A Study on the Nature of SARS-CoV-2 Using the Shell Disorder Models: Reproducibility, Evolution, Spread, and Attenuation
Abstract
1. Introduction
1.1. The Enigmas of COVID-19-Related Viruses and SARS-CoV-2
1.2. COVID-19 and the Shell Disorder Models (SDMs)
2. Materials and Methods
3. Results
3.1. The CoV-Transmission-Shell Disorder Model
3.2. Abnormally Hard Outer Shell (Low PIDM) Rarely Seen Outside of COVID-19-Related CoVs
3.3. Abnormally Hard Outer Shell (Low PIDM) Evolutionarily Arose from a Burrowing Animal Such as Pangolins via Buried Feces
3.4. Omicron Has a Lower PIDN Similar to That of Pangolin-CoV-2017 but Has a Lower PIDM: Attenuation and Faster Spread
3.5. The Role of N in CoV Transmission SDM and Virulence-Inner Shell Disorder Model
3.6. Phylogenetic Trees Using M Offer the Best Snapshot: M Is Highly Conserved
3.7. Closer Relationship between SARS-CoV-2 and Pangolin-CoV
3.8. Phylogenetic Trees Suggest Decades of Interspecies Transmission
3.9. SARS-CoV-2’s Evolution within Animals Affects Its Virulence and Human Spread
3.10. The Evolution of SARS-CoV-2 and Omicron Have Important Implications for the Lifecycle and Clinical Manifestations of COVID-19
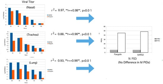
3.11. Reproducibility of SDMs Using Physiological Data from Omicron
3.12. Biochemical and Physiological Differences in Lungs and Bronchial Tissues: Mucus and Anti-Microbial Enzymes
3.13. Strong Positive and Negative Correlations in Lung and Bronchial Tissues, Respectively: Absence and Presence of Mucus
3.14. Confirmation of SDM Predictions for Pangolin-CoV: Attenuation in 2017 Pangolin-CoV
3.15. Strong Positive Correlations for Pangolin-CoV with PIDN in Hamster: Mucociliary Escalator in the Animal Model
4. Discussion
4.1. Lingering Mysteries and Incoming Data
4.2. Contagiousness of SARS-CoV-2: The Hard Outer Shell (M)
4.3. Uniqueness of COVID-19 Related Viruses, Abnormally Low PIDM and the Pandemic
4.4. Pangolin-CoVs Have More Diverse Characteristics That Resemble SARS-CoV-2
4.5. Statistical Study Adds to Our Knowledge of Inner Workings of SDMs and Respiratory Physiology
4.6. Laotian Bat-CoVs and Omicron Are Closely Related to Pangolin-CoVs
4.7. SDMs Hint at the Differences in the Evolution of Various Burrowing Animals
4.8. The Mysterious HCoV-HKU1 and Mice: Dual Evolution of Mice
4.9. Pangolins Provide a More Optimal Evolutionary Environment for Attenuation and More Efficient Human Spread
4.10. SDMs Do Not Contradict the Zoonotic Transmission Events at the Wuhan Market
4.11. Other Reproducible SDM Predictions Not Mentioned as Applied to SARS-CoV-2
5. Summary and Conclusions
Author Contributions
Funding
Institutional Review Board Statement
Informed Consent Statement
Data Availability Statement
Conflicts of Interest
References
- Worobey, M.; Levy, J.I.; Serrano, L.M.; Crits-Christoph, A.; Pekar, J.E.; Goldstein, S.A.; Rasmussen, A.L.; Kraemer, M.G.; Newman, C.; Koopmans, A.P.G.; et al. The Huanan Seafood Wholesale Market in Wuhan was the early epicenter of the COVID-19 pandemic. Science 2022, 377, 951–959. [Google Scholar] [CrossRef]
- Pekar, J.E.; Magee, A.; Parker, E.; Moshiri, N.; Izhikevich, K.; Havens, J.L.; Gangavarapu, K.; Serrano, L.M.M.; Crits-Christoph, A.; Matteson, N.L.; et al. The molecular epidemiology of multiple zoonotic origins of SARS-CoV-2. Science 2022, 377, 960–966. [Google Scholar] [CrossRef] [PubMed]
- Hu, B.; Guo, H.; Zhou, P.; Shi, Z.L. Characteristics of SARS-CoV-2 and COVID-19. Nat. Rev. Microbiol. 2021, 19, 141–154. [Google Scholar] [CrossRef] [PubMed]
- WHO. Coronavirus Disease (COVID-19) Pandemic 2020. Available online: https://www.who.int/emergencies/diseases/novel-coronavirus-2019 (accessed on 16 August 2022).
- Zhou, P.; Yang, X.L.; Wang, X.G.; Hu, B.; Zhang, L.; Zhang, W.; Si, H.-R.; Zhu, Y.; Li, B.; Huang, C.-L.; et al. Addendum: A pneumonia outbreak associated with a new coronavirus of probable bat origin. Nature 2020, 588, E6. [Google Scholar] [CrossRef] [PubMed]
- Li, X.; Zai, J.; Zhao, Q.; Nie, Q.; Li, Y.; Foley, B.T.; Chaillon, A. Evolutionary history, potential intermediate animal host, and cross-species analyses of SARS-CoV-2. J. Med. Virol. 2020, 92, 602–611. [Google Scholar] [CrossRef]
- Temmam, S.; Vongphayloth, K.; Baquero, E.; Munier, S.; Bonomi, M.; Regnault, B.; Douangboubpha, B.; Karami, Y.; Chretien, D.; Sanamxay, D.; et al. Bat coronaviruses related to SARS-CoV-2 and infectious for human cells. Nature 2022, 604, 330–336. [Google Scholar] [CrossRef]
- Low, Z.Y.; Yip, A.J.W.; Sharma, A.; Lal, S.K. SARS coronavirus outbreaks past and present-a comparative analysis of SARS-CoV-2 and its predecessors. Virus Genes. 2021, 57, 307–317. [Google Scholar] [CrossRef]
- Xiao, K.; Zhai, J.; Feng, Y.; Zhou, N.; Zhang, X.; Zou, J.-J.; Li, N.; Guo, Y.; Li, X.; Shen, X.; et al. Isolation of SARS-CoV-2-related coronavirus from Malayan pangolins. Nature 2020, 583, 286–289. [Google Scholar] [CrossRef]
- Lam, T.T.-Y.; Jia, N.; Zhang, Y.-W.; Shum, M.H.-H.; Jiang, J.-F.; Zhu, H.-C.; Tong, Y.-G.; Shi, Y.-X.; Ni, X.-B.; Liao, Y.H.; et al. Identifying SARS-CoV-2-related coronaviruses in Malayan pangolins. Nature 2020, 583, 282–285. [Google Scholar] [CrossRef]
- Zhang, T.; Wu, Q.; Zhang, Z. Probable Pangolin Origin of SARS-CoV-2 Associated with the COVID-19 Outbreak. Curr. Biol. 2020, 30, 1346–1351e2. [Google Scholar] [CrossRef]
- Fan, H.H.; Wang, L.-Q.; Liu, W.-L.; An, X.-P.; Liu, Z.-D.; He, X.-Q.; Song, L.-H.; Tong, Y.-G. Repurposing of clinically approved drugs for treatment of coronavirus disease 2019 in a 2019-novel coronavirus-related coronavirus model. Chin. Med. J. (Engl.) 2020, 133, 1051–1056. [Google Scholar] [CrossRef]
- Nga, N.T.T.; Latinne, A.; Thuy, H.B.; Long, N.V.; Ngoc, P.T.B.; Anh, N.T.L.; Thai, N.V.; Phoung, T.Q.; Thai, H.V.; Hai, L.K.; et al. Evidence of SARS-CoV-2 Related Coronaviruses Circulating in Sunda pangolins (Manis javanica) Confiscated From the Illegal Wildlife Trade in Viet Nam. Front. Public Health 2022, 10, 826116. [Google Scholar] [CrossRef] [PubMed]
- European_CDC. European Center for Disease Prevention and Control, Weekly Epidemilogical Update: Omicron Variant of Concern (VOC). 2022. Available online: https://www.ecdc.europa.eu/en/news-events/weekly-epidemiological-update-omicron-variant-concern-voc-week-2-data-20-january-2022 (accessed on 14 August 2022).
- Wolter, N.; Jassat, W.; Walaza, S.; Welch, R.; Moultrie, H.; Groome, M.; Amoako, D.G.; Everatt, J.; Bhiman, J.N.; Scheepers, C.; et al. Early assessment of the clinical severity of the SARS-CoV-2 omicron variant in South Africa: A data linkage study. Lancet 2022, 399, 437–446. [Google Scholar] [CrossRef]
- Abdullah, F.; Myers, J.; Basu, D.; Tintinger, G.; Ueckermann, V.; Mathebula, M.; Ramlall, R.; Spoor, S.; de Villiers, T.; der Waltet, Z.V.; et al. Decreased severity of disease during the first global omicron variant covid-19 outbreak in a large hospital in tshwane, south africa. Int. J. Infect. Dis. 2022, 116, 38–42. [Google Scholar] [CrossRef] [PubMed]
- Sigal, A. Milder disease with Omicron: Is it the virus or the pre-existing immunity? Nat. Rev. Immunol. 2022, 22, 69–71. [Google Scholar] [CrossRef]
- Kupferschmidt, K. Where did ‘weird’ Omicron come from? Science 2021, 374, 1179. [Google Scholar] [CrossRef]
- Moeller, N.H.; Shi, K.; Demir, O.; Belica, C.; Banerjee, S.; Yin, L.; Durfee, C.; Amaro, R.E.; Aihara, H. Structure and dynamics of SARS-CoV-2 proofreading exoribonuclease ExoN. Proc. Natl. Acad. Sci. USA 2022, 119, 2106379119. [Google Scholar] [CrossRef]
- Tay, J.H.; Porter, A.F.; Wirth, W.; Duchene, S. The Emergence of SARS-CoV-2 Variants of Concern Is Driven by Acceleration of the Substitution Rate. Mol. Biol. Evol. 2022, 39, msac01. [Google Scholar] [CrossRef]
- Goh, G.K.; Dunker, A.K.; Foster, J.A.; Uversky, V.N. Shell Disorder Models Detect That Omicron Has Harder Shells with Attenuation but Is Not a Descendant of the Wuhan-Hu-1 SARS-CoV-2. Biomolecules 2022, 12, 631. [Google Scholar] [CrossRef]
- Goh, G.K.; Dunker, A.K.; Foster, J.A.; Uversky, V.N. Computational, Experimental, and Clinical Evidence of a Specific but Peculiar Evolutionary Nature of (COVID-19) SARS-CoV-2. J. Proteome Res. 2022, 21, 874–890. [Google Scholar] [CrossRef]
- Choi, B.; Choudhary, M.C.; Regan, J.; Sparks, J.A.; Padera, R.F.; Qiu, X.; Solomon, I.H.; Kuo, H.H.; Boucau, J.; Bowman, K.; et al. Persistence and Evolution of SARS-CoV-2 in an Immunocompro0mised Host. N. Engl. J. Med. 2020, 383, 2291–2293. [Google Scholar] [CrossRef] [PubMed]
- Goh, G.K.; Dunker, A.K.; Uversky, V.N. A comparative analysis of viral matrix proteins using disorder predictors. Virol. J. 2008, 5, 126. [Google Scholar] [CrossRef] [PubMed]
- Goh, G.K.; Dunker, A.K.; Uversky, V.N. Protein intrinsic disorder toolbox for comparative analysis of viral proteins. BMC Genom. 2008, 9 (Suppl. 2), S4. [Google Scholar] [CrossRef] [PubMed]
- Goh, G.K. Viral Shapeshifters: Strange Behaviors of HIV and Other Viruses; Simplicity Research Institute: Singapore, 2017. [Google Scholar]
- Goh, G.K.; Uversky, V.N. Shell disorder and the HIV vaccine mystery: Lessons from the legendary Oswald Avery. J. Biomol. Struct. Dyn. 2022, 40, 5702–5711. [Google Scholar] [CrossRef]
- Goh, G.K.; Dunker, A.K.; Foster, J.A.; Uversky, V.N. HIV Vaccine Mystery and Viral Shell Disorder. Biomolecules 2019, 9, 178. [Google Scholar] [CrossRef]
- Goh, G.K.; Dunker, A.K.; Uversky, V.N. Understanding Viral Transmission Behavior via Protein Intrinsic Disorder Prediction: Coronaviruses. J. Pathog. 2012, 2012, 738590. [Google Scholar] [CrossRef]
- Goh, G.K.; Dunker, A.K.; Uversky, V.N. Detection of links between Ebola nucleocapsid and virulence using disorder analysis. Mol. Biosyst. 2015, 11, 2337–2344. [Google Scholar] [CrossRef]
- Goh, G.K.; Dunker, A.K.; Foster, J.A.; Uversky, V.N. Zika and Flavivirus Shell Disorder: Virulence and Fetal Morbidity. Biomolecules 2019, 9, 710. [Google Scholar] [CrossRef]
- Goh, G.K.; Dunker, A.K.; Foster, J.A.; Uversky, V.N. Nipah shell disorder, modes of infection, and virulence. Microb. Pathog. 2020, 141, 103976. [Google Scholar] [CrossRef]
- Goh, G.K.; Dunker, A.K.; Uversky, V.N. Correlating Flavivirus virulence and levels of intrinsic disorder in shell proteins: Protective roles vs. immune evasion. Mol. Biosyst. 2016, 12, 1881–1891. [Google Scholar] [CrossRef]
- Goh, G.K.; Dunker, A.K.; Foster, J.A.; Uversky, V.N. Feasibility of the vaccine development for SARS-CoV-2 and other viruses using the shell disorder analysis. Pac. Symp. Biocomput. 2021, 26, 143–153. [Google Scholar] [PubMed]
- Goh, G.K.; Dunker, A.K.; Foster, J.A.; Uversky, V.N. Shell Disorder Analysis Suggests That Pangolins Offered a Window for a Silent Spread of an Attenuated SARS-CoV-2 Precursor among Humans. J. Proteome Res. 2020, 19, 4543–4552. [Google Scholar] [CrossRef] [PubMed]
- Goh, G.K.; Dunker, A.K.; Foster, J.A.; Uversky, V.N. Shell disorder analysis predicts greater resilience of the SARS-CoV-2 (COVID-19) outside the body and in body fluids. Microb. Pathog. 2020, 144, 104177. [Google Scholar] [CrossRef]
- Goh, G.K.; Dunker, A.K.; Foster, J.A.; Uversky, V.N. Rigidity of the Outer Shell Predicted by a Protein Intrinsic Disorder Model Sheds Light on the COVID-19 (Wuhan-2019-nCoV) Infectivity. Biomolecules 2020, 10, 331. [Google Scholar] [CrossRef]
- Aboubakr, H.A.; Sharafeldin, T.A.; Goyal, S.M. Stability of SARS-CoV-2 and other coronaviruses in the environment and on common touch surfaces and the influence of climatic conditions: A review. Transbound. Emerg. Dis. 2021, 68, 296–312. [Google Scholar] [CrossRef] [PubMed]
- Malamud, D.; Abrams, W.R.; Barber, C.A.; Weissman, D.; Rehtanz, M.; Golub, E. Antiviral activities in human saliva. Adv. Dent. Res. 2011, 23, 34–37. [Google Scholar] [CrossRef]
- Ganz, T. Antimicrobial polypeptides in host defense of the respiratory tract. J. Clin. Investig. 2002, 109, 693–697. [Google Scholar] [CrossRef]
- Cole, A.M.; Dewan, P.; Ganz, T. Innate antimicrobial activity of nasal secretions. Infect. Immun. 1999, 67, 3267–3275. [Google Scholar] [CrossRef]
- Chan, M. HKUMed finds Omicron SARS-CoV-2 can infect faster and better than Delta in human bronchus but with less severe infection in lung. Braz. J. Implantol. Health Sci. 2022, 4, 50–54. [Google Scholar] [CrossRef]
- Hui, K.P.Y.; Ho, J.C.W.; Cheung, M.C.; Ng, K.C.; Ching, R.H.H.; Lai, K.-L.; Kam, T.T.; Gu, H.; Sit, K.-Y.; Hsin, M.K.Y.; et al. SARS-CoV-2 Omicron variant replication in human bronchus and lung ex vivo. Nature 2022, 603, 715–720. [Google Scholar] [CrossRef]
- Guo, Z.; Zhang, C.; Zhang, C.; Cui, H.; Chen, Z.; Jiang, X.; Wang, T.; Li, Y.; Liu, J.; Wan, Z.; et al. SARS-CoV-2-related pangolin coronavirus exhibits similar infection characteristics to SARS-CoV-2 and direct contact transmissibility in hamsters. iScience 2022, 25, 104350. [Google Scholar] [CrossRef] [PubMed]
- Shanshan, L.; Shengdong, L.; Chang, L.; Muli, L.; Xiaoping, A.; Mengzhe, L.; Jun, H.; Huahao, F.; Panyong, M.; Tigang, T.; et al. A highly attenuated SARS-CoV-2 related pangolin coronavirus variant has a 104nt deletion at the 3’-terminus untranslated region. bioRxiv 2022. [Google Scholar] [CrossRef]
- Posada, D. How does recombination affect phylogeny estimation? Trends Ecol. Evol. 2000, 15, 489–490. [Google Scholar] [CrossRef]
- Bondos, S.E.; Dunker, A.K.; Uversky, V.N. Intrinsically disordered proteins play diverse roles in cell signaling. Cell Commun. Signal 2022, 20, 20. [Google Scholar] [CrossRef] [PubMed]
- Kulkarni, P.; Bhattacharya, S.; Achuthan, S.; Behal, A.; Jolly, M.K.; Kotnala, S.; Mohanty, A.; Rangarajan, G.; Salgia, R.; Uversky, V. Intrinsically Disordered Proteins: Critical Components of the Wetware. Chem. Rev. 2022, 122, 6614–6633. [Google Scholar] [CrossRef]
- Uversky, V.N. Recent Developments in the Field of Intrinsically Disordered Proteins: Intrinsic Disorder-Based Emergence in Cellular Biology in Light of the Physiological and Pathological Liquid-Liquid Phase Transitions. Annu. Rev. Biophys. 2021, 50, 135–156. [Google Scholar] [CrossRef]
- van der Lee, R.; Buljan, M.; Lang, B.; Weatheritt, R.J.; Daughdrill, G.W.; Dunker, A.K.; Fuxreiter, M.; Gough, J.; Gsponer, J.; Jones, D.T.; et al. Classification of intrinsically disordered regions and proteins. Chem. Rev. 2014, 114, 6589–6631. [Google Scholar] [CrossRef]
- Oldfield, C.J.; Dunker, A.K. Intrinsically disordered proteins and intrinsically disordered protein regions. Annu. Rev. Biochem. 2014, 83, 553–584. [Google Scholar] [CrossRef]
- Uversky, V.N. Unusual biophysics of intrinsically disordered proteins. Biochim. Biophys. Acta. 2013, 1834, 932–951. [Google Scholar] [CrossRef]
- Uversky, V.N.; Dunker, A.K. Understanding protein non-folding. Biochim. Biophys. Acta. 2010, 1804, 1231–1264. [Google Scholar] [CrossRef]
- Iakoucheva, L.M.; Brown, C.J.; Lawson, J.D.; Obradovic, Z.; Dunker, A.K. Intrinsic disorder in cell-signaling and cancer-associated proteins. J. Mol. Biol. 2002, 323, 573–584. [Google Scholar] [CrossRef]
- Tompa, P. Intrinsically unstructured proteins. Trends Biochem. Sci. 2002, 27, 527–533. [Google Scholar] [CrossRef]
- Dunker, A.K.; Brown, C.J.; Lawson, C.J.D.; Iakoucheva-Sebat, L.M.; Vucetic, S.; Obradovic, Z. The Protein Trinity: Structure/Function Relationships That Include Intrinsic Disorder. ScientificWorldJournal 2002, 2, 49–50. [Google Scholar] [CrossRef] [PubMed][Green Version]
- Dunker, A.K.; Brown, C.J.; Lawson, J.D.; Iakoucheva, L.M.; Obradovic, Z. Intrinsic disorder and protein function. Biochemistry 2002, 41, 6573–6582. [Google Scholar] [CrossRef] [PubMed]
- Uversky, V.N. Natively unfolded proteins: A point where biology waits for physics. Protein Sci. 2002, 11, 739–756. [Google Scholar] [CrossRef] [PubMed]
- Uversky, V.N. What does it mean to be natively unfolded? Eur. J. Biochem. 2002, 262, 2–12. [Google Scholar] [CrossRef] [PubMed]
- Dunker, A.K.; Lawson, J.D.; Brown, C.J.; Williams, R.M.; Romero, P.; Oh, J.S.; Oldfield, C.J.; Campen, A.M.; Ratliff, C.M.; Hipps, K.W.; et al. Intrinsically disordered protein. J. Mol. Graph. Model. 2001, 19, 26–59. [Google Scholar] [CrossRef]
- Uversky, V.N.; Gillespie, J.R.; Fink, A.L. Why are “natively unfolded” proteins unstructured under physiologic conditions? Proteins 2000, 41, 415–427. [Google Scholar] [CrossRef]
- Wright, P.E.; Dyson, H.J. Intrinsically unstructured proteins: Re-assessing the protein structure-function paradigm. J. Mol. Biol. 1999, 293, 321–331. [Google Scholar] [CrossRef]
- Romero, P.; Obradovic, Z.; Li, X.; Garner, E.C.; Brown, C.J.; Dunker, A.K. Sequence complexity of disordered protein. Proteins 2001, 42, 38–48. [Google Scholar] [CrossRef]
- PONDR. Predictor of Natural Disordered Regions. Available online: https://www.pondr.com (accessed on 14 August 2022).
- Goh, G.K.; Dunker, A.K.; Foster, J.A.; Uversky, V.N. A Novel Strategy for the Development of Vaccines for SARS-CoV-2 (COVID-19) and Other Viruses Using AI and Viral Shell Disorder. J. Proteome Res. 2020, 19, 4355–4363. [Google Scholar] [CrossRef] [PubMed]
- Xue, B.; Williams, R.W.; Oldfield, C.J.; Goh, G.K.; Dunker, A.K.; Uversky, V.N. Viral disorder or disordered viruses: Do viral proteins possess unique features? Protein Pept. Lett. 2010, 17, 932–951. [Google Scholar] [CrossRef] [PubMed]
- Goh, G.K.; Dunker, A.K.; Uversky, V.N. Protein intrinsic disorder and influenza virulence: The 1918 H1N1 and H5N1 viruses. Virol. J. 2009, 6, 69. [Google Scholar] [CrossRef] [PubMed]
- Cheng, Y.; Oldfield, C.J.; Meng, J.; Romero, P.; Uversky, V.N.; Dunker, A.K. Mining alpha-helix-forming molecular recognition features with cross species sequence alignments. Biochemistry 2007, 46, 13468–13477. [Google Scholar] [CrossRef]
- Vacic, V.; Oldfield, C.J.; Mohan, A.; Radivojac, P.; Cortese, M.S.; Uversky, V.N.; Dunker, A.K. Characterization of molecular recognition features, MoRFs, and their binding partners. J. Proteome Res. 2007, 6, 2351–2366. [Google Scholar] [CrossRef]
- Mohan, A.; Oldfield, C.J.; Radivojac, P.; Vacic, V.; Cortese, M.S.; Dunker, A.K.; Uversky, V.N. Analysis of molecular recognition features (MoRFs). J. Mol. Biol. 2006, 362, 1043–1059. [Google Scholar] [CrossRef]
- Oldfield, C.J.; Cheng, Y.; Cortese, M.S.; Romero, P.; Uversky, V.N.; Dunker, A.K. Coupled folding and binding with alpha-helix-forming molecular recognition elements. Biochemistry 2005, 44, 12454–12470. [Google Scholar] [CrossRef]
- Garner, E.; Romero, P.; Dunker, A.K.; Brown, C.; Obradovic, Z. Predicting Binding Regions within Disordered Proteins. Genome Inf. Ser Workshop Genome Inf. 1999, 10, 41–50. [Google Scholar]
- Li, X.; Romero, P.; Rani, M.; Dunker, A.K.; Obradovic, Z. Predicting Protein Disorder for N-, C-, and Internal Regions. Genome Inf. Ser Workshop Genome Inf. 1999, 10, 30–40. [Google Scholar]
- UniProt_Consortium. UniProt: The universal protein knowledgebase in 2021. Nucleic Acids Res. 2021, 49, D480–D489. [Google Scholar] [CrossRef]
- Sayers, E.W.; Cavanaugh, M.; Clark, K.; Ostell, J.; Pruitt, K.D.; Karsch-Mizrachi, I. GenBank. Nucleic Acids Res. 2019, 47, D94–D99. [Google Scholar] [CrossRef] [PubMed]
- MySQL. Available online: https://www.mysql.com (accessed on 14 August 2022).
- JAVA: JAVA Programming Language. Available online: https://www.java.com (accessed on 14 August 2022).
- EMBI-EBI: Clustal Omega. Available online: https://www.ebi.ac.uk/Tools/msa/clustalo/ (accessed on 14 August 2022).
- TREX: CLUSTALW. Available online: http://www.trex.uqam.ca/index.php?action=align&project=trex (accessed on 14 August 2022).
- GIMP: GNU Image Manipulator Program. Available online: https://www.gimp.org (accessed on 14 August 2022).
- OpenOffice. Available online: https://www.openoffice.org/ (accessed on 14 August 2022).
- NCBI-BLASTP. Available online: https://blast.ncbi.nlm.nih.gov/Blast.cgi?PAGE=Proteins (accessed on 14 August 2022).
- R_Core_Team. R: A Language and Environment for Statistical Computing. R_Core_Team: Vienna, Austria. Available online: http://softlibre.unizar.es/manuales/aplicaciones/r/fullrefman.pdf (accessed on 24 August 2022).
- Goh, G.K.; Dunker, A.K.; Uversky, V. Prediction of Intrinsic Disorder in MERS-CoV/HCoV-EMC Supports a High Oral-Fecal Transmission. PLoS Curr. 2013, 5, ecurrents.outbreaks.22254b58675cdebc2. [Google Scholar] [CrossRef] [PubMed]
- Pei-lin, L.; Lei, S.; Da-yong, G. Progress in researches on human coronavirus HKU1: A review. Chin. J. Public Health 2017, 33, 1264–1266. [Google Scholar]
- Woo, P.C.; Lau, S.K.; Chu, C.M.; Chan, K.H.; Tsoi, H.W.; Huang, Y.; Wong, B.H.L.; Poon, R.W.S.; Cai, J.J.; Luk, W.-K.; et al. Characterization and complete genome sequence of a novel coronavirus, coronavirus HKU1, from patients with pneumonia. J. Virol. 2005, 79, 884–895. [Google Scholar] [CrossRef] [PubMed]
- Schmid-Holmes, S.; Drickamer, L.C.; Robinson, A.S.; Gillie, L.L. Burrows and burrow-cleaning behavior of house mice (Mus musculus domesticus). Am. Midl. Nat. 2001, 146, 53–62. [Google Scholar] [CrossRef]
- McBride, R.; van Zyl, M.; Fielding, B.C. The coronavirus nucleocapsid is a multifunctional protein. Viruses 2014, 6, 2991–3018. [Google Scholar] [CrossRef] [PubMed]
- Lehmann, D.; Halbwax, M.L.; Makaga, L.; Whytock, R.; Malata, L.-L.N.; Mouele, W.B.; Momboua, B.R.; Pambo, A.F.K.; White, L.J.T. Pangolins and bats living together in underground burrows in Lope National Park, Gabon. Afr. J. Ecol. 2020, 58, 540–542. [Google Scholar] [CrossRef] [PubMed]
- Uversky, V.N.; Elrashdy, F.; Aljadawi, A.; Redwan, E.M. Household pets and SARS-CoV2 transmissibility in the light of the ACE2 intrinsic disorder status. J. Biomol. Struct. Dyn. 2022, 40, 1441–1444. [Google Scholar] [CrossRef]
- Mire, C.E.; Satterfield, B.A.; Geisbert, J.B.; Agans, K.N.; Borisevich, V.; Yan, L.; Chan, Y.-P.; Cross, R.W.; Fenton, K.A.; Broder, C.C.; et al. Pathogenic Differences between Nipah Virus Bangladesh and Malaysia Strains in Primates: Implications for Antibody Therapy. Sci. Rep. 2016, 6, 30916. [Google Scholar] [CrossRef]
- Wolfel, R.; Corman, V.M.; Guggemos, W.; Seilmaier, M.; Zange, S.; Muller, M.A.; Niemeyer, D.; Jones, T.C.; Vollmar, P.; Rothe, C.; et al. Virological assessment of hospitalized patients with COVID-2019. Nature 2020, 581, 465–469. [Google Scholar] [CrossRef]
- Ogando, N.S.; Dalebout, T.J.; Zevenhoven-Dobbe, J.C.; Limpens, R.; van der Meer, Y.; Caly, L.; Druce, J.; de Vries, J.J.C.; Kikkert, M.; Barcena, M.; et al. SARS-coronavirus-2 replication in Vero E6 cells: Replication kinetics, rapid adaptation and cytopathology. J. Gen. Virol. 2020, 101, 925–940. [Google Scholar] [CrossRef] [PubMed]
- Weupe, M.; Peabody Lever, J.E.; Kennemur, J.P.; Bono, T.R.; Phillips, S.E.; Shei, R.-J.; Rowe, S.M. Moving mucus matters for lung health. Front. Young Minds. 2019, 7, 16. [Google Scholar] [CrossRef]
- Fahy, J.V.; Dickey, B.F. Airway mucus function and dysfunction. N. Engl. J. Med. 2010, 363, 2233–2247. [Google Scholar] [CrossRef] [PubMed]
- Ward, H.E.; Nicholas, T.E. Alveolar type I and type II cells. Aust. N. Z. J. Med. 1984, 14, 731–734. [Google Scholar] [CrossRef] [PubMed]
- Abrahams, P. How the Body Works: A Comprehensive Illustrated Encyclopedia of Anatomy; Amber Books Ltd.: London, UK, 2016. [Google Scholar]
- Sanyal, D.; Banerjee, S.; Bej, A.; Chowdhury, V.R.; Uversky, V.N.; Chowdhury, S.; Cahttopadhyay, K. An integrated understanding of the evolutionary and structural features of the SARS-CoV-2 spike receptor binding domain (RBD). Int. J. Biol. Macromol. 2022, 217, 492–505. [Google Scholar] [CrossRef]
- Mishra, P.M.; Anjum, F.; Uversky, V.N.; Nandi, C.K. SARS-CoV-2 Spike mutations modify the interaction between virus Spike and human ACE2 receptors. Biochem. Biophys. Res. Commun. 2022, 620, 8–14. [Google Scholar] [CrossRef] [PubMed]
- Bayani, F.; Hashkavaei, N.S.; Uversky, V.N.; Mozaffari-Jovin, S.; Sefidbakht, Y. Insights into the structural peculiarities of the N-terminal and receptor binding domains of the spike protein from the SARS-CoV-2 Omicron variant. Comput. Biol. Med. 2022, 147, 105735. [Google Scholar] [CrossRef] [PubMed]
- Piplani, S.; Singh, P.K.; Winkler, D.A.; Petrovsky, N. In silico comparison of SARS-CoV-2 spike protein-ACE2 binding affinities across species and implications for virus origin. Sci. Rep. 2021, 11, 13063. [Google Scholar]
- Hassan, S.S.; Ghosh, S.; Attrish, D.; Choudhury, P.P.; Aljabali, A.A.A.; Uhal, B.D.; Lundstrom, K.; Rezaei, N.; Uversky, V.N.; Seyran, M.; et al. Possible Transmission Flow of SARS-CoV-2 Based on ACE2 Features. Molecules 2020, 25, 5906. [Google Scholar] [CrossRef]
- Elrashdy, F.; Redwan, E.M.; Uversky, V.N. Intrinsic disorder perspective of an interplay between the renin-angiotensin-aldosterone system and SARS-CoV-2. Infect. Genet. Evol. 2020, 85, 104510. [Google Scholar] [CrossRef]
- Shang, J.; Ye, G.; Shi, K.; Wan, Y.; Luo, C.; Aihara, H.; Geng, Q.; Auerbach, A.; Li, F. Structural basis of receptor recognition by SARS-CoV-2. Nature 2020, 581, 221–224. [Google Scholar] [CrossRef] [PubMed]
- Wei, C.; Shan, K.J.; Wang, W.; Zhang, S.; Huan, Q.; Qian, W. Evidence for a mouse origin of the SARS-CoV-2 Omicron variant. J. Genet. Genom. 2021, 48, 1111–1121. [Google Scholar] [CrossRef] [PubMed]
- Riddell, S.; Goldie, S.; Hill, A.; Eagles, D.; Drew, T.W. The effect of temperature on persistence of SARS-CoV-2 on common surfaces. Virol. J. 2020, 17, 145. [Google Scholar] [CrossRef] [PubMed]
- Hirose, R.; Itoh, Y.; Ikegaya, H.; Miyazaki, H.; Watanabe, N.; Yoshida, T.; Bandou, R.; Daidoji, T.; Nakaya, T. Differences in environmental stability among SARS-CoV-2 variants of concern: Both omicron BA.1 and BA.2 have higher stability. Clin. Microbiol. Infect. 2022. [Google Scholar] [CrossRef] [PubMed]
- Jones, T.C.; Biele, G.; Mühlemann, B.; Veith, T.; Schneider, J.; Beheim-Schwarzbach, J.; Bleicker, T.; Tesch, J.; Schmidt, M.L.; Sander, L.E.; et al. Estimating infectiousness throughout SARS-CoV-2 infection course. Science 2021, 373, eabi5273. [Google Scholar] [CrossRef]
- Cevik, M.; Tate, M.; Lloyd, O.; Maraolo, A.E.; Schafers, J.; Ho, A. SARS-CoV-2, SARS-CoV, and MERS-CoV viral load dynamics, duration of viral shedding, and infectiousness: A systematic review and meta-analysis. Lancet Microbe 2021, 2, e13–e22. [Google Scholar] [CrossRef]








| Year of First Publication | Shell Disorder Model | Details |
|---|---|---|
| 2008 | Parent Viral Shape-shifter Model | A database of viral shell proteins was built. HIV-1, HCV and HSV were found to have abnormally high disorder at their outer shells. No effective vaccine is currently available for the three viruses. |
| 2012 | CoV Transmission SDM | Correlations were found between disorder levels in M and N proteins and the modes of transmission; i.e., fecal–oral and respiratory transmissions. |
| 2015 | Virulence-inner Shell Disorder Model | Positive correlations have been found for virulence of many viruses and their inner shell disorder. Viruses include DENV, EBOV, NiV and SARS-CoV-1/2. |
| Coronavirus | PIDM | UniProt(U) Genbank(G) Accession Code (M Proteins) a | PIDN | UniProt(U) Genbank(G) Accession Code (N) a | Group/Remarks |
|---|---|---|---|---|---|
| HCoV-229E | 23 | P15422 | 56 | P15130 | Group A |
| IBV(Avian) c | 10 | P69606 | 56 | Q8JMI6 | Higher levels of respiratory transmission lower levels of fecal-oral transmission |
| Bovine | 7.8 | P69704 | 53.1 | Q8V432(U) | Group B |
| PEDV (Porcine) c | 8 | P59771(U) | 51.7 | Q07499(U) | Intermediate levels of respiratory and fecal-oral transmission |
| Canine (Resp.) | 7 | A3E2F6(U) | 50.5 | A3E2F7(U) | |
| HCoV-OC43 | 7 | Q4VID2(U) | 51 | P33469(U) | |
| SARS-CoV-1 | 8.6 | P59596(U) | 50.2 | P59595(U) | |
| HCoV-NL63 | 11 | Q6Q1R9(U) | 49 | Q6Q1R8(U) | |
| Bats b | 11.2 + 5.3 | A3EXD6(U) | 47.7 + 0.9 | Q3LZX4(U) | |
| MHV(Murine) c | 8 | Q9JEB4(U) | 46.8 | P03416(U) | Group C |
| MERS-CoV | 9.1 | K0BU37(U) | 44.3 | K0BVN3(U) | Lower levels of respiratory transmission higher levels of fecal-oral transmission |
| TGEV(Porcine) c | 14 | P09175(U) | 42.41 | P04134(U) | |
| Canine (Ent.) | 8 | B8RIR2(U) | 40 | Q04700(U) | |
| HCoV-HKU1 d | 4.5 | Q14EA7(U) | 37.4 | Q0ZME3(U) | |
| SARS-CoV-2 | Group D | ||||
| [Wuhan] | 5.9 | YP009724393(G) | 48.2 | YP009724397(G) | High Respiratory and Fecal-oral Transmission Potentials |
| [Delta] | 5.9 | QUX81285(G) | 47.1 + 0.5 | QYM89845(G) | |
| [Omicron] | 5.4 | UFO59282(G) | 44.8 | UFO692871(G) | |
| Pangolin-CoV e | 5.6 + 0.9 | QIA428617(G) | 46.6 + 1.6 | QIA48630(G) | |
| Rabbit-CoV | 5.7 | H9AA37(U) | 52.2 6 e | H9AA59(U) | |
| RaTG13 | 4.1 | QHT63303(G) | 48.5 | QHR63308(G) | |
| Laotian Bat-CoV | 6.0 + 0.2 | 48.3 + 0.2 | |||
| [Banal-52 | 6.3 | UAY13220.1 | 48.2 | UAY13225.1 | |
| [Banal-103] | 5.9 | UAY13232.1 | 48.5 | UAY13257.1 | |
| [Banal0236] | 4.1 | UAY13256.1 | 48.5 | UAY1326.1 |
| Coronavirus | Sequence Similarity M (%) | PIDM (%) | Accession: UniProt (U) GenBank (G) | Sequence Similarity N (%) | PIDN (%) | Accession UniProt (U) GenBank (G) |
|---|---|---|---|---|---|---|
| SARS-CoV-1 | 90.5 | 8.6 | P59596(U) | 90.5 | 50.2 | P59595(U) |
| Civet-SARS-CoV | 90.1 | 8.6 | Q3ZTE9(U) | 90.01 | 49.1 | Q3ZTE4(U) |
| Laotian Bat-CoV | 6.0 ± 0.2 | 48.3 ± 0.2 | ||||
| [Banal-52 | 6.3 | UAY13220.1 | 48.2 | UAY13225.1 | ||
| [Banal-103] | 98.7 | 5.9 | UAY13232.1 | 99.3 | 48.5 | UAY13257.1 |
| [Banal-236] | 98.7 | 4.1 | UAY13256.1 | 99.1 | 48.5 | UAY1326.1 |
| 99.1 | 99.3 | |||||
| Pangolin-CoV | 5.6 ± 0.9 a | 46.6 ± 1.6 a | ||||
| 2019 | 98.2 | 6.3 | QIG55948(G) | 98 | 48.7 | QIG55953(G) |
| 2018 | 97.7 | 4.5 | QIQ54051(G) | 93.8 | 46.3 | QIQ54056(G) |
| 2017 *** | 98.2 | 5.9 | QIA48617(G) | 94 | 44.9 | QIA48630(G) |
| 93.32 | 46.5 | QIA48656(G) | ||||
| SARS-CoV-2 | ||||||
| [Wuhan] | 100 | 5.9 | YP009724393(G) | 100 | 48.2 | YP009724397(G) |
| [Delta1] | 99.1 | 5.9 | QUX81285(G) | 99.3 | 46.8 | |
| [Delta2] | 99.1 | 5.9 | QUX81285(G) | 99.1 | 47.5 | QYM89997(G) |
| [Omicron] ** | 98.7 | 5.4 | UFO59282(G) | 98.6 | 44.8 | QYM89845(G) |
| UFO692871(G) | ||||||
| Bat-CoV | 11.2 ± 15 a | Q9JEB4 | 47.7 ± 0.9 a | |||
| RATG13 | 99.6 | 4.1 | QHR63303(G) | 99.1 | 48.5 | QHR63308(G) |
| Bat 512 | 35.5 | 15.3 | Q0Q463(U) | 29.4 | 46.5 | Q0Q462(U) |
| HKU3 | 91 | 7.7 | Q3LZX9(U) | 89.6 | 48 | Q3LZX4(U) |
| HKU4 | 42.7 | 16.4 | A3EXA0(U) | 51.1 | 48.5 | A3EXA1(U) |
| HKU5 | 44.7 | 11.8 | A3EXD6(U) | 47.9 | 47.1 | A3EXD7(U) |
Publisher’s Note: MDPI stays neutral with regard to jurisdictional claims in published maps and institutional affiliations. |
© 2022 by the authors. Licensee MDPI, Basel, Switzerland. This article is an open access article distributed under the terms and conditions of the Creative Commons Attribution (CC BY) license (https://creativecommons.org/licenses/by/4.0/).
Share and Cite
Goh, G.K.-M.; Dunker, A.K.; Foster, J.A.; Uversky, V.N. A Study on the Nature of SARS-CoV-2 Using the Shell Disorder Models: Reproducibility, Evolution, Spread, and Attenuation. Biomolecules 2022, 12, 1353. https://doi.org/10.3390/biom12101353
Goh GK-M, Dunker AK, Foster JA, Uversky VN. A Study on the Nature of SARS-CoV-2 Using the Shell Disorder Models: Reproducibility, Evolution, Spread, and Attenuation. Biomolecules. 2022; 12(10):1353. https://doi.org/10.3390/biom12101353
Chicago/Turabian StyleGoh, Gerard Kian-Meng, A. Keith Dunker, James A. Foster, and Vladimir N. Uversky. 2022. "A Study on the Nature of SARS-CoV-2 Using the Shell Disorder Models: Reproducibility, Evolution, Spread, and Attenuation" Biomolecules 12, no. 10: 1353. https://doi.org/10.3390/biom12101353
APA StyleGoh, G. K.-M., Dunker, A. K., Foster, J. A., & Uversky, V. N. (2022). A Study on the Nature of SARS-CoV-2 Using the Shell Disorder Models: Reproducibility, Evolution, Spread, and Attenuation. Biomolecules, 12(10), 1353. https://doi.org/10.3390/biom12101353

