Melleins—Intriguing Natural Compounds
Abstract
1. Introduction
2. Natural Sources, Isolation, Chemical Characterization and Biological Activities
2.1. Melleins from Fungi
2.2. Melleins from Plants
2.3. Melleins from Insects
2.4. Melleins from Bacteria
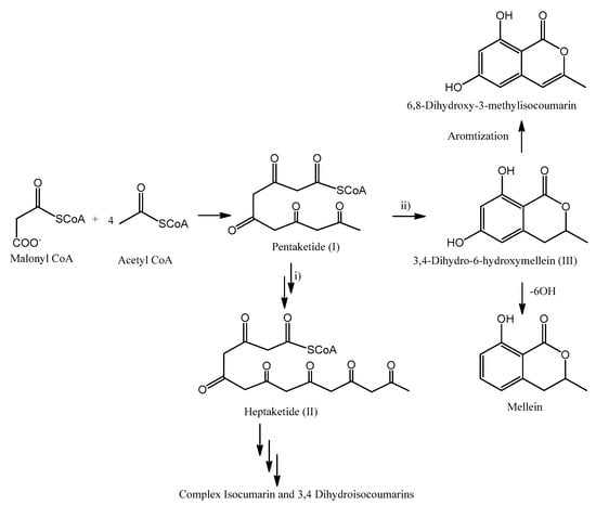
3. Biosynthetic Pathways and Gene Involved in Mellein Production
4. Conclusion and Perspectives
Author Contributions
Funding
Acknowledgments
Conflicts of Interest
References
- Valio, I.F.M. Effect of Endogenous coumarin on the germination of seeds of Coumarouna odorta Aublet. J. Exp. Bot. 1973, 24, 442–449. [Google Scholar] [CrossRef]
- Barry, R.D. Isocoumarins. Developments since 1950. Chem. Rev. 1964, 64, 229–260. [Google Scholar] [CrossRef]
- Nishikawa, H. Biochemistry of filamentous fungi. II: A metabolic product of Aspergillus melleus Yukawa. Part I and Part II. J. Agric. Chem. Soc. Jpn. 1933, 9, 107–109, 148–151. [Google Scholar] [CrossRef]
- Zepnik, H.; Pähler, A.; Schauer, U.; Dekant, W. Ochratoxin A-induced tumor formation: Is there a role of reactive ochratoxin A metabolites? Toxicol. Sci. 2001, 59, 59–67. [Google Scholar] [CrossRef]
- Braca, A.; Bader, A.; De Tommasi, N. Plant and fungi 3,4-dihydroisocoumarins. Bioact. Nat. Prod. 2012, 37, 191–215. [Google Scholar] [CrossRef]
- Saeed, A. Isocoumarins, miraculous natural products blessed with diverse pharmacological activities. Eur. J. Med. Chem. 2016, 116, 290–317. [Google Scholar] [CrossRef] [PubMed]
- Saeed, J.S. Fungal volatiles–a survey from edible mushrooms to moulds. Nat. Prod. Rep. 2017, 34, 310–328. [Google Scholar]
- Pal, S.; Chatare, V.; Pal, M. Isocoumarin and its derivatives: An overview on their synthesis and applications. Curr. Org. Chem. 2011, 15, 782–800. [Google Scholar] [CrossRef]
- Saddiqa, A.; Usman, M.; Çakmak, O. Isocoumarins and 3,4-dihydroisocoumarins, amazing natural products: A review. Turk. J. Chem. 2017, 41, 153–178. [Google Scholar] [CrossRef]
- Ortiz, A.; Castro, M.; Sansinenea, E. 3,4-Dihydroisocoumarins, interesting natural products: Isolation, organic syntheses and biological activities. Curr. Org. Synth. 2019, 16, 112–129. [Google Scholar] [CrossRef]
- Blair, J.; Newbold, G.T. Lactones. Part II. The structure of mellein. J. Chem. Soc. 1955, 2871. [Google Scholar] [CrossRef]
- Arakawa, H. Absolute configuration of mullein. Bull. Chem. Soc. Jpn. 1968, 41, 2541. [Google Scholar] [CrossRef]
- Arakawa, H.; Torimoto, N.; Masui, Y. Absolute configuration of optically active, naturally occurring dihydroisocoumarins. II. Determination of the absolute configuration of agrimonolide and mellein. Liebigs Ann. Chem. 1969, 728, 152–157. [Google Scholar] [CrossRef]
- Patterson, E.L.; Andres, W.W.; Bohonos, N. Isolation of the optical antipode of mellein from an unidentified fungus. Cell. Mol. Life Sci. 1966, 22, 209–210. [Google Scholar] [CrossRef] [PubMed]
- Grove, J.F.; Pople, M. Metabolic products of Fusarium larvarum fuckel. The fusarentins and the absolute configuration of monocerin. J. Chem. Soc. Perkin Trans. 1979, 1, 2048–2051. [Google Scholar] [CrossRef]
- Aue, R.; Mauli, R.; Sigg, H.P. Production of 6-methoxy-mellein by Sporormia bipartis Cain. Cell. Mol. Life Sci. 1966, 22, 575. [Google Scholar] [CrossRef] [PubMed]
- Ballio, A.; Barcellona, S.; Santurbano, B. 5-Methylmellein, a new natural dihydroisocoumarin. Tetrahedron Lett. 1966, 7, 3723–3726. [Google Scholar] [CrossRef]
- McGahren, W.J.; Mitscher, L.A. Dihydroisocoumarins from a Sporormia fungus. J. Org. Chem. 1968, 33, 1577–1580. [Google Scholar] [CrossRef]
- Sasaki, M.; Kaneko, Y.; Oshita, K.; Takamatsu, H.; Asao, Y.; Yokotsuka, T. Studies on the compounds produced by molds. Agric. Biol. Chem. 1970, 34, 1296–1300. [Google Scholar] [CrossRef]
- Aldridge, D.C.; Galt, S.; Giles, D.; Turner, W.B. Metabolites of Lasiodiplodia theobromae. J. Chem. Soc. C 1971, 1623. [Google Scholar] [CrossRef]
- Cole, R.J.; Moore, J.H.; Davis, N.D.; Kirksey, J.W.; Diener, U.L. 4-Hydroxymellein. New metabolite of Aspergillus ochraceus. J. Agric. Food Chem. 1971, 19, 909–911. [Google Scholar] [CrossRef]
- Moore, J.H.; Davis, N.D.; Diener, U.L. Mellein and 4-Hydroxymellein production by Aspergillus ochraceus Wilhelm. Appl. Microbiol. 1972, 23, 1067–1072. [Google Scholar] [CrossRef] [PubMed]
- Camarda, L.; Merlini, L.; Nasini, G. Metabolites of Cercospora. Taiwapyrone, an α-pyrone of unusual structure from Cercospora taiwanensis. Phytochemistry 1976, 15, 537–539. [Google Scholar] [CrossRef]
- Assante, G.; Locci, R.; Camarda, L.; Merlini, L.; Nasini, G. Screening of the genus Cercospora for secondary metabolites. Phytochemistry 1977, 16, 243–247. [Google Scholar] [CrossRef]
- Devys, M.; Bousquet, J.F.; Kollmann, A.; Barbier, M. Dihydroisocoumarins and mycophenolic acid of the culture medium of the plant pathogenic fungus Septoria nodorum. Phytochemistry 1980, 19, 2221–2222. [Google Scholar] [CrossRef]
- Anderson, J.R.; Edwards, R.L.; Whalley, A.J. Metabolites of the higher fungi. Part 21. 3-Methyl-3, 4-dihydroisocoumarins and related compounds from the ascomycete family Xylariaceae. J. Chem. Soc. Perkin Trans. 1 1983, 2185–2192. [Google Scholar] [CrossRef]
- Claydon, N.; Grove, J.F.; Pople, M. Elm bark beetle boring and feeding deterrents from Phomopsis oblonga. Phytochemistry 1985, 24, 937–943. [Google Scholar] [CrossRef]
- Okuno, T.; Oikawa, S.; Goto, T.; Sawai, K.; Shirahama, H.; Matsumoto, T. Structures and phytotoxicity of metabolites from Valsa ceratosperma. Agric. Biol. Chem. 1986, 50, 997–1001. [Google Scholar] [CrossRef]
- Ayer, W.A.; Shewchuk, L.M. Metabolites of Nectria fuckeliana. J. Nat. Prod. 1986, 49, 947–948. [Google Scholar] [CrossRef]
- Venkatasubbaiah, P.; Chilton, W.S. Phytotoxins of Botryosphaeria obtusa. J. Nat. Prod. 1990, 53, 1628–1630. [Google Scholar] [CrossRef]
- Venkatasubbaiah, P. Effect of phytotoxins produced by Botryosphaeria obtusa, the cause of black rot of apple fruit and frogeye leaf spot. Phytopathology 1991, 81, 243. [Google Scholar] [CrossRef]
- Venkatasubbaiah, P.; Baudoin, A.B.A.M.; Chilton, W.S. Leaf spot of hemp dogbane caused by Stagonospora apocyni, and its phytotoxins. J. Phytopathol. 1992, 135, 309–316. [Google Scholar] [CrossRef]
- Sachse, J. Identification and determination of mellein in cultures of the fungus Septoria nodorum (Berk.) by thin-layer and high-performance liquid chromatography. J. Chromatogr. A 1992, 609, 349–353. [Google Scholar] [CrossRef]
- Devys, M.; Barbier, M.; Bousquet, J.-F.; Kollmann, A. Notes: Isolation of the new (-)-(3R,4S)-4-hydroxymellein from the fungus Septoria nodorum Berk. Z. Naturforsch. C 1992, 47, 779–781. [Google Scholar] [CrossRef]
- Parisi, A.; Piattelli, M.; Tringali, C.; Lio, G.M.D.S. Identification of the phytotoxin mellein in culture fluids of Phoma tracheiphila. Phytochemistry 1993, 32, 865–867. [Google Scholar] [CrossRef]
- Schulz, B.; Sucker, J.; Aust, H.; Krohn, K.; Ludewig, K.; Jones, P.; Döring, D. Biologically active secondary metabolites of endophytic Pezicula species. Mycol. Res. 1995, 99, 1007–1015. [Google Scholar] [CrossRef]
- Höller, U.; König, G.M.; Wright, A.D. Three new metabolites from marine-derived fungi of the genera Coniothyrium and Microsphaeropsis. J. Nat. Prod. 1999, 62, 114–118. [Google Scholar] [CrossRef]
- Dai, J.-R.; Carte, B.K.; Sidebottom, P.J.; Yew, A.L.S.; Ng, S.-B.; Huang, Y.; Butler, M.S. Circumdatin G, a new alkaloid from the fungus Aspergillus ochraceus. J. Nat. Prod. 2001, 64, 125–126. [Google Scholar] [CrossRef]
- Kokubun, T.; Veitch, N.C.; Bridge, P.D.; Simmonds, M.S.J. Dihydroisocoumarins and a tetralone from Cytospora eucalypticola. Phytochemistry 2003, 62, 779–782. [Google Scholar] [CrossRef]
- Klemke, C.; Kehraus, S.; Wright, A.D.; König, G.M. New Secondary metabolites from the marine endophytic fungus Apiospora montagnei. J. Nat. Prod. 2004, 67, 1058–1063. [Google Scholar] [CrossRef]
- Cabras, A.; Mannoni, M.A.; Serra, S.; Andolfi, A.; Fiore, M.; Evidente, A. Occurrence, isolation and biological activity of phytotoxic metabolites produced in vitro by Sphaeropsis sapinea, pathogenic fungus of Pinus radiata. Eur. J. Plant. Pathol. 2006, 115, 187–193. [Google Scholar] [CrossRef]
- Pongcharoen, W.; Rukachaisirikul, V.; Phongpaichit, S.; Sakayaroj, J. A new dihydrobenzofuran derivative from the endophytic fungus Botryosphaeria mamane PSU-M76. Chem. Pharm. Bull. 2007, 55, 1404–1405. [Google Scholar] [CrossRef] [PubMed]
- Sumarah, M.W.; Puniani, E.; Blackwell, B.A.; Miller, J.D. Characterization of polyketide metabolites from foliar endophytes of Picea glauca. J. Nat. Prod. 2008, 71, 1393–1398. [Google Scholar] [CrossRef] [PubMed]
- Djoukeng, J.D.; Polli, S.; Larignon, P.; Mansour, E.A. Identification of phytotoxins from Botryosphaeria obtusa, a pathogen of black dead arm disease of grapevine. Eur. J. Plant. Pathol. 2009, 124, 303–308. [Google Scholar] [CrossRef]
- Rukachaisirikul, V.; Arunpanichlert, J.; Sukpondma, Y.; Phongpaichit, S.; Sakayaroj, J. Metabolites from the endophytic fungi Botryosphaeria rhodina PSU-M35 and PPSU-M114. Tetrahedron 2009, 65, 10590–10595. [Google Scholar] [CrossRef]
- Li, Y.; Lu, C.; Hu, Z.; Huang, Y.; Shen, Y.-M. Secondary metabolites of Tubercularia sp. TF5, an endophytic fungal strain of Taxus mairei. Nat. Prod. Res. 2009, 23, 70–76. [Google Scholar] [CrossRef]
- Evidente, A.; Punzo, B.; Andolfi, A.; Cimmino, A.; Melck, D.; Luque, J. Lipophilic phytotoxins produced by Neofusicoccum parvum, a grapevine canker agent. Phytopathol. Mediterr. 2010, 49, 74–79. [Google Scholar]
- Evidente, A.; Masi, M.; Linaldeddu, B.T.; Franceschini, A.; Scanu, B.; Cimmino, A.; Andolfi, A.; Motta, A.; Maddau, L. Afritoxinones A and B, dihydrofuropyran-2-ones produced by Diplodia africana the causal agent of branch dieback on Juniperus phoenicea. Phytochemistry 2012, 77, 245–250. [Google Scholar] [CrossRef]
- Cheng, M.-J.; Wu, M.-D.; Hsieh, S.-Y.; Chen, I.-S.; Yuan, G.-F. Secondary metabolites isolated from the fungus Biscogniauxia cylindrospora BCRC 33717. Chem. Nat. Compd. 2011, 47, 527–530. [Google Scholar] [CrossRef]
- Cheng, M.-J.; Cheng, M.-J.; Yuan, G.-F.; Chen, Y.-L.; Su, Y.-S.; Hsieh, M.-T.; Chen, I.-S. Secondary metabolites and cytotoxic activities from the endophytic fungus Annulohypoxylon squamulosum. Phytochem. Lett. 2012, 5, 219–223. [Google Scholar] [CrossRef]
- Araújo, F.D.D.S.; Fávaro, L.C.D.L.; Araújo, W.L.; De Oliveira, F.L.; Aparicio, R.; Marsaioli, A.J. Epicolactone—Natural product isolated from the sugarcane endophytic fungus Epicoccum nigrum. Eur. J. Org. Chem. 2012, 2012, 5225–5230. [Google Scholar] [CrossRef]
- Amand, S.; Langenfeld, A.; Blond, A.; Dupont, J.; Nay, B.; Prado, S. Guaiane sesquiterpenes from Biscogniauxia nummularia featuring potent antigerminative activity. J. Nat. Prod. 2012, 75, 798–801. [Google Scholar] [CrossRef] [PubMed]
- Hussain, H.; Krohn, K.; Schulz, B.; Draeger, S.; Nazir, M.; Saleem, M. Two new antimicrobial metabolites from the endophytic fungus, Seimatosporium sp. Nat. Prod. Commun. 2012, 7, 1934578–1200700305. [Google Scholar] [CrossRef]
- Klaiklay, S.; Rukachaisirikul, V.; Sukpondma, Y.; Phongpaichit, S.; Buatong, J.; Bussaban, B. Metabolites from the mangrove-derived fungus Xylaria cubensis PSU-MA34. Arch. Pharm. Res. 2012, 35, 1127–1131. [Google Scholar] [CrossRef] [PubMed]
- Montenegro, T.G.C.; Rodrigues, F.A.R.; Jimenez, P.C.; Angelim, A.L.; Melo, V.M.M.; Filho, E.R.; Oliveira, M.C.F.; Costa-Lotufo, L.V. Cytotoxic activity of fungal strains isolated from the ascidian Eudistoma vannamei. Chem. Biodivers. 2012, 9, 2203–2209. [Google Scholar] [CrossRef] [PubMed]
- Zhao, J.H.; Zhang, Y.; Wang, L.W.; Wang, J.Y.; Zhang, C.L. Bioactive secondary metabolites from Nigrospora sp. LLGLM003, an endophytic fungus of the medicinal plant Moringa oleifera Lam. World J. Microbiol. Biotechnol. 2012, 28, 2107–2112. [Google Scholar] [CrossRef]
- Kendagor, A.C.; Langat, M.K.; Cheplogoi, P.K.; Omolo, J.O. Larvicidal activity of mellein from cultures of an ascomycete Pezicula livida against Aedes aegypti. Int. J. Life Sci. Biotechnol. Pharm. Res. 2013, 2, 70–80. [Google Scholar]
- Yun, K.; Feng, Z.; Choi, H.D.; Kang, J.S.; Son, B.W. New production of (R)-(–)-5-bromomellein, a dihydroisocoumarin derivative from the marine-derived fungus Aspergillus ochraceus. Chem. Nat. Compd. 2013, 49, 24–26. [Google Scholar] [CrossRef]
- Ramos, H.P.; Simão, M.R.; De Souza, J.M.; Magalhães, L.G.; Rodrigues, V.; Ambrósio, S.R.; Said, S. Evaluation of dihydroisocoumarins produced by the endophytic fungus Arthrinium state of Apiospora montagnei against Schistosoma mansoni. Nat. Prod. Res. 2013, 27, 2240–2243. [Google Scholar] [CrossRef]
- Rukachaisirikul, V.; Buadam, S.; Sukpondma, Y.; Phongpaichit, S.; Sakayaroj, J.; Hutadilok-Towatana, N. Indanone and mellein derivatives from the Garcinia-derived fungus Xylaria sp. PSU-G12. Phytochem. Lett. 2013, 6, 135–138. [Google Scholar] [CrossRef]
- Hussain, H.; Jabeen, F.; Krohn, K.; Al-Harrasi, A.; Ahmad, M.; Mabood, F.; Shah, A.; Badshah, A.; Rehman, N.U.; Green, I.R.; et al. Antimicrobial activity of two mellein derivatives isolated from an endophytic fungus. Med. Chem. Res. 2014, 24, 2111–2114. [Google Scholar] [CrossRef]
- Ibrahim, A.; Sørensen, D.; Jenkins, H.A.; McCarry, B.E.; Sumarah, M.W. New diplosporin and agistatine derivatives produced by the fungal endophyte Xylaria sp. isolated from Vitis labrusca. Phytochem. Lett. 2014, 9, 179–183. [Google Scholar] [CrossRef]
- Qian, C.; Fu, Y.-H.; Jiang, F.; Xu, Z.-H.; Cheng, D.; Ding, B.; Gao, C.-X.; Ding, Z. Lasiodiplodia sp. ME4-2, an endophytic fungus from the floral parts of Viscum coloratum, produces indole-3-carboxylic acid and other aromatic metabolites. BMC Microbiol. 2014, 14, 297. [Google Scholar] [CrossRef] [PubMed]
- Wang, J.; Wang, G.; Zhang, Y.; Zheng, B.; Zhang, C.; Wang, L. Isolation and identification of an endophytic fungus Pezicula sp. in Forsythia viridissima and its secondary metabolites. World J. Microbiol. Biotechnol. 2014, 30, 2639–2644. [Google Scholar] [CrossRef] [PubMed]
- Sorres, J.; Nirma, C.; Touré, S.; Eparvier, V.; Stien, D. Two new isopimarane diterpenoids from the endophytic fungus Xylaria sp. SNB-GTC2501. Tetrahedron Lett. 2015, 56, 4596–4598. [Google Scholar] [CrossRef]
- Prabpai, S.; Wiyakrutta, S.; Sriubolmas, N.; Kongsaeree, P. Antimycobacterial dihydronaphthalenone from the endophytic fungus Nodulisporium sp. of Antidesma ghaesembilla. Phytochem. Lett. 2015, 13, 375–378. [Google Scholar] [CrossRef]
- Ju, Z.; Lin, X.; Lü, X.; Tu, Z.; Wang, J.; Kaliyaperumal, K.; Liu, J.; Tian, Y.; Xu, S.-H.; Liu, Y.-H. Botryoisocoumarin A, a new COX-2 inhibitor from the mangrove Kandelia candel endophytic fungus Botryosphaeria sp. KcF6. J. Antibiot. 2015, 68, 653–656. [Google Scholar] [CrossRef]
- Yang, N.; Ma, Q.; Huang, S.; Dai, H.; Guo, Z.; Lu, X.; Wang, Y.; Yu, Z.; Zhao, Y. Chemical constituents from cultures of the fungus Marasmiellus ramealis (Bull.) Singer. J. Braz. Chem. Soc. 2014, 26, 9–13. [Google Scholar] [CrossRef]
- Mansour, E.A.; Debieux, J.-L.; Ramírez-Suero, M.; Bénard-Gellon, M.; Magnin-Robert, M.; Spagnolo, A.; Chong, J.; Farine, S.; Bertsch, C.; L’Haridon, F.; et al. Phytotoxic metabolites from Neofusicoccum parvum, a pathogen of Botryosphaeria dieback of grapevine. Phytochemistry 2015, 115, 207–215. [Google Scholar] [CrossRef]
- Cimmino, A.; Cinelli, T.; Masi, M.; Reveglia, P.; Da Silva, M.A.; Mugnai, L.; Michereff, S.J.; Surico, G.; Evidente, A. Phytotoxic lipophilic metabolites produced by grapevine strains of Lasiodiplodia species in Brazil. J. Agric. Food Chem. 2017, 65, 1102–1107. [Google Scholar] [CrossRef]
- Kamal, N.; Viegelmann, C.V.; Clements, C.J.; Edrada-Ebel, R. Metabolomics-guided isolation of anti-trypanosomal metabolites from the endophytic fungus Lasiodiplodia theobromae. Planta Med. 2016, 83, 565–573. [Google Scholar] [CrossRef]
- Cimmino, A.; Maddau, L.; Masi, M.; Linaldeddu, B.T.; Pescitelli, G.; Evidente, A. Fraxitoxin, a new isochromanone isolated from Diplodia fraxini. Chem. Biodivers. 2017, 14, e1700325. [Google Scholar] [CrossRef] [PubMed]
- Yang, J.X.; Chen, Y.; Huang, C.; She, Z.; Lin, Y. A new isochroman derivative from the marine fungus Phomopsis sp. (No. ZH-111). Chem. Nat. Compd. 2011, 47, 13–16. [Google Scholar] [CrossRef]
- Zhang, L.-H.; Li, S.-G.; Wu, H.-H.; Chen, G.; Li, L.; Bai, J.; Hua, H.; Wang, H.-F.; Pei, Y.-H. 3,4-Dihydroisocoumarin derivatives from the marine-derived fungus Paraconiothyrium sporulosum YK-03. Phytochem. Lett. 2017, 20, 200–203. [Google Scholar] [CrossRef]
- Zhao, M.; Yuan, L.-Y.; Guo, D.-L.; Ye, Y.; Da-Wa, Z.-M.; Wang, X.-L.; Ma, F.-W.; Chen, L.; Gu, Y.-C.; Ding, L.-S.; et al. Bioactive halogenated dihydroisocoumarins produced by the endophytic fungus Lachnum palmae isolated from Przewalskia tangutica. Phytochemistry 2018, 148, 97–103. [Google Scholar] [CrossRef] [PubMed]
- Shigemori, H.; Tanabe, Y.; Matsumoto, T.; Hosoya, T.; Sato, H. Palmaerins A-D, new chlorinated and brominated dihydroisocoumarins with antimicrobial and plant growth regulating activities from Discomycete Lachnum palmae. Heterocycles 2013, 87, 1481. [Google Scholar] [CrossRef]
- Shigemoto, R.; Matsumoto, T.; Masuo, S.; Takaya, N. 5-Methylmellein is a novel inhibitor of fungal sirtuin and modulates fungal secondary metabolite production. J. Gen. Appl. Microbiol. 2018, 64, 240–247. [Google Scholar] [CrossRef]
- Reveglia, P.; Savocchia, S.; Billones-Baaijens, R.; Masi, M.; Cimmino, A.; Evidente, A. Phytotoxic metabolites by nine species of Botryosphaeriaceae involved in grapevine dieback in Australia and identification of those produced by Diplodia mutila, Diplodia seriata, Neofusicoccum australe and Neofusicoccum luteum. Nat. Prod. Res. 2018, 33, 2223–2229. [Google Scholar] [CrossRef]
- Cimmino, A.; Maddau, L.; Masi, M.; Linaldeddu, B.T.; Evidente, A. Secondary metabolites produced by Sardiniella urbana, a new emerging pathogen on European hackberry. Nat. Prod. Res. 2018, 33, 1–8. [Google Scholar] [CrossRef]
- Tawfike, A.F.; Romli, M.; Clements, C.; Abbott, G.; Young, L.; Schumacher, M.; Diederich, M.; Farag, M.; Edrada-Ebel, R. Isolation of anticancer and anti-trypanosome secondary metabolites from the endophytic fungus Aspergillus flocculus via bioactivity guided isolation and MS based metabolomics. J. Chromatogr. B 2019, 71–83. [Google Scholar] [CrossRef]
- Xu, Y.; Lu, C.; Zheng, Z. A new 3,4-dihydroisocoumarin isolated from Botryosphaeria sp. F00741. Chem. Nat. Compd. 2012, 48, 205–207. [Google Scholar] [CrossRef][Green Version]
- Yang, Z.-D.; Li, Z.-J.; Zhao, J.-W.; Sun, J.-H.; Yang, L.-J.; Shu, Z.-M. Secondary metabolites and PI3K inhibitory activity of Colletotrichum gloeosporioides, a fungal endophyte of Uncaria rhynchophylla. Curr. Microbiol. 2019, 76, 904–908. [Google Scholar] [CrossRef] [PubMed]
- Patjana, T.; Jantaharn, P.; Katrun, P.; Mongkolthanaruk, W.; Suwannasai, N.; Senawong, T.; Tontapha, S.; Amornkitbumrung, V.; McCloskey, S. Anti-inflammatory and cytotoxic agents from Xylaria sp. SWUF09-62 fungus. Nat. Prod. Res. 2019, 24, 1–10. [Google Scholar] [CrossRef] [PubMed]
- Kerti, G.; Kurtán, T.; Illyés, T.-Z.; Kövér, K.E.; Sólyom, S.; Pescitelli, G.; Fujioka, N.; Berova, N.; Antus, S. Enantioselective synthesis of 3-methylisochromans and determination of their absolute configurations by circular dichroism. Eur. J. Org. Chem. 2007, 2007, 296–305. [Google Scholar] [CrossRef]
- Inose, K.; Tanaka, K.; Koshino, H.; Hashimoto, M. Cyclopericodiol and new chlorinated melleins isolated from Periconia macrospinosa KT3863. Tetrahedron 2019, 75, 130470. [Google Scholar] [CrossRef]
- Krohn, K.; Bahramsari, R.; Flörke, U.; Ludewig, K.; Kliche-Spory, C.; Michel, A.; Aust, H.-J.; Draeger, S.; Schulz, B.; Antus, S. Dihydroisocoumarins from fungi: Isolation, structure elucidation, circular dichroism and biological activity. Phytochemistry 1997, 45, 313–320. [Google Scholar] [CrossRef]
- Condon, P.; Kuc, J. Isolation of a fungitoxic compound from carrot root tissue inoculated with Cerato-cystis fimbriata. Phytopathology 1960, 50, 267–270. [Google Scholar]
- Condon, P.; Kuc, J.; Draudt, H.N. Production of 3-methyl-6-methoxy-8-hydroxy-3, 4-dihydroisocoumarin by carrot root tissue. Phytopathology 1963, 53, 1244–1250. [Google Scholar]
- Kuc, J. Resistance of plants to infectious agents. Annu. Rev. Microbiol. 1966, 20, 337–370. [Google Scholar] [CrossRef]
- Harding, V.; Heale, J. Isolation and identification of the antifungal compounds accumulating in the induced resistance response of carrot root slices to Botrytis cinerea. Physiol. Plant. Pathol. 1980, 17, 277–289. [Google Scholar] [CrossRef]
- Rukachaisirikul, V.; Naklue, W.; Sukpondma, Y.; Phongpaichit, S. An antibacterial biphenyl derivative from Garcinia bancana MIQ. Chem. Pharm. Bull. 2005, 53, 342–343. [Google Scholar] [CrossRef] [PubMed][Green Version]
- Sheu, Y.-W.; Chiang, L.-C.; Chen, Y.-C.; Tsai, I.-L.; Chen, I.-S. Cytotoxic flavonoids and new chromenes from Ficus formosana f. formosana. Planta Medica 2005, 71, 1165–1167. [Google Scholar] [CrossRef] [PubMed]
- Efdi, M.; Itoh, T.; Akao, Y.; Nozawa, Y.; Koketsu, M.; Ishihara, H. The isolation of secondary metabolites and in vitro potent anti-cancer activity of clerodermic acid from Enicosanthum membranifolium. Bioorg. Med. Chem. 2007, 15, 3667–3671. [Google Scholar] [CrossRef] [PubMed]
- Rayanil, K.-O.; Bunchornmaspan, P.; Tuntiwachwuttikul, P. A new phenolic compound with anticancer activity from the wood of Millettia leucantha. Arch. Pharmacal Res. 2011, 34, 881–886. [Google Scholar] [CrossRef]
- Yang, L.-M.; Fu, H.-Z. Chemical constituents of Rhodiola kirilowii Maxim. J. Chin. Pharm. Sci. 2011, 20, 154–158. [Google Scholar] [CrossRef]
- Kaennakam, S.; Sichaem, J.; Siripong, P.; Tip-Pyang, S. A new cytotoxic phenolic derivative from the roots of Antidesma acidum. Nat. Prod. Commun. 2013, 8, 1111–1113. [Google Scholar] [CrossRef]
- Kaennakam, S.; Sichaem, J.; Khumkratok, S.; Siripong, P.; Tip-Pyang, S. A new taraxerol derivative from the roots of Microcos tomentosa. Nat. Prod. Commun. 2013, 8, 1371–1372. [Google Scholar] [CrossRef]
- Chacón-Morales, P.; Amaro-Luis, J.M.; Bahsas, A. Isolation and characterization of (+)-mellein, the first isocoumarin reported in Stevia genus. Avances Química 2013, 8, 145–151. [Google Scholar]
- Trisuwan, K.; Boonyaketgoson, S.; Rukachaisirikul, V.; Phongpaichit, S. Oxygenated xanthones and biflavanoids from the twigs of Garcinia xanthochymus. Tetrahedron Lett. 2014, 55, 3600–3602. [Google Scholar] [CrossRef]
- Hori, M.; Aoki, Y.; Shinoda, K.; Chiba, M.; Sasaki, R. Wood volatiles as attractants of the confused flour beetle, Tribolium confusum (Coleoptera: Tenebrionidae). Sci. Rep. 2019, 9, 11544–11548. [Google Scholar] [CrossRef]
- Chokchaisiri, S.; Siriwattanasathien, Y.; Thongbamrer, C.; Suksamrarn, A.; Rukachaisirikul, T. Morindaquinone, a new bianthraquinone from Morinda coreia roots. Nat. Prod. Res. 2019, 21, 1–7. [Google Scholar] [CrossRef] [PubMed]
- Bradshaw, J.W.S.; Howse, P.E. Sociochemicals of Ants. In Chemical Ecology of Insects; Springer: Boston, MA, USA, 1984; pp. 429–473. [Google Scholar]
- Brand, J.; Fales, H.; Sokoloski, E.; MacConnell, J.; Blum, M.; Duffield, R. Identification of mellein in the mandibular gland secretions of carpenter ants. Life Sci. 1973, 13, 201–211. [Google Scholar] [CrossRef]
- Brophy, J.; Cavill, G.; Plant, W. Volatile constituents of an Australian ponerine ant Rhytidoponera metallica. Insect Biochem. 1981, 11, 307–310. [Google Scholar] [CrossRef]
- Blum, M.S.; Morel, L.; Fales, H.M. Chemistry of the mandibular gland secretion of the ant Camponotus vagus. Comp. Biochem. Physiol. Part. B Comp. Biochem. 1987, 86, 251–252. [Google Scholar] [CrossRef]
- Torres, J.A.; Snelling, R.R.; Blum, M.S.; Flournoy, R.C.; Jones, T.H.; Duffield, R.M. Mandibular gland chemistry of four Caribbean species of Camponotus (Hymenoptera: Formicidae). Biochem. Syst. Ecol. 2001, 29, 673–680. [Google Scholar] [CrossRef]
- Voegtle, H.L.; Jones, T.H.; Davidson, D.W.; Snelling, R.R. E-2-Ethylhexenal, E-2-ethyl-2-hexenol, mellein, and 4-hydroxymellein in Camponotus species from Brunei. J. Chem. Ecol. 2008, 34, 215–219. [Google Scholar] [CrossRef]
- Kalinova, B.; Kindl, J.; Jiros, P.; Zacek, P.; Vasickova, S.; Budesinsky, M.; Valterova, I. Composition and electrophysiological activity of constituents identified in male wing gland secretion of the bumblebee parasite Aphomia sociella. J. Nat. Prod. 2009, 72, 8–13. [Google Scholar] [CrossRef]
- Mitaka, Y.; Mori, N.; Matsuura, K. A termite fungistatic compound, mellein, inhibits entomopathogenic fungi but not egg-mimicking termite ball fungi. Appl. Entomol. Zool. 2018, 54, 39–46. [Google Scholar] [CrossRef]
- Citron, C.A.; Rabe, P.; Dickschat, J.S. The scent of bacteria: Headspace analysis for the discovery of natural products. J. Nat. Prod. 2012, 75, 1765–1776. [Google Scholar] [CrossRef]
- Dewick, P.M. Medicinal Natural Products: A Biosynthetic Approach, 3rd ed.; John Wiley & Sons: Chicester, UK, 2009; pp. 161–162. [Google Scholar]
- Noor, A.; Almasri, D.M.; Bagalagel, A.A.; Abdallah, H.M.; Mohamed, S.G.A.; Mohamed, G.A.; Ibrahim, S.R.M. Naturally occurring isocoumarins derivatives from endophytic fungi: Sources, isolation, structural characterization, biosynthesis, and biological activities. Molecules 2020, 25, 395. [Google Scholar] [CrossRef]
- Mérillon, J.-M.; Ramawat, K.G. Fungal Metabolites; Springer: New York, NY, USA, 2017. [Google Scholar]
- Cox, R.J.; Skellam, E.; Williams, K. Biosynthesis of fungal polyketides. Physiol. Genet. 2018, 385–412. [Google Scholar] [CrossRef]
- Yaegashi, J.; Oakley, B.R.; Wang, C.C.C. Recent advances in genome mining of secondary metabolite biosynthetic gene clusters and the development of heterologous expression systems in Aspergillus nidulans. J. Ind. Microbiol. Biotechnol. 2013, 41, 433–442. [Google Scholar] [CrossRef] [PubMed]
- Cacho, R.A.; Tang, Y.; Chooi, Y.-H. Next-generation sequencing approach for connecting secondary metabolites to biosynthetic gene clusters in fungi. Front. Microbiol. 2015, 5, 774. [Google Scholar] [CrossRef] [PubMed]
- Sun, H.; Ho, C.L.; Ding, F.; Soehano, I.; Liu, X.-W.; Liang, Z.-X. Synthesis of (R)-mellein by a partially reducing iterative polyketide synthase. J. Am. Chem. Soc. 2012, 134, 11924–11927. [Google Scholar] [CrossRef]
- Chooi, Y.-H.; Krill, C.; Barrow, R.A.; Chen, S.; Trengove, R.; Oliver, R.P.; Solomon, P. An in planta-expressed polyketide synthase produces (R)-mellein in the wheat pathogen Parastagonospora nodorum. Appl. Environ. Microbiol. 2014, 81, 177–186. [Google Scholar] [CrossRef]
- Bagnères, A.G.; Hossaert-McKey, M. Chemical Ecology; John Wiley & Sons: Hoboken, NJ, USA, 2016. [Google Scholar]
- Poulin, R.X.; Pohnert, G. Simplifying the complex: Metabolomics approaches in chemical ecology. Anal. Bioanal. Chem. 2018, 411, 13–19. [Google Scholar] [CrossRef]
- Evidente, A.; Andolfi, A.; Cimmino, A. Relationships between the stereochemistry and biological activity of fungal phytotoxins. Chirality 2011, 23, 674–693. [Google Scholar] [CrossRef]
- Evidente, A.; Cimmino, A.; Andolfi, A. The Effect of stereochemistry on the biological activity of natural phytotoxins, fungicides, insecticides and herbicides. Chirality 2012, 25, 59–78. [Google Scholar] [CrossRef]
- Zhao, Z.; Liu, H.; Wang, C.; Xu, J.-R. Comparative analysis of fungal genomes reveals different plant cell wall degrading capacity in fungi. BMC Genom. 2013, 14, 274. [Google Scholar] [CrossRef]
- Peyraud, R.; Dubiella, U.; Barbacci, A.; Genin, S.; Raffaele, S.; Roby, D. Advances on plant-pathogen interactions from molecular toward systems biology perspectives. Plant. J. 2017, 90, 720–737. [Google Scholar] [CrossRef]
- Chooi, Y.-H.; Solomon, P. A chemical ecogenomics approach to understand the roles of secondary metabolites in fungal cereal pathogens. Front. Microbiol. 2014, 5, 640. [Google Scholar] [CrossRef]




| Mellein | Natural Source | Biological Activity | References |
|---|---|---|---|
| (R)-(-)-mellein (1, Figure 1) | Fungi: | ||
| Apiospora montagnei | [40] | ||
| larvicidal | [59] | ||
| Aspergillusflocculus | [55] | ||
| citotoxicity | [80] | ||
| Aspergillus melleus | [3] | ||
| Aspergillusochraceus | [21,22,58] | ||
| HCV protease inhibitor | [38] | ||
| Aspergillus oniki 1784 | [19] | ||
| Botryosphaeria mamane PSU-M76 | [42] | ||
| Botryosphearia obtusa | phytotoxicity | [29,44] | |
| Bothryosphaeria rhodina | antibacterical | [45] | |
| Colletotrichum gloeosporioides | [82] | ||
| Diplodia africana | [48] | ||
| Diplodia fraxini | [72] | ||
| Diplodia mutila | [78] | ||
| Diplodia seriata | [78] | ||
| Epicoccum nigrum | [51] | ||
| Eudistoma vannamei | [55] | ||
| Hypoxylon deustum | [26] | ||
| Hypoxylon fragiforme | [26] | ||
| Hypoxylon howeianum | [26] | ||
| Hypoxylon haematostroma | [26] | ||
| Hypoxylon venusfuissimum | [26] | ||
| Lachnum palmae | [75,76] | ||
| Lasiodiplodia euphorbicola | [70] | ||
| Lasiodiplodia theobromae | [20,71] | ||
| Lasiodiplodia sp. | [63] | ||
| Microsphaeropsis sp. | antifungal | [37] | |
| Nectria fuckeliana | [29] | ||
| Neofusicoccum australe | [78] | ||
| Neofusicoccum luteum | [78] | ||
| Neofusicoccum parvum | [69] | ||
| Nigrospora sp. | [56] | ||
| Pezicula livida | larvicidal | [57] | |
| Pezicula sp. | fungicidal, herbicidal, algicidal | [36,64] | |
| Phoma tracheiphila | phytotoxic | [35] | |
| Rhytistimataceae CBS 120379 | [43] | ||
| Sardiniella urbana | antifungal | [79] | |
| Seimatosporium sp. | [53] | ||
| Septoria nodorum | [24,33] | ||
| Sphaeropsis sapinea | phytotoxic, antifungal | [41] | |
| Stagonospora apocynin | [32] | ||
| Plants: | |||
| Antidesma acidum | [96] | ||
| Enicosanthum membranifolium | [93] | ||
| Ficus formosana | [92] | ||
| Garcinia bancana | [91] | ||
| Microcos tomentosa | [97] | ||
| Millettia leucantha | [94] | ||
| Rhodiola kirilowii | [95] | ||
| Stevia lucida | [98] | ||
| Zelkova serrata | [100] | ||
| Insects: | |||
| Aphomia sociella | [108] | ||
| Camponotus herculeanus | [102,103] | ||
| Camponotus irritibilis | [107] | ||
| Camponotus ligniperda | [103] | ||
| Camponotus pennsylvanicus | [103] | ||
| Camponotus ramulorum | [106] | ||
| Camponotus vagus | [105] | ||
| Reticulitermes speratus | antifungal | [109] | |
| Rhytidoponera metallica | [104] | ||
| Bacteria: | |||
| Saccharopolyspora erythraea | [110] | ||
| (S)-(+)-mellein (2, Figure 2) | Annulohypoxylon squamulosum | cytotoxicity | [50] |
| Cercospora taiwanensis | [23] | ||
| Fusarium larvarum | [15] | ||
| Phomopsis oblonga | [27] | ||
| Xylaria sp. SWUF09-62 | [83] | ||
| (3R)-6-methoxymellein (3, Figure 2) | Fungi: | ||
| Coniothyrium sp. | antifungal | [37] | |
| Lachnum palmae | |||
| Sporormia bipartis | [16] | ||
| Sporormia affinis | [18] | ||
| Plants: | |||
| Daucus carota | phytoalexin | [87,89] | |
| Daucus carota | [88] | ||
| Garcinia xanthochymus | [99] | ||
| (3R)-5-methylmellein (4, Figure 2) | Aspergillus nidulans | antifungal | [77] |
| Biscogniauxia nummularia | [52] | ||
| Fusicoccum amygdali | conidial germination inhibitor | [17] | |
| Hypoxylon sp. | fungal secondary metabolism | [26] | |
| Nodulisporium sp. | [66] | ||
| Phomopsis oblonga | larvicidal | [27] | |
| Valsa ceratosperma | phytotoxic | [28] | |
| Xylariaceae CBS 120381 | [43] | ||
| Xylaria sp. PSU-G12 | [60] | ||
| Xylaria sp. SNB-GTC2501 | [65] | ||
| (3R)-7-chloro-6-methoxymellein (5, Figure 2) | Coniothyrium sp. | antifungal | [37] |
| Sporormia affinis | [18] | ||
| (3R)-5,7-dichloro-6-methoxymellein (6, Figure 2) | Sporormia affinis | [18] | |
| (3S,4S)-4-hydroxymellein (7, Figure 2) | Aspergillus ochraceus | [21,22] | |
| Cercospora taiwanensis | [23] | ||
| (3S,4S)-4,6-dihydroxymellein (8, Figure 2) | Cercospora sp. | [24] | |
| (3R)-8-methoxymellein (9, Figure 2) | Apiospora montagnei | [40] | |
| Botryosphaeria sp. KcF6 | [67] | ||
| Septoria nodorum | [24] | ||
| Xylaria cubensis | [54] | ||
| (3R)-7-hydroxymellein (10, Figure 2) | Botryosphaeria obtusa | [44] | |
| Paraconiothyrium sporulosum | [73] | ||
| Septoria nodorum | [24] | ||
| (3R)-5-formylmellein (11, Figure 2) | Biscogniauxia cylindrospora BCRC 33717 | [49] | |
| Nodulisporium sp. | [66] | ||
| Numularia broomiana | [26] | ||
| Numularia discreta | [26] | ||
| Xylariaceae CBS 120381 | [43] | ||
| (3R)-5-carboxymellein (12, Figure 2) | Biscogniauxia cylindrospora BCRC 33717 | [49] | |
| Epicoccum nigrum | phytotoxic | [51] | |
| Hypoxylon illitum | [26] | ||
| Hypoxylonmammatum | [26] | ||
| Nodulisporium sp. | [66] | ||
| Numularia discreta | [26] | ||
| Phomopsis oblonga | larvicidal | [27] | |
| Tubercularia sp. TF5 | [46] | ||
| Valsa ceratosperma | [28] | ||
| Xylaria sp. | [60] | ||
| Xylaria sp. PSU-G12 | [62] | ||
| Xylaria sp. SNB-GTC2501 | [65] | ||
| (3R)-5-methoxycarbonylmellin (13, Figure 2) | Hypoxylon mammatum | [26] | |
| Marasmiellus ramealis | [68] | ||
| Xylariaceae CBS 120381 | [43] | ||
| Xylaria cubensis | [54] | ||
| Xylaria sp. | [60] | ||
| Xylaria sp. PSU-G12 | [62] | ||
| Xylaria sp. SWUF09-62 | [83] | ||
| (3R)-5-hydroxymethylmellein (14, Figure 2) | Hypoxylon illitum | [26] | |
| Seimatosporium sp. | [53] | ||
| (3R)-6-methoxy-5-methylmellein (15, Figure 2) | Hypoxylon atropunctatum | [26] | |
| Valsa ceratosperma | phytotoxic | [28] | |
| (3R,4R)-4-hydroxy-5-methylmellein (16, Figure 2) | Valsa ceratosperma | phytotoxic | [28] |
| (3R,4S)-4-hydroxy-5-methylmellein (17, Figure 2) | Valsa ceratosperma | phytotoxic | [28] |
| Seimatosporium sp. | [53] | ||
| (3R,4R)-4-hydroxymellein (18, Figure 2) | Apiospora montagnei | larvicidal | [59] |
| Aspergillus flocculus | [55] | ||
| citotoxicity | [80] | ||
| Botryosphaeria mamane PSU-M76 | larvicidal | [42] | |
| Botryosphaeria obtusa | phytotoxic | [30,44] | |
| Botryosphaeria rhodina | antibacterical | [45] | |
| Diplodia africana | [48] | ||
| Diplodia seriata | [78] | ||
| Eudistoma vannamei | [55] | ||
| Lasiodiplodia euphorbicola | [70] | ||
| Lachnum palmae | [75,76] | ||
| Microsphaeropsis sp. | [37] | ||
| Neofusicoccum parvum | phytotocicity | [47,69] | |
| Neofusicoccum luteum | [78] | ||
| Sardiniella urbana | [79] | ||
| Seimatosporium sp. | [53] | ||
| Septoria nodorum | [34] | ||
| Sphaeropsis sapinea | [41] | ||
| Xylaria sp. SWUF09-62 | [83] | ||
| (3R)-5-hydroxymellein (19, Figure 2) | Aspergillus flocculus | [80] | |
| Botryosphaeria obtusa | phytotoxic | [30,31] | |
| Botryosphaeria rhodina | antibacterial | [45] | |
| Biscogniauxia cylindrospora BCRC 33717 | [49] | ||
| Lachnum palmae | [75,76] | ||
| Paraconiothyrium sporulosum | [73] | ||
| Xylaria cubensis | [54] | ||
| (3R,4S)-4-hydroxymellein (20, Figure 2) | Aspergillus flocculus | [55,80] | |
| Botryosphaerya mamane PSU-M76 | [42] | ||
| Botryospaheria rhodina | antibacterial | [45] | |
| Botryosphaeria sp. KcF6 | [67] | ||
| Diplodia africana | [48] | ||
| Eudistoma vannamei | [55] | ||
| Lachnum palmae | [75,76] | ||
| Lasiodiplodia brasiliense | [70] | ||
| Lasiodiplodia euphorbicola | [70] | ||
| Microsphaeropsis sp. | [37] | ||
| Neofusicoccum parvum | phytotoxicity | [47,69] | |
| Neofusicoccum luteum | [78] | ||
| Paraconiothyrium sporulosum | [73] | ||
| Sardiniella urbana | [79] | ||
| Seimatosporium sp. | [53] | ||
| Septoria nodorum | [34] | ||
| Sphaeropsis sapinea | [41] | ||
| Xylaria sp. | [83] | ||
| (3R)-7-methoxy-5methylmellein (21, Figure 2) | Cytospora eucalypticola | middle antibacterial, middle antifungal | [39] |
| (3R)-8-methoxy-5methylmellein (22, Figure 2) | Biscogniauxia nummularia | [22] | |
| Cytospora eucalypticola | middle antibacterial middle antifungal | [39] | |
| (3R)-4,7-dihydroxymellein (23, Figure 2) | Botryosphaeria obtusa | phytotoxicity | [44] |
| (3S)-5-hydroxy-8-O-methylmellein (24, Figure 2) | Biscogniauxia cylindrospora BCRC 33717 | [49] | |
| (3S)-7-hydroxymellein (25, Figure 2) | Annulohypoxylon squamulosum | weak cytotoxicity | [50] |
| Xylaria sp. | [83] | ||
| (3S)-5-hydroxymellein (26, Figure 2) | Aspergillus squamulosum | weak cytotoxicity | [50] |
| (3R)-5-bromomellein (27, Figure 2) | Aspergillus ochraceus | radical scavenging | [58] |
| (3R,4R)-5-carbomethoxy-4-hydroxymellein (28, Figure 2) | Xylaria sp. PSU-G12 | [60] | |
| (3R,4R)-4-acetoxyoxymellein (29, Figure 2) | Meliotus dentatus | antibacterial | [61] |
| (3R)-5-ethoxycarbonylmellein (30, Figure 2) | Marasmiellus ramealis | [68] | |
| (3R)-3-hydroxymellein (31, Figure 3) | Aspergillus oniki 1784 | phytotoxicity | [69] |
| Aspergillus flocculus | [80] | ||
| (3S,4S)-4,5-dihydroxymellein (32, Figure 3) | Paraconiothyrium sporulosum | [73] | |
| (3R)-mellein-8-O-β-D-glucopyranoside (33, Figure 3) | Paraconiothyrium sporulosum | [73] | |
| (3R,4S)-4,5-dihydroxymellein (34, Figure 3) | Aspergillus flocculus | cytotoxicity | [80] |
| Phomopsis sp. | |||
| Paraconiothyrium sporulosum | [73] | ||
| (3R)-5-bromo-6-hydroxy-8-methoxymellein (35, Figure 3) | Lachnum palmae | antimicrobial anti-inflammatory | [75,76] |
| (3R)-7-bromo-6-hydroxy-8-methoxymellein (36, Figure 3) | Lachnum palmae | antimicrobial | [75,76] |
| (3R)-7-bromo-6,8-dimethoxymellein (37, Figure 3) | Lachnum palmae | antimicrobial | [75,76] |
| (3R)-7-bromo-6-hydroxy-mellein (38, Figure 3) | Lachnum palmae | antimicrobial | [75,76] |
| (3R)-5-bromo-6,7-dihydroxy-8-methoxy-mellein (39, Figure 3) | Lachnum palmae | antimicrobial | [75,76] |
| anti-inflammatory | [75,76] | ||
| weak cytotoxicity | [75,76] | ||
| (3R)-5-cholro-6-hydroxy-8-methoxy-mellein (40, Figure 3) | Lachnum palmae | antimicrobial | [75,76] |
| (3R)-7-cholro-6-hydroxy-8-methoxy-mellein (41, Figure 3) | Lachnum palmae | antimicrobial | [75,76] |
| (3R)-5-cholro-6-hydroxymellein (42, Figure 3) | Lachnum palmae | [75,76] | |
| (3R,4R)-5-cholro-4,6-dihydroxymellein (43, Figure 3) | Lachnum palmae | [75,76] | |
| (3R)-6-hydroxymellein (44, Figure 3) | Lachnum palmae | [75,76] | |
| (3R)-5-bromo-6-hydroxy-8-methoxy-mellein (45, Figure 3) | Lachnum palmae | [75,76] | |
| (3R)-7-bromo-6-hydroxy-8-methoxy-mellein (46, Figure 3) | Lachnum palmae | [75,76] | |
| (3R)-7-bromo-6-hydroxy-mellein (47, Figure 3) | Lachnum palmae | [75,76] | |
| (3R)-7-bromo-6,8-dimethoxy-mellein (48, Figure 3) | Lachnum palmae | [75,76] | |
| botryoisocoumarin A (49, Figure 3) | Aspergillus flocculus | cytotoxic | [80] |
| Botryosphaeria sp. F00741 | [81] | ||
| (3S)-7-methoxymellein (50, Figure 3) | Xylaria sp. SWUF09-62 | [83] | |
| (3S)-5,7-dihydroxymellein (51, Figure 3) | Xylaria sp. SWUF09-62 | anti-inflammatory | [83] |
| (3S)-methoxymellein (52, Figure 3) | Xylaria sp. SWUF09-62 | [83] | |
| (3R)-5-chloro-4-hydroxy-6-methoxymellein (53, Figure 3) | Periconia macrospinosa | [85] | |
| (3R)-7-chloro-6-methoxy-8-methoxymellein (54, Figure 3) | Periconia macrospinosa | [85] | |
| (3R)-5-chloro-6-methoxymellein (55, Figure 3) | Periconia macrospinosa | [85] |
© 2020 by the authors. Licensee MDPI, Basel, Switzerland. This article is an open access article distributed under the terms and conditions of the Creative Commons Attribution (CC BY) license (http://creativecommons.org/licenses/by/4.0/).
Share and Cite
Reveglia, P.; Masi, M.; Evidente, A. Melleins—Intriguing Natural Compounds. Biomolecules 2020, 10, 772. https://doi.org/10.3390/biom10050772
Reveglia P, Masi M, Evidente A. Melleins—Intriguing Natural Compounds. Biomolecules. 2020; 10(5):772. https://doi.org/10.3390/biom10050772
Chicago/Turabian StyleReveglia, Pierluigi, Marco Masi, and Antonio Evidente. 2020. "Melleins—Intriguing Natural Compounds" Biomolecules 10, no. 5: 772. https://doi.org/10.3390/biom10050772
APA StyleReveglia, P., Masi, M., & Evidente, A. (2020). Melleins—Intriguing Natural Compounds. Biomolecules, 10(5), 772. https://doi.org/10.3390/biom10050772

