Dynamics of Matrix Metalloproteinase-1 and -8 Secretion in Gingival Crevicular Fluid after Gingival Recession Therapy via MCAT with Either Subepithelial Connective Tissue Graft or Collagen Matrix
Abstract
1. Introduction
2. Materials and Methods
2.1. Gingival Crevicular Fluid (GCF) Sampling
2.2. Biochemical Evaluation of MMP-1 and MMP-8 Concentration
2.3. Clinical Measurements
2.4. Surgical Procedure
2.5. Statistical Analysis
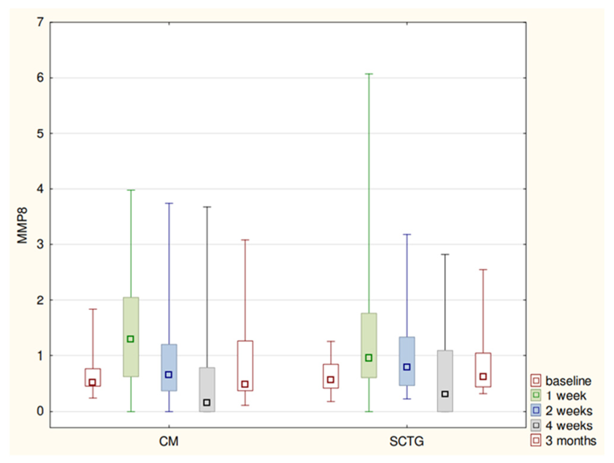
3. Results
4. Discussion
5. Conclusions
Author Contributions
Funding
Institutional Review Board Statement
Informed Consent Statement
Data Availability Statement
Conflicts of Interest
References
- Vignoletti, F.; Nunez, J.; Sanz, M. Soft tissue regeneration in the oral cavity: Review of the current literature on scaffolds, cells and biologicals. J. Clin. Periodontol. 2014, 41, S23–S35. [Google Scholar] [CrossRef] [PubMed]
- Zuhr, O.; Bäumer, D.; Hürzeler, M. The addition of soft tissue replacement grafts in plastic periodontal and implant surgery: Critical elements in design and execution. J. Clin. Periodontol. 2014, 41, S123–S142. [Google Scholar] [CrossRef] [PubMed]
- Ozenci, I.; Ipci, S.D.; Cakar, G.; Yilmaz, S. Tunnel technique versus coronally advanced flap with acellular dermal matrix graft in the treatment of multiple gingival recessions. J. Clin. Periodontol. 2015, 42, 1135–1142. [Google Scholar] [CrossRef]
- Zucchelli, G.; Mounssif, I.; Mazzotti, C.; Stefanini, M.; Marzadori, M.; Petracci, E.; Montebugnoli, L. Coronally advanced flap with and without connective tissue graft for the treatment of multiple gingival recessions: A comparative short- and long-term controlled randomized clinical trial. J. Clin. Periodontol. 2014, 41, 396–403. [Google Scholar] [CrossRef]
- Cairo, F.; Pagliaro, U.; Nieri, M. Treatment of gingival recession with coronally advanced flap procedures: A systematic review. J. Clin. Periodontol. 2008, 35, 136–162. [Google Scholar] [CrossRef]
- Griffin, T.J.; Cheung, W.S.; Zavras, A.I.; Damoulis, P.D. Postoperative Complications Following Gingival Augmentation Procedures. J. Periodontol. 2006, 77, 2070–2079. [Google Scholar] [CrossRef] [PubMed]
- Soileau, K.M.; Brannon, R.B. A Histologic Evaluation of Various Stages of Palatal Healing Following Subepithelial Connective Tissue Grafting Procedures: A Comparison of Eight Cases. J. Periodontol. 2006, 77, 1267–1273. [Google Scholar] [CrossRef] [PubMed]
- Vignoletti, F.; Nunez, J.; Discepoli, N.; De Sanctis, F.; Caffesse, R.; Munoz, F.; Lopez, M.; Sanz, M. Clinical and histological healing of a new collagen matrix in combination with the coronally advanced flap for the treatment of Miller class-I recession defects: An experimental study in the minipig. J. Clin. Periodontol. 2011, 38, 847–855. [Google Scholar] [CrossRef]
- Birkedal-Hansen, H.; Moore, W.G.; Bodden, M.K.; Windsor, L.J.; Birkedal-Hansen, B.; DeCarlo, A.; Engler, J.A. Matrix metalloproteinases: A review. Crit. Rev. Oral Biol. Med. 1993, 4, 197–250. [Google Scholar] [CrossRef]
- Armstrong, D.G.; Jude, E.B. The Role of Matrix Metalloproteinases in Wound Healing. J. Am. Podiatr. Med. Assoc. 2002, 92, 12–18. [Google Scholar] [CrossRef]
- Reynolds, J.J.; Meikle, M.C. Mechanisms of connective tissue matrix destruction in periodontitis. Periodontology 2000 1997, 14, 144–157. [Google Scholar] [CrossRef] [PubMed]
- Skurska, A.; Dolinska, E.; Pietruska, M.; Pietruski, J.K.; Dymicka, V.; Kemona, H.; Arweiler, N.B.; Milewski, R.; Sculean, A. Effect of nonsurgical periodontal treatment in conjunction with either systemic administration of amoxicillin and metronidazole or additional photodynamic therapy on the concentration of matrix metalloproteinases 8 and 9 in gingival crevicular fluid in patients with aggressive periodontitis. BMC Oral Health 2015, 15, 1–5. [Google Scholar] [CrossRef]
- Engvall, E.; Perlmann, P. Enzyme-linked immunosorbent assay (ELISA) quantitative assay of immunoglobulin G. Immunochemistry 1971, 8, 871–874. [Google Scholar] [CrossRef]
- Kragstrup, T.T.; Vorup-Jensen, T.; Deleuran, B.; Hvid, M. A simple set of validation steps identifies and removes false results in a sandwich enzyme-linked immunosorbent assay caused by anti-animal IgG antibodies in plasma from arthritis patients. SpringerPlus 2013, 2, 1–10. [Google Scholar] [CrossRef] [PubMed]
- O’Leary, T.J.; Drake, R.B.; Naylor, J.E. The Plaque Control Record. J. Periodontol. 1972, 43, 38. [Google Scholar] [CrossRef] [PubMed]
- Ainamo, J.; Bay, I. Problems and proposals for recording gingivitis and plaque. Int. Dent. J. 1975, 25, 229–235. [Google Scholar] [PubMed]
- Zuhr, O.; Fickl, S.; Wachtel, H.; Bolz, W.; Hürzeler, M.B. Covering of gingival recessions with a modified microsurgical tunnel technique: Case report. Int. J. Periodontics Restor. Dent. 2007, 27, 457–463. [Google Scholar]
- Boelen, G.-J.; Boute, L.; D’Hoop, J.; Ezeldeen, M.; Lambrichts, I.; Opdenakker, G. Matrix metalloproteinases and inhibitors in dentistry. Clin. Oral Investig. 2019, 23, 2823–2835. [Google Scholar] [CrossRef]
- Jha, A.; George, J.P.; Chandrashekhar, G. Estimation and Correlation of MMP-8 Levels in GCF and Serum with Wound Healing and Clinical Outcomes of Coronally Advanced Flap and Sub-Epithelial Connective Tissue Graft for Root Coverage-A Controlled Clinical Trial. J. Int. Acad. Periodontol. 2019, 21, 11–19. [Google Scholar]
- Eren, G.; Tervahartiala, T.; Sorsa, T.; Atilla, G. Cytokine (interleukin-1beta) and MMP levels in gingival crevicular fluid after use of platelet-rich fibrin or connective tissue graft in the treatment of localized gingival recessions. J. Periodontal Res. 2015, 51, 481–488. [Google Scholar] [CrossRef]
- Said, S.; Mohd, H.; Sander, L.; Sorsa, T.; Kinane, D.F. GCF levels of MMP-3 and MMP-8 following placement of bioresorbable membranes. J. Clin. Periodontol. 1999, 26, 757–763. [Google Scholar] [CrossRef] [PubMed]
- Buchmann, R.; Hasilik, A.; Heinecke, A.; Lange, D.E. PMN responses following use of 2 biodegradable GTR membranes. J. Clin. Periodontol. 2001, 28, 1050–1057. [Google Scholar] [CrossRef]
- Wikesjö, U.M.E.; Crigger, M.; Nilveus, R.; Selvig, K.A. Early Healing Events at the Dentin-Connective Tissue Interface. Light and Transmission Electron Microscopy Observations. J. Periodontol. 1991, 62, 5–14. [Google Scholar] [CrossRef]
- Pellegrini, G.; Rasperini, G.; Pagni, G.; Giannobile, W.; Milani, S.; Musto, F.; Dellavia, C. Local wound healing biomarkers for real-time assessment of periodontal regeneration: Pilot study. J. Periodontal Res. 2016, 52, 388–396. [Google Scholar] [CrossRef] [PubMed]
- Nwomeh, B.C.; Liang, H.-X.; Cohen, I.; Yager, D.R. MMP-8 Is the Predominant Collagenase in Healing Wounds and Nonhealing Ulcers. J. Surg. Res. 1999, 81, 189–195. [Google Scholar] [CrossRef] [PubMed]
- Giray, C.B.; Atasever, A.; Durgun, B.; Araz, K. Clinical and electron microscope comparison of silk sutures and n-butyl-2-cyanoacrylate in human mucosa. Aust. Dent. J. 1997, 42, 255–258. [Google Scholar] [CrossRef] [PubMed]
- Kumar, M.S.; Natta, S.; Shankar, G.; Reddy, S.H.; Visalakshi, D.; Seshiah, G.V. Comparison between Silk Sutures and Cyanoacrylate Adhesive in Human Mucosa-A Clinical and Histological Study. J. Int. Oral Health 2013, 5, 95–100. [Google Scholar]
- Byrne, M.; Aly, A. The Surgical Suture. Aesthetic Surg. J. 2019, 39, S67–S72. [Google Scholar] [CrossRef]
- Austin, P.E.; Dunn, K.A.; Eily-Cofield, K.; Brown, C.K.; Wooden, W.A.; Bradfield, J.F. Subcuticular sutures and the rate of inflammation in noncontaminated wounds. Ann. Emerg. Med. 1995, 25, 328–330. [Google Scholar] [CrossRef]
- Leknes, K.N.; Selvig, K.A.; Bøe, O.E.; Wikesjö, U.M.E. Tissue reactions to sutures in the presence and absence of anti-infective therapy. J. Clin. Periodontol. 2005, 32, 130–138. [Google Scholar] [CrossRef]
- Atieh, M.A.; Alsabeeha, N.; Tawse-Smith, A.; Payne, A.G.T. Xenogeneic collagen matrix for periodontal plastic surgery procedures: A systematic review and metaanalysis. J. Periodont. Res. 2016, 51, 438–452. [Google Scholar] [CrossRef] [PubMed]
- Aroca, S.; Barbieri, A.; Clementini, M.; Renouard, F.; de Sanctis, M. Treatment of class III multiple gingival recessions: Prognostic factors for achieving a Complete Root Coverage. J. Clin. Periodontol. 2018, 45, 861–868. [Google Scholar] [CrossRef] [PubMed]
- Aroca, S.; Keglevich, T.; Nikolidakis, D.; Gera, I.; Nagy, K.; Azzi, R.; Etienne, D. Treatment of class III multiple gingival recessions: A randomized-clinical trial. J. Clin. Periodontol. 2010, 37, 88–97. [Google Scholar] [CrossRef] [PubMed]





| Baseline | 1 Week | 2 Weeks | 4 Weeks | 3 Months | p | |
|---|---|---|---|---|---|---|
| MMP1 SCTG | 0.715 (0.358) | 0.668 (0.409) | 0.530 (0.225) | 0.612 (0.241) | 0.634 (0.259) | 0.007 |
| MMP1 CM | 0.723 (0.357) | 0.906 (0.473) | 0.500 (0.206) | 0.565 (0.292) | 0.653 (0.188) | <0.001 |
| p | 0.989 | 0.033 | 0.516 | 0.935 | 0.881 | |
| MMP8 SCGT | 12.466 (5.485) | 29.865 (29.298) | 20.744 (16.447) | 12.495 (16.278) | 16.977 (11.830) | <0.001 |
| MMP8 CM | 13.953 (8.732) | 29.437 (21.936) | 18.762 (17.224) | 13.960 (22.595) | 16.581 (14.241) | 0.007 |
| p | 0.903 | 0.694 | 0.597 | 0.830 | 0.481 | |
| SFFR SCTG | 49.250 (25.484) | 111.400 (36.391) | 68.950 (21.172) | 54.100 (28.672) | 57.150 (20.716) | <0.001 |
| SFFR CM | 50.650 (22.716) | 123.650 (40.257) | 85.750 (35.626) | 64.550 (40.113) | 62.550 (29.709) | <0.001 |
| p | 0.694 | 0.674 | 0.159 | 0.490 | 0.704 |
| Baseline | 3 Months | p | ||
|---|---|---|---|---|
| GR SCTG | 20n | 1.95 (0.74) | 0.62 (0.82) | <0.001 |
| GR CM | 20n | 1.90 (0.69) | 0.92 (0.78) | <0.001 |
| p | 0.5868 | 0.2121 | ||
| GRred SCTG | 1.91 (0.74) | |||
| GRred CM | 1.88 (0.68) | |||
| p | 0.8960 | |||
| MRC SCTG | 72.22 (35.47) | |||
| MRC CM | 54.50 (39.90) | |||
| p | 0.1606 | |||
| RW SCGT | 3.00 (0.77) | 1.25 (1.49) | <0.001 | |
| RW CM | 2.95 (0.80) | 1.90 (1.57) | 0.005 | |
| p | 0.6572 | 0.2135 | ||
| PD SCGT | 1.72 (0.41) | 2.07 (0.69) | 0.046 | |
| PD CM | 1.45 (0.45) | 1.60 (0.57) | 0.224 | |
| p | 0.0544 | 0.0192 | ||
| CAL SCGT | 3.67 (0.73) | 2.70 (1.00) | 0.001 | |
| CAL CM | 3.35 (0.94) | 2.52 (1.04) | 0.006 | |
| p | 0.0813 | 0.8139 | ||
| KT SCGT | 1.30 (0.71) | 2.22 (1.22) | 0.001 | |
| KT CM | 1.50 (0.56) | 1.77 (0.88) | 0.064 | |
| p | 0.4190 | 0.3273 | ||
| KT gain SCGT | 0.92 (1.20) | |||
| KT gain CM | 0.27 (0.57) | |||
| p | 0.0750 | |||
| GT SCGT | 0.77 (0.34) | 2.05 (0.48) | <0.001 | |
| GT CM | 0.82 (0.33) | 1.32 (0.40) | <0.001 | |
| p | 0.5990 | <0.001 | ||
| GT gain SCGT | 0.03 (0.16) | |||
| GT gain CM | 0.00 (0.18) | |||
| p | 0.5782 | |||
| PI SCGT | 0.02 (0.07) | 0.12 (0.20) | 0.043 | |
| PI CM | 0.06 (0.13) | 0.08 (0.14) | 0.422 | |
| p | 0.3709 | 0.6811 | ||
| MBI SCGT | 0.01 (0.05) | 0.03 (0.09) | 0.179 | |
| MBI CM | 0.02 (0.07) | 0.01 (0.05) | 0.592 | |
| p | 0.5733 | 0.3101 | ||
| BOP SCGT | 0.06 (0.17) | 0.10 (0.14) | 0.374 | |
| BOP CM | 0.10 (0.18) | 0.10 (0.17) | 1.000 | |
| p | 0.2978 | 0.8664 | ||
Publisher’s Note: MDPI stays neutral with regard to jurisdictional claims in published maps and institutional affiliations. |
© 2021 by the authors. Licensee MDPI, Basel, Switzerland. This article is an open access article distributed under the terms and conditions of the Creative Commons Attribution (CC BY) license (https://creativecommons.org/licenses/by/4.0/).
Share and Cite
Skurska, A.; Dymicka-Piekarska, V.; Milewski, R.; Pietruska, M. Dynamics of Matrix Metalloproteinase-1 and -8 Secretion in Gingival Crevicular Fluid after Gingival Recession Therapy via MCAT with Either Subepithelial Connective Tissue Graft or Collagen Matrix. Biomolecules 2021, 11, 731. https://doi.org/10.3390/biom11050731
Skurska A, Dymicka-Piekarska V, Milewski R, Pietruska M. Dynamics of Matrix Metalloproteinase-1 and -8 Secretion in Gingival Crevicular Fluid after Gingival Recession Therapy via MCAT with Either Subepithelial Connective Tissue Graft or Collagen Matrix. Biomolecules. 2021; 11(5):731. https://doi.org/10.3390/biom11050731
Chicago/Turabian StyleSkurska, Anna, Violetta Dymicka-Piekarska, Robert Milewski, and Małgorzata Pietruska. 2021. "Dynamics of Matrix Metalloproteinase-1 and -8 Secretion in Gingival Crevicular Fluid after Gingival Recession Therapy via MCAT with Either Subepithelial Connective Tissue Graft or Collagen Matrix" Biomolecules 11, no. 5: 731. https://doi.org/10.3390/biom11050731
APA StyleSkurska, A., Dymicka-Piekarska, V., Milewski, R., & Pietruska, M. (2021). Dynamics of Matrix Metalloproteinase-1 and -8 Secretion in Gingival Crevicular Fluid after Gingival Recession Therapy via MCAT with Either Subepithelial Connective Tissue Graft or Collagen Matrix. Biomolecules, 11(5), 731. https://doi.org/10.3390/biom11050731
