A Complete CDW Theory for the Single Ionization of Multielectronic Atoms by Bare Ion Impact
Abstract
1. Introduction
2. Theory
2.1. Prior Version of the CDW Approximation
2.2. Post Version of the CDW Approximation
2.3. Complete Hybrid Post CDW
2.4. Study of the Divergences in the CDW Theory
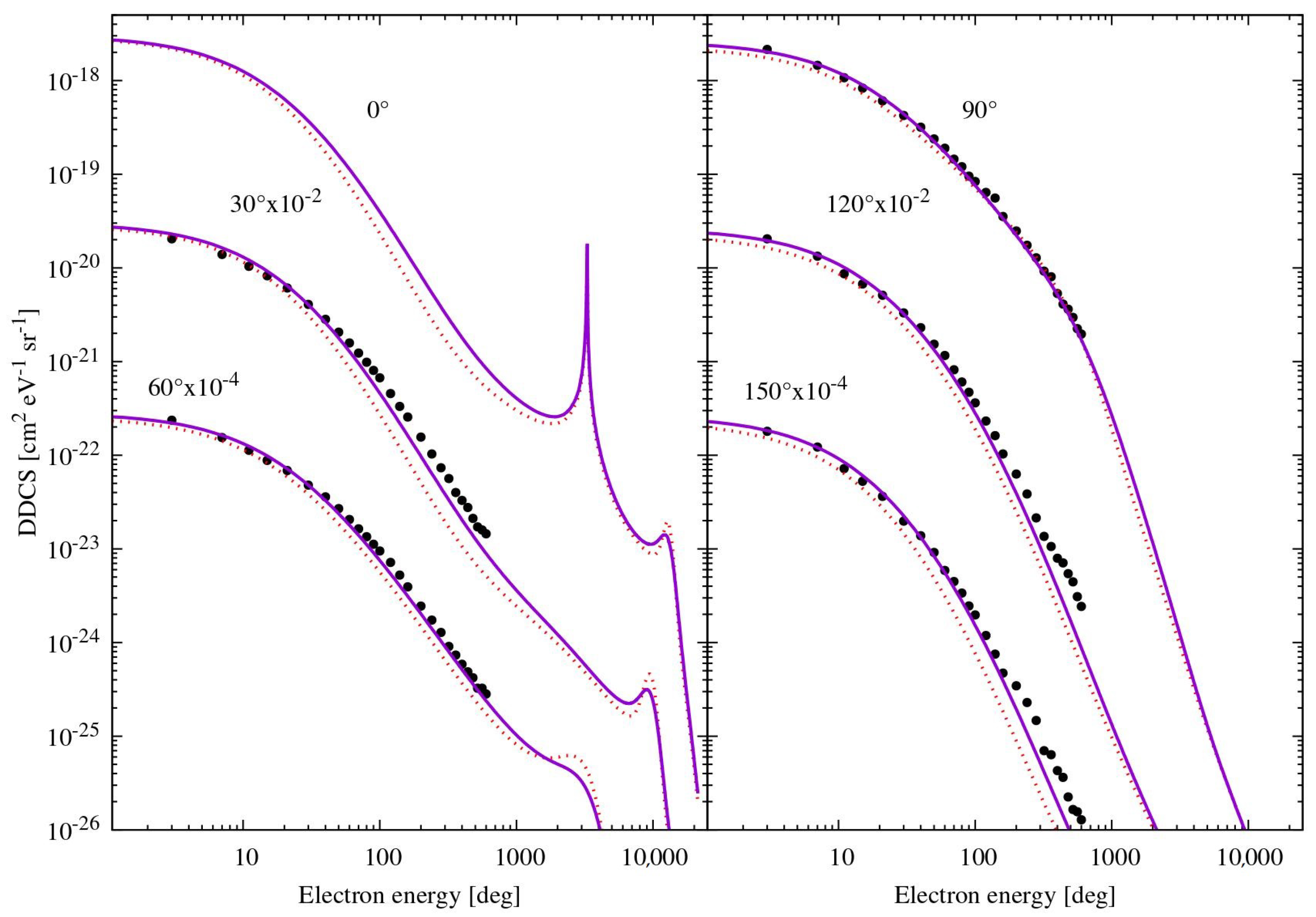
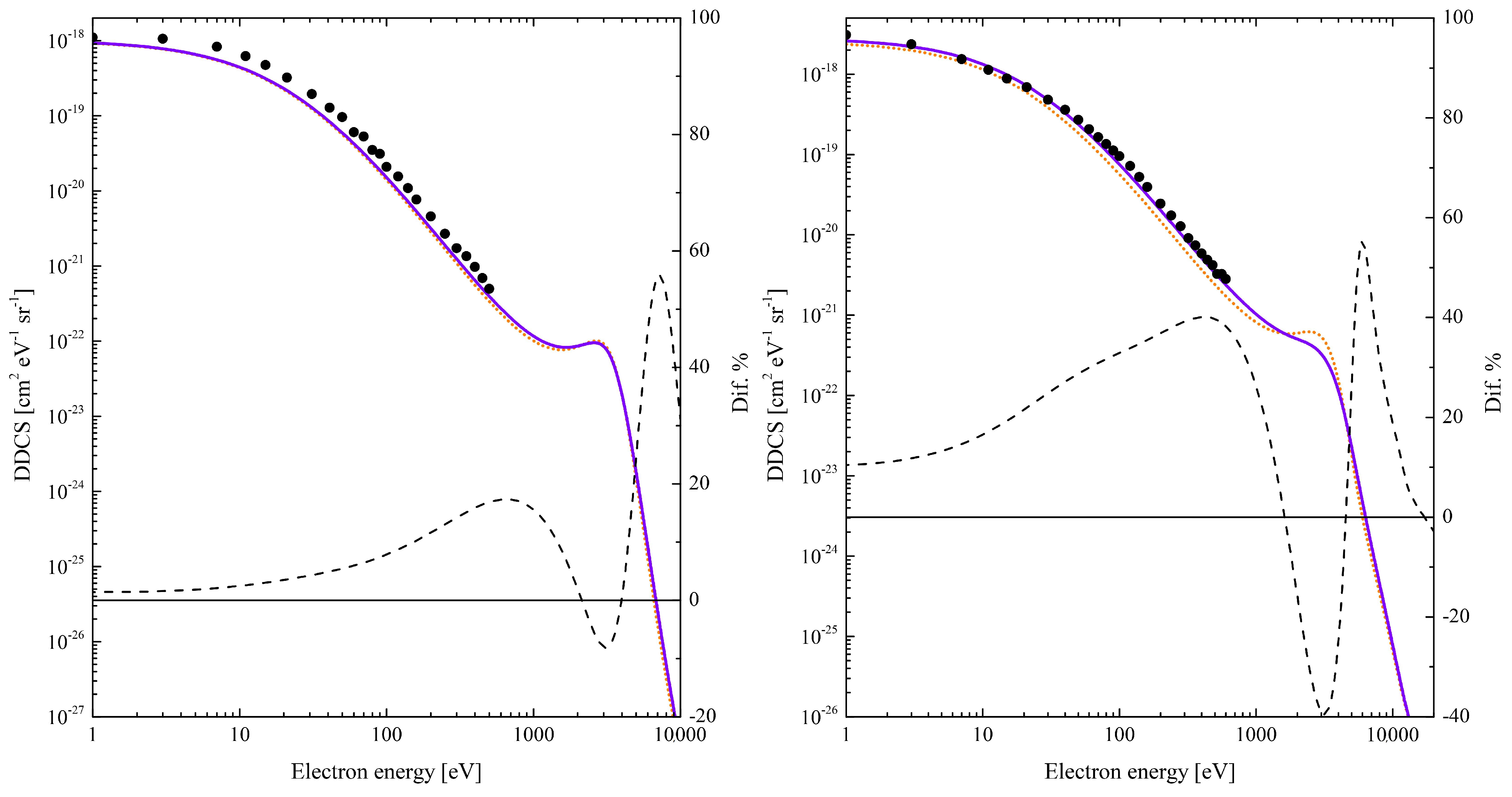
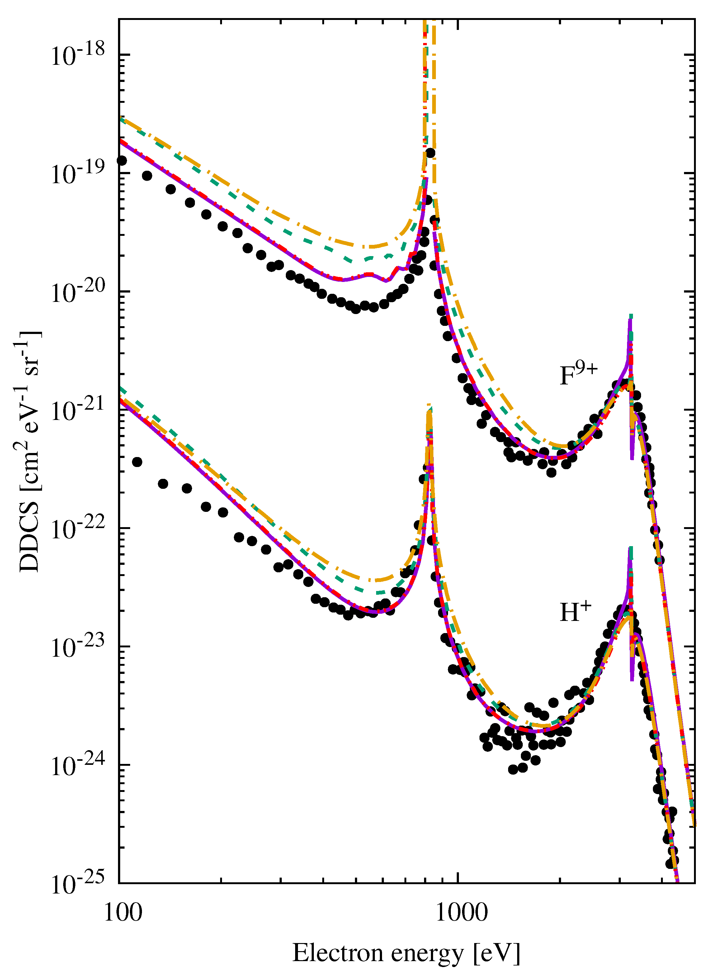
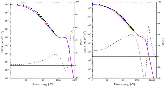
3. Results and Discussion
4. Conclusions
Author Contributions
Funding
Institutional Review Board Statement
Informed Consent Statement
Data Availability Statement
Conflicts of Interest
Abbreviations
| CDW | Continuum distorted wave |
| CDW-EIS | Continuum distorted wave-eikonal initial state |
| GSZ | Green–Sellin–Zachor |
Appendix A. Fourier Transforms Depending on ϕi and ϕf
Appendix A.1. Fourier Transform in the Prior Versions of CDW
Appendix A.2. Fourier Transforms in the Post Versions of CDW
| He | Ne | Ar | |||
|---|---|---|---|---|---|
| C | Z | C | Z | C | Z |
| 1.77350 | 2.07594 | 0.67957 | 1.80073 | −2.88392 | 2.79017 |
| −2.02508 | 3.40934 | −0.49762 | 3.35937 | 2.29974 | 3.13317 |
| −1.62769 | 2.31277 | 1.11389 | 3.39575 | 0.22797 | 0.73040 |
| 4.98588 | 2.68460 | 0.07557 | 7.26484 | 0.14760 | 9.88781 |
| −2.10744 | 2.21215 | −0.37146 | 3.17105 | 1.20838 | 2.22245 |
References
- Belkić, D. A quantum theory of ionisation in fast collisions between ions and atomic systems. J. Phys. B At. Mol. Phys. 1978, 11, 3529–3552. [Google Scholar] [CrossRef]
- Crothers, D.S.F.; McCann, J.F. Ionisation of atoms by ion impact. J. Phys. B At. Mol. Phys. 1983, 16, 3229–3242. [Google Scholar] [CrossRef]
- Fainstein, P.D.; Ponce, V.H.; Rivarola, R.D. A theoretical model for ionisation in ion-atom collisions. Application for the impact of multicharged projectiles on helium. J. Phys. B At. Mol. Phys. 1988, 21, 287–299. [Google Scholar] [CrossRef]
- Fainstein, P.D.; Ponce, V.H.; Rivarola, R.D. Two-centre effects in ionization by ion impact. J. Phys. B At. Mol. Phys. 1991, 24, 3091–3119. [Google Scholar] [CrossRef]
- Galassi, M.E.; Champion, C.; Weck, P.F.; Rivarola, R.D.; Fojón, O.; Hanssen, J. Quantum-mechanical predictions of DNA and RNA ionization by energetic proton beams. Phys. Med. Biol. 2012, 57, 2081–2099. [Google Scholar] [CrossRef]
- Gulyás, L.; Tóth, I.; Nagy, L. CDW-EIS calculation for ionization and fragmentation of methane impacted by fast protons. J. Phys. B At. Mol. Phys. 2013, 46, 075201. [Google Scholar] [CrossRef]
- Gulyás, L.; Egri, S.; Ghavaminia, H.; Igarashi, A. Single and multiple electron removal and fragmentation in collisions of protons with water molecules. Phys. Rev. A 2016, 93, 032704. [Google Scholar] [CrossRef]
- Mendez, A.M.P.; Montanari, C.C.; Miraglia, J.E. Ionization of biological molecules by multicharged ions using the stoichiometric model. J. Phys. B At. Mol. Phys. 2020, 53, 055201. [Google Scholar] [CrossRef]
- Mendez, A.M.P.; Montanari, C.C.; Miraglia, J.E. Scaling rules for the ionization of biological molecules by highly charged ions. J. Phys. B At. Mol. Phys. 2020, 53, 175202. [Google Scholar] [CrossRef]
- Gulyás, L.; Fainstein, P.D. CDW theory of ionization by ion impact with a Hartree-Fock-Slater description of the target. J. Phys. B At. Mol. Phys. 1998, 31, 3297–3305. [Google Scholar] [CrossRef]
- Monti, J.M.; Fojón, O.A.; Hanssen, J.; Rivarola, R.D. Single electron ionization of multishell atoms: Dynamic screening and post-prior discrepancies in the CDW-EIS model. J. Phys. B At. Mol. Phys. 2013, 46, 145201. [Google Scholar] [CrossRef]
- Ciappina, M.F.; Cravero, W.R.; Garibotti, C.R. Post–prior discrepancies in the continuum distorted wave–eikonal initial state approximation for ion–helium ionization. J. Phys. At. Mol. Opt. Phys. 2003, 36, 3775–3786. [Google Scholar] [CrossRef]
- Ciappina, M.F.; Cravero, W.R. Post–prior discrepancies in CDW–EIS calculations for ion impact ionization fully differential cross-sections. J. Phys. B At. Mol. Opt. Phys. 2006, 39, 1091–1100. [Google Scholar] [CrossRef]
- Monti, J.M.; Fojón, O.A.; Hanssen, J.; Rivarola, R.D. Influence of the dynamic screening on single-electron ionization of multi-electron atoms. J. Phys. B At. Mol. Phys. 2010, 43, 205203. [Google Scholar] [CrossRef]
- Brauner, M.; Macek, J.H. Ion-impact ionization of He targets. Phys. Rev. A 1992, 46, 2519–2531. [Google Scholar] [CrossRef] [PubMed]
- Dubeé, L.J.; Dewangan, D.P. Reinstating an Ionization Theory beyond Reasonable Doubt. In Proceedings of the ICPEAC XIX Conference, Whistler, BC, Canada, 26 July–1 August 1995; p. 62. [Google Scholar]
- Cheshire, I.M. Continuum distorted wave approximation; resonant charge transfer by fast protons in atomic hydrogen. Proc. Phys. Soc. 1964, 84, 89–98. [Google Scholar] [CrossRef]
- Belkić, D.; Gayet, R.; Salin, A. Electron capture in high-energy ion-atom collisions. Phys. Rep. 1979, 56, 279–369. [Google Scholar] [CrossRef]
- Stolterfoht, N.; DuBois, R.D.; Rivarola, R.D. Electron Emission in Heavy Ion-Atom Collisions; Springer: Berlin, Germany, 1997. [Google Scholar]
- Clementi, E.; Roetti, C. Roothaan-Hartree-Fock Atomic Wavefunctions: Basis Functions and Their Coefficients for Ground and Certain Excited States of Neutral and Ionized Atoms, Z <= 54. At. Data Nucl. Data Tables 1974, 14, 177. [Google Scholar] [CrossRef]
- Gravielle, M.S.; Miraglia, J.E. Some Nordsieck integrals of interest in radiation and atomic collision theories. Comput. Phys. Commun. 1992, 69, 53–58. [Google Scholar] [CrossRef]
- Szydlik, P.P.; Green, A.E. Independent-particle-model potentials for ions and neutral atoms with Z <= 18. Phys. Rev. A 1974, 9, 1885–1894. [Google Scholar] [CrossRef]
- Piessens, R.; De Doncker-Kapenga, E.; Überhuber, C.W. Quadpack: A Subroutine Package for Automatic Integration; Springer: New York, NY, USA, 1983. [Google Scholar]
- Lee, D.H.; Richard, P.; Zouros, T.J.M.; Sanders, J.M.; Shinpaugh, J.L.; Hidmi, H. Binary-encounter electrons observed at 0° in collisions of 1-2-MeV/amu H+, C6+, N7+, O8+, and F9+ ions with H2 and He targets. Phys. Rev. A 1990, 41, 4816–4823. [Google Scholar] [CrossRef] [PubMed]
- Biswas, S.; Misra, D.; Monti, J.M.; Tachino, C.A.; Rivarola, R.D.; Tribedi, L.C. Energy and angular distribution of electrons in ionization of He and Ne by 6-MeV/u bare carbon ions: Comparison with continuum-distorted wave eikonal-initial-state calculations in prior and post forms. Phys. Rev. A 2014, 90, 052714. [Google Scholar] [CrossRef]
- Rudd, M.E.; Toburen, L.H.; Stolterfoht, N. Differential Cross Sections for Ejection of Electrons from Argon by Protons. At. Data Nucl. Data Tables 1979, 23, 405. [Google Scholar] [CrossRef]






| Target | d (a.u.) | K (a.u.) |
|---|---|---|
| He | 0.381 | 1.77 |
| Ne | 0.558 | 2.71 |
| Ar | 1.045 | 3.50 |
Publisher’s Note: MDPI stays neutral with regard to jurisdictional claims in published maps and institutional affiliations. |
© 2021 by the authors. Licensee MDPI, Basel, Switzerland. This article is an open access article distributed under the terms and conditions of the Creative Commons Attribution (CC BY) license (http://creativecommons.org/licenses/by/4.0/).
Share and Cite
Monti, J.M.; Quinto, M.A.; Rivarola, R.D. A Complete CDW Theory for the Single Ionization of Multielectronic Atoms by Bare Ion Impact. Atoms 2021, 9, 3. https://doi.org/10.3390/atoms9010003
Monti JM, Quinto MA, Rivarola RD. A Complete CDW Theory for the Single Ionization of Multielectronic Atoms by Bare Ion Impact. Atoms. 2021; 9(1):3. https://doi.org/10.3390/atoms9010003
Chicago/Turabian StyleMonti, Juan M., Michele A. Quinto, and Roberto D. Rivarola. 2021. "A Complete CDW Theory for the Single Ionization of Multielectronic Atoms by Bare Ion Impact" Atoms 9, no. 1: 3. https://doi.org/10.3390/atoms9010003
APA StyleMonti, J. M., Quinto, M. A., & Rivarola, R. D. (2021). A Complete CDW Theory for the Single Ionization of Multielectronic Atoms by Bare Ion Impact. Atoms, 9(1), 3. https://doi.org/10.3390/atoms9010003
