Changes of Metabolic Biomarker Levels upon One-Year Anti-TNF-α Therapy in Rheumatoid Arthritis and Ankylosing Spondylitis: Associations with Vascular Pathophysiology
Abstract
1. Introduction
2. Patients and Methods
2.1. Patients
2.2. Clinical Assessment
2.3. Laboratory Measurements
2.4. Assessment of Vascular Physiology by Ultrasound
2.5. Statistical Analysis
3. Results
3.1. Patient Demographics
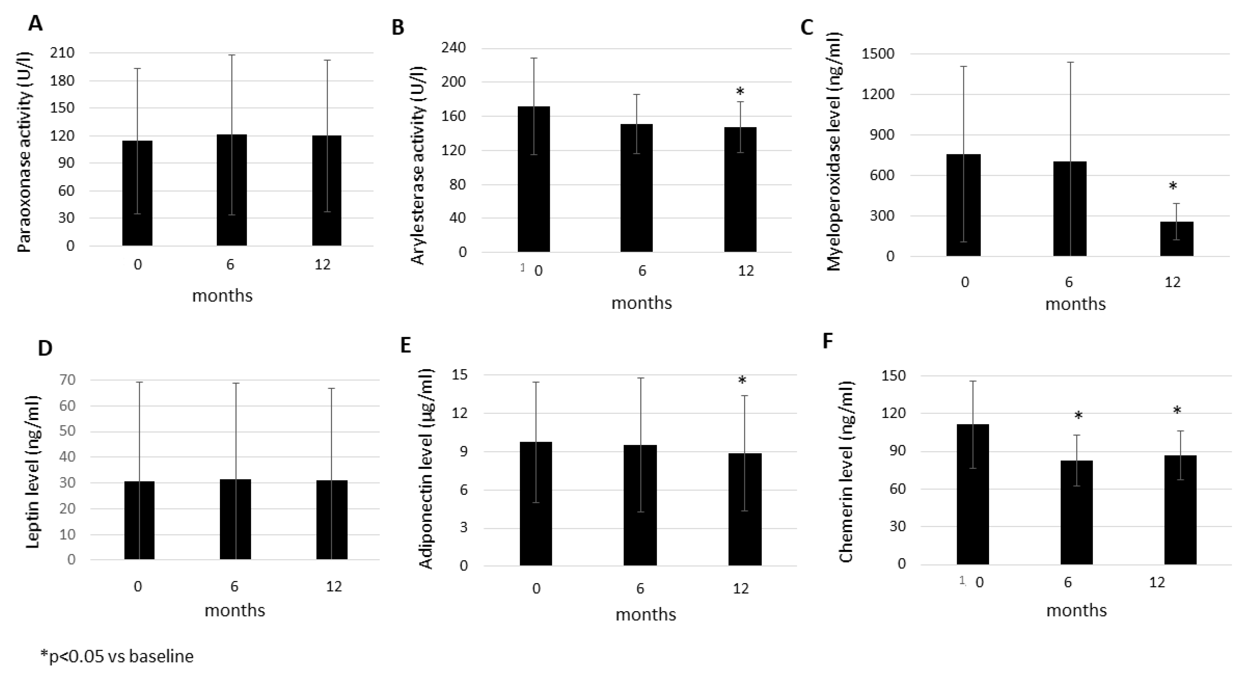
3.2. Effects of TNF Inhibition on Circulating Metabolic Biomarkers
3.3. Associations of Metabolic Biomarkers with Disease Activity, Vascular Pathophysiology, and Other Parameters
4. Discussion
5. Conclusions
Author Contributions
Funding
Institutional Review Board Statement
Informed Consent Statement
Data Availability Statement
Conflicts of Interest
Abbreviations
References
- Agca, R.; Heslinga, S.C.; Rollefstad, S.; Heslinga, M.; McInnes, I.B.; Peters, M.J.L.; Kvien, T.K.; Dougados, M.; Radner, H.; Atzeni, F. Eular recommendations for cardiovascular disease risk management in patients with rheumatoid arthritis and other forms of inflammatory joint disorders: 2015/2016 update. Ann. Rheum. Dis. 2017, 76, 17–28. [Google Scholar] [CrossRef]
- Castaneda, S.; Nurmohamed, M.T.; Gonzalez-Gay, M.A. Cardiovascular disease in inflammatory rheumatic diseases. Best Pract. Res. Clin. Rheumatol. 2016, 30, 851–869. [Google Scholar] [CrossRef]
- Nurmohamed, M.T.; Heslinga, M.; Kitas, G.D. Cardiovascular comorbidity in rheumatic diseases. Nat. Rev. Rheumatol. 2015, 11, 693–704. [Google Scholar] [CrossRef] [PubMed]
- Kerekes, G.; Soltész, P.; Nurmohamed, M.T.; Gonzalez-Gay, M.A.; Turiel, M.; Végh, E.; Shoenfeld, Y.; McInnes, I.; Szekanecz, Z. Validated methods for assessment of subclinical atherosclerosis in rheumatology. Nat. Rev. Rheumatol. 2012, 8, 224–234. [Google Scholar] [CrossRef] [PubMed]
- Kerekes, G.; Nurmohamed, M.T.; González-Gay, M.A.; Seres, I.; Paragh, G.; Kardos, Z.; Baráth, Z.; Tamási, L.; Soltész, P.; Szekanecz, Z. Rheumatoid arthritis and metabolic syndrome. Nat. Rev. Rheumatol. 2014, 10, 691–696. [Google Scholar] [CrossRef] [PubMed]
- Ferraz-Amaro, I.; Gonzalez-Juanatey, C.; Lopez-Mejias, R.; Riancho-Zarrabeitia, L.; Gonzalez-Gay, M.A. Metabolic syndrome in rheumatoid arthritis. Mediat. Inflamm. 2013, 2013, 710928. [Google Scholar] [CrossRef] [PubMed]
- García-Chagollán, M.; Hernández-Martínez, S.E.; Rojas-Romero, A.E.; Muñoz-Valle, J.F.; Sigala-Arellano, R.; Cerpa-Cruz, S.; Morales-Núñez, J.J.; Lomelí-Nieto, J.A.; Ojeda, G.M.; Hernández-Bello, J. Metabolic syndrome in rheumatoid arthritis patients: Relationship among its clinical components. J. Clin. Lab. Anal. 2021, 35, e23666. [Google Scholar] [CrossRef] [PubMed]
- Carbone, F.; Bonaventura, A.; Liberale, L.; Paolino, S.; Torre, F.; Dallegri, F.; Montecucco, F.; Cutolo, M. Atherosclerosis in rheumatoid arthritis: Promoters and opponents. Clin. Rev. Allergy Immunol. 2020, 58, 1–14. [Google Scholar] [CrossRef]
- Fragoulis, G.E.; Panayotidis, I.; Nikiphorou, E. Cardiovascular risk in rheumatoid arthritis and mechanistic links: From pathophysiology to treatment. Curr. Vasc. Pharmacol. 2020, 18, 431–446. [Google Scholar] [CrossRef]
- Mason, J.C.; Libby, P. Cardiovascular disease in patients with chronic inflammation: Mechanisms underlying premature cardiovascular events in rheumatologic conditions. Eur. Heart J. 2015, 36, 482–489. [Google Scholar] [CrossRef]
- Kerekes, G.; Szekanecz, Z.; Dér, H.; Sándor, Z.; Lakos, G.; Muszbek, L.; Csipö, I.; Sipka, S.; Seres, I.; Paragh, G.; et al. Endothelial dysfunction and atherosclerosis in rheumatoid arthritis: A multiparametric analysis using imaging techniques and laboratory markers of inflammation and autoimmunity. J. Rheumatol. 2008, 35, 398–406. [Google Scholar] [PubMed]
- Dixon, W.G.; Watson, K.D.; Lunt, M.; Hyrich, K.L.; Silman, A.J.; Symmons, D.P. Reduction in the incidence of myocardial infarction in patients with rheumatoid arthritis who respond to anti-tumor necrosis factor alpha therapy: Results from the british society for rheumatology biologics register. Arthritis Rheum. 2007, 56, 2905–2912. [Google Scholar] [CrossRef] [PubMed]
- Greenberg, J.D.; Kremer, J.M.; Curtis, J.R.; Hochberg, M.C.; Reed, G.; Tsao, P.; Farkouh, M.E.; Nasir, A.; Setoguchi, S.; Solomon, D.H. Tumour necrosis factor antagonist use and associated risk reduction of cardiovascular events among patients with rheumatoid arthritis. Ann. Rheum. Dis. 2011, 70, 576–582. [Google Scholar] [CrossRef]
- Szekanecz, Z.; Kerekes, G.; Soltesz, P. Vascular effects of biologic agents in ra and spondyloarthropathies. Nat. Rev. Rheumatol. 2009, 5, 677–684. [Google Scholar] [CrossRef]
- Roubille, C.; Richer, V.; Starnino, T.; McCourt, C.; McFarlane, A.; Fleming, P.; Siu, S.; Kraft, J.; Lynde, C.; Pope, J.; et al. The effects of tumour necrosis factor inhibitors, methotrexate, non-steroidal anti-inflammatory drugs and corticosteroids on cardiovascular events in rheumatoid arthritis, psoriasis and psoriatic arthritis: A systematic review and meta-analysis. Ann. Rheum. Dis. 2015, 74, 480–489. [Google Scholar] [CrossRef]
- Myasoedova, E.; Crowson, C.S.; Kremers, H.M.; Roger, V.L.; Fitz-Gibbon, P.D.; Therneau, T.M.; Gabriel, S.E. Lipid paradox in rheumatoid arthritis: The impact of serum lipid measures and systemic inflammation on the risk of cardiovascular disease. Ann. Rheum. Dis. 2011, 70, 482–487. [Google Scholar] [CrossRef]
- Robertson, J.; Peters, M.J.; McInnes, I.B.; Sattar, N. Changes in lipid levels with inflammation and therapy in ra: A maturing paradigm. Nat. Rev. Rheumatol. 2013, 9, 513–523. [Google Scholar] [CrossRef]
- Peters, M.J.L.; Vis, M.; van Halm, V.P.; Wolbink, G.J.; Voskuyl, A.E.; Lems, W.F.; Dijkmans, B.A.C.; Twisk, J.W.R.; de Koning, M.H.M.T.; van de Stadt, R.J.; et al. Changes in lipid profile during infliximab and corticosteroid treatment in rheumatoid arthritis. Ann. Rheum. Dis. 2007, 66, 958–961. [Google Scholar] [CrossRef]
- Gabay, C.; McInnes, I.B.; Kavanaugh, A.; Tuckwell, K.; Klearman, M.; Pulley, J.; Sattar, N. Comparison of lipid and lipid-associated cardiovascular risk marker changes after treatment with tocilizumab or adalimumab in patients with rheumatoid arthritis. Ann. Rheum. Dis. 2016, 75, 1806–1812. [Google Scholar] [CrossRef]
- McInnes, I.B.; Kim, H.-Y.; Lee, S.-H.; Mandel, D.; Song, Y.-W.; Connell, C.A.; Luo, Z.; Brosnan, M.J.; Zuckerman, A.; Zwillich, S.H.; et al. Open-label tofacitinib and double-blind atorvastatin in rheumatoid arthritis patients: A randomised study. Ann. Rheum. Dis. 2014, 73, 124–131. [Google Scholar] [CrossRef] [PubMed]
- Harangi, M.; Seres, I.; Varga, Z.; Emri, G.; Szilvássy, Z.; Paragh, G.; Remenyik, É. Atorvastatin effect on high-density lipoprotein-associated paraoxonase activity and oxidative DNA damage. Eur. J. Clin. Pharmacol. 2004, 60, 685–691. [Google Scholar] [CrossRef]
- Eckerson, H.W.; Romson, J.; Wyte, C.; La Du, B.N. The human serum paraoxonase polymorphism: Identification of phenotypes by their response to salts. Am. J. Hum. Genet. 1983, 35, 214–227. [Google Scholar]
- Tanimoto, N.; Kumon, Y.; Suehiro, T.; Ohkubo, S.; Ikeda, Y.; Nishiya, K.; Hashimoto, K. Serum paraoxonase activity decreases in rheumatoid arthritis. Life Sci. 2003, 72, 2877–2885. [Google Scholar] [CrossRef]
- Isik, A.; Koca, S.S.; Ustundag, B.; Celik, H.; Yildirim, A. Paraoxonase and arylesterase levels in rheumatoid arthritis. Clin. Rheumatol. 2007, 26, 342–348. [Google Scholar] [CrossRef]
- Olama, S.M.; Elarman, M.M. Evaluation of paraoxonase and arylesterase activities in egyptian patients with ankylosing spondylitis. Rheumatol. Int. 2013, 33, 1487–1494. [Google Scholar] [CrossRef]
- Cece, H.; Yazgan, P.; Karakas, E.; Karakas, O.; Demirkol, A.; Toru, I.; Aksoy, N. Carotid intima-media thickness and paraoxonase activity in patients with ankylosing spondylitis. Clin. Investig. Med. 2011, 34, E225. [Google Scholar] [CrossRef] [PubMed]
- Charles-Schoeman, C.; Wang, J.; Shahbazian, A.; Lee, Y.Y.; Wang, X.; Grijalva, V.; Brahn, E.; Shih, D.M.; Devarajan, A.; Montano, C.; et al. Suppression of inflammatory arthritis in human serum paraoxonase 1 transgenic mice. Sci. Rep. 2020, 10, 16848. [Google Scholar] [CrossRef] [PubMed]
- Charles-Schoeman, C.; Lee, Y.Y.; Shahbazian, A.; Wang, X.; Elashoff, D.; Curtis, J.R.; Navarro-Millán, I.; Yang, S.; Chen, L.; Cofield, S.S.; et al. Improvement of high-density lipoprotein function in patients with early rheumatoid arthritis treated with methotrexate monotherapy or combination therapies in a randomized controlled trial. Arthritis Rheumatol. 2017, 69, 46–57. [Google Scholar] [CrossRef] [PubMed]
- El-Banna, H.; Jiman-Fatani, A. Anti-cyclic citrullinated peptide antibodies and paraoxonase-1 polymorphism in rheumatoid arthritis. BMC Musculoskelet. Disord. 2014, 15, 379. [Google Scholar] [CrossRef]
- Popa, C.; van Tits, L.J.H.; Barrera, P.; Lemmers, H.L.M.; van den Hoogen, F.H.J.; van Riel, P.L.C.M.; Radstake, T.R.D.J.; Netea, M.G.; Roest, M.; Stalenhoef, A.F.H. Anti-inflammatory therapy with tumour necrosis factor alpha inhibitors improves high-density lipoprotein cholesterol antioxidative capacity in rheumatoid arthritis patients. Ann. Rheum. Dis. 2009, 68, 868–872. [Google Scholar] [CrossRef]
- Bacchetti, T.; Campanati, A.; Ferretti, G.; Simonetti, O.; Liberati, G.; Offidani, A.M. Oxidative stress and psoriasis: The effect of antitumour necrosis factor-alpha inhibitor treatment. Br. J. Dermatol. 2013, 168, 984–989. [Google Scholar] [CrossRef]
- Nambi, V. The use of myeloperoxidase as a risk marker for atherosclerosis. Curr. Atheroscler. Rep. 2005, 7, 127–131. [Google Scholar] [CrossRef]
- Winterbourn, C.C.; Vissers, M.C.; Kettle, A.J. Myeloperoxidase. Curr. Atheroscler. Rep. 2000, 7, 53–58. [Google Scholar] [CrossRef]
- Zsíros, N.; Koncsos, P.; Lőrincz, H.; Seres, I.; Katkó, M.; Szentpéteri, A.; Varga, V.E.; Fülöp, P.; Paragh, G.; Harangi, M. Paraoxonase-1 arylesterase activity is an independent predictor of myeloperoxidase levels in overweight patients with or without cardiovascular complications. Clin. Biochem. 2016, 49, 862–867. [Google Scholar] [CrossRef]
- Fernandes, R.M.; da Silva, N.P.; Sato, E.I. Increased myeloperoxidase plasma levels in rheumatoid arthritis. Rheumatol. Int. 2012, 32, 1605–1609. [Google Scholar] [CrossRef]
- Stamp, L.K.; Khalilova, I.; Tarr, J.M.; Senthilmohan, R.; Turner, R.; Haigh, R.C.; Winyard, P.G.; Kettle, A.J. Myeloperoxidase and oxidative stress in rheumatoid arthritis. Rheumatology 2012, 51, 1796–1803. [Google Scholar] [CrossRef] [PubMed]
- Turunen, S.; Huhtakangas, J.; Nousiainen, T.; Valkealahti, M.; Melkko, J.; Risteli, J.; Lehenkari, P. Rheumatoid arthritis antigens homocitrulline and citrulline are generated by local myeloperoxidase and peptidyl arginine deiminases 2, 3 and 4 in rheumatoid nodule and synovial tissue. Arthritis Res. Ther. 2016, 18, 239. [Google Scholar] [CrossRef] [PubMed]
- Cambridge, G.; Williams, M.; Leaker, B.; Corbett, M.; Smith, C.R. Anti-myeloperoxidase antibodies in patients with rheumatoid arthritis: Prevalence, clinical correlates, and igg subclass. Ann. Rheum. Dis. 1994, 53, 24–29. [Google Scholar] [CrossRef] [PubMed]
- Gomez, R.; Conde, J.; Scotece, M.; Gomez-Reino, J.J.; Lago, F.; Gualillo, O. What’s new in our understanding of the role of adipokines in rheumatic diseases? Nat. Rev. Rheumatol. 2011, 7, 528–536. [Google Scholar] [CrossRef] [PubMed]
- Bajnok, L.; CsongradidI, E.; Seres, L.; Varga, Z.; Jeges, S.; Peti, A.; Karanyi, Z.; Juhasz, A.; Mezosi, E.; Nagy, E.V.; et al. Relationship of adiponectin to serum paraoxonase 1. Atherosclerosis 2008, 197, 363–367. [Google Scholar] [CrossRef] [PubMed]
- Bajnok, L.; Seres, I.; Varga, Z.; Jeges, S.; Peti, A.; Karanyi, Z.; Juhasz, A.; Csongradi, E.; Mezosi, E.; Nagy, E.V.; et al. Relationship of endogenous hyperleptinemia to serum paraoxonase 1, cholesteryl ester transfer protein, and lecithin cholesterol acyltransferase in obese individuals. Metabolism 2007, 56, 1542–1549. [Google Scholar] [CrossRef] [PubMed]
- Kaneko, K.; Miyabe, Y.; Takayasu, A.; Fukuda, S.; Miyabe, C.; Ebisawa, M.; Yokoyama, W.; Watanabe, K.; Imai, T.; Muramo-to, K.; et al. Chemerin activates fibroblast-like synoviocytes in patients with rheumatoid arthritis. Arthritis Res. Ther. 2011, 13, R158. [Google Scholar] [CrossRef]
- Dessein, P.H.; Tsang, L.; Woodiwiss, A.J.; Norton, G.R.; Solomon, A. Circulating concentrations of the novel adipokine chemerin are associated with cardiovascular disease risk in rheumatoid arthritis. J. Rheumatol. 2014, 41, 1746–1754. [Google Scholar] [CrossRef] [PubMed]
- Herenius, M.M.; Oliveira, A.S.; Wijbrandts, C.A.; Gerlag, D.M.; Tak, P.P.; Lebre, M.C. Anti-tnf therapy reduces serum levels of chemerin in rheumatoid arthritis: A new mechanism by which anti-tnf might reduce inflammation. PLoS ONE 2013, 8, e57802. [Google Scholar] [CrossRef]
- Fioravanti, A.; Tenti, S.; Bacarelli, M.R.; Damiani, A.; Gobbi, F.L.; Bandinelli, F.; Cheleschi, S.; Galeazzi, M.; Benucci, M. Tocilizumab modulates serum levels of adiponectin and chemerin in patients with rheumatoid arthritis: Potential cardiovascular protective role of il-6 inhibition. Clin. Exp. Rheumatol. 2019, 37, 293–300. [Google Scholar]
- Gonzalez-Gay, M.A.; Garcia-Unzueta, M.T.; Berja, A.; Gonzalez-Juanatey, C.; Miranda-Filloy, J.A.; Vazquez-Rodriguez, T.R.; de Matias, J.M.; Martin, J.; Dessein, P.H.; Llorca, J.; et al. Anti-tnf-alpha therapy does not modulate leptin in patients with severe rheumatoid arthritis. Clin. Exp. Rheumatol. 2009, 27, 222–228. [Google Scholar]
- Végh, E.; Kerekes, G.; Pusztai, A.; Hamar, A.; Szamosi, S.; Váncsa, A.; Bodoki, L.; Pogácsás, L.; Balázs, F.; Hodosi, K.; et al. Effects of 1-year anti-tnf-alpha therapy on vascular function in rheumatoid arthritis and ankylosing spondylitis. Rheumatol. Int. 2020, 40, 427–436. [Google Scholar] [CrossRef]
- Bodnár, N.; Kerekes, G.; Seres, I.; Paragh, G.; Kappelmayer, J.; Némethné, Z.G.; Szegedi, G.; Shoenfeld, Y.; Sipka, S.; Soltész, P.; et al. Assessment of subclinical vascular disease associated with ankylosing spondylitis. J. Rheumatol. 2011, 38, 723–729. [Google Scholar] [CrossRef]
- Peters, M.J.; Smulders, Y.M.; Serne, E.; Dijkmans, B.A.; van der Horst-Bruinsma, I.E.; Nurmohamed, M.T. Signs of accelerated preclinical atherosclerosis in patients with ankylosing spondylitis. J. Rheumatol. 2010, 37, 161–166. [Google Scholar] [CrossRef] [PubMed]
- Harangi, M.; Seres, I.; Magyar, M.T.; Csipo, I.; Sipka, S.; Valikovics, A.; Csiba, L.; Bereczki, D.; Paragh, G. Association between human paraoxonase 1 activity and intima-media thickness in subjects under 55 years of age with carotid artery disease. Cerebrovasc. Dis. 2008, 25, 122–128. [Google Scholar] [CrossRef] [PubMed]
- Prevoo, M.L.L.; Van’T Hof, M.; Kuper, H.H.; Van Leeuwen, M.A.; Van De Putte, L.B.A.; Van Riel, P.L.C.M. Modified disease activity scores that include twenty-eight-joint counts. Development and validation in a prospective longitudinal study of patients with rheumatoid arthritis. Arthritis Rheum. 1995, 38, 44–48. [Google Scholar] [CrossRef]
- Garrett, S.; Jenkinson, T.; Kennedy, L.G.; Whitelock, H.; Gaisford, P.; Calin, A. A new approach to defining disease status in ankylosing spondylitis: The bath ankylosing spondylitis disease activity index. J. Rheumatol. 1994, 21, 2286–2291. [Google Scholar]
- Fulop, P.; Seres, I.; Lorincz, H.; Harangi, M.; Somodi, S.; Paragh, G. Association of chemerin with oxidative stress, inflammation and classical adipokines in non-diabetic obese patients. J. Cell Mol. Med. 2014, 18, 1313–1320. [Google Scholar] [CrossRef]
- Szentpéter, A.; Zsíros, N.; Varga, V.E.; Lőrincz, H.; Katkó, M.; Seres, I.; Fülöp, P.; Paragh, G.; Harangi, M. Paraoxonase-1 and myeloperoxidase correlate with vascular biomarkers in overweight patients with newly diagnosed untreated hyperlipidaemia. Vasa 2017, 46, 370–376. [Google Scholar] [CrossRef][Green Version]
- Kang, Y.; Park, H.J.; Kang, M.I.; Lee, H.S.; Lee, S.W.; Lee, S.K.; Park, Y.B. Adipokines, inflammation, insulin resistance, and carotid atherosclerosis in patients with rheumatoid arthritis. Arthritis Res. Ther. 2013, 15, R194. [Google Scholar] [CrossRef]
- Sodergren, A.; Karp, K.; Bengtsson, C.; Moller, B.; Rantapaa-Dahlqvist, S.; Wallberg-Jonsson, S. Biomarkers associated with cardiovascular disease in patients with early rheumatoid arthritis. PLoS ONE 2019, 14, e0220531. [Google Scholar] [CrossRef] [PubMed]
- Iana, A.; Sirbu, E. Linking myeloperoxidase with subclinical atherosclerosis in adults with metabolic syndrome. Wien. Klin. Wochenschr. 2020, 132, 150–154. [Google Scholar] [CrossRef]
- Mäkelä, R.; Loimaala, A.; Nenonen, A.; Mercuri, M.; Vuori, I.; Huhtala, H.; Oja, P.; Bond, G.; Koivula, T.; Lehtimäki, T. The association of myeloperoxidase promoter polymorphism with carotid atherosclerosis is abolished in patients with type 2 diabetes. Clin. Biochem. 2008, 41, 532–537. [Google Scholar] [CrossRef] [PubMed]
- Otero, M.; Lago, R.; Gomez, R.; Lago, F.; Dieguez, C.; Gomez-Reino, J.J.; Gualillo, O. Changes in plasma levels of fat-derived hormones adiponectin, leptin, resistin and visfatin in patients with rheumatoid arthritis. Ann. Rheum. Dis. 2006, 65, 1198–1201. [Google Scholar] [CrossRef]
- Kiortsis, D.N.; Mavridis, A.K.; Filippatos, T.D.; Vasakos, S.; Nikas, S.N.; Drosos, A.A. Effects of infliximab treatment on lipoprotein profile in patients with rheumatoid arthritis and ankylosing spondylitis. J. Rheumatol. 2006, 33, 921–923. [Google Scholar] [PubMed]

| Characteristic Parameter | Rheumatoid Arthritis | Ankylosing Spindylitis | Total |
|---|---|---|---|
| n | 36 | 17 | 53 |
| female:male | 31:5 | 3:14 | 34:19 |
| age (mean ± SD) (range), years | 55.9 ± 9.8 (35–83) | 43.6 ± 12.4 (24–72) | 52.0 ± 12.1 (24–83) |
| disease duration (mean ± SD) (range), years | 9.1 ± 8.3 (1–44) | 7.2 ± 7.0 (1–26) | 8.5 ± 7.9 (1–44) |
| age at diagnosis | 47.0 ± 8.7 (28–62) | 36.4 ± 11.6 (23–50) | 43.5 ± 12.1 (23–62) |
| smoking (current) | 7 | 7 | 14 |
| positive history of cardiovascular disease | 8 | 1 | 9 |
| BMI (mean ± SD), kg/m2 | 29.3 ± 3.6 | 31.1 ± 3.8 | 29.9 ± 3.7 |
| obesity (BMI > 30 kg/m2) | 17 | 11 | 28 |
| diabetes mellitus history | 3 | 1 | 4 |
| hypertension history | 17 | 4 | 21 |
| baseline plasma total cholesterol (mmol/L) | 5.65 ± 1.92 | 5.25 ± 1.34 | 5.52 ± 1.78 |
| baseline plasma LDL-cholesterol (mmol/L) | 3.49 ± 0.92 | 3.37 ± 0.66 | 3.45 ± 0.87 |
| baseline plasma HDL-cholesterol (mmol/L) | 1.58 ± 0.39 | 1.40 ± 0.22 | 1.52 ± 0.34 |
| baseline plasma triglyceride (mmol/L) | 1.62 ± 0.55 | 1.47 ± 0.36 | 1.57 ± 0.41 |
| rheumatoid factor positivity, n (%) | 26 (72) | - | - |
| ACPA positivity, n (%) | 21 (58) | - | - |
| DAS28 (baseline) (mean ± SEM) | 5.00 ± 0.86 | - | - |
| BASDAI (baseline) (mean ± SEM) | - | 5.79 ± 1.19 | - |
| Treatment (etanercept, certolizumab pegol) | 20 ETN, 16 CZP | 17 ETN | 37 ETN, 16 CZP |
| A. Determination of vascular pathophysiology by metabolic markers | |||||||||
| Dependent Variable | Independent Variable | Univariable Analysis | Multivariable Analysis | ||||||
| β | p | B | CI 95% | β | p | B | CI 95% | ||
| IMT-0 | Leptin-0 | 0.372 | 0.015 | 0.001 | 0–0.002 | ||||
| Leptin-6 | 0.361 | 0.019 | 0.001 | 0–0.002 | |||||
| Leptin-12 | 0.381 | 0.013 | 0.001 | 0–0.002 | |||||
| IMT-6 | Triglyceride-0 | 0.348 | 0.018 | 0.062 | 0.011–0.113 | 0.342 | 0.012 | 0.064 | 0.015–0.114 |
| Myeloperoxidase-0 | −0.378 | 0.001 | 0 | −0.382 | 0.006 | 0 | |||
| Myeloperoxidase-6 | −0.294 | 0.042 | 0 | ||||||
| PWV-0 | Total cholesterol-0 | 0.436 | 0.004 | 0.763 | 0.266–1.3 | 0.436 | 0.004 | 0.763 | 0.266–1.3 |
| LDL-cholesterol-0 | 0.360 | 0.019 | 0.665 | 0.115–1.216 | |||||
| Arylesterase-0 | −0.338 | 0.030 | −0.011 | −0.021 to −0.001 | |||||
| PWV-6 | Arylesterase-0 | −0.359 | 0.014 | −0.010 | −0.018 to −0.002 | −0.255 | 0.005 | −0.007 | −0.014–0 |
| Arylesterase-6 | −0.301 | 0.042 | −0.015 | −0.029 to −0.001 | |||||
| Leptin-0 | 0.435 | 0.002 | 0.020 | 0.007–0.032 | |||||
| Leptin-6 | 0.545 | <0.001 | 0.024 | 0.013–0.035 | 0.490 | <0.001 | 0.021 | 0.010–0.030 | |
| Leptin-12 | 0.519 | <0.001 | 0.024 | 0.012–0.035 | |||||
| Leptin/Adiponectin-6 | 0.968 | 0.011 | 0.121 | 0.029–0.212 | |||||
| Leptin/Adiponectin-12 | 0.312 | 0.033 | 0.089 | 0.008–0.170 | |||||
| PWV-12 | Triglyceride-0 | 0.344 | 0.017 | 1.289 | 0.246–2.331 | ||||
| FMD-6 | Triglyceride-6 | −0.291 | 0.040 | −2.214 | −4.424 to −0.004 | ||||
| B. Determination of metabolic biomarkers by disease activity and other parameters | |||||||||
| DependentVariable | Independent Variable | Univariable Analysis | Multivariable Analysis | ||||||
| β | p | B | CI 95% | β | p | B | CI 95% | ||
| Total cholesterol-0 | PWV-0 | 0.436 | 0.004 | 0.242 | 0.082–0.402 | ||||
| Total cholesterol-6 | PWV-0 | 0.471 | 0.002 | 0.324 | 0.130–0.518 | ||||
| Total cholesterol-12 | PWV-0 | 0.339 | 0.028 | 0.190 | 0.021–0.358 | ||||
| HDL-cholesterol-0 | age | 0.291 | 0.035 | 0.010 | 0.001–0.020 | 0.289 | 0.022 | 0.010 | 0.001–0.018 |
| CRP-0 | −0.319 | 0.020 | −0.008 | −0.015 to −0.001 | −0.404 | 0.001 | −0.010 | −0.016 to −0.004 | |
| Cardiovascular history | 0.320 | 0.024 | 0.272 | 0.038–0.506 | |||||
| obesity | −0.413 | 0.003 | −0.343 | −0.563 to −0.123 | −0.319 | 0.003 | −0.319 | −0.521 to −0.118 | |
| HDL-cholesterol-6 | age | 0.317 | 0.021 | 0.012 | 0.002–0.023 | ||||
| disease duration | 0.437 | 0.001 | 0.026 | 0.011–0.041 | 0.437 | 0.001 | 0.026 | 0.011–0.041 | |
| IMT-0 | 0.335 | 0.030 | 1.886 | 0.189–3.583 | |||||
| Cardiovascular history | 0.338 | 0.016 | 0.318 | 0.061–0.575 | |||||
| obesity | −0.399 | 0.004 | −0.367 | −0.612 to −0.122 | |||||
| HDL-cholesterol-12 | age | 0.437 | 0.001 | 0.018 | 0.008–0.028 | 0.370 | 0.006 | 0.015 | 0.004–0.025 |
| disease duration | 0.377 | 0.005 | 0.024 | 0.007–0.040 | |||||
| obesity | −0.369 | 0.008 | −0.361 | −0.625 to −0.097 | −0.281 | 0.034 | −0.275 | −0.528 to −0.021 | |
| Cardiovascular history | 0.341 | 0.015 | 0.331 | 0.066–0.596 | |||||
| LDL-cholesterol-0 | PWV-0 | 0.360 | 0.019 | 0.195 | 0.034–0.357 | ||||
| LDL—cholesterol-6 | PWV-0 | 0.468 | 0.002 | 0.271 | 0.108–0.435 | ||||
| LDL-cholesterol-12 | PWV-0 | 0.426 | 0.005 | 0.213 | 0.069–0.358 | ||||
| Triglyceride-0 | DAS/BASDAI-0 | −0.403 | 0.005 | −0.211 | −0.355 to −0.067 | ||||
| Triglyceride-6 | FMD-6 | −0.291 | 0.040 | −0.038 | −0.077–0 | ||||
| Triglyceride-12 | CRP-6 | 0.742 | <0.001 | 0.105 | 0.078–0.132 | ||||
| CRP-12 | 0.389 | 0.004 | 0.069 | 0.023–0.115 | |||||
| Paraoxonase-0 | age | −0.317 | 0.021 | −2.082 | −3.835 to −0.329 | ||||
| Paraoxonase-6 | age | −0.386 | 0.004 | −2.736 | −4.676 to −0.916 | −0.386 | 0.004 | −2.736 | −4.676 to −0.916 |
| IMT-0 | −0.320 | 0.039 | −0.063 | −0.121 to −0.004 | |||||
| Cardiovascular history | −0.301 | 0.034 | −53.999 | −103.686 to −4.312 | |||||
| Paraoxonase-12 | age | −0.383 | 0.005 | −2.626 | −4.404 to −0.848 | −0.383 | 0.005 | −2.626 | −4.404 to −0.848 |
| Cardiovascular history | −0.276 | 0.050 | −46.751 | –93.96–0.459 | |||||
| Arylesterase-0 | age | −0.372 | 0.007 | −1.768 | −3.020 to −0.516 | −0.372 | 0.007 | −1.768 | −3.020 to −0.516 |
| PWV | −0.338 | 0.030 | −10.126 | −19.248 to −1.005 | |||||
| Cardiovascular history | −0.322 | 0.024 | −37.454 | −69.749 to −5.160 | |||||
| Arylesterase-6 | age | −0.376 | 0.006 | −1.092 | −1.860 to −0.323 | −0.376 | 0.006 | −1.092 | −1.860 to −0.323 |
| PWV-6 | −0.301 | 0.042 | −6.180 | −12.138 to −0.222 | |||||
| Cardiovascular history | −0.353 | 0.013 | −24.614 | −43.729 to −5.499 | |||||
| Arylesterase-12 | Cardiovascular history | −0.297 | 0.038 | −16.903 | −32.840 to −0.967 | ||||
| Leptin-0 | age | 0.276 | 0.045 | 0.887 | 0.019–1.754 | ||||
| IMT-0 | 0.372 | 0.015 | 160.2 | 32.464–287.8 | 0.378 | 0.009 | 162.8 | 42.652–283.0 | |
| obesity | 0.375 | 0.007 | 29.612 | 8.380–50.844 | 0.345 | 0.017 | 25.668 | 4.914–46.422 | |
| Cardiovascular history | 0.280 | 0.049 | 21.946 | 0.116–43.776 | |||||
| Leptin-6 | DAS/BASDAI-6 | 0.322 | 0.020 | 11.664 | 1.932–21.396 | ||||
| IMT-0 | 0.361 | 0.019 | 156.9 | 27.293–286.6 | 0.282 | <0.001 | 122.843 | 22.469–223.216 | |
| PWV-6 | 0.545 | <0.001 | 12.342 | 6.648–18.036 | 0.452 | <0.001 | 10.152 | 4.946–15.358 | |
| obesity | 0.455 | 0.001 | 34.121 | 14.733–53.508 | 0.405 | 0.001 | 30.407 | 13.314–47.499 | |
| Cardiovascular history | 0.317 | 0.025 | 23.594 | 3.095–44.094 | |||||
| Leptin-12 | DAS/BASDAI-12 | 0.277 | 0.006 | 13.124 | 3.972–22.276 | ||||
| CRP-12 | 0.369 | 0.006 | 1.745 | 0.511–2.979 | |||||
| IMT-0 | 0.381 | 0.013 | 162.6 | 36.488–288.8 | 0.307 | 0.003 | 27.713 | 10.345–45.081 | |
| PWV-6 | 0.519 | <0.001 | 11.372 | 5.752–16.992 | 0.425 | 0.001 | 9.373 | 4.083–14.662 | |
| obesity | 0.427 | 0.002 | 31.163 | 12.026–50.300 | 0.376 | 0.003 | 27.713 | 10.345–45.081 | |
| Cardiovascular history | 0.315 | 0.016 | 22.780 | 2.834–42.727 | |||||
| Adiponectin-0 | age | 0.286 | 0.038 | 0.113 | 0.007–0.219 | ||||
| obesity | −0.519 | <0.001 | −4.887 | −7.223 to −2.552 | −0.519 | <0.001 | −4.887 | −7.223 to −2.552 | |
| Adiponectin-6 | obesity | −0.497 | <0.001 | −5.241 | −7.899 to −2.583 | ||||
| Adiponectin-12 | age | 0.348 | 0.011 | 0.134 | 0.0320.235 | ||||
| obesity | −0.495 | <0.001 | −4.573 | −6.900 to −2.246 | −0.495 | <0.001 | −4.573 | −6.900 to −2.246 | |
| Leptin/Adiponectin-6 | PWV-6 | 0.368 | 0.011 | 1.121 | 0.270–1.972 | ||||
| Obesity | 0.509 | <0.001 | 5.286 | 2.689–7.884 | 0.509 | <0.001 | 5.286 | 2.689–7.884 | |
| Leptin/Adiponectin-12 | PWV-6 | 0.312 | 0.033 | 1.095 | 0.094–2.096 | ||||
| Obesity | 0.046 | 0.001 | 5.210 | 2.293–8.128 | 0.046 | 0.001 | 5.210 | 2.293–8.128 | |
| Chemerin-0 | CRP-0 | 0.378 | 0.005 | 0.767 | 0.239–1.295 | ||||
| Chemerin-6 | CRP-0 | 0.320 | 0.020 | 0.385 | 0.064–0.706 | ||||
| CRP-6 | 0.523 | <0.001 | 1.131 | 0.612–1.649 | |||||
| Dependent Variable | Effect | F | p | Partial η2 |
|---|---|---|---|---|
| Total cholesterol 0-12 | Treatment * Leptin-0 | 4.475 | 0.039 | 0.081 |
| HDL-cholesterol 0-12 | Treatment * CRP-0 (inv) | 4.499 | 0.016 | 0.153 |
| Triglyceride 0-12 | Treatment * Leptin/Adiponectin-0 | 6.469 | 0.014 | 0.115 |
| Arylesterase 0-12 | Treatment * DAS28/BASDAI-0 (inv) | 3.315 | 0.046 | 0.131 |
| IMT 0-12 | Treatment * Chemerin-0 | 6.933 | 0.003 | 0.262 |
Publisher’s Note: MDPI stays neutral with regard to jurisdictional claims in published maps and institutional affiliations. |
© 2021 by the authors. Licensee MDPI, Basel, Switzerland. This article is an open access article distributed under the terms and conditions of the Creative Commons Attribution (CC BY) license (https://creativecommons.org/licenses/by/4.0/).
Share and Cite
Czókolyová, M.; Pusztai, A.; Végh, E.; Horváth, Á.; Szentpéteri, A.; Hamar, A.; Szamosi, S.; Hodosi, K.; Domján, A.; Szántó, S.; et al. Changes of Metabolic Biomarker Levels upon One-Year Anti-TNF-α Therapy in Rheumatoid Arthritis and Ankylosing Spondylitis: Associations with Vascular Pathophysiology. Biomolecules 2021, 11, 1535. https://doi.org/10.3390/biom11101535
Czókolyová M, Pusztai A, Végh E, Horváth Á, Szentpéteri A, Hamar A, Szamosi S, Hodosi K, Domján A, Szántó S, et al. Changes of Metabolic Biomarker Levels upon One-Year Anti-TNF-α Therapy in Rheumatoid Arthritis and Ankylosing Spondylitis: Associations with Vascular Pathophysiology. Biomolecules. 2021; 11(10):1535. https://doi.org/10.3390/biom11101535
Chicago/Turabian StyleCzókolyová, Monika, Anita Pusztai, Edit Végh, Ágnes Horváth, Anita Szentpéteri, Attila Hamar, Szilvia Szamosi, Katalin Hodosi, Andrea Domján, Sándor Szántó, and et al. 2021. "Changes of Metabolic Biomarker Levels upon One-Year Anti-TNF-α Therapy in Rheumatoid Arthritis and Ankylosing Spondylitis: Associations with Vascular Pathophysiology" Biomolecules 11, no. 10: 1535. https://doi.org/10.3390/biom11101535
APA StyleCzókolyová, M., Pusztai, A., Végh, E., Horváth, Á., Szentpéteri, A., Hamar, A., Szamosi, S., Hodosi, K., Domján, A., Szántó, S., Kerekes, G., Seres, I., Harangi, M., Paragh, G., Szekanecz, É., Szekanecz, Z., & Szűcs, G. (2021). Changes of Metabolic Biomarker Levels upon One-Year Anti-TNF-α Therapy in Rheumatoid Arthritis and Ankylosing Spondylitis: Associations with Vascular Pathophysiology. Biomolecules, 11(10), 1535. https://doi.org/10.3390/biom11101535

