Purification and Immobilization of Superoxide Dismutase Obtained from Saccharomyces cerevisiae TBRC657 on Bacterial Cellulose and Its Protective Effect against Oxidative Damage in Fibroblasts
Abstract
1. Introduction
2. Materials and Methods
2.1. Microbial Isolates and Media Preparation
2.2. Production of Crude SOD
2.3. SOD Purification
2.4. pH and Temperature Optimization
2.5. pH and Temperature Stability
2.6. Effect of Inhibitors
2.7. Preparation of BC
2.8. Immobilization of SOD on BC
2.9. pH and Temperature Stability of Immobilized SOD
2.10. Protective Effect of Immobilized SOD against Oxidative Damage in Fibroblasts
2.11. Statistical Analysis
3. Results
3.1. Purification of SOD
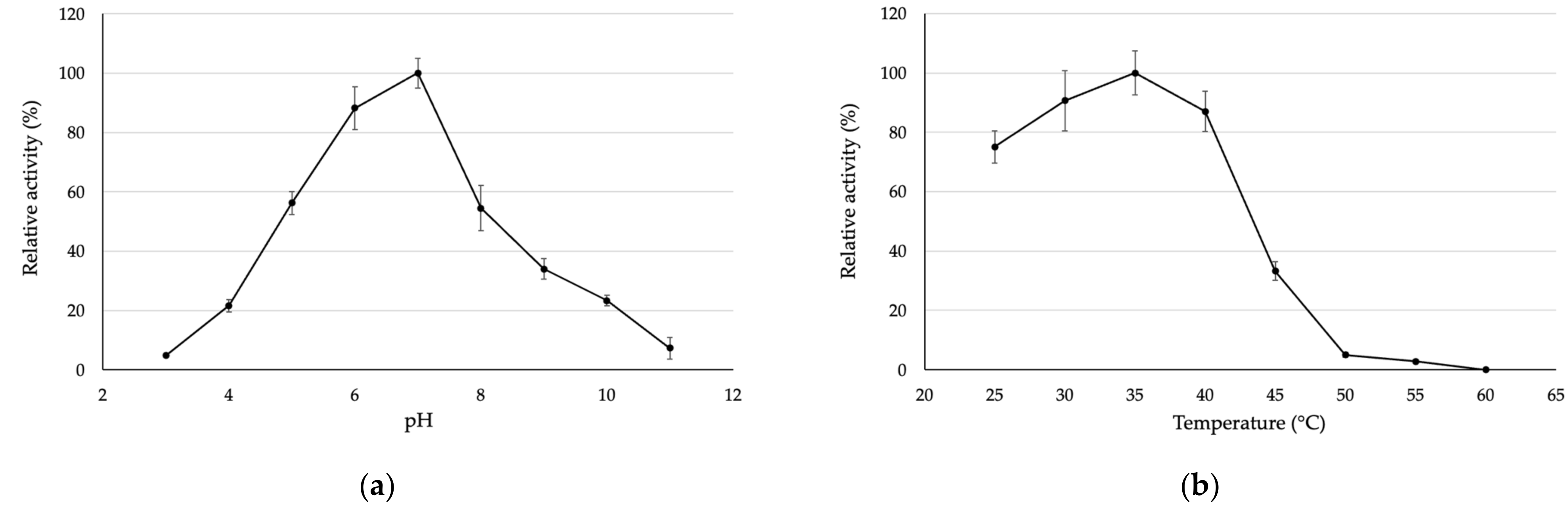
3.2. Biochemical Characterization of Purified SOD
3.3. Immobilization Capacity and Release Profile
3.4. pH and Temperature Stability of Immobilized SOD
3.5. Protective Effect of the Immobilized SOD against Oxidative Damage in Fibroblasts
4. Discussion
5. Conclusions
Author Contributions
Funding
Institutional Review Board Statement
Informed Consent Statement
Data Availability Statement
Acknowledgments
Conflicts of Interest
References
- Fridovich, I. Superoxide radical: An endogenous toxicant. Ann. Rev. Pharmacol. Toxicol. 1983, 23, 239–257. [Google Scholar] [CrossRef] [PubMed]
- McCord, J.M.; Fridovich, I. Superoxide dismutase. An enzymic function for erythrocuprein (hemocuprein). J. Biol. Chem. 1969, 244, 6049–6055. [Google Scholar] [CrossRef]
- Murray, H.W.; Rubin, B.Y.; Carriero, S.M.; Harris, A.M.; Jaffee, E.A. Human mononuclear phagocyte antiprotozoal mechanisms: Oxygen-dependent vs oxygen-independent activity against intracellular Toxoplasma gondii. J. Immunol. 1985, 134, 1982–1988. [Google Scholar] [CrossRef]
- Dacanay, A.; Johnson, S.C.; Bjornsdottir, R.; Ebanks, R.O.; Ross, N.W.; Reith, M.; Singh, R.K.; Hiu, J.; Brown, L.L. Molecular characterization and quantitative analysis of superoxide dismutases in virulent and avirulent strains of Aeromonas salmonicida subsp. salmonicida. J. Bacteriol. 2003, 185, 4336–4344. [Google Scholar] [CrossRef] [PubMed]
- Bordo, D.; Djinovic, K.; Bolognesi, M. Conserved patterns in the Cu,Zn superoxide dismutase family. J. Mol. Biol. 1994, 238, 366–386. [Google Scholar] [CrossRef]
- Kroll, J.S.; Langford, P.R.; Wilks, K.E.; Keil, A.D. Bacterial [Cu,Zn]-superoxide dismutase: Phylogenetically distinct from the eukaryotic enzyme, and not so rare after all. Microbiology 1995, 141, 2271–2279. [Google Scholar] [CrossRef] [PubMed]
- Youn, H.D.; Kim, E.J.; Roe, J.H.; Hah, Y.C.; Kang, S.O. A novel nickel-containing superoxide dismutase from Streptomyces spp. Biochem. J. 1996, 318, 889–896. [Google Scholar] [CrossRef]
- Mandelli, F.; Ciro, J.P.L.; Citadini, A.P.S.; Büchli, F.; Alvarez, T.M.; Oliveira, R.J.; Leite, V.B.P.; Paes Leme, A.F.; Mercadante, A.Z.; Squina, F.M. The characterization of a thermostable and cambialistic superoxide dismutase from Thermus filiformis. Lett. Appl. Microbiol. 2013, 57, 40–46. [Google Scholar] [CrossRef]
- Zeinali, F.; Homaei, A.; Kamrani, E. Sources of marine superoxide dismutases: Characteristics and applications. Int. J. Biol. Macromol. 2015, 79, 627–637. [Google Scholar] [CrossRef]
- Petersen, S.V.; Oury, T.D.; Ostergaard, L.; Valnickova, Z.; Wegrzyn, J.; Thøgersen, I.B.; Jacobsen, C.; Bowler, R.P.; Fattman, C.L.; Crapo, J.D.; et al. Extracellular superoxide dismutase (EC-SOD) binds to type i collagen and protects against oxidative fragmentation. J. Biol. Chem. 2004, 279, 13705–13710. [Google Scholar] [CrossRef]
- Zhu, Y.; Wang, G.; Ni, H.; Xiao, A.; Cai, H. Cloning and characterization of a new manganese superoxide dismutase from deep-sea thermophile Geobacillus sp. EPT3. World J. Microbiol. Biotechnol. 2014, 30, 1347–1357. [Google Scholar] [CrossRef] [PubMed]
- Walker, J.L.; McLellan, K.M.; Robinson, D.S. Heat stability of superoxide dismutase in cabbage. Food Chem. 1987, 23, 245–256. [Google Scholar] [CrossRef]
- Piszkiewicz, S.; Pielak, G.J. Protecting enzymes from stress-induced inactivation. Biochemistry 2019, 58, 3825–3833. [Google Scholar] [CrossRef] [PubMed]
- Datta, S.; Christena, L.R.; Rajaram, Y.R. Enzyme immobilization: An overview on techniques and support materials. 3 Biotech. 2013, 3, 1–9. [Google Scholar] [CrossRef] [PubMed]
- Da S. Pereira, A.; Souza, C.P.L.; Moraes, L.; Fontes-Sant’Ana, G.C.; Amaral, P.F.F. Polymers as encapsulating agents and delivery vehicles of enzymes. Polymers 2021, 13, 4061. [Google Scholar]
- Hanefeld, U.; Gardossi, L.; Magner, E. Understanding enzyme immobilisation. Chem. Soc. Rev. 2009, 38, 453–468. [Google Scholar] [CrossRef]
- D’Souza, S.F. Immobilization and stabilization of biomaterials for biosensor applications. Appl. Biochem. Biotechnol. 2001, 96, 225–238. [Google Scholar] [CrossRef]
- Klein, M.P.; Scheeren, C.W.; Lorenzoni, A.S.G.; Dupont, J.; Frazzon, J.; Hertz, P.F. Ionic liquid-cellulose film for enzyme immobilization. Process Biochem. 2011, 46, 1375–1379. [Google Scholar] [CrossRef]
- Cantone, S.; Ferrario, V.; Corici, L.; Ebert, C.; Fattor, D.; Spizzo, P.; Gardossi, L. Efficient immobilisation of industrial biocatalysts: Criteria and constraints for the selection of organic polymeric carriers and immobilisation methods. Chem. Soc. Rev. 2013, 42, 6262–6276. [Google Scholar] [CrossRef]
- Zhang, Y.; Gao, F.; Zhang, S.P.; Su, Z.G.; Ma, G.H.; Wang, P. Simultaneous production of 1,3-dihydroxyacetone and xylitol from glycerol and xylose using a nanoparticle-supported multi-enzyme system with in situ cofactor regeneration. Bioresour. Technol. 2011, 1837–1843. [Google Scholar] [CrossRef]
- Rather, A.H.; Khan, R.S.; Wani, T.U.; Beigh, M.A.; Sheikh, F.A. Overview on immobilization of enzymes on synthetic polymeric nanofibers fabricated by eletrospinning. Biotechnol. Bioeng. 2021, 19, 9–33. [Google Scholar]
- Zucca, P.; Sanjust, E. Inorganic materials as supports for covalent enzyme immobilization: Methods and mechanisms. Molecules 2014, 19, 14139–14194. [Google Scholar] [CrossRef]
- Homaei, A.A.; Sariri, R.; Vianello, F.; Stevanato, R. Enzyme immobilization: An update. J. Chem. Biol. 2013, 6, 185–205. [Google Scholar] [CrossRef]
- Shoda, M.; Sugano, Y. Recent advances in bacterial cellulose production. Biotechnol. Bioprocess Eng. 2005, 10, 1–8. [Google Scholar] [CrossRef]
- Gallegos, A.M.A.; Carrera, S.H.; Parra, R.; Keshavarz, T.; Iqbal, H.M.N. Bacterial cellulose: A sustainable source to develop value-added products: A review. BioResources 2016, 11, 1–15. [Google Scholar] [CrossRef]
- Naomi, R.; Idrus, R.B.H.; Fauzi, M.B. Plant- vs. bacterial-derived cellulose for wound healing: A review. Int. J. Environ. Res. Public Health 2020, 17, 6803. [Google Scholar] [CrossRef]
- Moon, R.J.; Martini, A.; Nairn, J.; Simonsen, J.; Youngblood, J. Cellulose nanomaterials review: Structure, properties and nanocomposites. Chem. Soc. Rev. 2011, 40, 3941–3994. [Google Scholar] [CrossRef]
- Inoue, B.S.; Streit, S.; Dos Santos Schneider, A.L.; Meier, M.M. Bioactive bacterial cellulose membrane with prolonged release of chlorhexidine for dental medical application. Int. J. Biol. Macromol. 2020, 148, 1098–1108. [Google Scholar] [CrossRef]
- Fijałkowski, K.; Peitler, D.; Rakoczy, R.; Żywicka, A. Survival of probiotic lactic acid bacteria immobilized in different forms of bacterial cellulose in simulated gastric juices and bile salt solution. LWT Food Sci. Technol. 2016, 68, 322–328. [Google Scholar] [CrossRef]
- Dikshit, P.K.; Kim, B.S. Bacterial cellulose production from biodiesel–derived crude glycerol, magnetic functionalization, and its application as carrier for lipase immobilization. Int. J. Biol. Macromol. 2020, 153, 902–911. [Google Scholar] [CrossRef] [PubMed]
- Wang, J.; Tavakoli, J.; Tang, Y. Bacterial cellulose production, properties and applications with different culture methods—A review. Carbohydr. Polym. 2019, 219, 63–76. [Google Scholar] [CrossRef]
- Mbituyimana, B.; Liu, L.; Ye, W.; Boni, B.O.O.; Zhang, K.; Chen, J.; Thomas, S.; Vasilievich, R.V.; Shi, Z.; Yang, G. Bacterial cellulose-based composites for biomedical and cosmetic applications: Research progress and existing products. Carbohydr. Polym. 2021, 273, 118565. [Google Scholar] [CrossRef]
- Savitskaya, I.S.; Shokatayeva, D.H.; Kistaubayeva, A.S.; Ignatova, L.V.; Digel, I.E. Antimicrobial and wound healing properties of a bacterial cellulose based material containing B. subtilis cells. Heliyon 2019, 5, e02592. [Google Scholar] [CrossRef]
- Pinmanee, P.; Sompinit, K.; Arnthong, J.; Suwannarangsee, S.; Jantimaporn, A.; Khongkow, M.; Nimchua, T.; Sukyai, P. Enhancing the productivity and stability of superoxide dismutase from Saccharomyces cerevisiae TBRC657 and its application as a free radical scavenger. Fermentation 2022, 8, 169. [Google Scholar] [CrossRef]
- Kawee, N.; Lam, N.T.; Sukyai, P. Homogenous isolation of individualized bacterial nanofibrillated cellulose by high pressure homogenization. Carbohydr. Polym. 2018, 179, 394–401. [Google Scholar] [CrossRef] [PubMed]
- Britton, H.T.H.; Robinson, R.A. Universal buffer solutions and the dissociation constant of veronal. J. Chem. Soc. 1931, 1456–1462. [Google Scholar] [CrossRef]
- Kim, S.W.; Lee, S.O.; Lee, T.H. Purification and characterization of superoxide dismutase from Aerobacter aerogenes. Agric. Biol. Chem. 1991, 55, 101–108. [Google Scholar] [CrossRef]
- Tan, B.H.; Leow, T.C.; Foo, H.L.; Rahim, A.R. Molecular characterization of a recombinant manganese superoxide dismutase from Lactococcus lactis M4. Biomed. Res. Int. 2014, 2014, 469298. [Google Scholar] [CrossRef]
- Abeer, M.M.; Mohd Amin, M.C.; Martin, C. A review of bacterial cellulose-based drug delivery systems: Their biochemistry, current approaches and future prospects. J. Pharm. Pharmacol. 2014, 66, 1047–1061. [Google Scholar] [CrossRef]
- Shao, W.; Liu, H.; Wang, S.; Wu, J.; Huang, M.; Min, H.; Liu, X. Controlled release and antibacterial activity of tetracycline hydrochloride-loaded bacterial cellulose composite membranes. Carbohydr. Polym. 2016, 145, 114–120. [Google Scholar] [CrossRef]
- Badshah, M.; Ullah, H.; He, F. Wahid, F.; Farooq, U.; Andersson, M.; Khan, T. Development and evaluation of drug loaded regenerated bacterial cellulose-based matrices as a potential dosage form. Front. Bioeng. Biotechnol. 2020, 8. [Google Scholar] [CrossRef]
- Jacobson, M.D. Reactive oxygen species and programmed cell death. Trends Biochem. Sci. 1996, 21, 83–86. [Google Scholar] [CrossRef] [PubMed]
- Lu, J.; Cheng, K.; Zhang, B.; Xu, H.; Cao, Y.; Guo, F.; Feng, X.; Xia, Q. Novel mechanisms for superoxide-scavenging activity of human manganese superoxide dismutase determined by the K68 key acetylation site. Free Radic. Biol. Med. 2015, 85, 114–126. [Google Scholar] [CrossRef] [PubMed]
- Maghraby, Y.R.; El-Shabasy, R.M.; Ibrahim, A.H.; Azzazy, H.M.E.S. Enzyme immobilization technologies and industrial applications. ACS Omega 2023, 8, 5184–5196. [Google Scholar] [CrossRef]
- Zhu, C.Y.; Li, F.L.; Zhang, Y.W.; Gupta, R.K.; Patel, S.K.S.; Lee, J.K. Recent strategies for the immobilization of therapeutic enzymes. Polymers 2022, 14, 1409. [Google Scholar] [CrossRef]
- Mohamad, N.R.; Marzuki, N.H.; Buang, N.A.; Huyop, F.; Wahab, R.A. An overview of technologies for immobilization of enzymes and surface analysis techniques for immobilized enzymes. Biotechnol. Biotechnol. Equip. 2015, 29, 205–220. [Google Scholar] [CrossRef]
- Aditya, T.; Allain, J.P.; Jaramillo, C.; Restrepo, A.M. Surface modification of bacterial cellulose for biomedical applications. Int. J. Mol. Sci. 2022, 23, 610. [Google Scholar] [CrossRef] [PubMed]







| Purification Step | Volume (mL) | Total Activity (U) | Total Protein Conc. (mg) | Specific Activity(U/mg) | Purification Factor |
|---|---|---|---|---|---|
| crude SOD | 200.0 | 66,735.18 | 1351.20 | 49.55 | 1.00 |
| salt precipitation | 80.0 | 43,629.36 | 611.27 | 71.37 | 1.44 |
| HIC | 20.0 | 28,336.38 | 276.56 | 102.46 | 2.06 |
| AEX | 18.0 | 22,174.00 | 169.88 | 130.53 | 2.63 |
| SEC | 8.0 | 16,295.90 | 31.72 | 513.74 | 10.36 |
| Inhibitors | Relative Activity (%) |
|---|---|
| Control | 100.00 ± 8.92 a |
| Hydrogen peroxide | 97.92 ± 4.35 a |
| Potassium cyanide | 93.56 ± 6.35 a |
| Sodium azide | 67.06 ± 2.23 b |
Disclaimer/Publisher’s Note: The statements, opinions and data contained in all publications are solely those of the individual author(s) and contributor(s) and not of MDPI and/or the editor(s). MDPI and/or the editor(s) disclaim responsibility for any injury to people or property resulting from any ideas, methods, instructions or products referred to in the content. |
© 2023 by the authors. Licensee MDPI, Basel, Switzerland. This article is an open access article distributed under the terms and conditions of the Creative Commons Attribution (CC BY) license (https://creativecommons.org/licenses/by/4.0/).
Share and Cite
Pinmanee, P.; Sompinit, K.; Jantimaporn, A.; Khongkow, M.; Haltrich, D.; Nimchua, T.; Sukyai, P. Purification and Immobilization of Superoxide Dismutase Obtained from Saccharomyces cerevisiae TBRC657 on Bacterial Cellulose and Its Protective Effect against Oxidative Damage in Fibroblasts. Biomolecules 2023, 13, 1156. https://doi.org/10.3390/biom13071156
Pinmanee P, Sompinit K, Jantimaporn A, Khongkow M, Haltrich D, Nimchua T, Sukyai P. Purification and Immobilization of Superoxide Dismutase Obtained from Saccharomyces cerevisiae TBRC657 on Bacterial Cellulose and Its Protective Effect against Oxidative Damage in Fibroblasts. Biomolecules. 2023; 13(7):1156. https://doi.org/10.3390/biom13071156
Chicago/Turabian StylePinmanee, Phitsanu, Kamonwan Sompinit, Angkana Jantimaporn, Mattaka Khongkow, Dietmar Haltrich, Thidarat Nimchua, and Prakit Sukyai. 2023. "Purification and Immobilization of Superoxide Dismutase Obtained from Saccharomyces cerevisiae TBRC657 on Bacterial Cellulose and Its Protective Effect against Oxidative Damage in Fibroblasts" Biomolecules 13, no. 7: 1156. https://doi.org/10.3390/biom13071156
APA StylePinmanee, P., Sompinit, K., Jantimaporn, A., Khongkow, M., Haltrich, D., Nimchua, T., & Sukyai, P. (2023). Purification and Immobilization of Superoxide Dismutase Obtained from Saccharomyces cerevisiae TBRC657 on Bacterial Cellulose and Its Protective Effect against Oxidative Damage in Fibroblasts. Biomolecules, 13(7), 1156. https://doi.org/10.3390/biom13071156

