | - |
| KYNA 2.5 | 84.1 | ns | |
| KYNA 25 | 47.7 | ns | |
| KYNA 250 | 147.7 | ns | |
| Pyloric caeca | Control | 100.0 | - |
| KYNA 2.5 | 347.3 | <0.05 | |
| KYNA 25 | 236.6 | <0.05 | |
| KYNA 250 | 27,419.4 | <0.05 | |
| Intestines | Control | 100.0 | - |
| KYNA 2.5 | 110.9 | ns | |
| KYNA 25 | 87.8 | ns | |
| KYNA 250 | 242.3 | <0.05 | |
| Liver | Control | 100.0 | - |
| KYNA 2.5 | 133.5 | ns | |
| KYNA 25 | 161.9 | <0.05 | |
| KYNA 250 | 917.5 | <0.05 | |
| Kidney | Control | 100.0 | - |
| KYNA 2.5 | 143.9 | ns | |
| KYNA 25 | 132.4 | ns | |
| KYNA 250 | 575.5 | <0.05 |
Disclaimer/Publisher’s Note: The statements, opinions and data contained in all publications are solely those of the individual author(s) and contributor(s) and not of MDPI and/or the editor(s). MDPI and/or the editor(s) disclaim responsibility for any injury to people or property resulting from any ideas, methods, instructions or products referred to in the content. |
© 2024 by the authors. Licensee MDPI, Basel, Switzerland. This article is an open access article distributed under the terms and conditions of the Creative Commons Attribution (CC BY) license (https://creativecommons.org/licenses/by/4.0/).
Share and Cite
Marszalek-Grabska, M.; Turska-Kozlowska, M.; Kaczorek-Lukowska, E.; Wicha-Komsta, K.; Turski, W.A.; Siwicki, A.K.; Gawel, K. The Effects of Kynurenic Acid in Zebrafish Embryos and Adult Rainbow Trout. Biomolecules 2024, 14, 1148. https://doi.org/10.3390/biom14091148
Marszalek-Grabska M, Turska-Kozlowska M, Kaczorek-Lukowska E, Wicha-Komsta K, Turski WA, Siwicki AK, Gawel K. The Effects of Kynurenic Acid in Zebrafish Embryos and Adult Rainbow Trout. Biomolecules. 2024; 14(9):1148. https://doi.org/10.3390/biom14091148
Chicago/Turabian StyleMarszalek-Grabska, Marta, Monika Turska-Kozlowska, Edyta Kaczorek-Lukowska, Katarzyna Wicha-Komsta, Waldemar A. Turski, Andrzej K. Siwicki, and Kinga Gawel. 2024. "The Effects of Kynurenic Acid in Zebrafish Embryos and Adult Rainbow Trout" Biomolecules 14, no. 9: 1148. https://doi.org/10.3390/biom14091148
APA StyleMarszalek-Grabska, M., Turska-Kozlowska, M., Kaczorek-Lukowska, E., Wicha-Komsta, K., Turski, W. A., Siwicki, A. K., & Gawel, K. (2024). The Effects of Kynurenic Acid in Zebrafish Embryos and Adult Rainbow Trout. Biomolecules, 14(9), 1148. https://doi.org/10.3390/biom14091148

