Structure–Function Analysis of the Biotechnologically Important Cytochrome P450 107 (CYP107) Enzyme Family
Abstract
1. Introduction
2. Materials and Methods
2.1. Retrieving of CYP107 Member’s Structures
2.2. CYP107 Active Site Analysis
2.3. Analysis of Ligand Interactions in Closed Conformation PDB Files Using PyMOL
3. Results
3.1. Enzyme Conformation Affects the Active Site Morphology in CYP107 Proteins
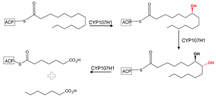
3.2. CYP107H1: Substrate Shape Change and Expulsion of Water Molecules as per Substrate Size
3.3. CYP107A1
3.3.1. Perpendicular Binding of the Substrate
3.3.2. Homotropic Cooperativity
3.3.3. High Flexibility and Conformational Change of I-Helix Region
3.3.4. Ala-245 Is Critical to the Proton Shuttle
3.4. CYP107L1: Asp-50, Glu-85, and Glu-94 Play Pivotal Roles in the Substrate Access, Orientation, and Relocation within the Active Site
3.5. CYP107BR1: Distant Amino Acids Cause Conformational Change and Consequently Increase Enzymatic Activity
3.6. CYP107E1: Orientation of Substrate Sugar Moieties Determines Catalytic Function
3.7. CYP107G1: Ala-241 and Gly-242 Are Involved in Substrate Anchoring
3.8. CYP107E6: Arg-81 and Arg-190 Play a Role in Substrate Orientation
3.9. CYP107FH5: Steric and Hydrophobic Interactions with Phe-92, Leu-399, and Ile-400 Are Critical for the C-10 Hydroxylation Step in the Tirandamycin Pathway
4. Conclusions
Author Contributions
Funding
Institutional Review Board Statement
Informed Consent Statement
Data Availability Statement
Conflicts of Interest
References
- Zondo, N.M.; Padayachee, T.; Nelson, D.R.; Syed, K. Saprophytic to pathogenic mycobacteria: Loss of cytochrome P450s vis a vis their prominent involvement in natural metabolite biosynthesis. Int. J. Mol. Sci. 2022, 24, 149. [Google Scholar] [CrossRef]
- Msweli, S.; Chonco, A.; Msweli, L.; Syed, P.R.; Karpoormath, R.; Chen, W.; Gront, D.; Nkosi, B.V.Z.; Nelson, D.R.; Syed, K. Lifestyles shape the cytochrome P450 repertoire of the Bacterial phylum Proteobacteria. Int. J. Mol. Sci. 2022, 23, 5821. [Google Scholar] [CrossRef] [PubMed]
- Nkosi, B.V.Z.; Padayachee, T.; Gront, D.; Nelson, D.R.; Syed, K. Contrasting health effects of Bacteroidetes and Firmicutes lies in their genomes: Analysis of P450s, ferredoxins, and secondary metabolite clusters. Int. J. Mol. Sci. 2022, 23, 5057. [Google Scholar] [CrossRef]
- Malinga, N.A.; Nzuza, N.; Padayachee, T.; Syed, P.R.; Karpoormath, R.; Gront, D.; Nelson, D.R.; Syed, K. An unprecedented number of cytochrome P450s are involved in secondary metabolism in Salinispora Species. Microorganisms 2022, 10, 871. [Google Scholar] [CrossRef] [PubMed]
- Podust, L.M.; Sherman, D.H. Diversity of P450 enzymes in the biosynthesis of natural products. Nat. Prod. Rep. 2012, 29, 1251–1266. [Google Scholar] [CrossRef]
- Greule, A.; Stok, J.E.; De Voss, J.J.; Cryle, M.J. Unrivalled diversity: The many roles and reactions of bacterial cytochromes P450 in secondary metabolism. Nat. Prod. Rep. 2018, 35, 757–791. [Google Scholar] [CrossRef] [PubMed]
- Li, Z.; Jiang, Y.; Guengerich, F.P.; Ma, L.; Li, S.; Zhang, W. Engineering cytochrome P450 enzyme systems for biomedical and biotechnological applications. J. Biol. Chem. 2020, 295, 833–849. [Google Scholar] [CrossRef]
- Urlacher, V.B.; Girhard, M. Cytochrome P450 monooxygenases in biotechnology and synthetic biology. Trends Biotechnol. 2019, 37, 882–897. [Google Scholar] [CrossRef]
- Girvan, H.M.; Munro, A.W. Applications of microbial cytochrome P450 enzymes in biotechnology and synthetic biology. Curr. Opin. Chem. Biol. 2016, 31, 136–145. [Google Scholar] [CrossRef]
- Kelly, S.L.; Kelly, D.E. Microbial cytochromes P450: Biodiversity and biotechnology. Where do cytochromes P450 come from, what do they do and what can they do for us? Philos. Trans. R. Soc. London. Ser. B Biol. Sci. 2013, 368, 20120476. [Google Scholar] [CrossRef]
- Lepesheva, G.I.; Friggeri, L.; Waterman, M.R. CYP51 as drug targets for fungi and protozoan parasites: Past, present and future. Parasitology 2018, 145, 1820–1836. [Google Scholar] [CrossRef] [PubMed]
- Jawallapersand, P.; Mashele, S.S.; Kovacic, L.; Stojan, J.; Komel, R.; Pakala, S.B.; Krasevec, N.; Syed, K. Cytochrome P450 monooxygenase CYP53 family in fungi: Comparative structural and evolutionary analysis and its role as a common alternative anti-fungal drug target. PLoS ONE 2014, 9, e107209. [Google Scholar] [CrossRef] [PubMed]
- Nelson, D.R. Cytochrome P450 nomenclature, 2004. In Methods in Molecular Biology; Spring: Berlin/Heidelberg, Germany, 2006; Volume 320, pp. 1–10. [Google Scholar] [CrossRef]
- Ngcobo, P.E.; Nkosi, B.V.Z.; Chen, W.; Nelson, D.R.; Syed, K. Evolution of cytochrome P450 enzymes and their redox partners in Archaea. Int. J. Mol. Sci. 2023, 24, 4161. [Google Scholar] [CrossRef] [PubMed]
- Mnguni, F.C.; Padayachee, T.; Chen, W.; Gront, D.; Yu, J.-H.; Nelson, D.R.; Syed, K. More P450s are involved in secondary metabolite biosynthesis in Streptomyces compared to Bacillus, Cyanobacteria and Mycobacterium. Int. J. Mol. Sci. 2020, 21, 4814. [Google Scholar] [CrossRef] [PubMed]
- Padayachee, T.; Nzuza, N.; Chen, W.; Nelson, D.R.; Syed, K. impact of lifestyle on cytochrome P450 monooxygenase repertoire is clearly evident in the bacterial phylum Firmicutes. Sci. Rep. 2020, 10, 13982. [Google Scholar] [CrossRef] [PubMed]
- de Lima Procópio, R.E.; da Silva, I.R.; Martins, M.K.; de Azevedo, J.L.; de Araújo, J.M. Antibiotics produced by Streptomyces. Braz. J. Infect. Dis. 2012, 16, 466–471. [Google Scholar] [CrossRef] [PubMed]
- Cupp-Vickery, J.R.; Poulos, T.L. Structure of cytochrome P450eryF involved in erythromycin biosynthesis. Nat. Struct. Biol. 1995, 2, 144–153. [Google Scholar] [CrossRef]
- Li, S.; Tietz, D.R.; Rutaganira, F.U.; Kells, P.M.; Anzai, Y.; Kato, F.; Pochapsky, T.C.; Sherman, D.H.; Podust, L.M. Substrate recognition by the multifunctional cytochrome P450 MycG in mycinamicin hydroxylation and epoxidation reactions. J. Biol. Chem. 2012, 287, 37880–37890. [Google Scholar] [CrossRef]
- Sherman, D.H.; Li, S.; Yermalitskaya, L.V.; Kim, Y.; Smith, J.A.; Waterman, M.R.; Podust, L.M. The structural basis for substrate anchoring, active site selectivity, and product formation by P450 PikC from Streptomyces venezuelae. J. Biol. Chem. 2006, 281, 26289–26297. [Google Scholar] [CrossRef]
- Kim, V.; Lim, Y.R.; Lee, I.; Lee, J.H.; Han, S.; Pham, T.V.; Kim, H.; Lee, R.; Kang, L.W.; Kim, D. Structural insights into CYP107G1 from rapamycin-producing Streptomyces rapamycinicus. Arch. Biochem. Biophys. 2020, 692, 108544. [Google Scholar] [CrossRef]
- Cryle, M.J.; Schlichting, I. Structural insights from a P450 Carrier Protein complex reveal how specificity is achieved in the P450(BioI) ACP complex. Proc. Natl. Acad. Sci. USA 2008, 105, 15696–15701. [Google Scholar] [CrossRef] [PubMed]
- Yasutake, Y.; Fujii, Y.; Nishioka, T.; Cheon, W.K.; Arisawa, A.; Tamura, T. Structural evidence for enhancement of sequential vitamin D3 hydroxylation activities by directed evolution of cytochrome P450 vitamin D3 hydroxylase. J. Biol. Chem. 2010, 285, 31193–31201. [Google Scholar] [CrossRef] [PubMed]
- Cupp-Vickery, J.; Anderson, R.; Hatziris, Z. Crystal structures of ligand complexes of P450eryF exhibiting homotropic cooperativity. Proc. Natl. Acad. Sci. USA 2000, 97, 3050–3055. [Google Scholar] [CrossRef] [PubMed]
- Cupp-Vickery, J.R.; Garcia, C.; Hofacre, A.; McGee-Estrada, K. Ketoconazole-induced conformational changes in the active site of cytochrome P450eryF. J. Mol. Biol. 2001, 311, 101–110. [Google Scholar] [CrossRef] [PubMed]
- Nagano, S.; Cupp-Vickery, J.R.; Poulos, T.L. Crystal structures of the ferrous dioxygen complex of wild-type cytochrome P450eryF and its mutants, A245S and A245T: Investigation of the proton transfer system in P450eryF. J. Biol. Chem. 2005, 280, 22102–22107. [Google Scholar] [CrossRef]
- Tian, Z.; Cheng, Q.; Yoshimoto, F.K.; Lei, L.; Lamb, D.C.; Guengerich, F.P. Cytochrome P450 107U1 is required for sporulation and antibiotic production in Streptomyces coelicolor. Arch. Biochem. Biophys. 2013, 530, 101–107. [Google Scholar] [CrossRef]
- Li, S.; Ouellet, H.; Sherman, D.H.; Podust, L.M. Analysis of transient and catalytic desosamine-binding pockets in cytochrome P-450 PikC from Streptomyces venezuelae. J. Biol. Chem. 2009, 284, 5723–5730. [Google Scholar] [CrossRef]
- Yasutake, Y.; Nishioka, T.; Imoto, N.; Tamura, T. A single mutation at the ferredoxin binding site of P450 Vdh enables efficient biocatalytic production of 25-hydroxyvitamin D(3). Chembiochem 2013, 14, 2284–2291. [Google Scholar] [CrossRef]
- Yasutake, Y.; Kameda, T.; Tamura, T. Structural insights into the mechanism of the drastic changes in enzymatic activity of the cytochrome P450 vitamin D(3) hydroxylase (CYP107BR1) caused by a mutation distant from the active site. Acta Crystallogr. Sect. F Struct. Biol. Commun. 2017, 73, 266–275. [Google Scholar] [CrossRef]
- Zhang, H.; Chen, J.; Wang, H.; Xie, Y.; Ju, J.; Yan, Y.; Zhang, H. Structural analysis of HmtT and HmtN involved in the tailoring steps of himastatin biosynthesis. FEBS Lett. 2013, 587, 1675–1680. [Google Scholar] [CrossRef]
- Arisawa, A.; Tsunekawa, H.; Okamura, K.; Okamoto, R. Nucleotide sequence analysis of the carbomycin biosynthetic genes including the 3-O-acyltransferase gene from Streptomyces thermotolerans. Biosci. Biotechnol. Biochem. 1995, 59, 582–588. [Google Scholar] [CrossRef] [PubMed][Green Version]
- Ashy, M.A.; Khalil, A.E.; Abou-Zeid, A.A. Carbomycin, a macrolide antibiotic. Zentralblatt Bakteriol.Parasitenkd. Infekt. Hygiene. Zweite Naturwissenschaftliche Abt. Mikrobiol. Landwirtsch. Technol. Umweltschutzes 1980, 135, 541–551. [Google Scholar] [CrossRef] [PubMed]
- Takahashi, S.; Nagano, S.; Nogawa, T.; Kanoh, N.; Uramoto, M.; Kawatani, M.; Shimizu, T.; Miyazawa, T.; Shiro, Y.; Osada, H. Structure-function analyses of cytochrome P450revI involved in reveromycin A biosynthesis and evaluation of the biological activity of its substrate, reveromycin T. J. Biol. Chem. 2014, 289, 32446–32458. [Google Scholar] [CrossRef] [PubMed]
- Han, S.; Pham, T.V.; Kim, J.H.; Lim, Y.R.; Park, H.G.; Cha, G.S.; Yun, C.H.; Chun, Y.J.; Kang, L.W.; Kim, D. Functional characterization of CYP107W1 from Streptomyces avermitilis and biosynthesis of macrolide oligomycin A. Arch. Biochem. Biophys. 2015, 575, 1–7. [Google Scholar] [CrossRef]
- Newmister, S.A.; Srivastava, K.R.; Espinoza, R.V.; Haatveit, K.C.; Khatri, Y.; Martini, R.M.; Garcia-Borràs, M.; Podust, L.M.; Houk, K.N.; Sherman, D.H. Molecular Basis of Iterative C─H Oxidation by TamI, a Multifunctional P450 monooxygenase from the Tirandamycin Biosynthetic Pathway. ACS Catal. 2020, 10, 13445–13454. [Google Scholar] [CrossRef]
- Li, F.; Ma, L.; Zhang, X.; Chen, J.; Qi, F.; Huang, Y.; Qu, Z.; Yao, L.; Zhang, W.; Kim, E.S.; et al. Structure-guided manipulation of the regioselectivity of the cyclosporine A hydroxylase CYP-sb21 from Sebekia benihana. Synth. Syst. Biotechnol. 2020, 5, 236–243. [Google Scholar] [CrossRef]
- Lin, S.; Ma, B.; Gao, Q.; Yang, J.; Lai, G.; Lin, R.; Yang, B.; Han, B.N.; Xu, L.H. The 16α-Hydroxylation of Progesterone by Cytochrome P450 107X1 from Streptomyces avermitilis. Chem. Biodivers. 2022, 19, e202200177. [Google Scholar] [CrossRef]
- Sirim, D.; Widmann, M.; Wagner, F.; Pleiss, J. Prediction and analysis of the modular structure of cytochrome P450 monooxygenases. BMC Struct. Biol. 2010, 10, 34. [Google Scholar] [CrossRef]
- Gotoh, O. Substrate recognition sites in cytochrome P450 family 2 (CYP2) proteins inferred from comparative analyses of amino acid and coding nucleotide sequences. J. Biol. Chem. 1992, 267, 83–90. [Google Scholar] [CrossRef]
- Denisov, I.G.; Frank, D.J.; Sligar, S.G. Cooperative properties of cytochromes P450. Pharmacol. Ther. 2009, 124, 151–167. [Google Scholar] [CrossRef]
- Zhang, W.; Liu, Y.; Yan, J.; Cao, S.; Bai, F.; Yang, Y.; Huang, S.; Yao, L.; Anzai, Y.; Kato, F.; et al. New reactions and products resulting from alternative interactions between the P450 enzyme and redox partners. J. Am. Chem. Soc. 2014, 136, 3640–3646. [Google Scholar] [CrossRef] [PubMed]
- Berman, H.M.; Westbrook, J.; Feng, Z.; Gilliland, G.; Bhat, T.N.; Weissig, H.; Shindyalov, I.N.; Bourne, P.E. The Protein Data Bank. Nucleic Acids Res. 2000, 28, 235–242. [Google Scholar] [CrossRef] [PubMed]
- Binkowski, T.A.; Naghibzadeh, S.; Liang, J. CASTp: Computed Atlas of Surface Topography of proteins. Nucleic Acids Res. 2003, 31, 3352–3355. [Google Scholar] [CrossRef] [PubMed]
- Schrödinger, L.D. The PyMOL Molecular Graphics System, Version 2.0; Schrödinger, LLC.: New York, NY, USA, 2020. [Google Scholar]
- Urban, P.; Lautier, T.; Pompon, D.; Truan, G. Ligand Access Channels in Cytochrome P450 Enzymes: A Review. Int. J. Mol. Sci. 2018, 19, 1617. [Google Scholar] [CrossRef] [PubMed]
- Gay, S.C.; Roberts, A.G.; Halpert, J.R. Structural features of cytochromes P450 and ligands that affect drug metabolism as revealed by X-ray crystallography and NMR. Future Med. Chem. 2010, 2, 1451–1468. [Google Scholar] [CrossRef]
- Ahmed, S.; Smith, J.H.; Nicholls, P.J.; Whomsley, R.; Cariuk, P. Synthesis and biological evaluation of imidazole based compounds as cytochrome P-450 inhibitors. Drug Des. Discov. 1995, 13, 27–41. [Google Scholar]
- Gerber, N.C.; Sligar, S.G. A role for Asp-251 in cytochrome P-450cam oxygen activation. J. Biol. Chem. 1994, 269, 4260–4266. [Google Scholar] [CrossRef]
- Betts, M.J.; Russell, R.B. Amino Acid Properties and Consequences of Substitutions. In Bioinformatics for Geneticists; Barnes, M.R., Gray, I.C., Eds.; John Wiley & Sons, Ltd.: Hoboken, NJ, USA, 2003; pp. 289–316. [Google Scholar]












| P450 | Species Name | Biological Process and Enzymatic Reaction | The Biological Significance of the Product | Reference |
|---|---|---|---|---|
| CYP107H1 (P450BioI) | Bacillus subtilis |
![]() | Vitamin | [22] |
| CYP107A1 (P450eryF) | Saccharopolyspora erythraea NRRL23338 |
![]() | Antibacterial agent | [18,24,25,26] |
| CYP107U1 | Streptomyces coelicolor A3(2) |
![]() | Detergent | [27] |
| CYP107L1 (PikC) | Streptomyces venezuelae |
![]()
![]()
![]()
![]()
![]()
![]() | Antibacterial agents | [20,28] |
| CYP107BR1 (P450vdh) | Pseudonocardia autotrophica |
![]() | Vitamin | [23,29,30] |
| CYP107E1 (MycG) | Micromonospora griseorubida |
![]() | Antibacterial agent | [19] |
| CYP107B (HmtT) | Streptomyces himastatinicus ATCC 53653 |
![]() | Antibacterial agent | [31] |
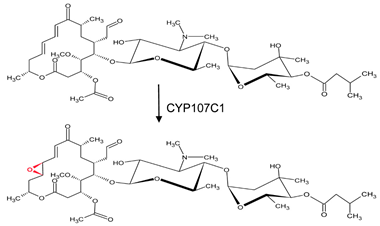
| CYP107C1 (orfA) | Streptomyces thermotolerans |
![]() | Antibacterial agent | [32,33] |
| CYP107G1 (rapN) | Streptomyces hygroscopicus |
![]() | Immunosuppressive, antifungal, and antitumor agent | [21] |
| CYP107E6 (P450revI) | Streptomyces sp. SN-593 |
![]() | Anabolic agent for the treatment of osteoporosis. | [34] |
| CYP107W1 | Streptomyces avermitilis |
![]() | Antibiotic | [35] |
| CYP107FH5 (CYP TamI) | Streptomyces sp. 307-9 |
![]() | Antibiotic | [36] |
| CYP107Z14 (P450-sb21) | Sebekia benihana |
![]() | Immunosuppressant | [37] |
| CYP107X1 | Streptomyces avermitilis |
![]() | Steroid | [38] |
| PDB Code | P450 Name | Reference |
|---|---|---|
| 3EJB, 3EJD, 3EJE | CYP107H1 | [22] |
| 1JIO, 1JIN, 1JIP, 1Z8O, 1Z8P, 1Z8Q, 1OXA, 1EGY, 1EUP | CYP107A1 | [18,24,25,26] |
| 2BVJ, 2CD8, 2C7X, 2C6H, 2VZ7, 2VZM, 2WHW, 2WI9 | CYP107L1 | [20,28] |
| 3A4G, 3A50, 3A4H, 3A4Z, 3A51, 3VRM, 5GNM, 5GNL | CYP107BR1 | [23,29,30] |
| 2YGX, 2YCA, 2Y98, 2Y5Z, 2Y5N, 3ZSN, 4AW3 | CYP107E1 | [19] |
| 4GGV | CYP107B | [31] |
| 6L39, 6L3A | CYP107G1 | [21] |
| 7WEX | CYP107X1 | [38] |
| 4WPZ | CYP107W1 | [35] |
| 6XA2, 6XA3 | CYP107FH5 * | [36] |
| 6M4S | CYP107Z14 * | [37] |
| 3WVS | CYP107E6 * | [34] |
| P450 Name | PDB Code | Area (SA) Å2 | Volume (SA) Å3 | Conformation |
|---|---|---|---|---|
| CYP107A1 | 1EGY | 848 | 701 | Closed |
| CYP107A1 | 1EUP | 851 | 751 | Closed |
| CYP107A1 | 1Z8Q | 824 | 647 | Closed |
| CYP107A1 | 1JIP | 903 | 729 | Closed |
| CYP107A1 | 1JIN | 855 | 691 | Closed |
| CYP107A1 | 1Z8P | 816 | 655 | Closed |
| CYP107A1 | 1JIO | 841 | 700 | Closed |
| CYP107A1 | 1Z8O | 829 | 664 | Closed |
| CYP107A1 | 1OXA | 837 | 715 | Closed |
| CYP107BR1 | 3VRM | 1098 | 970 | Closed |
| CYP107BR1 | 3A50 | 1231 | 1066 | Closed |
| CYP107BR1 | 3A51 | 1260 | 1064 | Closed |
| CYP107E1 | 2Y5N | 1600 | 1189 | Closed |
| CYP107E1 | 2Y98 | 1459 | 994 | Closed |
| CYP107E1 | 2Y5Z | 1552 | 1118 | Closed |
| CYP107E1 | 3ZSN | 1520 | 1286 | Closed |
| CYP107E1 | 4AW3 | 1623 | 1412 | Closed |
| CYP107G1 | 6L3A | 2070 | 2196 | Closed |
| CYP107L1 | 2C6H | 1180 | 933 | Closed |
| CYP107L1 | 2C7X | 1124 | 711 | Closed |
| CYP107L1 | 2CD8 | 1148 | 793 | Closed |
| CYP107L1 | 2VZ7 | 1131 | 934 | Closed |
| CYP107L1 | 2VZM | 1181 | 943 | Closed |
| CYP107L1 | 2WHW | 1171 | 921 | Closed |
| CYP107L1 | 2WI9 | 1177 | 922 | Closed |
| CYP107E6 | 3WVS | 1542 | 1121 | Closed |
| CYP107FH5 | 6XA2 | 789 | 455 | Closed |
| CYP107E1 | 2YCA | 1490 | 1261 | Closed |
| CYP107B | 4GGV | 1369 | 954 | Open |
| CYP107BR1 | 3A4G | 1448 | 1659 | Open |
| CYP107BR1 | 3A4H | 1333 | 1536 | Open |
| CYP107BR1 | 5GNM | 1294 | 1426 | Open |
| CYP107BR1 | 5GNL | 1271 | 1447 | Open |
| CYP107E1 | 2YGX | 1526 | 1033 | Open |
| CYP107G1 | 6L39 | 2287 | 2637 | Open |
| CYP107L1 | 2BVJ | 1151 | 871 | Open |
| CYP107W1 | 4WPZ | 2021 | 1943 | Open |
| CYP107X1 | 7WEX | 1720 | 1520 | Open |
| CYP107FH5 | 6XA3 | 1263 | 1763 | Open |
| CYP107Z14 | 6M4S | 950 | 859 | Open |
| CYP107BR1 | 3A4Z | 1249 | 1093 | Open |
| P450 Name | Conformation | Number of Amino Acids in the Active Site Cavity | Unique Amino Acids | Amino Acids Interacting with the Substrate | RMSD (Å) |
|---|---|---|---|---|---|
| CYP107BR1 | Open | 35 | Leu153 | - | 2.5 |
| Closed | 34 | Ile88 and Ile150 | Ile88 | ||
| CYP107L1 | Open | 36 | Leu93, His245, Val290, Thr294 | - | 0.6 |
| Closed | 36 | Glu94, Val291, Thr295, Ala357 | Glu94 | ||
| CYP107E1 | Open | 35 | Ala285 | - | 0.4 |
| Closed | 33 | Gly81, Leu84, Gly230, Val233 | Gly81, Leu84, Val233 | ||
| CYP107G1 | Open | 31 | Leu282 | - | 0.7 |
| Closed | 30 | Leu190, Ile154 | Gln85 | ||
| CYP107FH5 | Open | 35 | Thr70, Leu166 | - | 3.0 |
| Closed | 35 | Ile163, Ala362 | Ser397, Thr398, Leu399 |
| CYP Name (PDB Code) | Amino Acid Residues |
|---|---|
| CYP107H1 (3EJB) | Lys35, Tyr36, Pro37, Ser56, Arg59, Thr60, Pro61, Leu62, Pro63, Glu64, Gln76, Met79, Leu81, Phe82, Leu164, Ile165, Thr167, Ile168, Phe170, Arg172, Leu230, Ile233, Ala234, Thr238, Thr281, Met283, Thr284, Ala285, Gln304, Tyr306, Phe383 |
| CYP107H1 (3EJD) | Lys35, Tyr36, Pro37, Ser56, Arg59, Thr60, Pro61, Leu62, Pro63, Glu64, Gln76, Met79, Leu81, Phe82, Leu164, Ile165, Thr167, Ile168, Phe170, Arg172, Leu230, Ile233, Ala234, Thr238, Thr281, Met283, Thr284, Ala285, Gln304, Tyr306, Phe383 |
| CYP107H1 (3EJE) | Lys35, Tyr36, Pro37, Ser56, Arg59, Thr60, Pro61, Leu62, Pro63, Glu64, Gln76, Met79, Leu81, Phe82, Leu164, Ile165, Thr167, Ile168, Phe170, Arg172, Leu230, Ile233, Ala234, Thr238, Thr281, Met283, Thr284, Ala285, Gln304, Tyr306, Phe383 |
| CYP107A1 (1OXA) | Ala74, Tyr75, Phe78, Phe86, Asn89, Gly91, Thr92, Ser171, Ile174, Leu175, Arg185, Val237, Leu240, Ala241, Phe243, Glu244, Ala245, Phe288, Leu390, Leu391 |
| CYP107A1 (1EGY) | Ala74, Tyr75, Phe78, Phe86, Asn89, Gly91, Thr92, Ile174, Leu175, Arg185, Val237, Ala241, Phe243, Ala245, Pro288, Leu391, Leu392 |
| CYP107A1 (1EUP) | Ala74, Tyr75, Phe78, Phe86, Ala87, Asn89, Met90, Gly91, Thr92, Ser171, Ser172, Ile174, Leu175, Arg185, Leu236, Val237, Leu240, Ala241, Phe243, Glu244, Ala245, Pro288, Leu391, Leu392 |
| CYP107A1 (1JIN) | Ser58, Ser59, Asp60, Pro61, Phe72, Ala74, Tyr75, Asn89, Gly91, Thr92, Ile174, Leu175, Arg185, Val237, Leu238, Leu240, Ala241, Glu244, Ala245, Thr291, Thr292, Arg293, Phe294, Leu391, Leu392 |
| CYP107A1 (1JIP) | Ser58, Ser59, Asp60, Pro61, Phe72, Ala74, Tyr75, Asn89, Gly91, Thr92, Ile174, Leu175, Arg185, Val237, Leu238, Leu240, Ala241, Glu244, Ser245, Thr291, Thr292, Arg293, Phe294, Leu391, Leu392 |
| CYP107A1 (1Z8O) | Ala74, Tyr75, Phe78, Phe86, Asn89, Gly91, Thr92, Ser171, Ile174, Leu175, Val237, Leu240, Ala241, Glu244, Ala245, Ser246, Pro288, Thr291, Cys351, Glu360, Leu391, Leu392 |
| CYP107A1 (1Z8P) | Ala74, Tyr75, Phe78, Phe86, Asn89, Gly91, Thr92, Ser171, Ile174, Leu175, Val237, Leu240, Ala241, Glu244, Ser245, Ser246, Pro288, Thr291, Cys351, Glu360, Leu391, Leu392 |
| CYP107A1 (1Z8Q) | Ala74, Tyr75, Phe78, Phe86, Asn89, Gly91, Thr92, Ser171, Ile174, Leu175, Val237, Leu240, Ala241, Glu244, Thr245, Ser246, Pro288, Thr291, Cys351, Glu360, Leu391, Leu392 |
| CYP107L1 (2C7X) | Asp50, Trp74, Glu85, Leu81, Leu83, Leu88, Asn91, Leu93, Glu94, Phe178, Val179, Ala187, Gln188, Met191, His238, Ile239, Val242, Ala243, Glu246, Thr247, Val290, Thr294, Tyr295, Asn392, Met394, Ile395 |
| CYP107L1 (2C6H) | Asp50, Trp74, Glu85, Leu81, Leu83, Leu88, Asn91, Leu93, Glu94, Phe178, Val179, Ala187, Gln188, Met191, His238, Ile239, Val242, Ala243, Glu246, Thr247, Val290, Thr294, Tyr295, Asn392, Met394, Ile395 |
| CYP107L1 (2VZM) | Asp50, Trp74, Glu85, Leu81, Leu83, Leu88, Asn91, Leu93, Glu94, Phe178, Val179, Ala187, Gln188, Met191, His238, Ile239, Val242, Ala243, Glu246, Thr247, Val290, Thr294, Tyr295, Asn392, Met394, Ile395 |
| CYP107L1 (2VZ7) | Asp50, Trp74, Glu85, Leu81, Leu83, Leu88, Asn91, Leu93, Glu94, Phe178, Val179, Ala187, Gln188, Met191, His238, Ile239, Val242, Ala243, Glu246, Thr247, Val290, Thr294, Tyr295, Asn392, Met394, Ile395 |
| CYP107BR1 (3A50) | Trp67, Pro83, Thr84, Met86, Ile88, Leu89, Leu171, Val172, Ala177, Lys180, Asn181, Met184, Leu232, Ile235, Ala236, Thr240, Val283, Pro287, Leu387 |
| CYP107BR1 (3A51) | Trp67, Pro83, Thr84, Met86, Ile88, Leu89, Leu171, Val172, Ala177, Lys180, Asn181, Met184, Leu232, Ile235, Ala236, Thr240, Val283, Pro287, Leu387 |
| CYP107E1 (2Y98) | Arg75, Glu77, Val79, Lys80, Gly81, Gly82, Leu83, Leu84, Ser85, Phe168, Leu169, Ser170, Ala172, Val174, Thr175, Ala176, Glu178, Met179, Ala183, Gly230, Val233, Ala234, Glu237, Ser238, Phe286, Leu386, Leu387 |
| CYP107E1 (2Y5N) | Arg75, Glu77, Met78, Val79, Lys80, Gly81, Gly82, Leu83, Leu84, Ser85, Phe168, Leu169, Ser170, Ala172, Val174, Thr175, Ala176, Glu178, Met179, Ala183, Gly230, Val233, Ala234, Glu237, Ser238, Phe286, Leu386, Leu387 |
| CYP107E1 (2YCA) | Val79, Lys80, Gly82, Leu83, leu84, Phe168, Tyr187, Asp226, Ile229, Gly230, Val233, Ala234, Glu237, Ser238, Leu280, Gly281, Val282, Gly283, Thr284, Ala285, Phe286, Thr311, Gly338, Leu386, Leu387 |
| CYP107G1 (6L3A) | Leu81, Ala83, Gln85, Gln87, Met91, Met175, Leu176, Ser177, val186, Met187, Gly190, Gln191, Ile240, Ala241, Gly242, Thr245, Ile287, Ala282, Ser292, Trp293, Val394 |
| CYP107E6 (3WVS) | Arg81, Ala85, Ala87, Ser89, Phe91, Ile175, Leu176, Arg190, Asp233, Ile236, Gly237, Leu238, Ile240, Ala241, Thr245, Leu287, Gly288, Gly290, Ser291, Ala292, Ala293, Pro294, Leu318, Met390, Val391 |
| CYP107FH5 (6XA2) | Val42, Pro43, Val44, Cys45, Ala91, Phe92, Leu101, His102, Leu184, Val185, Leu244, Ile247, Gly248, Glu251, Thr252, Leu295, His297, Ala298, Thr299, Ser397, Thr398, Leu399, Ile400 |
Disclaimer/Publisher’s Note: The statements, opinions and data contained in all publications are solely those of the individual author(s) and contributor(s) and not of MDPI and/or the editor(s). MDPI and/or the editor(s) disclaim responsibility for any injury to people or property resulting from any ideas, methods, instructions or products referred to in the content. |
© 2023 by the authors. Licensee MDPI, Basel, Switzerland. This article is an open access article distributed under the terms and conditions of the Creative Commons Attribution (CC BY) license (https://creativecommons.org/licenses/by/4.0/).
Share and Cite
Padayachee, T.; Lamb, D.C.; Nelson, D.R.; Syed, K. Structure–Function Analysis of the Biotechnologically Important Cytochrome P450 107 (CYP107) Enzyme Family. Biomolecules 2023, 13, 1733. https://doi.org/10.3390/biom13121733
Padayachee T, Lamb DC, Nelson DR, Syed K. Structure–Function Analysis of the Biotechnologically Important Cytochrome P450 107 (CYP107) Enzyme Family. Biomolecules. 2023; 13(12):1733. https://doi.org/10.3390/biom13121733
Chicago/Turabian StylePadayachee, Tiara, David C. Lamb, David R. Nelson, and Khajamohiddin Syed. 2023. "Structure–Function Analysis of the Biotechnologically Important Cytochrome P450 107 (CYP107) Enzyme Family" Biomolecules 13, no. 12: 1733. https://doi.org/10.3390/biom13121733
APA StylePadayachee, T., Lamb, D. C., Nelson, D. R., & Syed, K. (2023). Structure–Function Analysis of the Biotechnologically Important Cytochrome P450 107 (CYP107) Enzyme Family. Biomolecules, 13(12), 1733. https://doi.org/10.3390/biom13121733




















