Physiological Concentrations of Cimicifuga racemosa Extract Do Not Affect Expression of Genes Involved in Estrogen Biosynthesis and Action in Endometrial and Ovarian Cell Lines
Abstract
1. Introduction
2. Materials and Methods
2.1. Cimicifuga Racemosa
2.2. Cell Culture
2.3. Treatment of Cell Lines with CR Extract
2.4. RNA Isolation and Quantitative Real-Time PCR
2.5. Median Cytotoxic Concentration (CC50)
2.6. xCELLigence
2.7. Statistical Analysis
3. Results and Discussion
3.1. CC50 Values of CR Were Higher in EC and OC Cell Lines Compared to Those in Control Cell Lines
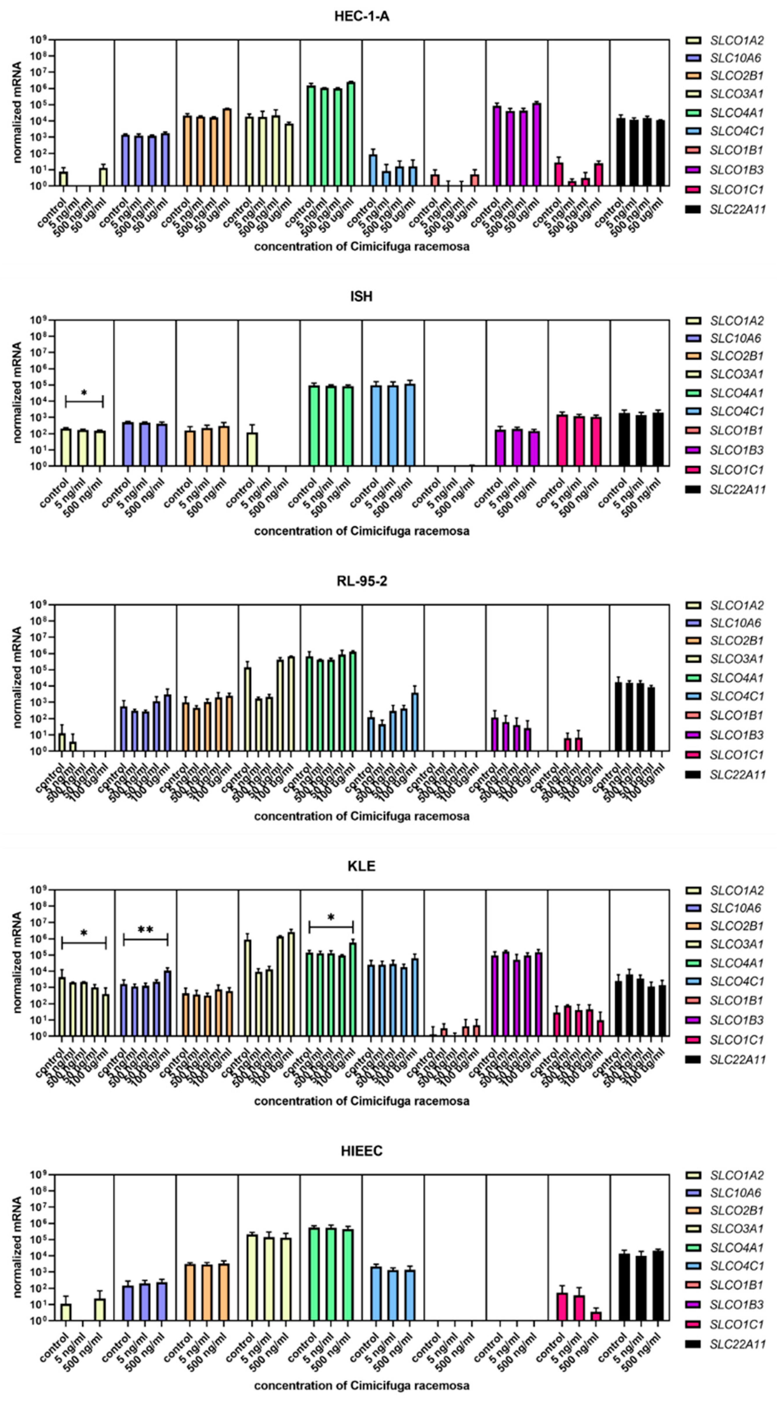
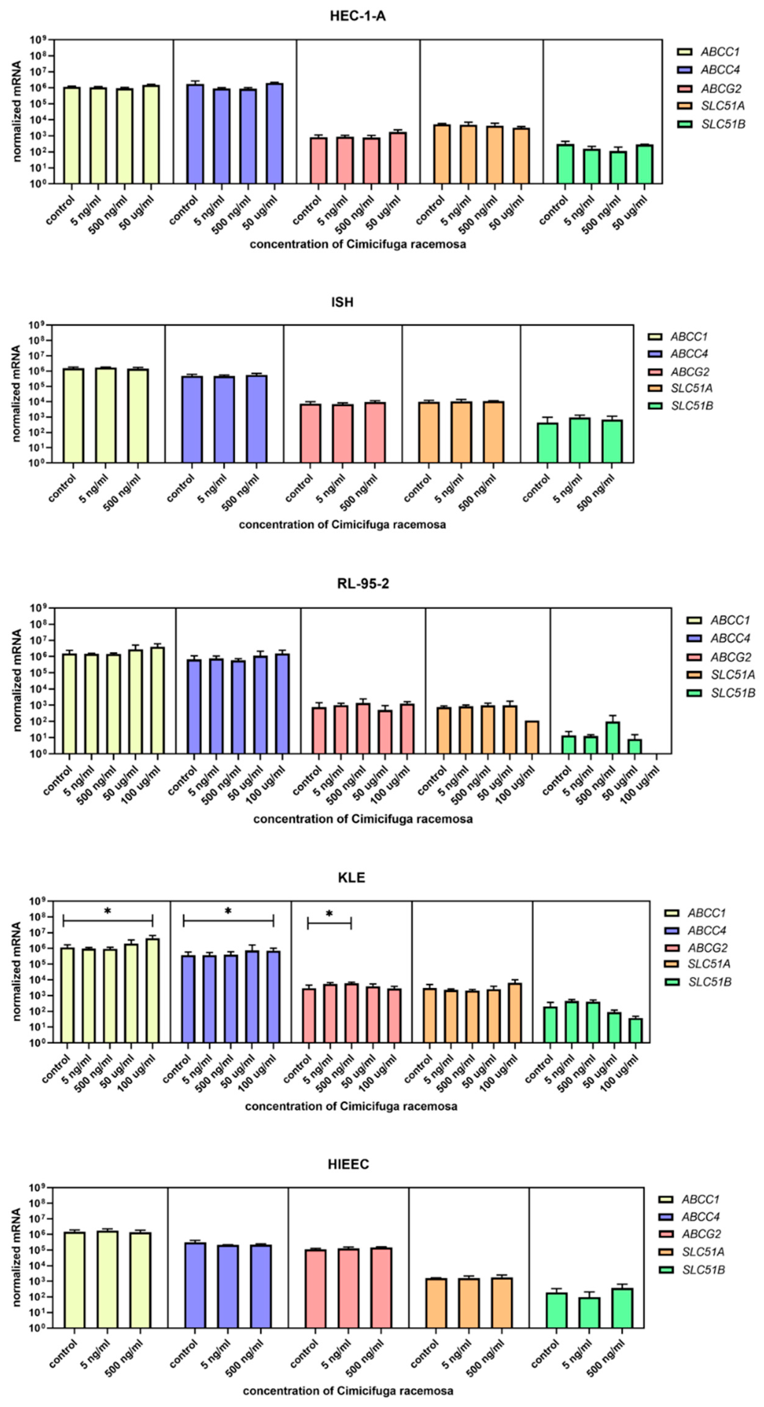
3.2. At Physiological Concentrations, CR Extract Did Not Alter the Expression of the Investigated Genes in Control and EC Cell Lines
3.3. High Concentrations of CR Extract Greatly Affected the Expression of Estrogen-Related Genes in KLE Cells
3.4. Higher Concentrations of CR Extract Upregulated the Expression of Influx and Efflux Transporter Genes in Ovarian Control Cell Line HIO-80
3.5. Higher CR Concentrations Affected the Expression of Influx Transporter Genes and Genes Involved in Estradiol Biosynthesis, Metabolism, and Action in the High-Grade Serous OC Cell Lines Kuramochi and COV362
4. Conclusions
Supplementary Materials
Author Contributions
Funding
Institutional Review Board Statement
Informed Consent Statement
Data Availability Statement
Acknowledgments
Conflicts of Interest
References
- Chalouhi, S. Menopause: A complex and controversial journey. Post Reprod Health 2017, 23, 128–131. [Google Scholar] [CrossRef]
- Collaborative Group on Hormonal Factors in Breast Cancer. Type and timing of menopausal hormone therapy and breast cancer risk: Individual participant meta-analysis of the worldwide epidemiological evidence. Lancet 2019, 394, 1159–1168. [Google Scholar] [CrossRef]
- Bath, P.M.W.; Gray, L.J. Association between hormone replacement therapy and subsequent stroke: A meta-analysis. BMJ 2005, 330, 342. [Google Scholar] [CrossRef] [PubMed]
- Fishman, J.R.; Flatt, M.A.; Settersten, R.A. Bioidentical hormones, menopausal women, and the lure of the “natural” in U.S. anti-aging medicine. Soc. Sci. Med. 2015, 132, 79–87. [Google Scholar] [CrossRef] [PubMed]
- Salari, S.; Amiri, M.S.; Ramezani, M.; Moghadam, A.T.; Elyasi, S.; Sahebkar, A.; Emami, S.A. Ethnobotany, Phytochemistry, Traditional and Modern Uses of Actaea racemosa L. (Black cohosh): A Review. Adv. Exp. Med. Biol. 2021, 1308, 403–449. [Google Scholar] [PubMed]
- Osmers, R.; Friede, M.; Liske, E.; Schnitker, J.; Freudenstein, J.; Zepelin, H.H.H. Efficacy and safety of isopropanolic black cohosh extract for climacteric symptoms. Obstet. Gynecol. 2005, 105, 1074–1083. [Google Scholar] [CrossRef] [PubMed]
- Radowicki, S.; Skórzewska, K.; Rudnicka, E.; Szlendak-Sauer, K.; Wierzba, W. Effectiveness and safety of the treatment of menopausal syndrome with Cimicifuga racemosa dry extract. Ginekol. Pol. 2006, 77, 678–683. [Google Scholar] [PubMed]
- Liske, E.; Hanggi, W.; Henneicke-von Zepelin, H.H.; Boblitz, N.; Wustenberg, P.; Rahlfs, V.W. Physiological investigation of a unique extract of black cohosh (Cimicifugae racemosae rhizoma): A 6-month clinical study demonstrates no systemic estrogenic effect. J. Womens Health Gend. Based Med. 2002, 11, 163–174. [Google Scholar] [CrossRef]
- Ruhlen, R.L.; Haubner, J.; Tracy, J.K.; Zhu, W.; Ehya, H.; Lamberson, W.R.; Rottinghaus, G.E.; Sauter, E.R. Black cohosh does not exert an estrogenic effect on the breast. Nutr. Cancer 2007, 59, 269–277. [Google Scholar] [CrossRef]
- Hirschberg, A.L.; Edlund, M.; Svane, G.; Azavedo, E.; Skoog, L.; von Schoultz, B. An isopropanolic extract of black cohosh does not increase mammographic breast density or breast cell proliferation in postmenopausal women. Menopause 2007, 14, 89–96. [Google Scholar] [CrossRef]
- Nappi, R.E.; Malavasi, B.; Brundu, B.; Facchinetti, F. Efficacy of Cimicifuga racemosa on climacteric complaints: A randomized study versus low-dose transdermal estradiol. Gynecol. Endocrinol. 2005, 20, 30–35. [Google Scholar] [CrossRef] [PubMed]
- Wuttke, W.; Seidlova-Wuttke, D.; Gorkow, C. The Cimicifuga preparation BNO 1055 vs. conjugated estrogens in a double-blind placebo-controlled study: Effects on menopause symptoms and bone markers. Maturitas 2003, 44 (Suppl. 1), S67–S77. [Google Scholar] [CrossRef]
- Raus, K.; Brucker, C.; Gorkow, C.; Wuttke, W. First-time proof of endometrial safety of the special black cohosh extract (Actaea or Cimicifuga racemosa extract) CR BNO 1055. Menopause 2006, 13, 678–691. [Google Scholar] [CrossRef] [PubMed]
- Leach, M.J.; Moore, V. Black cohosh (Cimicifuga spp.) for menopausal symptoms. Cochrane Database Syst. Rev. 2012, 9, CD007244. [Google Scholar] [CrossRef]
- Kapur, P.; Wuttke, W.; Seidlova-Wuttke, D. The Cimicifuga racemosa special extract BNO 1055 prevents hot flashes in ovariectomized rats. Phytomedicine 2010, 17, 890–894. [Google Scholar] [CrossRef] [PubMed]
- Seidlova-Wuttke, D.; Jarry, H.; Becker, T.; Christoffel, V.; Wuttke, W. Pharmacology of Cimicifuga racemosa extract BNO 1055 in rats: Bone, fat and uterus. Maturitas 2003, 44 (Suppl. 1), S39–S50. [Google Scholar] [CrossRef]
- Freudenstein, J.; Dasenbrock, C.; Nisslein, T. Lack of promotion of estrogen-dependent mammary gland tumors in vivo by an isopropanolic Cimicifuga racemosa extract. Cancer Res. 2002, 62, 3448–3452. [Google Scholar] [PubMed]
- Liu, J.; Burdette, J.E.; Xu, H.; Gu, C.; van Breemen, R.B.; Bhat, K.P.; Booth, N.; Constantinou, A.I.; Pezzuto, J.M.; Fong, H.H.; et al. Evaluation of estrogenic activity of plant extracts for the potential treatment of menopausal symptoms. J. Agric. Food Chem. 2001, 49, 2472–2479. [Google Scholar] [CrossRef] [PubMed]
- Zierau, O.; Bodinet, C.; Kolba, S.; Wulf, M.; Vollmer, G. Antiestrogenic activities of Cimicifuga racemosa extracts. J. Steroid Biochem. Mol. Biol. 2002, 80, 125–130. [Google Scholar] [CrossRef]
- Poschner, S.; Wackerlig, J.; Dobusch, D.; Pachmann, B.; Banh, S.J.; Thalhammer, T.; Jager, W. Actaea racemosa L. extract inhibits steroid sulfation in human breast cancer cells: Effects on androgen formation. Phytomedicine 2020, 79, 153357. [Google Scholar] [CrossRef]
- Burdette, J.E.; Liu, J.; Chen, S.N.; Fabricant, D.S.; Piersen, C.E.; Barker, E.L.; Pezzuto, J.M.; Mesecar, A.; Van Breemen, R.B.; Farnsworth, N.R.; et al. Black cohosh acts as a mixed competitive ligand and partial agonist of the serotonin receptor. J. Agric. Food Chem. 2003, 51, 5661–5670. [Google Scholar] [CrossRef] [PubMed]
- Jarry, H.; Metten, M.; Spengler, B.; Christoffel, V.; Wuttke, W. In vitro effects of the Cimicifuga racemosa extract BNO 1055. Maturitas 2003, 44, S31–S38. [Google Scholar] [CrossRef]
- Park, S.Y.; Kim, H.J.; Lee, S.R.; Choi, Y.H.; Jeong, K.; Chung, H. Black cohosh inhibits 17β-estradiol-induced cell proliferation of endometrial adenocarcinoma cells. Gynecol. Endocrinol. 2016, 32, 840–843. [Google Scholar] [CrossRef] [PubMed]
- Hostanska, K.; Nisslein, T.; Freudenstein, J.; Reichling, J.; Saller, R. Cimicifuga racemosa extract inhibits proliferation of estrogen receptor-positive and negative human breast carcinoma cell lines by induction of apoptosis. Breast Cancer Res. Treat. 2004, 84, 151–160. [Google Scholar] [CrossRef]
- Bodinet, C.; Freudenstein, J. Influence of Cimicifuga racemosa on the proliferation of estrogen receptor-positive human breast cancer cells. Breast Cancer Res. Treat. 2002, 76, 1–10. [Google Scholar] [CrossRef]
- Lupu, R.; Mehmi, I.; Atlas, E.; Tsai, M.S.; Pisha, E.; Oketch-Rabah, H.A.; Nuntanakorn, P.; Kennelly, E.J.; Kronenberg, F. Black cohosh, a menopausal remedy, does not have estrogenic activity and does not promote breast cancer cell growth. Int. J. Oncol. 2003, 23, 1407–1412. [Google Scholar] [CrossRef]
- Cancer Genome Atlas Research Network; Kandoth, C.; Schultz, N.; Cherniack, A.D.; Akbani, R.; Liu, Y.; Shen, H.; Robertson, A.G.; Pashtan, I.; Shen, R.; et al. Integrated genomic characterization of endometrial carcinoma. Nature 2013, 497, 67–73. [Google Scholar] [CrossRef]
- Murali, R.; Soslow, R.A.; Weigelt, B. Classification of endometrial carcinoma: More than two types. Lancet Oncol. 2014, 15, e268–e278. [Google Scholar] [CrossRef]
- Talhouk, A.; McConechy, M.K.; Leung, S.; Yang, W.; Lum, A.; Senz, J.; Boyd, N.; Pike, J.; Anglesio, M.; Kwon, J.S.; et al. Confirmation of ProMisE: A simple, genomics-based clinical classifier for endometrial cancer. Cancer 2017, 123, 802–813. [Google Scholar] [CrossRef]
- Stewart, C.; Ralyea, C.; Lockwood, S. Ovarian Cancer: An Integrated Review. Semin Oncol. Nurs. 2019, 35, 151–156. [Google Scholar] [CrossRef]
- Mungenast, F.; Thalhammer, T. Estrogen biosynthesis and action in ovarian cancer. Front. Endocrinol. 2014, 5, 192. [Google Scholar] [CrossRef] [PubMed]
- Palmirotta, R.; Silvestris, E.; D’Oronzo, S.; Cardascia, A.; Silvestris, F. Ovarian cancer: Novel molecular aspects for clinical assessment. Crit. Rev. Oncol. Hematol. 2017, 117, 12–29. [Google Scholar] [CrossRef] [PubMed]
- Pavlic, R.; Vidic, S.; Anko, M.; Knific, T.; Budefeld, T.; Marton, K.; Sinreih, M.; Poschner, S.; Jager, W.; Frkovic-Grazio, S.; et al. Altered Profile of E1-S Transporters in Endometrial Cancer: Lower Protein Levels of ABCG2 and OSTbeta and Up-Regulation of SLCO1B3 Expression. Int. J. Mol. Sci. 2021, 22, 3819. [Google Scholar] [CrossRef] [PubMed]
- Pavlic, R.; Gjorgoska, M.; Hafner, E.; Sinreih, M.; Gajser, K.; Poschner, S.; Jager, W.; Rizner, T.L. In the Model Cell Lines of Moderately and Poorly Differentiated Endometrial Carcinoma, Estrogens Can Be Formed via the Sulfatase Pathway. Front. Mol. Biosci. 2021, 8, 743403. [Google Scholar] [CrossRef]
- Rizner, T.L.; Thalhammer, T.; Ozvegy-Laczka, C. The Importance of Steroid Uptake and Intracrine Action in Endometrial and Ovarian Cancers. Front. Pharmacol. 2017, 8, 346. [Google Scholar] [CrossRef]
- Sinreih, M.; Knific, T.; Anko, M.; Hevir, N.; Vouk, K.; Jerin, A.; Frkovic Grazio, S.; Rizner, T.L. The Significance of the Sulfatase Pathway for Local Estrogen Formation in Endometrial Cancer. Front. Pharmacol. 2017, 8, 368. [Google Scholar] [CrossRef]
- Way, D.L.; Grosso, D.S.; Davis, J.R.; Surwit, E.A.; Christian, C.D. Characterization of a new human endometrial carcinoma (RL95-2) established in tissue culture. In Vitro 1983, 19 Pt 1, 147–158. [Google Scholar] [CrossRef]
- Chapdelaine, P.; Kang, J.; Boucher-Kovalik, S.; Caron, N.; Tremblay, J.P.; Fortier, M.A. Decidualization and maintenance of a functional prostaglandin system in human endometrial cell lines following transformation with SV40 large T antigen. Mol. Hum. Reprod. 2006, 12, 309–319. [Google Scholar] [CrossRef]
- Bustin, S.A.; Benes, V.; Garson, J.A.; Hellemans, J.; Huggett, J.; Kubista, M.; Mueller, R.; Nolan, T.; Pfaffl, M.W.; Shipley, G.L.; et al. The MIQE guidelines: Minimum information for publication of quantitative real-time PCR experiments. Clin. Chem. 2009, 55, 611–622. [Google Scholar] [CrossRef]
- Van Breemen, R.B.; Liang, W.; Banuvar, S.; Shulman, L.P.; Pang, Y.; Tao, Y.; Nikolic, D.; Krock, K.M.; Fabricant, D.S.; Chen, S.N.; et al. Pharmacokinetics of 23-epi-26-deoxyactein in women after oral administration of a standardized extract of black cohosh. Clin. Pharmacol. Ther. 2010, 87, 219–225. [Google Scholar] [CrossRef]
- Mylonas, I. Prognostic significance and clinical importance of estrogen receptor alpha and beta in human endometrioid adenocarcinomas. Oncol. Rep. 2010, 24, 385–393. [Google Scholar] [CrossRef] [PubMed][Green Version]
- Hu, K.; Zhong, G.; He, F. Expression of estrogen receptors ERalpha and ERbeta in endometrial hyperplasia and adenocarcinoma. Int. J. Gynecol. Cancer 2005, 15, 537–541. [Google Scholar] [CrossRef] [PubMed]
- Haley, J.; Tomar, S.; Pulliam, N.; Xiong, S.; Perkins, S.M.; Karpf, A.R.; Mitra, S.; Nephew, K.P.; Mitra, A.K. Functional characterization of a panel of high-grade serous ovarian cancer cell lines as representative experimental models of the disease. Oncotarget 2016, 7, 32810–32820. [Google Scholar] [CrossRef] [PubMed]
- Gaube, F.; Wolfl, S.; Pusch, L.; Kroll, T.C.; Hamburger, M. Gene expression profiling reveals effects of Cimicifuga racemosa (L.) NUTT. (black cohosh) on the estrogen receptor positive human breast cancer cell line MCF-7. BMC Pharmacol. 2007, 7, 11. [Google Scholar] [CrossRef]











| Gene Symbol | Assay ID | Gene Name |
|---|---|---|
| ESR1 | Hs00174860_m1 | Estrogen receptor 1 |
| ESR2 | Hs00230957_m1 | Estrogen receptor 2 (ERβ) |
| HPRT1 * | Hs99999909_m1 | Hypoxanthine phosphoribosyltransferase 1 (Lesch-Nyhan syndrome) |
| HSD17B1 | Hs00166219_g1 | Hydroxysteroid (17β) dehydrogenase 1 |
| HSD17B2 | Hs00157993_m1 | Hydroxysteroid (17β) dehydrogenase 2 |
| POLR2A * | Hs00172187_m1 | Polymerase (RNA) II (DNA-directed) polypeptide A, 220 kDa |
| RPLP0 * | Hs99999902_m1 | Ribosomal protein lateral stalk subunit P0 |
| STS | Hs00165853_m1 | Steroid sulfatase (microsomal), isozyme S |
| SULT1E1 | Hs00193690_m1 | Sulfotransferase family 1E, estrogen-preferring, member 1 |
| Gene Symbol | Gene Name | Forward Primers (5′ to 3′) | Reverse Primers (5′ to 3′) |
|---|---|---|---|
| ABCC1 | Multidrug-resistance-associated protein 1 | GGACTCAGGAGCACACGAAA | ACGGCGATCCCTTGTGAAAT |
| ABCC4 | Multidrug-resistance-associated protein 4 | AACTGCAACTTTCACGGATG | AATGACTTTTCCCAGGCGTA |
| ABCG2 | ATP-binding cassette super-family G member 2 | GGGTTTGGAACTGTGGGTAG | AGATGATTCTGACGCACACC |
| HPRT1 * | Hypoxanthine-guanine phosphoribosyltransferase | CCTGGCGTCGTGATTAGTC | TGAGGAATAAACACCCTTTCCA |
| POLR2A * | DNA-directed RNA polymerase II subunit RPB1 | CAAGTTCAACCAAGCCATTG | GTGGCAGGTTCTCCAAGG |
| RPLP0 * | 60S acidic ribosomal protein P0 | AATGTGGGCTCCAAGCAGAT | TTCTTGCCCATCAGCACCAC |
| SLC10A6 | Solute carrier family 10 member 6 | TATGACAACCTGTTCCACCG | GAATGGTCAGGCACACAAGG |
| SLC22A11 | Solute carrier family 22 member 11 | CTCACCTTCATCCTCCCCTG | CCATTGTCCAGCATGTGTGT |
| SLC51A | Organic solute transporter subunit alpha | GCCCTTTCCAATACGCCTTC | TCTGCTGGGTCATAGATGCC |
| SLC51B | Organic solute transporter subunit beta | GTGCTGTCAGTTTTCCTTCCG | TCATGTGTCTGGCTTAGGATGG |
| SLCO1A2 | Solute carrier organic anion transporter family member 1A2 | GTTGGCATCATTCTGTGCAAATGTT | AACGAGTGTCAGTGGGAGTTATGAT |
| SLCO1B1 | Solute carrier organic anion transporter family member 1B1 | CAAATTCTCATGTTTTACTG | GATTATTTCCATCATAGGTC |
| SLCO1B3 | Solute carrier organic anion transporter family member 1B3 | TCCAGTCATTGGCTTTGCAC | TCCAACCCAACGAGAGTCCT |
| SLCO1C1 | Solute carrier organic anion transporter family member 1C1 | CACACAGACTACCAAACACCC | TCACCATGCCGAACAGAGAA |
| SLCO2B1 | Solute carrier organic anion transporter family member 2B1 | AGAGCCCTGTGTTCCATTCT | CTCTTGCTCCAGAAATGGCC |
| SLCO3A1 | Solute carrier organic anion transporter family member 3A1 | CTACGACAATGTGGTCTAC | TTTTGATGTAGCGTTTATAG |
| SLCO4A1 | Solute carrier organic anion transporter family member 4A1 | ATGCACCAGTTGAAGGACAG | AACAAGGTGGCAGCTTCTGAG |
| SLCO4C1 | Solute carrier organic anion transporter family member 4C1 | CCAGGAGCCCCAGAAGTC | AACTCGGACAGCGACAGTG |
| Cell Line | CC50 (μg/mL) | 95% Confidence Interval |
|---|---|---|
| HEC-1-A | 58.23 | 40.10–86.40 |
| Ishikawa | 23.57 | 13.95–38.28 |
| RL-95-2 | 20.16 | 13.93–28.29 |
| KLE | 48.57 | 31.44–73.59 |
| HIEEC | 11.82 | 6.77–20.31 |
| Kuramochi | 63.91 | 39.12–101.7 |
| COV362 | 63.48 | 36.25–109.30 |
| OVSAHO | 106.60 | 66.00–169.50 |
| HIO80 | 12.56 | 9.00–17.37 |
Publisher’s Note: MDPI stays neutral with regard to jurisdictional claims in published maps and institutional affiliations. |
© 2022 by the authors. Licensee MDPI, Basel, Switzerland. This article is an open access article distributed under the terms and conditions of the Creative Commons Attribution (CC BY) license (https://creativecommons.org/licenses/by/4.0/).
Share and Cite
Sinreih, M.; Gregorič, K.; Gajser, K.; Rižner, T.L. Physiological Concentrations of Cimicifuga racemosa Extract Do Not Affect Expression of Genes Involved in Estrogen Biosynthesis and Action in Endometrial and Ovarian Cell Lines. Biomolecules 2022, 12, 545. https://doi.org/10.3390/biom12040545
Sinreih M, Gregorič K, Gajser K, Rižner TL. Physiological Concentrations of Cimicifuga racemosa Extract Do Not Affect Expression of Genes Involved in Estrogen Biosynthesis and Action in Endometrial and Ovarian Cell Lines. Biomolecules. 2022; 12(4):545. https://doi.org/10.3390/biom12040545
Chicago/Turabian StyleSinreih, Maša, Klara Gregorič, Kristina Gajser, and Tea Lanišnik Rižner. 2022. "Physiological Concentrations of Cimicifuga racemosa Extract Do Not Affect Expression of Genes Involved in Estrogen Biosynthesis and Action in Endometrial and Ovarian Cell Lines" Biomolecules 12, no. 4: 545. https://doi.org/10.3390/biom12040545
APA StyleSinreih, M., Gregorič, K., Gajser, K., & Rižner, T. L. (2022). Physiological Concentrations of Cimicifuga racemosa Extract Do Not Affect Expression of Genes Involved in Estrogen Biosynthesis and Action in Endometrial and Ovarian Cell Lines. Biomolecules, 12(4), 545. https://doi.org/10.3390/biom12040545

