Aldehydes, Aldehyde Metabolism, and the ALDH2 Consortium
1. Introduction
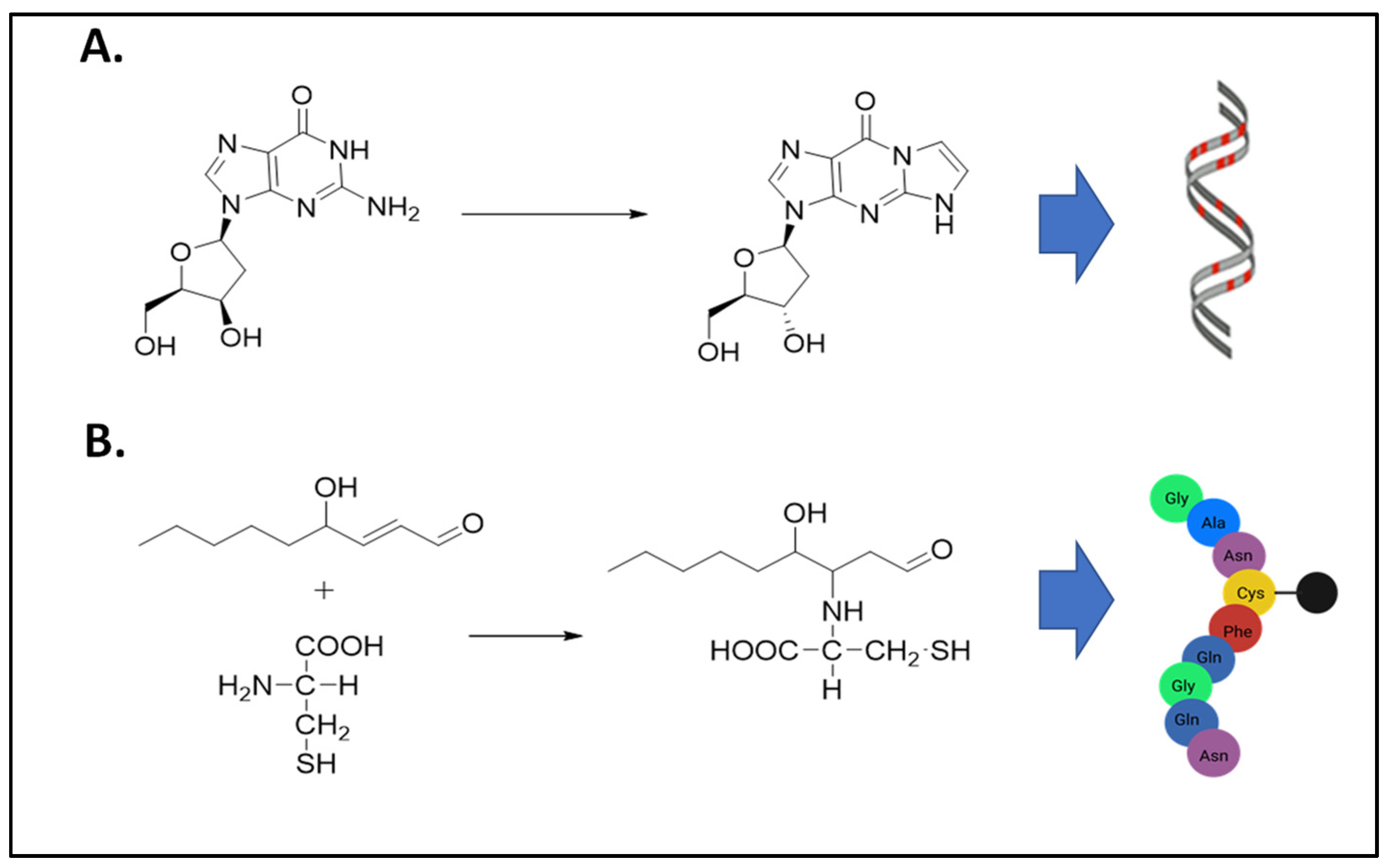
2. Highlights of the Biomolecules Special Issue
2.1. Aldehyde Exposure from Alcohol
2.2. Aldehyde Sources in Addition to Alcohol
3. ALDH2 STAR Consortium
4. Summary
Funding
Conflicts of Interest
References
- West, J.B. Carl Wilhelm Scheele, the discoverer of oxygen, and a very productive chemist. Am. J. Physiol. Cell. Mol. Physiol. 2014, 307, L811–L816. [Google Scholar] [CrossRef] [PubMed] [Green Version]
- Brock, W.H. From Pharmacy to Chemistry. In Justus Von Liebig: The Chemical Gatekeeper; Cambridge University Press: Cambridge, UK, 1997; pp. 1–13. [Google Scholar]
- Narula, A.P.S. Fragrance and Attraction. ACS Symp. Ser. 2019, 1321, 1–16. [Google Scholar] [CrossRef]
- Sinharoy, P.; McAllister, S.L.; Vasu, M.; Gross, E.R. Environmental Aldehyde Sources and the Health Implications of Exposure. Adv. Exp. Med. Biol. 2019, 1193, 35–52. [Google Scholar] [CrossRef] [Green Version]
- Gross, E.R.; Zambelli, V.O.; Small, B.A.; Ferreira, J.C.B.; Chen, C.-H.; Mochly-Rosen, D. A Personalized Medicine Approach for Asian Americans with the Aldehyde Dehydrogenase 2*2 Variant. Annu. Rev. Pharmacol. Toxicol. 2015, 55, 107–127. [Google Scholar] [CrossRef] [PubMed] [Green Version]
- Brooks, P.J.; Enoch, M.-A.; Goldman, D.; Li, T.-K.; Yokoyama, A. The Alcohol Flushing Response: An Unrecognized Risk Factor for Esophageal Cancer from Alcohol Consumption. PLoS Med. 2009, 6, e1000050. [Google Scholar] [CrossRef]
- Xiao, Q.; Weiner, H.; Johnston, T.; Crabb, D.W. The aldehyde dehydrogenase ALDH2*2 allele exhibits dominance over ALDH2*1 in transduced HeLa cells. J. Clin. Investig. 1995, 96, 2180–2186. [Google Scholar] [CrossRef]
- Singh, S.; Fritze, G.; Fang, B.; Harada, S.; Paik, Y.K.; Eckey, R.; Agarwal, D.P.; Goedde, H.W. Inheritance of mitochondrial aldehyde dehydrogenase: Genotyping in Chinese, Japanese and South Korean families reveals dominance of the mutant allele. Qual. Life Res. 1989, 83, 119–121. [Google Scholar] [CrossRef]
- Chen, C.-H.; Ferreira, J.C.B.; Joshi, A.U.; Stevens, M.C.; Li, S.-J.; Hsu, J.H.-M.; Maclean, R.; Ferreira, N.D.; Cervantes, P.R.; Martinez, D.D.; et al. Novel and prevalent non-East Asian ALDH2 variants; Implications for global susceptibility to aldehydes’ toxicity. eBioMedicine 2020, 55, 102753. [Google Scholar] [CrossRef]
- Lin, C.-L.; Chien, R.-N.; Chen, L.-W.; Huang, T.-S.; Shyu, Y.-C.; Yeh, C.-T.; Liang, K.-H. The Aldehyde Dehydrogenase ALDH2*2 Allele, Associated with Alcohol Drinking Behavior, Dates Back to Prehistoric Times. Biomolecules 2021, 11, 1376. [Google Scholar] [CrossRef]
- Chen, Y.-C.; Yang, L.-F.; Lai, C.-L.; Yin, S.-J. Acetaldehyde Enhances Alcohol Sensitivity and Protects against Alcoholism: Evidence from Alcohol Metabolism in Subjects with Variant ALDH2*2 Gene Allele. Biomolecules 2021, 11, 1183. [Google Scholar] [CrossRef]
- Guidolin, V.; Carlson, E.; Carrà, A.; Villalta, P.; Maertens, L.; Hecht, S.; Balbo, S. Identification of New Markers of Alcohol-Derived DNA Damage in Humans. Biomolecules 2021, 11, 366. [Google Scholar] [CrossRef] [PubMed]
- Tsai, H.-C.; Chen, C.-H.; Mochly-Rosen, D.; Li, Y.-C.; Chen, M.-H. The Role of Alcohol, LPS Toxicity, and ALDH2 in Dental Bony Defects. Biomolecules 2021, 11, 651. [Google Scholar] [CrossRef] [PubMed]
- Shimonosono, M.; Tanaka, K.; Flashner, S.; Takada, S.; Matsuura, N.; Tomita, Y.; Sachdeva, U.M.; Noguchi, E.; Sangwan, V.; Ferri, L.; et al. Alcohol Metabolism Enriches Squamous Cell Carcinoma Cancer Stem Cells That Survive Oxidative Stress via Autophagy. Biomolecules 2021, 11, 1479. [Google Scholar] [CrossRef] [PubMed]
- Nakano, Y.; Ochi, H.; Onohara, Y.; Sairaku, A.; Tokuyama, T.; Matsumura, H.; Tomomori, S.; Amioka, M.; Hironomobe, N.; Motoda, C.; et al. Genetic variations of aldehyde dehydrogenase 2 and alcohol dehydrogenase 1B are associated with the etiology of atrial fibrillation in Japanese. J. Biomed. Sci. 2016, 23, 1–9. [Google Scholar] [CrossRef] [Green Version]
- Yamashita, T.; Arima, Y.; Hoshiyama, T.; Tabata, N.; Sueta, D.; Kawahara, Y.; Ito, M.; Kanazawa, H.; Ishii, M.; Yamanaga, K.; et al. Effect of the ALDH2 Variant on the Prevalence of Atrial Fibrillation in Habitual Drinkers. JACC Asia 2022, 2, 62–70. [Google Scholar] [CrossRef]
- Hsu, L.-A.; Tsai, F.-C.; Yeh, Y.-H.; Chang, C.-J.; Kuo, C.-T.; Chen, W.-J.; Tsai, H.-Y.; Chang, G.-J. Aldehyde Dehydrogenase 2 Ameliorates Chronic Alcohol Consumption-Induced Atrial Fibrillation through Detoxification of 4-HNE. Int. J. Mol. Sci. 2020, 21, 6678. [Google Scholar] [CrossRef]
- Hung, C.-L.; Sung, K.-T.; Chang, S.-C.; Liu, Y.-Y.; Kuo, J.-Y.; Huang, W.-H.; Su, C.-H.; Liu, C.-C.; Tsai, S.-Y.; Liu, C.-Y.; et al. Variant Aldehyde Dehydrogenase 2 (ALDH2*2) as a Risk Factor for Mechanical LA Substrate Formation and Atrial Fibrillation with Modest Alcohol Consumption in Ethnic Asians. Biomolecules 2021, 11, 1559. [Google Scholar] [CrossRef]
- Bilska-Wilkosz, A.; Iciek, M.; Górny, M. Chemistry and Biochemistry Aspects of the 4-Hydroxy-2,3-trans-nonenal. Biomolecules 2022, 12, 145. [Google Scholar] [CrossRef]
- Singhal, S.S.; Singh, S.P.; Singhal, P.; Horne, D.; Singhal, J.; Awasthi, S. Antioxidant role of glutathione S-transferases: 4-Hydroxynonenal, a key molecule in stress-mediated signaling. Toxicol. Appl. Pharmacol. 2015, 289, 361–370. [Google Scholar] [CrossRef] [Green Version]
- Shoeb, M.; Ansari, N.H.; Srivastava, S.K.; Ramana, K.V. 4-Hydroxynonenal in the Pathogenesis and Progression of Human Diseases. Curr. Med. Chem. 2013, 21, 230–237. [Google Scholar] [CrossRef]
- Sonowal, H.; Ramana, K.V. 4-Hydroxy-Trans-2-Nonenal in the Regulation of Anti-Oxidative and Pro-Inflammatory Signaling Pathways. Oxidative Med. Cell. Longev. 2019, 2019, 5937326. [Google Scholar] [CrossRef] [PubMed] [Green Version]
- Chen, S.-M.; Hee, S.-W.; Chou, S.-Y.; Liu, M.-W.; Chen, C.-H.; Mochly-Rosen, D.; Chang, T.-J.; Chuang, L.-M. Activation of Aldehyde Dehydrogenase 2 Ameliorates Glucolipotoxicity of Pancreatic Beta Cells. Biomolecules 2021, 11, 1474. [Google Scholar] [CrossRef] [PubMed]
- Zambelli, V.O.; Chen, C.-H.; Gross, E.R. Reactive aldehydes: An initial path to develop precision medicine for pain control. Ann. Transl. Med. 2015, 3, 258. [Google Scholar] [CrossRef] [PubMed]
- Zambelli, V.O.; Gross, E.R.; Chen, C.-H.; Gutierrez, V.P.; Cury, Y.; Mochly-Rosen, D. Aldehyde dehydrogenase-2 regulates nociception in rodent models of acute inflammatory pain. Sci. Transl. Med. 2014, 6, 251ra118. [Google Scholar] [CrossRef] [Green Version]
- Martins, B.B.; Hösch, N.G.; Alcantara, Q.A.; Budas, G.R.; Chen, C.-H.; Mochly-Rosen, D.; Ferreira, J.C.B.; Zambelli, V.O. Activation of PKCε-ALDH2 Axis Prevents 4-HNE-Induced Pain in Mice. Biomolecules 2021, 11, 1798. [Google Scholar] [CrossRef]
- Hellenthal, K.E.M.; Brabenec, L.; Gross, E.R.; Wagner, N.-M. TRP Channels as Sensors of Aldehyde and Oxidative Stress. Biomolecules 2021, 11, 1401. [Google Scholar] [CrossRef]
- Otto, M.; Bucher, C.; Liu, W.; Müller, M.; Schmidt, T.; Kardell, M.; Driessen, M.N.; Rossaint, J.; Gross, E.R.; Wagner, N.-M. 12(S)-HETE mediates diabetes-induced endothelial dysfunction by activating intracellular endothelial cell TRPV1. J. Clin. Investig. 2020, 130, 4999–5010. [Google Scholar] [CrossRef]
- Chen, C.-H.; Kraemer, B.R.; Lee, L.; Mochly-Rosen, D. Annotation of 1350 Common Genetic Variants of the 19 ALDH Multigene Family from Global Human Genome Aggregation Database (gnomAD). Biomolecules 2021, 11, 1423. [Google Scholar] [CrossRef]


Publisher’s Note: MDPI stays neutral with regard to jurisdictional claims in published maps and institutional affiliations. |
© 2022 by the authors. Licensee MDPI, Basel, Switzerland. This article is an open access article distributed under the terms and conditions of the Creative Commons Attribution (CC BY) license (https://creativecommons.org/licenses/by/4.0/).
Share and Cite
Rwere, F.; Yu, X.; Chen, C.-H.; Gross, E.R. Aldehydes, Aldehyde Metabolism, and the ALDH2 Consortium. Biomolecules 2022, 12, 763. https://doi.org/10.3390/biom12060763
Rwere F, Yu X, Chen C-H, Gross ER. Aldehydes, Aldehyde Metabolism, and the ALDH2 Consortium. Biomolecules. 2022; 12(6):763. https://doi.org/10.3390/biom12060763
Chicago/Turabian StyleRwere, Freeborn, Xuan Yu, Che-Hong Chen, and Eric R. Gross. 2022. "Aldehydes, Aldehyde Metabolism, and the ALDH2 Consortium" Biomolecules 12, no. 6: 763. https://doi.org/10.3390/biom12060763
APA StyleRwere, F., Yu, X., Chen, C.-H., & Gross, E. R. (2022). Aldehydes, Aldehyde Metabolism, and the ALDH2 Consortium. Biomolecules, 12(6), 763. https://doi.org/10.3390/biom12060763

