Abstract
Twenty new compounds, targeting CYP17A1, were synthesized, based on our previous work on a benzimidazole scaffold, and their biological activity evaluated. Inhibition of CYP17A1 is an important modality in the treatment of prostate cancer, which remains the most abundant cancer type in men. The biological assessment included CYP17A1 hydroxylase and lyase inhibition, CYP3A4 and P450 oxidoreductase (POR) inhibition, as well as antiproliferative activity in PC3 prostate cancer cells. The most potent compounds were selected for further analyses including in silico modeling. This combined effort resulted in a compound (comp 2, IC50 1.2 µM, in CYP17A1) with a potency comparable to abiraterone and selectivity towards the other targets tested. In addition, the data provided an understanding of the structure–activity relationship of this novel non-steroidal compound class.
1. Introduction
Prostate cancer (PCa) remains the most common type of cancer diagnosed in men [1]. While the localized disease can be treated with surgery or radiation therapy, androgen deprivation therapy (ADT) is engaged when cancer spreads. ADT continues to be the cornerstone of prostate cancer treatment. Despite treatment, eventually, the disease develops into castration-resistant prostate cancer (CRPC), consequently yielding a poor patient prognosis.
Current discovery efforts towards new therapies focus on androgen receptor (AR) signaling. Those endeavors introduced the next-generation AR antagonists represented by enzalutamide and apalutamide [2]. Other notable discoveries include proteolysis-targeting chimeras (PROTACs), poly ADP-ribose polymerase (PARP) [3] inhibitors, histone deacetylase (HDAC) inhibitors [4], and various forms of immunotherapy [5]. The emergence of novel targets such as fatty-acid binding protein 5 (FABP5) [6] also illustrates the progress that has been made in the field of prostate cancer. However, despite these efforts, PCa still presents a significant problem.
In addition to the interventions mentioned above, cytochrome P450 17A1 (CYP17A1) inhibition has in recent years received increased attention as a valid treatment modality. CYP17A1 is a dual-function oxygenase membrane-bound enzyme that catalyzes the biosynthesis of steroids [7,8,9]. Its dual activity stems from the ability to produce precursors for glucocorticoids via 17α-hydroxylase reaction and androgens/estrogens via 17,20-lyase reaction [10]. Therefore, CYP17A1 is an attractive target for the treatment of prostate cancers that proliferate in response to androgens [11]. CYP17A1 is required in both the “classic” and “back-door” pathways of steroid biosynthesis, and by its inhibition, the production of androgens can be limited [12,13].
In our previous work, we identified hit compounds based on a benzimidazole/indole scaffold with satisfactory properties (Figure 1) [14]. Encouraged by these early results, we set off to explore related analogs in search of an optimized molecule and to analyze the structure–activity relationships. Here, we present the synthesis of 20 novel derivatives and their biological evaluation together with computational analysis. The compounds were designed to determine how the following modifications influence the inhibitory activity of CYP17A1, and compound properties: (a) substituent on benzimidazole moiety, to increase compound polarity; (b) introduction of selected heterocycles; (c) replacing linker nitrogen atom with oxygen bridging the aromatic moieties; (d) introduction of more sp3 carbons to improve physico-chemical properties; (e) addition of bulk to the middle-linker part of the molecules to take advantage of hydrophobic space in a binding pocket. In addition, assays with PC3 cells, which display a high degree of metastatic potential and tumorigenicity, were performed to see if the compounds would affect hormone-insensitive cells, thus implying an additional mechanism of action.
Figure 1.
Early hit compounds identified in the previous study.
2. Materials and Methods
2.1. Synthesis
All reagents and solvents were used as purchased from commercial sources and reactions were carried out under anhydrous and air-free conditions unless stated otherwise. Reaction conditions and yields were not optimized. Dry column vacuum chromatography (DCVC) was performed with silica gel 60 (15–40 µm, Merck KGaA, Darmstadt, Germany). Ion exchange chromatography was performed on ISOLUTE® MP-TsOH columns (sulfonated macroporous polystyrene resin, 500 mg, 6 mL, Biotage, Uppsala, Sweden). 1H and 13C spectra were recorded on 600 MHz Bruker Avance III HD, 400 MHz WB Bruker Avance, or 300 MHz Bruker Fourier spectrometers (Bruker, Billerica, MA, USA). Coupling constants (J) are reported in Hertz (Hz). Chemical shifts are reported in parts per million (ppm, δ scale) relative either to an internal standard (TMS) or residual solvent peak. High-resolution mass spectroscopy (HRMS) was carried out on a Bruker Solarix XR 7T ESI/MALDI-FT-ICR with positive MALDI ionization mode using NaTFA cluster-ions for external calibration or Bruker microTOF-Q II with ESI ion source mass spectrometers (Bruker, Billerica, MA, USA). Data obtained were processed in Bruker DataAnalysis Software. Analytical HPLC was carried out on Dionex UltiMate HPLC system (Thermo-Fisher, Waltham, MA, USA) consisting of LPG-3400A pump, WPS-3000SL autosampler, and DAD-3000D diode array detector using Gemini-NX C18 column (4.6 mm × 250 mm, 3 µm, 110 Å) or Kinetex PS18 column (2.1 mm × 100 mm, 2.6 µM, 100 Å). Preparative HPLC was carried out on a Dionex UltiMate HPLC system consisting of HPG-3200BX pump, Rheodyne 9725i injector, 10 mL loop, MWD-3000 detector, and FCA_Multi automated fraction collector using Gemini-NX C18 (21.2 mm × 250 mm, 5 µm, 110 Å). Data were acquired and processed using the Chromeleon software (Thermo Fisher Scientific).
2.2. Assays
Assay of CYP17A1 activities: Assay of CYP17A1 17α-hydroxylase and 17,20 lyase activities were performed as described previously [15,16]. The 17α-hydroxylase activity was measured by conversion of Prog to 17OH-Prog, while production of DHEA from 17OH-Preg was used for monitoring the 17,20 lyase activity of CYP17A1. For the 17-hydroxylase reaction, radiolabeled [14C]-PROG (20,000 cpm/reaction) was used as a tracer. Steroids were extracted and separated by thin-layer chromatography (TLC) on silicagel (SIL G/UV254) TLC plates (Macherey-Nagel, Oensingen, Switzerland) as previously described [16,17,18]. The separated steroids were visualized on a Fuji FLA-7000 PhosphoImager (Fujifilm, Dielsdorf, Switzerland) and quantified using Multi Gauge software (Fujifilm, Dielsdorf, Switzerland). Steroid conversion was calculated as a percentage of incorporated radioactivity into a specific steroid product to total radioactivity measured for the whole sample (internal control). For the 17,20 lyase activity of CYP17A1, a water release assay was used. We used 17OH-Preg labeled with [3H] at the C21 position, which upon conversion to DHEA releases an equimolar amount of [3H] H2O. Tritiated water is separated and measured by scintillation counting based on a method described by Simpson for the assay of aromatase activity [19].
Assay of CYP3A4 activity: The activity of the major drug-metabolizing enzyme CYP3A4 in the presence of selected compounds was tested using the fluorogenic substrate BOMCC (7-Benzyloxy-4-trifluoromethylcoumarin) (Invitrogen Corp, Carlsbad, CA, USA) as described earlier [20]. In vitro CYP3A4 assays were performed using a liposome system consisting of POR, CYP3A4 and cytochrome b5 at a ratio of 4:1:1 (POR:CYP3A4:b5). Reconstitution of liposomes was carried out as described before [21]. The final assay mixture consisted of liposomes and proteins (80 pmol POR: 20 pmol CYP3A4: 20 pmol b5), 2.5 mM MgCl2, 2.5 μM GSH and 20 μM BOMCC in 50 mM HEPES buffer and the reaction volume was 200 μL. The catalytic reaction was initiated by the addition of NADPH to 1 mM final concentration and fluorescence was monitored on a Spectramax M2e plate reader (Molecular Devices, Sunnyvale, CA, USA) at an excitation wavelength of 415 nm and emission wavelength of 460 nm for BOMCC metabolism.
Assay of P450 oxidoreductase (POR) activity: POR assay was performed as described previously, using purified human POR [22]. The activity of the bacterially expressed POR was tested for its ability to reduce resazurin into resorufin, which is highly fluorescent. The reaction was performed in triplicate in 96-well format using a microplate reader (Molecular Devices, Sunnyvale, CA, USA). The reaction components were 10 μM resazurin, 100 ng of POR in 50 mM Tris-HCL (pH 7.8) containing 150 mM NaCl. NADPH was added at a concentration of 100 μM as the source of electrons to start the reaction, and the change in emission (570 nm excitation, 585 nm emission for resorufin) was monitored for 30 min.
Antiproliferation assay: PC-3 prostate cancer-derived cells were propagated in RPMI-1640, GlutaMAX + 25 mM HEPES (Gibco) supplemented with 100 U/mL penicillin, 100 mg/mL streptomycin (P/S) (Gibco), and 6% (PC-3) fetal bovine serum (FBS) (HyClone). Cells were grown to approximately 80% confluence and harvested by 0.25% Trypsin/EDTA (Gibco) treatment. The released cells were counted and seeded in 384-well plates (Falcon, ref. 353962). The cells were allowed to settle for 24 h, after which cell numbers in 44 wells/cell line of one plate were determined (T0). In parallel, the indicated compounds (10 mM stock in DMSO) or DMSO alone were delivered to cells in three replicate 384-well plates by acoustic droplet ejection using an Echo 550 Liquid Handler (Labcyte) for a final concentration of 0–25 µM compound and 0.25% DMSO. Cells were then incubated for an additional 72 h before determining end-point cell numbers. CellTiter-Glo 2.0 (Promega) luminescent cell viability assay was used as a proxy for cell number according to manufacturer instructions. Luminescence was measured with a 384-well plate reader on a SpectraMax Paradigm using Softmax Pro 6.5.1 software. Liquid handling in cell seeding and CellTiter GLO addition was performed on a MicroLab STARlet liquid handling workstation with a CO-RE 384 probe head (Hamilton Company, Reno, NV, USA).
2.3. Molecular Modeling
For the cross-docking, the ligands were extracted from their respective protein structures and prepared for docking by the LigPrep procedure in Maestro (v. 9.8, Schrodinger 2018-3 release, Schrödinger, LLC, New York, NY, USA, 2014) securing proper atom and bond typing, protonation and partial atomic charges [23]. The remaining compounds were constructed in Maestro and prepared for docking in a similar way. The proteins were extracted from the Protein DataBank [24] and subjected to the Protein Preparation procedure [23] to secure proper protonation and hydrogen bonding.
The GOLD (Genetic Optimization for Ligand Docking) program version 5.6 [25] was used for docking. Binding sites were defined by a 20 Å sphere centered at the Fe atom in the heme group. Ligands were docked with the slow genetic algorithm using the CYP450 version of the ChemScore scoring function [26,27]. Ten poses were sampled and analyzed for each docking.
The MD simulations were performed with the Desmond program (version 3.6, Schrödinger, LLC) using the OPLS4 force field [28]. The protein-ligand complexes were embedded in an orthorhombic box of SPC water molecules with a 10 Å buffer size between protein and box boundary using the Desmond system builder. The MD systems comprised approximately 70,000 atoms, including approximately 7500 atoms for the protein including the heme group, 36 atoms for the ligand, one chloride ion to neutralize the system, and approximately 21,000 water molecules. The systems were equilibrated prior to the production runs applying the Desmond default equilibration protocol. Subsequently, the systems were simulated for 100 ns and 100 frames collected.
3. Results and Discussion
3.1. Synthesis
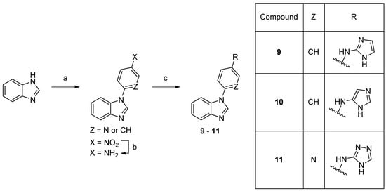
A total of 20 new compounds were synthesized using the previously described method [14]. Briefly, indole or benzimidazole were N-arylated and the resulting bromide intermediate was subjected to Buchwald–Hartwig coupling with amines to obtain compounds 1–8 (Scheme 1). Access to compounds 9–11 was realized via intermediates that had reversed polarity for Buchwald–Hartwig coupling (Scheme 2). Using heterocyclic bromides, as coupling partners, required switching to tBuBrettPhos as a ligand and LHMDS as a base. Compound 12 was obtained from a phenol intermediate, which was synthesized employing Chan–Lam reaction (Scheme 3). Since different tautomeric forms of 5-substituted benzimidazole may react, two distinct isomers can be obtained [29]. Indeed, after transforming 5-methoxybenzimidazole into its N-arylated derivative, two regioisomers (5-methoxy and 6-methoxy) readily separable by chromatography were produced. Similar results were obtained with 5-aminobenzimidazole. Structures of these isomers were identified by NMR spectroscopy employing NOE experiments. Eventually, these intermediates were converted into the final compounds 13–16 via established chemistry. Coupling of compounds 15 and 16 required prior protection of the amino group, which was achieved with the Boc group (Scheme 4). Compounds 17–20 were synthesized in a similar fashion utilizing nitro compounds for the first step arylation, followed by catalytic reduction and finally Buchwald–Hartwig coupling (Scheme 5).
Scheme 1.
Synthesis of compounds 1–8. Reaction conditions: (a) 1-bromo-4-fluorobenzene, K3PO4, DMF, 150–160 °C, 53–78%; (b) amine, precatalyst Pd G1 or G3, tBuXPhos, NaOtBu, THF or tBuOH, 21–73%.
Scheme 2.
Synthesis of compounds 9–11. Reaction conditions: (a) 1-fluoro-4-nitrobenzene, K3PO4, DMF 150 °C, 66% or 2-fluoro-5-nitropyridine, K3PO4, DMSO, rt, 74%; (b) 10% Pd/C, MeOH, rt, 82%; (c) bromide, precatalyst Pd G3, tBuBrettPhos, LHMDS, THF, 60 °C, 4–15%.
Scheme 3.
Synthesis of compound 12. Reaction conditions: (a) 4-hydroxyphenylboronic acid, O2, Cu2S, TMEDA, MeOH, rt, 71%; (b) 4-bromopyridine hydrochloride, NaOtBu, DMF, 150 °C, 32%.
Scheme 4.
Synthesis of compounds 13–16. Reaction conditions: (a) 1-bromo-4-fluorobenzene, K3PO4, DMF, 160 °C, 5–44%; (b) Boc2O, TEA, tBuOH, 40 °C, 74–90%; (c) 4-aminopyridine, precatalyst Pd G1, tBuXPhos, NaOtBu, tBuOH, 70 °C, 11–50%; (d) TFA, DCM, 23–50% (over two steps, c and d).
Scheme 5.
Synthesis of compounds 17–20. Reaction conditions: (a) 1-fluoro-4-nitrobenzene or fluoronitrotoluene, K3PO4, DMF, 160 °C, 18–93%; (b) 10% Pd/C, MeOH, rt, 91–96%; (c) 2- or 4-aminopyridine, precatalyst Pd G3, tBuXPhos, NaOtBu, THF, MW 100 °C, 23–32%.
The final compounds were fully characterized by 1HNMR and 13CNMR spectroscopy, as well as HRMS spectrometry, and were found to be >99% pure (HPLC). Detailed synthetic procedures, spectra, and HPLC chromatograms can be found in Supplementary Materials.
3.2. Biological Evaluation
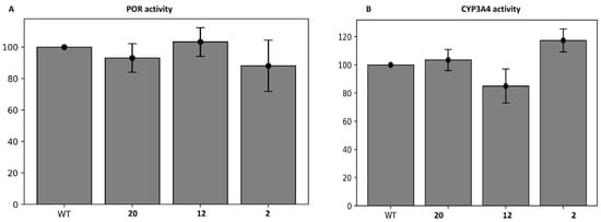
The obtained compounds were subjected to initial screening for inhibition of CYP17A1 activity at a fixed concentration (10 µM) (Figure 2). Most compounds did not display improved activity over the previous hits [14]. However, we observed substantial activity in the case of compounds 2, 12, and 20. Compound 2 was the most potent and comparable to abiraterone used as a reference compound in this assay. These three most potent compounds were selected for more rigorous testing comprising determination of IC50, selectivity towards CYP isoform CYP3A4, the ability to inhibit cytochrome P450 reductase (POR) and the ability to inhibit the lyase reaction of CYP17A1. Compounds 2, 12 and 20 displayed IC50 of 1.2, 3.4 and 2.6 µM, respectively, in the inhibition of the CYP17A1 17α-hydroxylase activity (Figure 3). All three selected compounds exhibited selectivity vs. CYP3A4 (2: 104 ± 4%, 12: 75 ± 5% and 20: 117 ± 8% compared to untreated control) and importantly they do not appear to inhibit POR (2: 93 ± 9%, 12: 103 ± 9% and 20: 88 ± 16% compared to untreated control) (Figure 4), suggesting a targeted activity towards CYP17A1. Finally, checking compounds 2, 12 and 20 against the lyase reaction, unfortunately, revealed little influence compared to abiraterone (2: 78 ± 10%, 12: 77 ± 4% and 20: 82 ± 5% of untreated control, compared to 5 ± 2% activity observed for abiraterone) (Figure 5).
Figure 2.
Inhibition of CYP17A1 17α-hydroxylase activity by compounds 1–20 at 10 µM concentration.
Figure 3.
Determination of IC50 of compounds 2, 12, and 20 for inhibition of the 17α-hydroxylase activity of CYP17A1.
Figure 4.
The activity of compounds 2, 12, and 20 towards POR (A) and CYP3A4 (B).
Figure 5.
Inhibition of CYP17A1 lyase reaction by compounds 2, 12, and 20.
These results highlight several features regarding the structural composition of the compounds. Introduction of the cyclohexane ring in 2 had the most profound effect and 2 showed similar potency to abiraterone. The presence of an aliphatic ring presumably allows for better allocation in the hydrophobic binding region. This is further corroborated when comparing 2 to 3. Both compounds have similar shapes, but compound 3 contains a protonable amine embedded into cyclohexane. This modification causes a significant loss of activity. Compound 7, which contains a flexible chain ending with a tertiary amine is devoid of any activity, indicating that the presence of a ring system is a necessary requirement. When the ring system is directly connected to the benzene linker, the activity is attenuated as observed with compounds 4 and 5, the effect being more pronounced in the latter. Similar to the pattern observed with compound 3 in relation to compound 2, we observed a sharp drop in activity when an amine moiety was introduced, evidenced by the low activity of compound 6. Embedding polar fragments and increasing the number of sp3 carbons was aimed at improving the drug-likeness of our molecules [30]. Interestingly, replacing the nitrogen atom, primarily serving as a part of a linker, with an oxygen atom gave compound 12, which was among the three most potent compounds investigated in this work. Here, we hypothesize that an analog containing a 3-pyridyl fragment instead of 4-pyridyl would have been even more potent as corroborated by computational analyses. Unfortunately, this analog was not obtained due to difficulty in chemical synthesis. Exploration of different heterocyclic ring systems did not deliver compounds with significant potency. However, it is noteworthy that in those cases a benzimidazole fragment was superior to indole, as evidenced when comparing the activity of 1 to the activity of 8. Upon considering the structure of a five-membered ring attached to the linker, it is evident that a molecule with triazole fragment (1) exerts stronger inhibitory activity than molecules with imidazole (9 and 10). Comparison of two imidazole-containing compounds suggests that 2-imidazolyl (9) is preferred to 4-imidazolyl (10), although both compounds displayed very weak activity. The importance of having a more hydrophobic middle part of a molecule is indicated by compound 11. This nitrogen-rich molecule has pyridine as the linker and displayed decreased activity compared to its benzene analog 1. Compounds 13–16 were designed to explore the effect of substituting benzimidazole with various polar groups. It was hoped that by doing so we would make possible hydrogen bonding to Asn202 in helix F, as observed in the X-ray structure of CYP17A1 bound to abiraterone [7]. This operation did not bring a significant boost in the activity. However, it can be noted that the methoxy group (13 and 14) was a better choice than the amino group (15 and 16), regardless of the substitution pattern present in these two pairs of analogs. Lastly, we wanted to explore the effect of adding an extra methyl group to the benzene linker, taking advantage of the hydrophobic region of the binding site. The so-called “magic methyl” effect, which involves the addition of a single methyl group in the “right” location on a molecule can result in a significant activity boost [31,32]. In our case, we were able to obtain compounds 18 and 20 bearing this substituent. Interestingly, only 20 displayed significant activity. This compound has a methyl group that is ortho to the indole ring and is the second most potent compound in this series. In comparison, compound 18 was less active. In that case, the methyl group is meta to the indole ring, which seemingly has less influence and conformational benefit, as evidenced by our computational analysis. The activities of compounds 17 and 19 deliver further rationale for designing compounds with a 3-pyridyl substitution pattern instead of 2-pyridyl. As shown by our calculations and previous studies, compounds with a 2-pyridyl moiety adopt unfavourable binding poses.
Although we were unable to obtain compounds with significantly improved activities compared to the initial hits [14], we were nevertheless happy to observe that our design was still selective for CYP17A1 versus CYP3A4, as indicated by the assay performed on the three most potent compounds (Figure 4B). CYP3A4 is the major drug-metabolizing enzyme in the liver that has broad specificity and can also metabolize steroids [33]. A severe impact on CYP3A4 is, therefore, considered a negative criterion for compounds targeting another P450 enzyme. While CYP3A4 itself does not show much variability in humans, like CYP2D6 and CYP2C19, variations in POR have been shown to alter the activity of CYP3A4 with potentially negative consequences [20,21,33,34]. Furthermore, these compounds also do not influence POR activity (Figure 4A). This is important because all microsomal P450s depend on POR for the supply of electrons and severe disruption of POR activities may affect all microsomal P450 enzymes with serious consequences [35]. Recently, the modulation of some P450 activities by binding to POR has been reported, indicating that a direct impact on the conformation or activity of POR may also influence P450 enzymes [22].
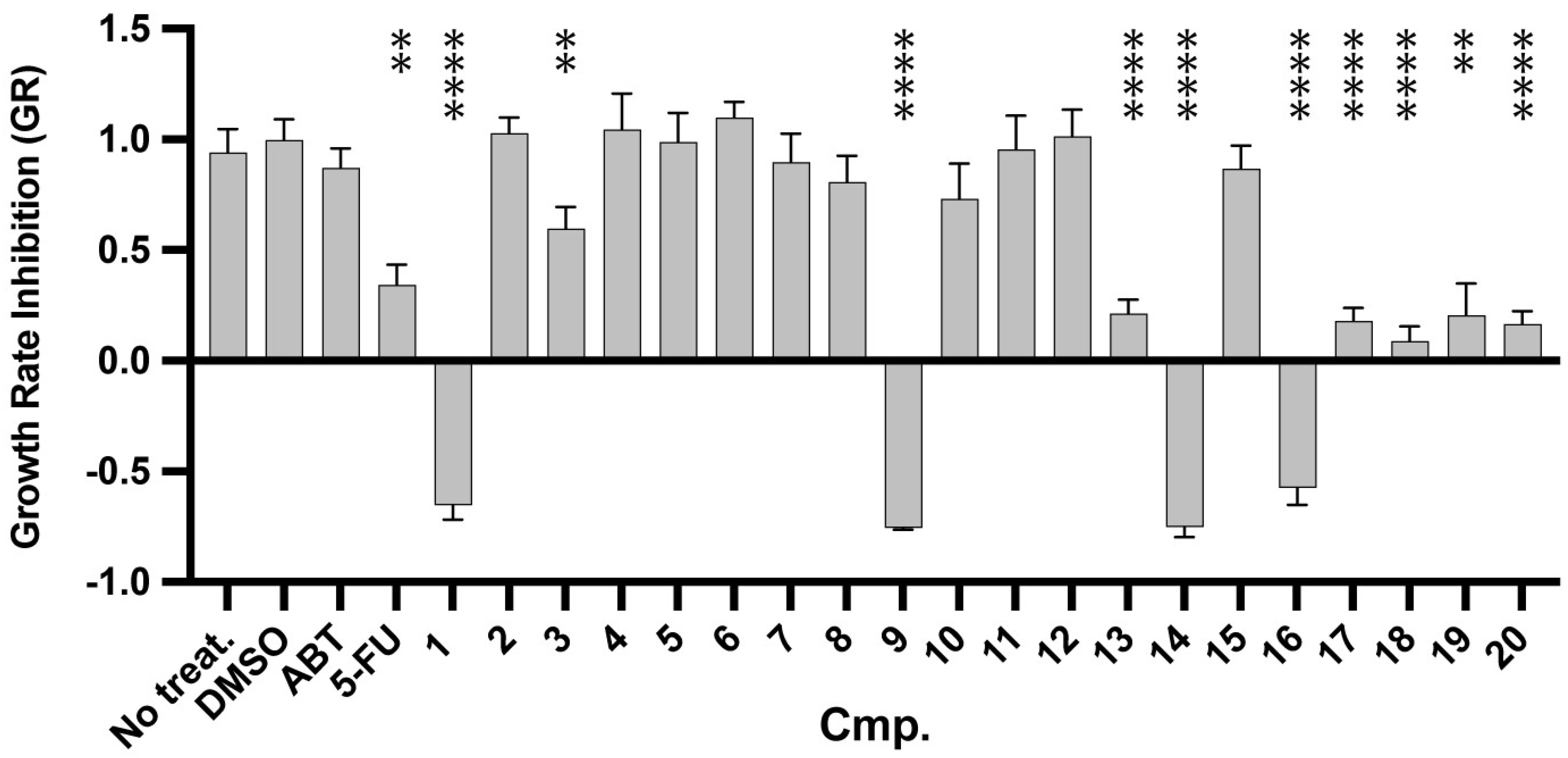
Since our research efforts are aimed at prostate cancer, we were also interested in evaluating our compounds in the PC3 prostate cancer cell line. This cell line is hormone insensitive and presents no AR [36]; thus, any effect observed on cell growth might be attributed to additional mechanisms of action. Indeed, we observed a negative growth rate inhibition (GR) value for compounds 1, 9, 14, and 16 when tested at 25 µM concentration (Figure 6, Supplementary Materials). The negative GR values indicate that the compounds are cytotoxic [37]. These compounds did not exhibit significant inhibition of CYP17A1; therefore, it is likely that they exert a different mechanism of action responsible for the observed cytotoxicity. They were more cytotoxic than the DNA replication inhibitor 5-fluorouracil used as a reference compound in this assay. Moreover, abiraterone, which was also used as a reference compound, had a very small effect on PC3 proliferation.
Figure 6.
Growth rate inhibition (GR) of compounds 1–20. All compounds were tested at 25 µM, with DMSO as a control and 5-fluorouracil (5-FU) and abiraterone (ABT) as reference compounds. The sign of the GR value relates directly to response phenotype: Values between 0 and 1 show partial growth inhibition, a value of 0 equals cytostasis, and values between 0 and −1 show that compounds are cytotoxic. Significant differences of growth in presence of compounds compared to DMSO were determined by the T-test and indicated by asterisks: ** p < 0.01, **** p < 0.0001.
3.3. Molecular Modeling
The three compounds, 2, 12, and 20, showing the highest affinity for the CYP17A1 enzyme were subjected to a molecular modeling analysis to determine their potential binding mode. The compounds represent different combinations of ring systems yielding three different scaffolds. Compounds 2 and 20 only contain a single potential heme-coordinating moiety, a benzimidazole and a pyridine moiety, respectively. Compound 12 contains both these ring systems and, accordingly, this compound may bind to CYP17A1 in two different modes.
We selected the five recently determined experimental structures of the A105L mutant of CYP17A1 as the target for our docking studies since they represent structures of CYP17A1 in complex with an inhibitor, abiraterone (4NKV), two hydroxylase substrates, pregnenolone (4NKW) and progesterone (4NKX), and two lyase substrates, 17α-hydroxyprogesterone (4NKY) and 17α-hydroxypregnenolone (4NKZ) [38].
Initially, we performed a cross-docking study of the five substrates in each of the protein structures to test if the docking software was able to identify the correct binding mode for these ligands. Inspection of the docking scores (Figure 7) shows that abiraterone binds significantly better (>10 kcal/mol) to all five protein structures. It is also interesting to note that the hydroxylase substrates generally bind better than the lyase substrates. The high degree of similarity in binding scores between the five proteins is probably a consequence of the experimental structures being nearly identical.
Figure 7.
Heat map showing the docking scores for cross-docking of substrates into the experimentally determined CYP17A1 structures.
Initially, we docked all 20 compounds to the five CYP17A1 structures, but since we observed nearly identical results for the five structures, we only describe the results for docking into the 4NKV structure.
The docking of 2 yields poses with the nitrogen lone pair on the benzimidazole ring pointing towards the Fe atom in the heme moiety (Fe···N = 2.5 Å). The binding mode of 2 is similar to the binding mode we previously identified for the structurally related compound (1d in [14]) with the cyclohexane ring located in a shallow hydrophobic cavity formed by Leu105, Ile205, and Ile206, which confirms that the enzyme may accommodate different hydrophobic moieties in this part of the active site (Figure 8A). The benzimidazole ring is also located nearly identical to the benzimidazole ring in the CYP17A1–galeterone complex (PDB 3SWZ) [7]. We also observed hydrogen bonding between Asp298 and the amine situated between the aromatic and aliphatic rings (O···N = 3.1 Å). Hydrogen bonding to Asp298 has also been observed in the structure of (S)-orteronel [39] complexed with CYP17A1 (PDB 5IRQ) [40]. Recently, Fehl et al. designed inhibitors derived from abiraterone with polar substituents on the B ring in the steroid framework, which formed hydrogen bonds to Asp298 (PDB 6CHI and 6CIR) [41].
Figure 8.
Preferred binding mode predicted by the GOLD docking program of compound 2 (green) (A), 20 (green) in comparison with abiraterone (cyan) (B) and 12 in two docking poses (pose #1 green and pose #2 cyan) (C). Coloring: protein is beige; heme is yellow; and all heteroatoms are colored based on type.
The docking of 20 showed, as expected, that the pyridine nitrogen coordinated to the Fe atom in the heme group with a Fe···N distance of 2.5 Å (Figure 8B). Comparison with the X-ray structures of the CYP17A1–abiraterone complexes (PDB 3RUK and 4NKV) [7,38] revealed that the pyridine rings in the two structures overlap and that the benzene ring in 20 occupies the same space as the C ring of the steroid moiety of abiraterone. The methyl group in 20 was originally introduced to fill the hydrophobic cavity occupied by the B ring of abiraterone. It is possible that the position of the indole moiety relative to the benzene ring is caused by steric repulsion from that methyl group. Another possibility relies simply on a better fit to the upper part of the cavity. In any case, the indole moiety occupies the same space as the A ring and the C10 methyl group in the abiraterone structure. The docking of 20 also suggests that adding a polar substituent on the indole ring could make hydrogen bonding to Asn202, as observed in the CYP17A1–abiraterone complexes.
Compound 12 contains both a pyridine and a benzimidazole system and, accordingly, two possible binding modes are theoretically possible (Figure 8C). The docking revealed these with moieties coordinating to the Fe in the heme group with Fe···N = 2.4 Å (benzimidazole) and 2.5 Å (pyridine), respectively, referred to as pose #1 and pose #2. For compound 12, pose #1 the benzimidazole system is located similarly to the benzimidazole system in the galeterone complex (3SWZ) [7], but in the opposite end of the compound, the pyridine is not close enough to make a contact to Asn202 as observed for galeterone. There are distinct differences in the orientation of the pyridine ring in pose #2 and in the abiraterone complexes 3RUK and 4NVK relative to the heme system. The 4-substituted pyridine ring requires more space above the heme group to adopt an ideal orthogonal orientation [42]. It suggests that the 3-substituted pyridine is the preferred moiety relative to the 2- and 4-substituted systems.
To investigate the stability of the protein–ligand complexes described above, we have subjected these to molecular dynamics (MD) simulations without any constraints, allowing both the protein and the ligands to move freely. The Fe···N distance is an important parameter when considering if the docking poses were realistic. The results of these short MD simulations revealed that all four complexes appeared to be stable (Figure 9). Although the Fe···N distance for 20 displayed extreme values for six frames around 80 ns, where the pyridine ring changed orientation and lost contact with the Fe atom, the original distance on approx. 2.4 Å was quickly re-established. The average Fe···N (benzimidazole) distances are 2.42 ± 0.11 Å and 2.44 ± 0.1 Å for compound 2 and 12, respectively. The corresponding Fe···N (pyridine) distances are 2.42 ± 0.13 Å and 2.43 ± 0.11 Å for 12 and 20 (excluding the six frames around 80 ns).
Figure 9.
Fe···N distances for the four CYP17A1–ligand complexes during the 100 ns molecular dynamics simulations.
The MD simulations confirm that the docking complexes represent low energy structures and may represent likely binding modes for the compounds, which we hope to confirm by ongoing efforts to get crystals and subsequently determine X-ray structures of some of our compounds. Computational analyses indicate that benzimidazole and pyridine fragments are important pharmacophores when considering the design of CYP17A1 binders. In the case of the pyridyl fragment, the preferred substitution pattern is 3-pyridyl over 4-pyridyl, with 2-pyridyl being unable to coordinate the Fe atom in heme effectively.
4. Conclusions
A series of compounds based on benzimidazole and indole scaffolds were synthesized and evaluated as inhibitors of CYP17A1 hydroxylase and lyase activity. Selected compounds were further assessed as inhibitors of CYP3A4 and P450 oxidoreductase (POR). Three compounds, 2, 12, and 20, were found to be potent inhibitors of CYP17A1 hydroxylase activity, with an IC50 of 1.2, 3.4 and 2.6 µM, respectively. Although they were not able to inhibit the CYP17A1 lyase catalyzed reaction, they were nevertheless selective towards CYP17A1, as indicated by their low influence on CYP3A4 and POR. Compound 2 displayed inhibitory potency comparable to the clinically used compound abiraterone in the CYP17A1 hydroxylase assay. Compounds 1, 9, 14 and 16 were cytotoxic towards PC3 cancer cell lines. However, as these compounds were much less potent in the CYP17A1 hydroxylase assay, the cytotoxicity is tentatively mediated through another mechanism of action, not further explored in this study. Finally, analysis of the SAR of the new compounds provided valuable information for further design of this class of compounds.
Supplementary Materials
The following supporting information can be downloaded at: https://www.mdpi.com/article/10.3390/biom12020165/s1.
Author Contributions
Conceptualization, T.M.W.; Formal analysis, T.M.W., A.V.P., F.S.J., K.L.A. and F.B.; Funding acquisition, T.M.W.; Investigation, T.M.W., O.R., K.S., M.N.R.V., A.V.P., F.S.J., F.S.A., K.L.A. and F.B.; Methodology, T.M.W., O.R., K.S., M.N.R.V., A.V.P., F.S.J., F.S.A., K.L.A. and F.B.; Writing—original draft, T.M.W.; Writing—review and editing, T.M.W., A.V.P., F.S.J., K.L.A. and F.B. All authors have read and agreed to the published version of the manuscript.
Funding
This research was funded by the Narodowe Centrum Nauki grant Sonata 16 2020/39/D/NZ7/00572 (T.M.W.). K.S. and M.N.R.V. are funded by Swiss Government Excellence Scholarships, Grant numbers 2019.0385 and 2020.0557.
Institutional Review Board Statement
Not applicable.
Informed Consent Statement
Not applicable.
Data Availability Statement
The data presented in this study are available in the Supplementary Materials here and are also available on request from the corresponding author.
Acknowledgments
We thank Emily Scott and her team for the initial work and for her support. We thank Scott Lowe for proofreading the manuscript.
Conflicts of Interest
The authors declare no conflict of interest. The funders had no role in the design of the study; in the collection, analyses, or interpretation of data; in the writing of the manuscript, or in the decision to publish the results.
References
- Siegel, R.L.; Miller, K.D.; Fuchs, H.E.; Jemal, A. Cancer Statistics, 2021. CA Cancer J. Clin. 2021, 71, 7–33. [Google Scholar] [CrossRef] [PubMed]
- Velho, P.I.; Anna, P.T.S.; da Silva, R.F.P.; Ferreira, R.D.P.; Venero, F.C. The development of apalutamide for the treatment of prostate cancer. Expert Opin. Drug Discov. 2021, 16, 217–226. [Google Scholar] [CrossRef]
- Risdon, E.N.; Chau, C.H.; Price, D.K.; Sartor, O.; Figg, W.D. PARP Inhibitors and Prostate Cancer: To Infinity and Beyond BRCA. Oncologist 2021, 26, e115–e129. [Google Scholar] [CrossRef] [PubMed]
- Rana, Z.; Diermeier, S.; Hanif, M.; Rosengren, R.J. Understanding Failure and Improving Treatment Using HDAC Inhibitors for Prostate Cancer. Biomedicines 2020, 8, 22. [Google Scholar] [CrossRef] [PubMed] [Green Version]
- Rathi, N.; McFarland, T.R.; Nussenzveig, R.; Agarwal, N.; Swami, U. Evolving Role of Immunotherapy in Metastatic Castration Refractory Prostate Cancer. Drugs 2021, 81, 191–206. [Google Scholar] [CrossRef] [PubMed]
- O’Sullivan, S.E.; Kaczocha, M. FABP5 as a novel molecular target in prostate cancer. Drug Discov. Today 2020, 25, 2056–2061. [Google Scholar] [CrossRef]
- DeVore, N.M.; Scott, E.E. Structures of cytochrome P450 17A1 with prostate cancer drugs abiraterone and TOK-001. Nature 2012, 482, 116–119. [Google Scholar] [CrossRef] [PubMed] [Green Version]
- Nakajin, S.; Hall, P.F.; Onoda, M. Testicular microsomal cytochrome P-450 for C21 steroid side chain cleavage. Spectral and binding studies. J. Biol. Chem. 1981, 256, 6134–6139. [Google Scholar] [CrossRef]
- Chung, B.C.; Picado-Leonard, J.; Haniu, M.; Bienkowski, M.; Hall, P.F.; Shively, J.E.; Miller, W.L. Cytochrome P450c17 (steroid 17 alpha-hydroxylase/17,20 lyase): Cloning of human adrenal and testis cDNAs indicates the same gene is expressed in both tissues. Proc. Natl. Acad. Sci. USA 1987, 84, 407–411. [Google Scholar] [CrossRef] [Green Version]
- Nakajin, S.; Shively, J.E.; Yuan, P.M.; Hall, P.F. Microsomal cytochrome P-450 from neonatal pig testis: Two enzymatic activities (17 alpha-hydroxylase and c17,20-lyase) associated with one protein. Biochemistry 1981, 20, 4037–4042. [Google Scholar] [CrossRef]
- Yin, L.; Hu, Q. CYP17 inhibitors—abiraterone, C17,20-lyase inhibitors and multi-targeting agents. Nat. Rev. Urol. 2013, 11, 32–42. [Google Scholar] [CrossRef]
- Bird, I.M.; Abbott, D.H. The hunt for a selective 17,20 lyase inhibitor; learning lessons from nature. J. Steroid Biochem. Mol. Biol. 2016, 163, 136–146. [Google Scholar] [CrossRef] [Green Version]
- Flück, C.E.; Meyer-Boni, M.; Pandey, A.V.; Kempna, P.; Miller, W.L.; Schoenle, E.J.; Biason-Lauber, A. Why boys will be boys: Two pathways of fetal testicular androgen biosynthesis are needed for male sexual differentiation. Am. J. Hum. Genet. 2011, 89, 201–218. [Google Scholar] [CrossRef] [Green Version]
- Wróbel, T.M.; Rogova, O.; Andersen, K.L.; Yadav, R.; Brixius-Anderko, S.; Scott, E.E.; Olsen, L.; Jørgensen, F.S.; Björkling, F. Discovery of Novel Non-Steroidal Cytochrome P450 17A1 Inhibitors as Potential Prostate Cancer Agents. Int. J. Mol. Sci. 2020, 21, 4868. [Google Scholar] [CrossRef] [PubMed]
- Parween, S.; Fernandez-Cancio, M.; Benito-Sanz, S.; Camats, N.; Velazquez, M.N.R.; Lopez-Siguero, J.P.; Udhane, S.S.; Kagawa, N.; Fluck, C.E.; Audi, L.; et al. Molecular Basis of CYP19A1 Deficiency in a 46,XX Patient With R550W Mutation in POR: Expanding the PORD Phenotype. J. Clin. Endocrinol. Metab. 2020, 105, e1272–e1290. [Google Scholar] [CrossRef] [PubMed]
- Udhane, S.S.; Dick, B.; Hu, Q.; Hartmann, R.W.; Pandey, A.V. Specificity of anti-prostate cancer CYP17A1 inhibitors on androgen biosynthesis. Biochem. Biophys. Res. Commun. 2016, 477, 1005–1010. [Google Scholar] [CrossRef] [Green Version]
- Zhang, L.H.; Rodriguez, H.; Ohno, S.; Miller, W.L. Serine phosphorylation of human P450c17 increases 17,20-lyase activity: Implications for adrenarche and the polycystic ovary syndrome. Proc. Natl. Acad. Sci. USA 1995, 92, 10619–10623. [Google Scholar] [CrossRef] [Green Version]
- Pandey, A.V.; Miller, W.L. Regulation of 17,20 lyase activity by cytochrome b5 and by serine phosphorylation of P450c17. J. Biol. Chem. 2005, 280, 13265–13271. [Google Scholar] [CrossRef] [Green Version]
- Lephart, E.D.; Simpson, E.R. Assay of aromatase activity. Methods Enzymol. 1991, 206, 477–483. [Google Scholar] [PubMed]
- Flück, C.E.; Mullis, P.E.; Pandey, A.V. Reduction in hepatic drug metabolizing CYP3A4 activities caused by P450 oxidoreductase mutations identified in patients with disordered steroid metabolism. Biochem. Biophys. Res. Commun. 2010, 401, 149–153. [Google Scholar] [CrossRef]
- Udhane, S.S.; Parween, S.; Kagawa, N.; Pandey, A.V. Altered CYP19A1 and CYP3A4 Activities Due to Mutations A115V, T142A, Q153R and P284L in the Human P450 Oxidoreductase. Front. Pharmacol. 2017, 8, 580. [Google Scholar] [CrossRef] [PubMed] [Green Version]
- Jensen, S.B.; Thodberg, S.; Parween, S.; Moses, M.E.; Hansen, C.C.; Thomsen, J.; Sletfjerding, M.B.; Knudsen, C.; Del Giudice, R.; Lund, P.M.; et al. Biased cytochrome P450-mediated metabolism via small-molecule ligands binding P450 oxidoreductase. Nat. Commun. 2021, 12, 2260. [Google Scholar] [CrossRef] [PubMed]
- Sastry, G.M.; Adzhigirey, M.; Day, T.; Annabhimoju, R.; Sherman, W. Protein and ligand preparation: Parameters, protocols, and influence on virtual screening enrichments. J. Comput. Aided Mol. Des. 2013, 27, 221–234. [Google Scholar] [CrossRef] [PubMed]
- Berman, H.M.; Battistuz, T.; Bhat, T.N.; Bluhm, W.F.; Bourne, P.E.; Burkhardt, K.; Feng, Z.; Gilliland, G.L.; Iype, L.; Jain, S.; et al. The Protein Data Bank. Acta Crystallogr. D Biol. Crystallogr. 2002, 58, 899–907. [Google Scholar] [CrossRef] [PubMed]
- Jones, G.; Willett, P.; Glen, R.C.; Leach, A.R.; Taylor, R. Development and validation of a genetic algorithm for flexible docking. J. Mol. Biol. 1997, 267, 727–748. [Google Scholar] [CrossRef] [PubMed] [Green Version]
- Verdonk, M.L.; Cole, J.C.; Hartshorn, M.J.; Murray, C.W.; Taylor, R.D. Improved protein-ligand docking using GOLD. Proteins 2003, 52, 609–623. [Google Scholar] [CrossRef] [PubMed]
- Kirton, S.B.; Murray, C.W.; Verdonk, M.L.; Taylor, R.D. Prediction of binding modes for ligands in the cytochromes P450 and other heme-containing proteins. Proteins 2005, 58, 836–844. [Google Scholar] [CrossRef]
- Lu, C.; Wu, C.; Ghoreishi, D.; Chen, W.; Wang, L.; Damm, W.; Ross, G.A.; Dahlgren, M.K.; Russell, E.; Von Bargen, C.D.; et al. OPLS4: Improving Force Field Accuracy on Challenging Regimes of Chemical Space. J. Chem. Theory Comput. 2021, 17, 4291–4300. [Google Scholar] [CrossRef] [PubMed]
- Wright, J.B. The Chemistry of the Benzimidazoles. Chem. Rev. 1951, 48, 397–541. [Google Scholar] [CrossRef]
- Lovering, F.; Bikker, J.; Humblet, C. Escape from Flatland: Increasing Saturation as an Approach to Improving Clinical Success. J. Med. Chem. 2009, 52, 6752–6756. [Google Scholar] [CrossRef]
- Leung, C.S.; Leung, S.S.F.; Tirado-Rives, J.; Jorgensen, W.L. Methyl Effects on Protein–Ligand Binding. J. Med. Chem. 2012, 55, 4489–4500. [Google Scholar] [CrossRef] [PubMed] [Green Version]
- Barreiro, E.J.; Kümmerle, A.E.; Fraga, C.A.M. The Methylation Effect in Medicinal Chemistry. Chem. Rev. 2011, 111, 5215–5246. [Google Scholar] [CrossRef] [PubMed]
- Klein, K.; Zanger, U.M. Pharmacogenomics of Cytochrome P450 3A4: Recent Progress Toward the “Missing Heritability” Problem. Front. Genet. 2013, 4, 12. [Google Scholar] [CrossRef] [Green Version]
- Velazquez, M.N.R.; Parween, S.; Udhane, S.S.; Pandey, A.V. Variability in human drug metabolizing cytochrome P450 CYP2C9, CYP2C19 and CYP3A5 activities caused by genetic variations in cytochrome P450 oxidoreductase. Biochem. Biophys. Res. Commun. 2019, 515, 133–138. [Google Scholar] [CrossRef] [PubMed]
- Pandey, A.V.; Flück, C.E. NADPH P450 oxidoreductase: Structure, function, and pathology of diseases. Pharmacol. Ther. 2013, 138, 229–254. [Google Scholar] [CrossRef]
- Cunningham, D.; You, Z. In vitro and in vivo model systems used in prostate cancer research. J. Biol. Methods 2015, 2, e17. [Google Scholar] [CrossRef] [Green Version]
- Hafner, M.; Niepel, M.; Chung, M.; Sorger, P.K. Growth rate inhibition metrics correct for confounders in measuring sensitivity to cancer drugs. Nat. Methods 2016, 13, 521–527. [Google Scholar] [CrossRef] [Green Version]
- Petrunak, E.M.; DeVore, N.M.; Porubsky, P.R.; Scott, E.E. Structures of Human Steroidogenic Cytochrome P450 17A1 with Substrates. J. Biol. Chem. 2014, 289, 32952–32964. [Google Scholar] [CrossRef] [Green Version]
- Yamaoka, M.; Hara, T.; Hitaka, T.; Kaku, T.; Takeuchi, T.; Takahashi, J.; Asahi, S.; Miki, H.; Tasaka, A.; Kusaka, M. Orteronel (TAK-700), a novel non-steroidal 17,20-lyase inhibitor: Effects on steroid synthesis in human and monkey adrenal cells and serum steroid levels in cynomolgus monkeys. J. Steroid Biochem. Mol. Biol. 2012, 129, 115–128. [Google Scholar] [CrossRef]
- Petrunak, E.M.; Rogers, S.A.; Aubé, J.; Scott, E.E. Structural and Functional Evaluation of Clinically Relevant Inhibitors of Steroidogenic Cytochrome P450 17A1. Drug Metab. Dispos. 2017, 45, 635–645. [Google Scholar] [CrossRef] [Green Version]
- Fehl, C.; Vogt, C.D.; Yadav, R.; Li, K.; Scott, E.E.; Aubé, J. Structure-Based Design of Inhibitors with Improved Selectivity for Steroidogenic Cytochrome P450 17A1 over Cytochrome P450 21A2. J. Med. Chem. 2018, 61, 4946–4960. [Google Scholar] [CrossRef] [PubMed]
- Bonomo, S.; Hansen, C.H.; Petrunak, E.M.; Scott, E.E.; Styrishave, B.; Jørgensen, F.S.; Olsen, L. Promising Tools in Prostate Cancer Research: Selective Non-Steroidal Cytochrome P450 17A1 Inhibitors. Sci. Rep. 2016, 6, 29468. [Google Scholar] [CrossRef] [PubMed] [Green Version]
Publisher’s Note: MDPI stays neutral with regard to jurisdictional claims in published maps and institutional affiliations. |
© 2022 by the authors. Licensee MDPI, Basel, Switzerland. This article is an open access article distributed under the terms and conditions of the Creative Commons Attribution (CC BY) license (https://creativecommons.org/licenses/by/4.0/).













