Usefulness of Proguanylin, Pentraxin 3 and S100A12 Serum Concentrations in Diagnosis and Monitoring the Disease Activity in Crohn’s Disease
Abstract
1. Introduction
2. Materials and Methods
2.1. Study Population and Study Design
2.2. Assessing the Serum Proguanylin Concentration
2.3. Assessing the Serum Pentraxin 3 Concentration
2.4. Assessing the Serum S100A12 Concentration
2.5. Statistical Analyses
3. Results
3.1. Research Data
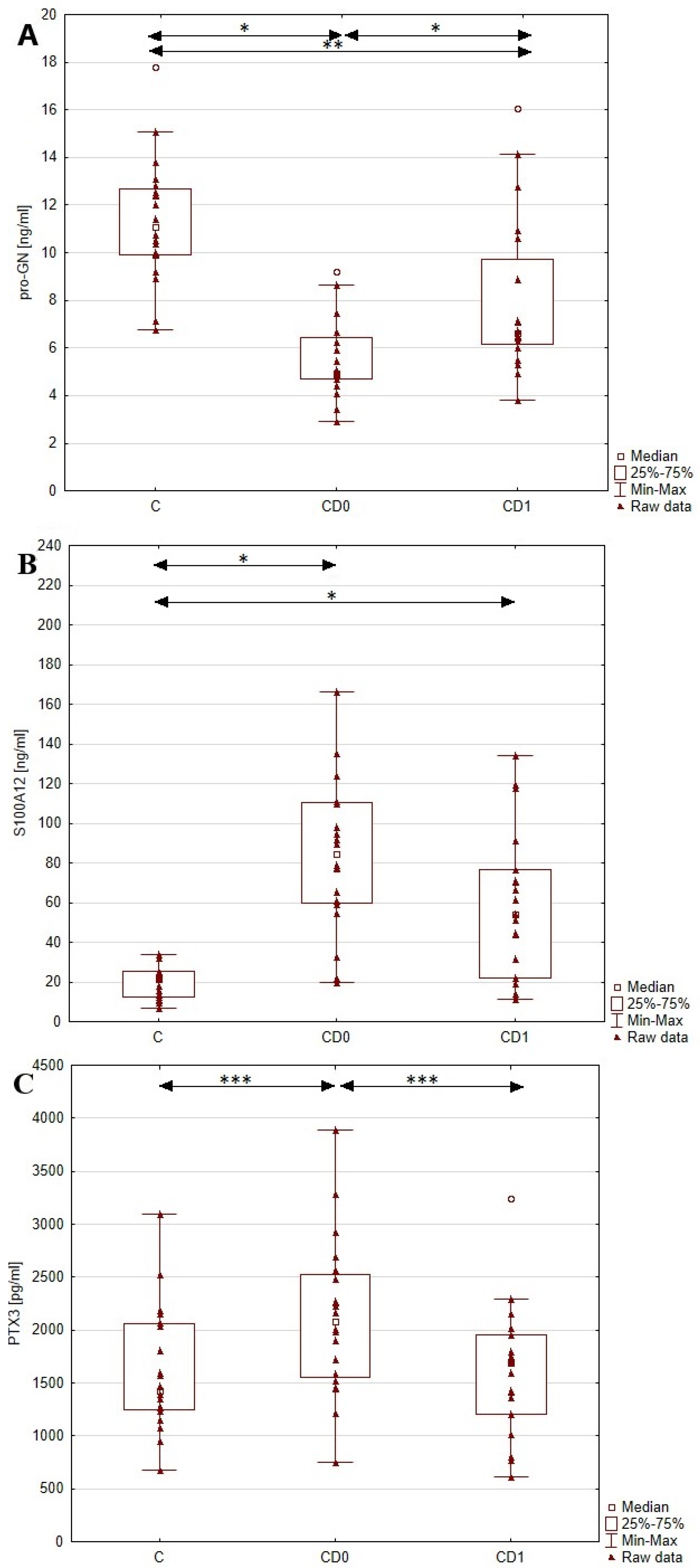
3.2. Serum Profiles of Pro-GN, PTX3 and S100A12 in Patients with Crohn’s Disease and Healthy Individuals
3.3. The Relationship between Serum Levels of Pro-GN, PTX3 and S100A12 and Disease Activity along with Inflammatory State in Patients with Crohn’s Disease
3.4. The Effect of Anti-Inflammatory Treatment on the Serum Profiles of Pro-GN, PTX3 and S100A12 in Patients with Crohn’s Disease
3.5. Comparison of Serum Profiles of Pro-GN, PTX3 and S100A12 in Patients with Crohn’s Disease and Ulcerative Colitis
4. Discussion
4.1. Serum Profiles of Pro-GN, PTX3 and S100A12 in Patients with Crohn’s Disease and Healthy Individuals
4.2. The Relationship between Serum Levels of Pro-GN, PTX3 and S100A12 and Disease Activity in Patients with Crohn’s Disease
4.3. The Effect of Anti-Inflammatory Treatment on the Serum Profiles of Pro-GN, PTX3 and S100A12 in Patients with Crohn’s Disease
4.4. Comparison of Serum Profiles of Pro-GN, PTX3 and S100A12 in Patients with Crohn’s Disease and Ulcerative Colitis
5. Conclusions
Author Contributions
Funding
Institutional Review Board Statement
Informed Consent Statement
Data Availability Statement
Conflicts of Interest
References
- Roda, G.; Chien, N.S.; Kotze, P.G.; Argollo, M.; Panaccione, R.; Spinelli, A.; Kaser, A.; Peyrin-Biroulet, L.; Danese, S. Crohn’s disease. Nat. Rev. Dis. Primers 2020, 6, 22. [Google Scholar] [CrossRef]
- Saez, A.; Herrero-Fernandez, B.; Gomez-Bris, R.; Sánchez-Martinez, H.; Gonzalez-Granado, J.M. Pathophysiology of Inflammatory Bowel Disease: Innate Immune System. Int. J. Mol. Sci. 2023, 24, 1526. [Google Scholar] [CrossRef]
- Szatkowski, P.; Krzysciak, W.; Mach, T.; Owczarek, D.; Brzozowski, B.; Szczeklik, K. Nuclear factor-κB—Importance, induction of inflammation, and effects of pharmacological modulators in Crohn’s disease. J. Physiol. Pharmacol. 2020, 71, 453–465. [Google Scholar] [CrossRef]
- Sands, B.E. Biomarkers of Inflammation in Inflammatory Bowel Disease. Gastroenterology 2015, 149, 1275–1285.e2. [Google Scholar] [CrossRef]
- Sachar, D.B. Biomarkers Task Force of the IOIBD. Role of biomarkers in the study and management of inflammatory bowel disease: A “nonsystematic” review. Inflamm. Bowel Dis. 2014, 20, 2511–2518. [Google Scholar] [CrossRef]
- Lewis, J.D. The utility of biomarkers in the diagnosis and therapy of inflammatory bowel disease. Gastroenterology 2011, 140, 1817–1826.e2. [Google Scholar] [CrossRef]
- Uranga, J.A.; Castro, M.; Abalo, R. Guanylate Cyclase C: A Current Hot Target, from Physiology to Pathology. Curr. Med. Chem. 2018, 25, 1879–1908. [Google Scholar] [CrossRef]
- Lin, J.E.; Snook, A.E.; Li, P.; Stoecker, B.A.; Kim, G.W.; Magee, M.S.; Garcia, A.V.; Valentino, M.A.; Hyslop, T.; Schulz, S.; et al. GUCY2C opposes systemic genotoxic tumorigenesis by regulating AKT-dependent intestinal barrier integrity. PLoS ONE 2012, 7, e31686. [Google Scholar] [CrossRef]
- Kunes, P.; Holubcova, Z.; Kolackova, M.; Krejsek, J. Pentraxin 3(PTX 3): An endogenous modulator of the inflammatory response. Mediat. Inflamm. 2012, 2012, 920517. [Google Scholar] [CrossRef]
- Zhang, H.; Wang, R.; Wang, Z.; Wu, W.; Zhang, N.; Zhang, L.; Hu, J.; Luo, P.; Zhang, J.; Liu, Z.; et al. Molecular insight into pentraxin-3: Update advances in innate immunity, inflammation, tissue remodeling, diseases, and drug role. Biomed. Pharmacother. 2022, 156, 113783. [Google Scholar] [CrossRef]
- Pietzsch, J.; Hoppmann, S. Human S100A12: A novel key player in inflammation? Amino Acids 2009, 36, 381–389. [Google Scholar] [CrossRef] [PubMed]
- Goyette, J.; Geczy, C.L. Inflammation-associated S100 proteins: New mechanisms that regulate function. Amino Acids 2011, 41, 821–842. [Google Scholar] [CrossRef] [PubMed]
- Body-Malapel, M.; Djouina, M.; Waxin, C.; Langlois, A.; Gower-Rousseau, C.; Zerbib, P.; Schmidt, A.M.; Desreumaux, P.; Boulanger, E.; Vignal, C. The RAGE signaling pathway is involved in intestinal inflammation and represents a promising therapeutic target for Inflammatory Bowel Diseases. Mucosal Immunol. 2019, 12, 468–478. [Google Scholar] [CrossRef]
- Komosinska-Vassev, K.; Kałużna, A.; Jura-Półtorak, A.; Derkacz, A.; Olczyk, K. Circulating Profile of ECM-Related Proteins as Diagnostic Markers in Inflammatory Bowel Diseases. J. Clin. Med. 2022, 11, 5618. [Google Scholar] [CrossRef] [PubMed]
- Maaser, C.; Sturm, A.; Vavricka, S.R.; Kucharzik, T.; Fiorino, G.; Annese, V.; Calabrese, E.; Baumgart, D.C.; Bettenworth, D.; Borralho Nunes, P.; et al. European Crohn’s and Colitis Organisation [ECCO] and the European Society of Gastrointestinal and Abdominal Radiology [ESGAR]. ECCO-ESGAR Guideline for Diagnostic Assessment in IBD Part 1: Initial diagnosis, monitoring of known IBD, detection of complications. J. Crohns Colitis. 2019, 13, 144–164. [Google Scholar]
- Henao, M.P.; Bewtra, M.; Osterman, M.T.; Aberra, F.N.; Scott, F.I.; Lichtenstein, G.R.; Kraschnewski, J.; Lewis, J.D. Measurement of Inflammatory Bowel Disease Symptoms: Reliability of an Abbreviated Approach to Data Collection. Inflamm. Bowel Dis. 2015, 21, 2262–2271. [Google Scholar] [CrossRef][Green Version]
- Kałużna, A.; Jura-Półtorak, A.; Derkacz, A.; Jaruszowiec, J.; Olczyk, K.; Komosinska-Vassev, K. Circulating Profiles of Serum Proguanylin, S100A12 Protein and Pentraxin 3 as Diagnostic Markers of Ulcerative Colitis. J. Clin. Med. 2023, 12, 4339. [Google Scholar] [CrossRef]
- von Volkmann, H.L.; Brønstad, I.; Tronstad, R.R.; Dizdar, V.; Nylund, K.; Hanevik, K.; Hausken, T.; Gilja, O.H.; Fiskerstrand, T. Plasma levels of guanylins are reduced in patients with Crohn’s disease. Scand. J. Gastroenterol. 2020, 55, 449–453. [Google Scholar] [CrossRef]
- Brenna, Ø.; Bruland, T.; Furnes, M.W.; Granlund, A.; Drozdov, I.; Emgård, J.; Brønstad, G.; Kidd, M.; Sandvik, A.K.; Gustafsson, B.I. The guanylate cyclase-C signaling pathway is down-regulated in inflammatory bowel disease. Scand. J. Gastroenterol. 2015, 50, 1241–1252. [Google Scholar] [CrossRef]
- Chen, J.; Xu, X.; Xia, L.; Xi, X.; Liu, B.; Yang, M. Serum pentraxin 3 is a novel marker in Crohn’s disease. Mol. Med. Rep. 2015, 12, 543–546. [Google Scholar] [CrossRef]
- Foell, D.; Kucharzik, T.; Kraft, M.; Vogl, T.; Sorg, C.; Domschke, W.; Roth, J. Neutrophil derived human S100A12 (EN-RAGE) is strongly expressed during chronic active inflammatory bowel disease. Gut 2003, 52, 847–853. [Google Scholar] [CrossRef] [PubMed]
- Reimund, J.M.; Wittersheim, C.; Dumont, S.; Muller, C.D.; Kenney, J.S.; Baumann, R.; Poindron, P.; Duclos, B. Increased production of tumour necrosis factor-alpha interleukin-1 beta, and interleukin-6 by morphologically normal intestinal biopsies from patients with Crohn’s disease. Gut 1996, 39, 684–689. [Google Scholar] [CrossRef] [PubMed]
- Däbritz, J.; Langhorst, J.; Lügering, A.; Heidemann, J.; Mohr, M.; Wittkowski, H.; Krummenerl, T.; Foell, D. Improving relapse prediction in inflammatory bowel disease by neutrophil-derived S100A12. Inflamm. Bowel Dis. 2013, 19, 1130–1138. [Google Scholar] [CrossRef]
- Bierhaus, A.; Schiekofer, S.; Schwaninger, M.; Andrassy, M.; Humpert, P.M.; Chen, J.; Hong, M.; Luther, T.; Henle, T.; Klöting, I.; et al. Diabetes-associated sustained activation of the transcription factor nuclear factor-kappaB. Diabetes 2001, 50, 2792–2808. [Google Scholar] [CrossRef]
- Polińska, B.; Matowicka-Karna, J.; Kemona, H. Cytokiny w nieswoistych zapalnych chorobach jelit. Postepy Hig. Med. Dosw. 2009, 63, 389–394. [Google Scholar]
- Kmieć, Z.; Cyman, M.; Ślebioda, T.J. Cells of the innate and adaptive immunity and their interactions in inflammatory bowel disease. Adv. Med. Sci. 2017, 62, 1–16. [Google Scholar] [CrossRef] [PubMed]
- Dinallo, V.; Marafini, I.; Di Fusco, D.; Laudisi, F.; Franzè, E.; Di Grazia, A.; Figliuzzi, M.M.; Caprioli, F.; Stolfi, C.; Monteleone, I.; et al. Neutrophil Extracellular Traps Sustain Inflammatory Signals in Ulcerative Colitis. J. Crohns Colitis. 2019, 13, 772–784. [Google Scholar] [CrossRef] [PubMed]
- Angelidou, I.; Chrysanthopoulou, A.; Mitsios, A.; Arelaki, S.; Arampatzioglou, A.; Kambas, K.; Ritis, D.; Tsironidou, V.; Moschos, I.; Dalla, V.; et al. REDD1/Autophagy Pathway Is Associated with Neutrophil-Driven IL-1β Inflammatory Response in Active Ulcerative Colitis. J. Immunol. 2018, 200, 3950–3961. [Google Scholar] [CrossRef]
- Hasegawa, T.; Kosaki, A.; Kimura, T.; Matsubara, H.; Mori, Y.; Okigaki, M.; Masaki, H.; Toyoda, N.; Inoue-Shibata, M.; Kimura, Y.; et al. The regulation of EN-RAGE (S100A12) gene expression in human THP-1 macrophages. Atherosclerosis 2003, 171, 211–218. [Google Scholar] [CrossRef]
- Hart, A.L.; Al-Hassi, H.O.; Rigby, R.J.; Bell, S.J.; Emmanuel, A.V.; Knight, S.C.; Kamm, M.A.; Stagg, A.J. Characteristics of intestinal dendritic cells in inflammatory bowel diseases. Gastroenterology 2005, 129, 50–65. [Google Scholar] [CrossRef]




| Parameter | CD0 | CD1 | p |
|---|---|---|---|
| Age (years) | 32.1 ± 9.32 | ||
| CDAI score | 303.4 ± 52.45 | 270.81 ± 44.30 | 0.024 |
| CRP (mg/L) | 15.7 (4.2–39.05) | 15.2 (5.3–23.40) | 0.242 |
| Sodium (mmol/L) | 138.15 ± 2.89 | 138.38 ± 3.9 | 0.886 |
| Potassium (mmol/L) | 4.35 (4.2–4.45) | 4.35 (4.20–4.45) | 0.606 |
| Glucose (mmol/L) | 5.11 ± 0.86 | 4.89 ± 0.43 | 0.205 |
| Creatinine (μmol/L) | 81.33 ± 14.14 | 86.63 ± 13.26 | 0.300 |
| WBC (×103/L) | 7.2 ± 3.21 | 6.22 ± 1.97 | 0.630 |
| RBC (×106/L) | 4.04 (3.78–4.71) | 4.16(3.82–4.86) | 0.803 |
| Hemoglobin (g/dL) | 11.58 ±2.3 | 12.41 ± 1.94 | 0.411 |
| HCT (%) | 35.04 ± 5.54 | 37.09 ± 5.1 | 0.405 |
| MCV (fL) | 85.81 ± 8.44 | 86.21 ± 6.65 | 0.908 |
| MCH (pg) | 29.30 (26.2–31.45) | 29.7 (27.65–30.5) | 0.803 |
| MCHC (g/dL) | 33.05 (31.45–34) | 33.15 (32.35–34.00) | 0.803 |
| RDWCV (%) | 15.14 ± 2.35 | 14.01 ± 1.48 | 0.171 |
| PLT (×109/L) | 349 (263–400) | 253 (169.5–323.5) | 0.047 |
| PCT (%) | 0.34 (0.26–0.37) | 0.27 (0.18–0.32) | 0.108 |
| PLCR (%) | 20.73 ± 5.23 | 26.73 ± 9.70 | 0.030 |
| PDW (fL) | 9.80 (9.40–10.90) | 11.55 (9.75–12.65) | 0.041 |
| MPV (fL) | 9.43 ± 0.72 | 10.28 ± 1.30 | 0.020 |
| Parameter | C | CD0 | #UC0 | p CD0 vs. UC0 |
|---|---|---|---|---|
| Age (years) | 37.95 ± 10.42 | 32.1 ± 9.32 | 33.38 ± 12.75 | |
| Pro-GN (ng/mL) | 11.35 ± 2.59 | 5.5 ± 1.6 | #5.8 ± 2.8 | p > 0.05 |
| PTX3 (pg/mL) | 1608.37 ± 587.05 | 2117.9 ± 737.4 | #3502.1 ± 1881.5 | p < 0.005 |
| S100A12 (ng/mL) | 19.74 ± 8.07 | 79.4 ± 39.5 | #57.4 ± 46.6 | p < 0.05 |
| Parameter | Disease Activity Index (CDAI) | |
|---|---|---|
| Crohn’s Disease Patients before One Year of Anti- Inflammatory Treatment (CD0) | Crohn’s Disease Patients after One Year of Anti- Inflammatory Treatment (CD1) | |
| Pro-GN (ng/mL) | r= −0.32; p > 0.05 | r= 0.12; p > 0.05 |
| PTX3 (pg/mL) | r = 0.63; p < 0.005 | r = 0.60; p < 0.05 |
| S100A12 (ng/mL) | r= 0.33; p > 0.05 | r = 0.81; p < 0.005 |
Disclaimer/Publisher’s Note: The statements, opinions and data contained in all publications are solely those of the individual author(s) and contributor(s) and not of MDPI and/or the editor(s). MDPI and/or the editor(s) disclaim responsibility for any injury to people or property resulting from any ideas, methods, instructions or products referred to in the content. |
© 2023 by the authors. Licensee MDPI, Basel, Switzerland. This article is an open access article distributed under the terms and conditions of the Creative Commons Attribution (CC BY) license (https://creativecommons.org/licenses/by/4.0/).
Share and Cite
Kałużna, A.; Jura-Półtorak, A.; Derkacz, A.; Olczyk, K.; Komosinska-Vassev, K. Usefulness of Proguanylin, Pentraxin 3 and S100A12 Serum Concentrations in Diagnosis and Monitoring the Disease Activity in Crohn’s Disease. Biomolecules 2023, 13, 1448. https://doi.org/10.3390/biom13101448
Kałużna A, Jura-Półtorak A, Derkacz A, Olczyk K, Komosinska-Vassev K. Usefulness of Proguanylin, Pentraxin 3 and S100A12 Serum Concentrations in Diagnosis and Monitoring the Disease Activity in Crohn’s Disease. Biomolecules. 2023; 13(10):1448. https://doi.org/10.3390/biom13101448
Chicago/Turabian StyleKałużna, Aleksandra, Agnieszka Jura-Półtorak, Alicja Derkacz, Krystyna Olczyk, and Katarzyna Komosinska-Vassev. 2023. "Usefulness of Proguanylin, Pentraxin 3 and S100A12 Serum Concentrations in Diagnosis and Monitoring the Disease Activity in Crohn’s Disease" Biomolecules 13, no. 10: 1448. https://doi.org/10.3390/biom13101448
APA StyleKałużna, A., Jura-Półtorak, A., Derkacz, A., Olczyk, K., & Komosinska-Vassev, K. (2023). Usefulness of Proguanylin, Pentraxin 3 and S100A12 Serum Concentrations in Diagnosis and Monitoring the Disease Activity in Crohn’s Disease. Biomolecules, 13(10), 1448. https://doi.org/10.3390/biom13101448

