Long-Range Atom–Ion Rydberg Molecule: A Novel Molecular Binding Mechanism
Abstract
:1. Introduction
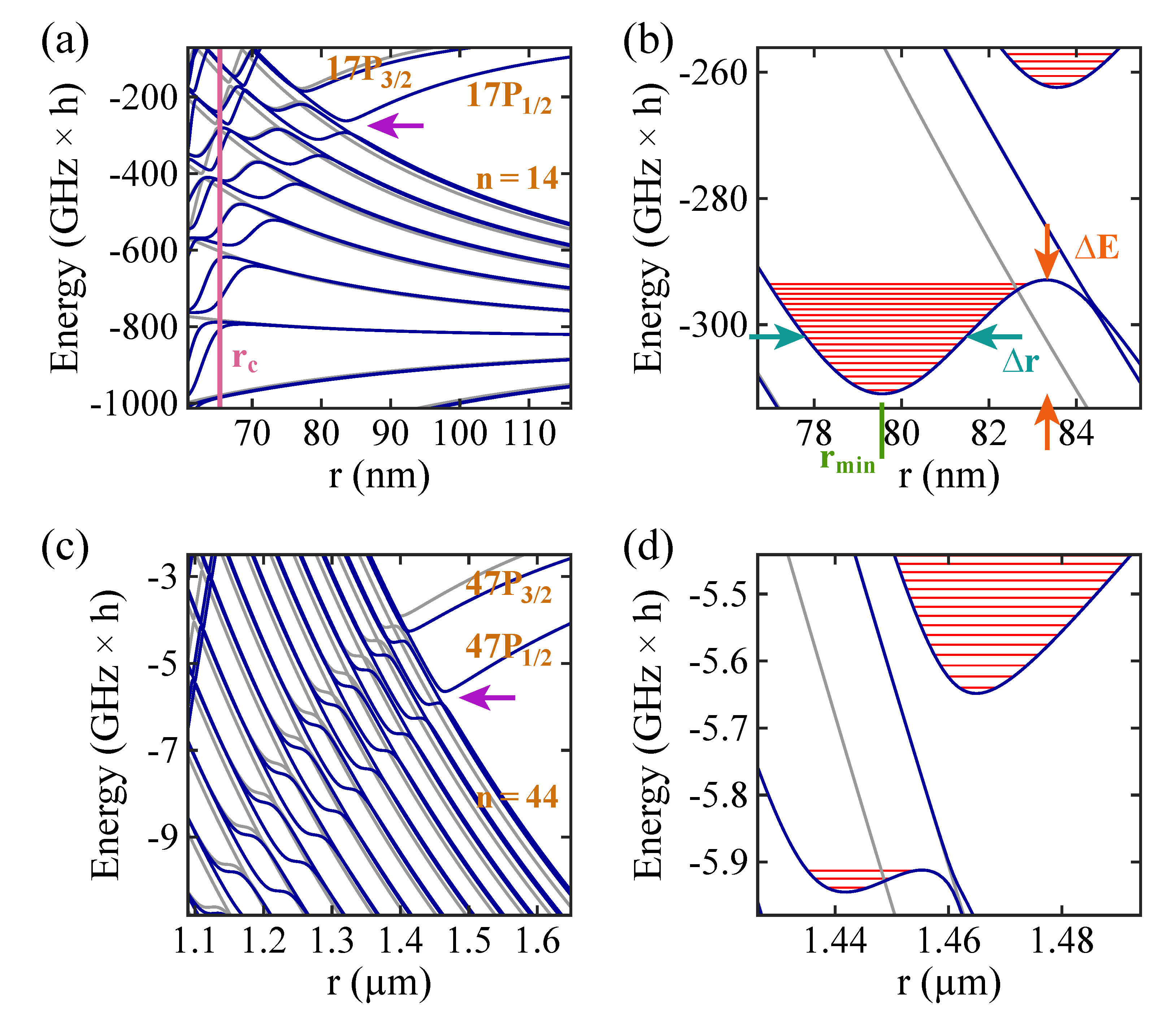
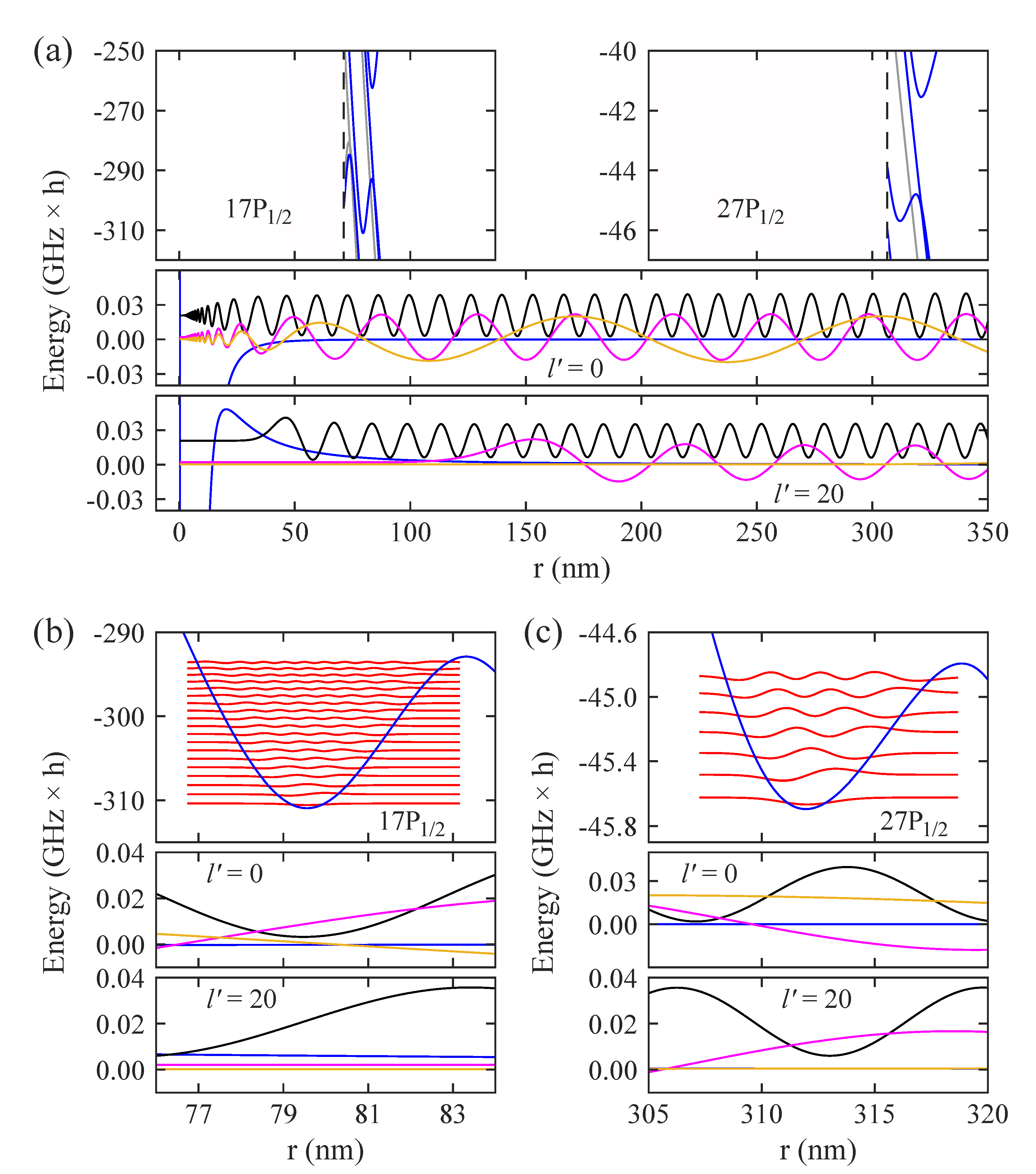
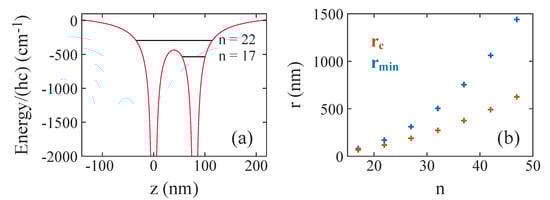
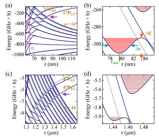
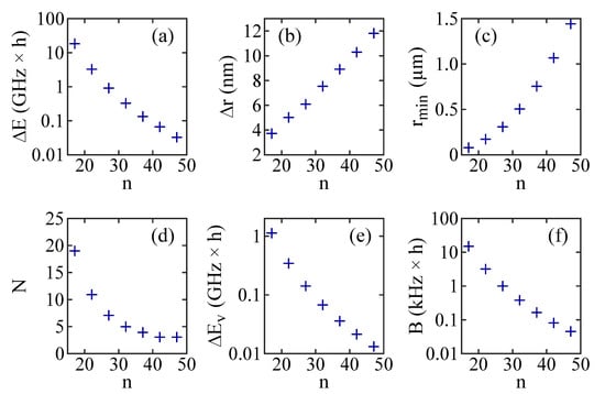
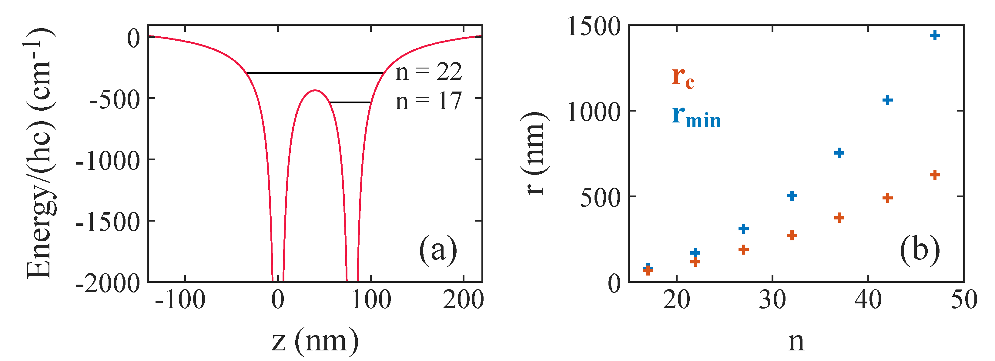
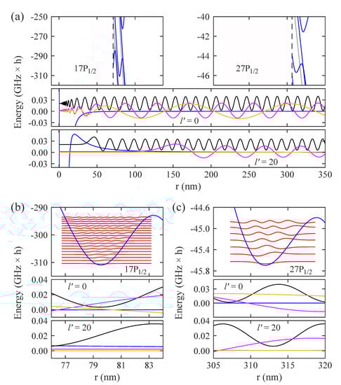
2. Binding Mechanism and Properties of the Long-Range Atom–Ion Rydberg Molecules
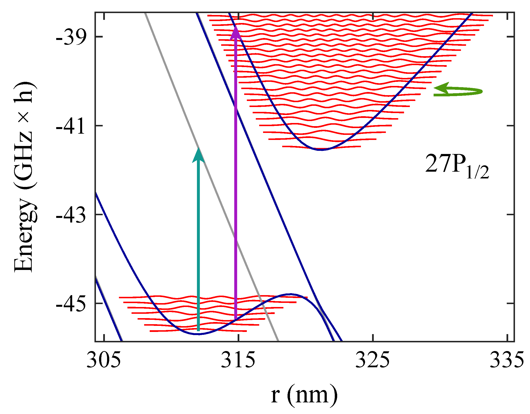
3. Stability and Lifetime of the Long-Range Atom–Ion Rydberg Molecules
4. Production and Detection of the Long-Range Atom–Ion Rydberg Molecules
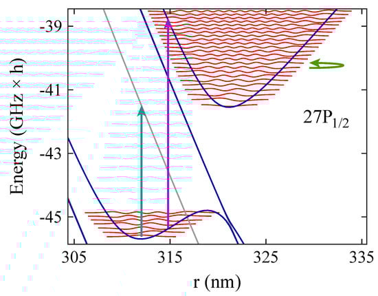
4.1. Production by Photoassociation
4.2. Detection by Photoionization
5. Prospects for Experiments with Long-Range Atom–Ion Rydberg Molecules
6. Conclusions and Outlook
Author Contributions
Funding
Acknowledgments
Conflicts of Interest
References
- Greene, C.H.; Dickinson, A.S.; Sadeghpour, H.R. Creation of polar and nonpolar ultra-long-range Rydberg molecules. Phys. Rev. Lett. 2000, 85, 2458–2461. [Google Scholar] [CrossRef] [PubMed]
- Boisseau, C.; Simbotin, I.; Côté, R. Macrodimers: Ultralong range Rydberg molecules. Phys. Rev. Lett. 2002, 88, 133004. [Google Scholar] [CrossRef] [Green Version]
- Bendkowsky, V.; Butscher, B.; Nipper, J.; Shaffer, J.P.; Löw, R.; Pfau, T. Observation of ultralong-range Rydberg molecules. Nature 2009, 458, 1005–1008. [Google Scholar] [CrossRef] [PubMed]
- Booth, D.; Rittenhouse, S.T.; Yang, J.; Sadeghpour, H.R.; Shaffer, J.P. Production of trilobite Rydberg molecule dimers with kilo-Debye permanent electric dipole moments. Science 2015, 348, 99–102. [Google Scholar] [CrossRef] [Green Version]
- Niederprüm, T.; Thomas, O.; Eichert, T.; Lippe, C.; Pérez-Ríos, J.; Greene, C.H.; Ott, H. Observation of pendular butterfly Rydberg molecules. Nat. Commun. 2016, 7, 12820. [Google Scholar] [CrossRef] [PubMed]
- Overstreet, K.R.; Schwettmann, A.; Tallant, J.; Booth, D.; Shaffer, J.P. Observation of electric-field-induced Cs Rydberg atom macrodimers. Nat. Phys. 2009, 5, 581–585. [Google Scholar] [CrossRef]
- Saßmannshausen, H.; Deiglmayr, J. Observation of Rydberg-atom macrodimers: Micrometer-sized diatomic molecules. Phys. Rev. Lett. 2016, 117, 083401. [Google Scholar] [CrossRef] [Green Version]
- Hollerith, S.; Zeiher, J.; Rui, J.; Rubio-Abadal, A.; Walther, V.; Pohl, T.; Stamper-Kurn, D.M.; Bloch, I.; Gross, C. Quantum gas microscopy of Rydberg macrodimers. Science 2019, 364, 664–667. [Google Scholar] [CrossRef] [Green Version]
- Shaffer, J.P.; Rittenhouse, S.T.; Sadeghpour, H.R. Ultracold Rydberg molecules. Nat. Commun. 2018, 9, 1965. [Google Scholar] [CrossRef]
- Fey, C.; Hummel, F.; Schmelcher, P. Ultralong-range Rydberg molecules. Mol. Phys. 2019, 118, e1679401. [Google Scholar] [CrossRef] [Green Version]
- Eiles, M.T. Trilobites, butterflies, and other exotic specimens of long-range Rydberg molecules. J. Phys. B At. Mol. Opt. Phys. 2019, 52, 113001. [Google Scholar] [CrossRef] [Green Version]
- Zimmerman, M.L.; Littman, M.G.; Kash, M.M.; Kleppner, D. Stark structure of the Rydberg states of alkali-metal atoms. Phys. Rev. A 1979, 20, 2251–2275. [Google Scholar] [CrossRef]
- Rost, J.M.; Briggs, J.S. Saddle structure of the three-body Coulomb problem; symmetries of doubly-excited states and propensity rules for transitions. J. Phys. B At. Mol. Opt. Phys. 1991, 24, 4293–4322. [Google Scholar] [CrossRef]
- Price, T.J.; Greene, C.H. Semiclassical treatment of high-lying electronic states of H2+. J. Phys. Chem. A 2018, 122, 8565–8575. [Google Scholar] [CrossRef] [Green Version]
- Härter, A.; Hecker Denschlag, J. Cold atom–ion experiments in hybrid traps. Contemp. Phys. 2014, 55, 33–45. [Google Scholar] [CrossRef] [Green Version]
- Tomza, M.; Jachymski, K.; Gerritsma, R.; Negretti, A.; Calarco, T.; Idziaszek, Z.; Julienne, P.S. Cold hybrid ion-atom systems. Rev. Mod. Phys. 2019, 91, 035001. [Google Scholar] [CrossRef] [Green Version]
- Wang, L.; Deiß, M.; Raithel, G.; Hecker Denschlag, J. Optical control of atom-ion collisions using a Rydberg state. J. Phys. B At. Mol. Opt. Phys. 2020, 53, 134005. [Google Scholar] [CrossRef] [Green Version]
- Secker, T.; Gerritsma, R.; Glaetzle, A.W.; Negretti, A. Controlled long-range interactions between Rydberg atoms and ions. Phys. Rev. A 2016, 94, 013420. [Google Scholar] [CrossRef] [Green Version]
- Hirzler, H.; Pérez-Ríos, J. Rydberg atom-ion collisions in cold environments. Phys. Rev. A 2021, 103, 043323. [Google Scholar] [CrossRef]
- Secker, T.; Ewald, N.; Joger, J.; Fürst, H.; Feldker, T.; Gerritsma, R. Trapped ions in Rydberg-dressed atomic gases. Phys. Rev. Lett. 2017, 118, 263201. [Google Scholar] [CrossRef] [PubMed] [Green Version]
- Ewald, N.V.; Feldker, T.; Hirzler, H.; Fürst, H.A.; Gerritsma, R. Observation of interactions between trapped ions and ultracold Rydberg atoms. Phys. Rev. Lett. 2019, 122, 253401. [Google Scholar] [CrossRef] [Green Version]
- Haze, S.; Wolf, J.; Deiß, M.; Wang, L.; Raithel, G.; Hecker Denschlag, J. Stark spectroscopy of Rydberg atoms in an atom-ion hybrid trap. arXiv 2019, arXiv:1901.11069. [Google Scholar]
- Engel, F.; Dieterle, T.; Schmid, T.; Tomschitz, C.; Veit, C.; Zuber, N.; Löw, R.; Pfau, T.; Meinert, F. Observation of Rydberg blockade induced by a single ion. Phys. Rev. Lett. 2018, 121, 193401. [Google Scholar] [CrossRef] [PubMed] [Green Version]
- Gross, C.; Vogt, T.; Li, W. Ion imaging via long-range interaction with Rydberg atoms. Phys. Rev. Lett. 2020, 124, 053401. [Google Scholar] [CrossRef] [PubMed] [Green Version]
- Robertson, E.J.; Šibalić, N.; Potvliege, R.M.; Jones, M.P.A. ARC 3.0: An expanded Python toolbox for atomic physics calculations. Comput. Phys. Commun. 2021, 261, 107814. [Google Scholar] [CrossRef]
- Weber, S.; Tresp, C.; Menke, H.; Urvoy, A.; Firstenberg, O.; Büchler, H.P.; Hofferberth, S. Calculation of Rydberg interaction potentials. J. Phys. B At. Mol. Opt. Phys. 2017, 50, 133001. [Google Scholar] [CrossRef] [Green Version]
- Jackson, J.D. Classical Electrodynamics, 3rd ed.; John Wiley & Sons: Hoboken, NJ, USA, 1998; pp. 145–151. [Google Scholar]
- Li, W.; Mourachko, I.; Noel, M.W.; Gallagher, T.F. Millimeter-wave spectroscopy of cold Rb Rydberg atoms in a magneto-optical trap: Quantum defects of the ns, np, and nd series. Phys. Rev. A 2003, 67, 052502. [Google Scholar] [CrossRef]
- Gallagher, T.F. Rydberg Atoms; Cambridge University Press: Cambridge, UK, 1994. [Google Scholar]
- Saffman, M.; Walker, T.G.; Mølmer, K. Quantum information with Rydberg atoms. Rev. Mod. Phys. 2010, 82, 2313–2363. [Google Scholar] [CrossRef]
- Löw, R.; Weimer, H.; Nipper, J.; Balewski, J.B.; Butscher, B.; Büchler, H.P.; Pfau, T. An experimental and theoretical guide to strongly interacting Rydberg gases. J. Phys. B At. Mol. Opt. Phys. 2012, 45, 113001. [Google Scholar] [CrossRef] [Green Version]
- Theodosiou, C. Lifetimes of alkali-metal–atom Rydberg states. Phys. Rev. A 1984, 30, 2881–2909. [Google Scholar] [CrossRef]
- Landau, L.D. Zur Theorie der Energieübertragung II. Phys. Z. Sowjetunion 1932, 2, 46–51. [Google Scholar]
- Zener, C. Non-adiabatic crossing of energy levels. Proc. R. Soc. A 1932, 137, 696–702. [Google Scholar]
- Ostrovsky, V.N. Rydberg atom-ion collisions: Classical overbarrier model for charge exchange. J. Phys. B At. Mol. Opt. Phys. 1995, 28, 3901–3914. [Google Scholar] [CrossRef]
- Mohammadi, A.; Krükow, A.; Mahdian, A.; Deiß, M.; Pérez-Ríos, J.; da Silva, H., Jr.; Raoult, M.; Dulieu, O.; Hecker Denschlag, J. Life and death of a cold BaRb+ molecule inside an ultracold cloud of Rb atoms. Phys. Rev. Res. 2021, 3, 013196. [Google Scholar] [CrossRef]
- Jones, K.M.; Tiesinga, E.; Lett, P.D.; Julienne, P.S. Ultracold photoassociation spectroscopy: Long-range molecules and atomic scattering. Rev. Mod. Phys. 2006, 78, 483–535. [Google Scholar] [CrossRef] [Green Version]
- Krükow, A.; Mohammadi, A.; Härter, A.; Hecker Denschlag, J. Reactive two-body and three-body collisions of Ba+ in an ultracold Rb gas. Phys. Rev. A 2016, 94, 030701(R). [Google Scholar] [CrossRef] [Green Version]
- Cardman, R.; MacLennan, J.L.; Anderson, S.E.; Chen, Y.-J.; Raithel, G. Photoionization of Rydberg atoms in optical lattices. New J. Phys. 2021, in press. [Google Scholar] [CrossRef]
- Mahdian, A.; Krükow, A.; Hecker Denschlag, J. Direct observation of swap cooling in atom-ion collisions. New J. Phys. 2021, in press. [Google Scholar] [CrossRef]
- Mamyrin, B.A. Time-of-flight mass spectrometry (concepts, achievements, and prospects). Int. J. Mass Spectrom. 2001, 206, 251–266. [Google Scholar] [CrossRef]
- Ashfold, M.N.R.; Nahler, N.H.; Orr-Ewing, A.J.; Vieuxmaire, O.P.J.; Toomes, R.L.; Kitsopoulos, T.N.; Garcia, I.A.; Chestakov, D.A.; Wu, S.-M.; Parker, D.H. Imaging the dynamics of gas phase reactions. Phys. Chem. Chem. Phys. 2006, 8, 26–53. [Google Scholar] [CrossRef]
- Liu, Y.; Grimes, D.D.; Hu, M.-G.; Ni, K.-K. Probing ultracold chemistry using ion spectrometry. Phys. Chem. Chem. Phys. 2020, 22, 4861–4874. [Google Scholar] [CrossRef] [Green Version]
- Hollerith, S.; Rui, J.; Rubio-Abadal, A.; Srakaew, K.; Wei, D.; Zeiher, J.; Gross, C.; Bloch, I. Microscopic electronic structure tomography of Rydberg macrodimers. Phys. Rev. Res. 2021, 3, 013252. [Google Scholar] [CrossRef]
- Hummel, F.; Keiler, K.; Schmelcher, P. Electric-field-induced wave-packet dynamics and geometrical rearrangement of trilobite Rydberg molecules. Phys. Rev. A 2021, 103, 022827. [Google Scholar] [CrossRef]
- Mohammadi, A.; Wolf, J.; Krükow, A.; Deiß, M.; Hecker Denschlag, J. Minimizing rf-induced excess micromotion of a trapped ion with the help of ultracold atoms. Appl. Phys. B 2019, 125, 122. [Google Scholar] [CrossRef] [Green Version]
- Dieterle, T.; Berngruber, M.; Hölzl, C.; Löw, R.; Jachymski, K.; Pfau, T.; Meinert, F. Transport of a single cold ion immersed in a Bose-Einstein condensate. Phys. Rev. Lett. 2021, 126, 033401. [Google Scholar] [CrossRef] [PubMed]
- Feldker, T.; Fürst, H.; Hirzler, H.; Ewald, N.V.; Mazzanti, M.; Wiater, D.; Tomza, M.; Gerritsma, R. Buffer gas cooling of a trapped ion to the quantum regime. Nat. Phys. 2020, 16, 413–416. [Google Scholar] [CrossRef]
- Schmidt, J.; Weckesser, P.; Thielemann, F.; Schaetz, T.; Karpa, L. Optical traps for sympathetic cooling of ions with ultracold neutral atoms. Phys. Rev. Lett. 2020, 124, 053402. [Google Scholar] [CrossRef] [PubMed] [Green Version]
- Duspayev, A.; Han, X.; Viray, M.A.; Ma, L.; Zhao, J.; Raithel, G. Long-range Rydberg-atom-ion molecules of Rb and Cs. Phys. Rev. Res. 2021, 3, 023114. [Google Scholar] [CrossRef]





Publisher’s Note: MDPI stays neutral with regard to jurisdictional claims in published maps and institutional affiliations. |
© 2021 by the authors. Licensee MDPI, Basel, Switzerland. This article is an open access article distributed under the terms and conditions of the Creative Commons Attribution (CC BY) license (https://creativecommons.org/licenses/by/4.0/).
Share and Cite
Deiß, M.; Haze, S.; Hecker Denschlag, J. Long-Range Atom–Ion Rydberg Molecule: A Novel Molecular Binding Mechanism. Atoms 2021, 9, 34. https://doi.org/10.3390/atoms9020034
Deiß M, Haze S, Hecker Denschlag J. Long-Range Atom–Ion Rydberg Molecule: A Novel Molecular Binding Mechanism. Atoms. 2021; 9(2):34. https://doi.org/10.3390/atoms9020034
Chicago/Turabian StyleDeiß, Markus, Shinsuke Haze, and Johannes Hecker Denschlag. 2021. "Long-Range Atom–Ion Rydberg Molecule: A Novel Molecular Binding Mechanism" Atoms 9, no. 2: 34. https://doi.org/10.3390/atoms9020034
APA StyleDeiß, M., Haze, S., & Hecker Denschlag, J. (2021). Long-Range Atom–Ion Rydberg Molecule: A Novel Molecular Binding Mechanism. Atoms, 9(2), 34. https://doi.org/10.3390/atoms9020034

