Deep Minima in the Triply Differential Cross Section for Ionization of Atomic Hydrogen by Electron and Positron Impact
Abstract
1. Introduction
2. Theory
3. Results
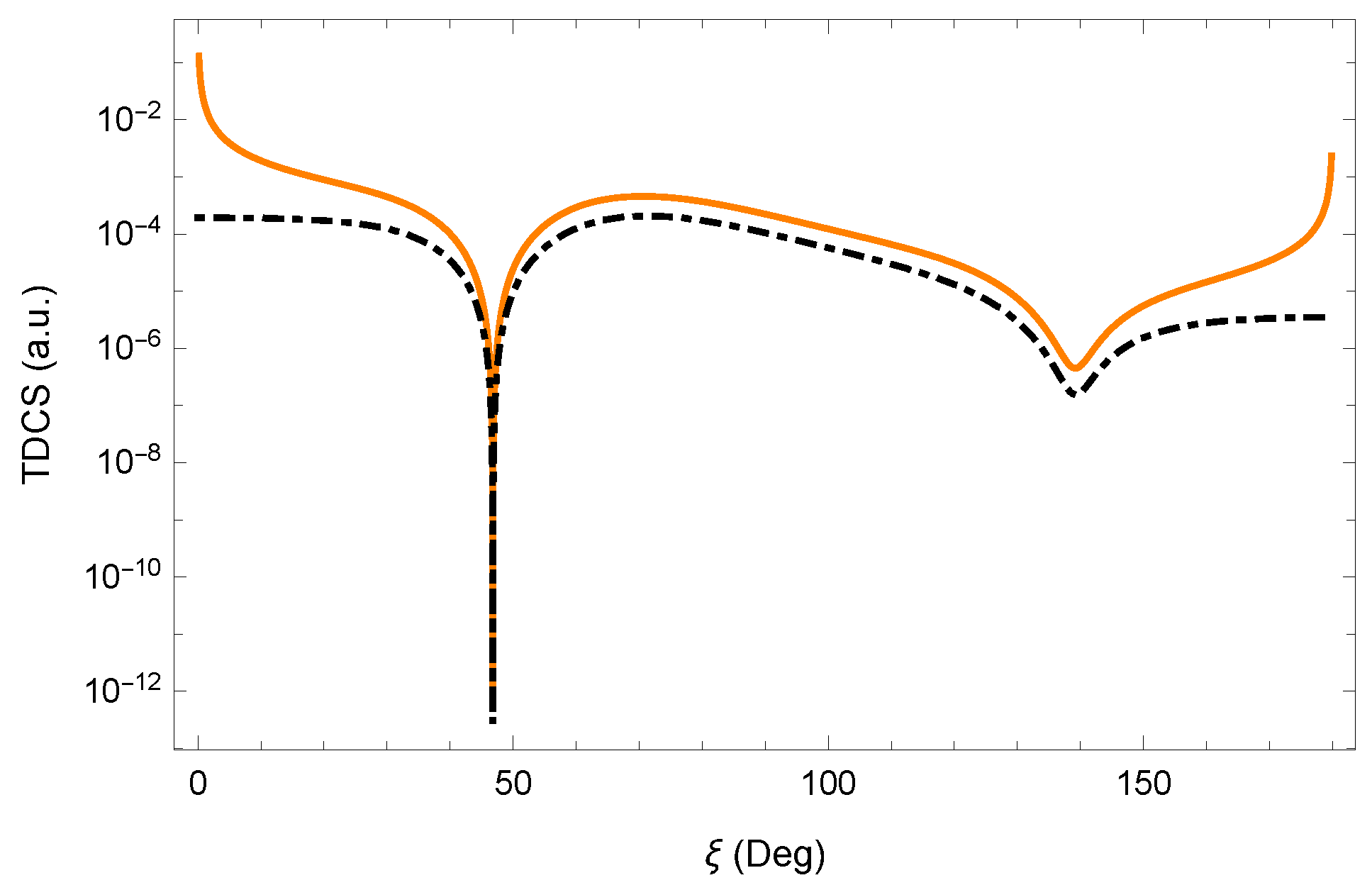
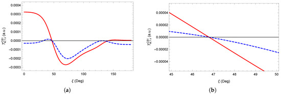
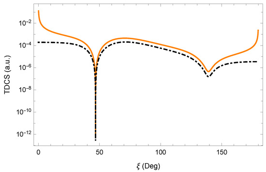
3.1. Deep Minimum in the TDCS for Electron-Impact Ionization of Hydrogen
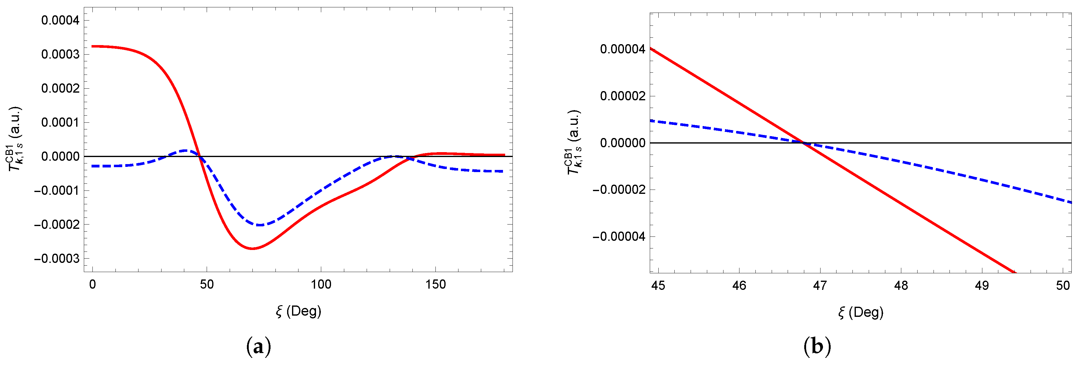
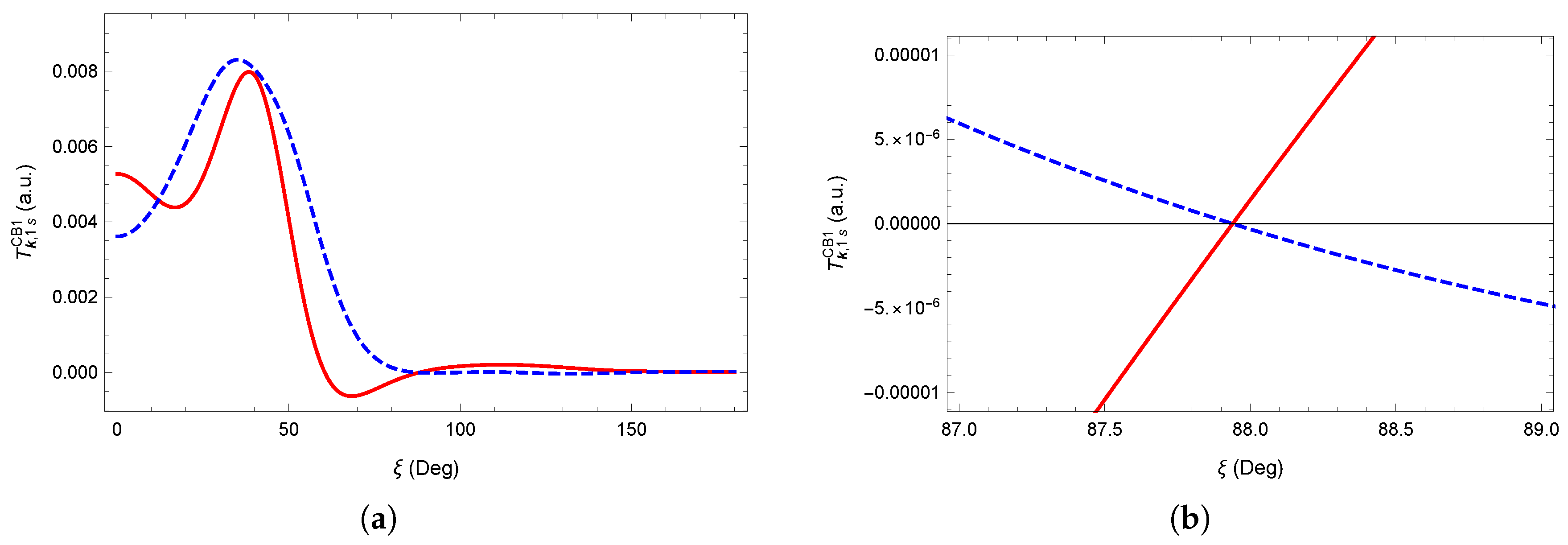
3.2. Deep Minimum in the CB1 TDCS for Positron-Impact Ionization of Hydrogen
4. Conclusions
Author Contributions
Funding
Acknowledgments
Conflicts of Interest
Abbreviations
| MDPI | Multidisciplinary Digital Publishing Institute |
| DOAJ | Directory of open access journals |
| TDCS | Triply differential cross section |
| CB1 | Coulomb–Born |
| TDCC | Time-dependent close-coupling |
| 3DW | Three body distorted wave |
References
- Briggs, J.S. Cusps, dips and peaks in differential cross-sections for fast three-body Coulomb collisions. Comments At. Mol. Phys. 1989, 23, 155–174. [Google Scholar]
- Berakdar, J.; Briggs, J.S. Interference effects in (e,2e)-differential cross sections in doubly symmetric geometry. J. Phys. B At. Mol. Opt. Phys. 1994, 27, 4271–4280. [Google Scholar] [CrossRef]
- Murray, A.J.; Read, F.H. Exploring the helium (e,2e) differential cross section at 64.6 eV with symmetric scattering angles but non-symmetric energies. J. Phys. B At. Mol. Opt. Phys. 1993, 26, L359–L365. [Google Scholar] [CrossRef]
- Murray, A.J.; Read, F.H. Evolution from the coplanar to the perpendicular plane geometry of helium (e,2e) differential cross sections symmetric in scattering angle and energy. Phys. Rev. A 1993, 47, 3724–3732. [Google Scholar] [CrossRef] [PubMed]
- Macek, J.H.; Sternberg, J.B.; Ovchinnikov, S.Y.; Briggs, J.S. Theory of deep minima in (e,2e) measurements of triply differential cross sections. Phys. Rev. Lett. 2010, 104, 033201. [Google Scholar] [CrossRef]
- Berakdar, J.; Briggs, J.S. Three-body Coulomb continuum problem. Phys. Rev. Lett. 1994, 72, 3799–3802. [Google Scholar] [CrossRef] [PubMed]
- Berakdar, J.; Klar, H. Structures in triply and doubly differential ionization cross sections of atomic hydrogen. J. Phys. B At. Mol. Opt. Phys. 1993, 26, 3891–3913. [Google Scholar] [CrossRef]
- Navarrete, F.; Picca, R.D.; Fiol, J.; Barrachina, R.O. Vortices in ionization collisions by positron impact. J. Phys. B At. Mol. Opt. Phys. 2013, 46, 115203. [Google Scholar] [CrossRef]
- Navarrete, F.; Barrachina, R.O. Vortices in the three-body electron-positron-proton continuum system induced by the positron-impact ionization of hydrogen. J. Phys. B At. Mol. Opt. Phys. 2015, 48, 055201. [Google Scholar] [CrossRef]
- Navarrete, F.; Barrachina, R.O. Vortices in ionization collisions. Nucl. Instrum. in Phys. Res. B 2016, 369, 72–76. [Google Scholar] [CrossRef]
- Navarrete, F.; Barrachina, R.O. Vortex rings in the ionization of atoms by positron impact. J. Phys. B Conf. Ser. 2017, 875, 012022. [Google Scholar] [CrossRef]
- Botero, J.; Macek, J.H. Coulomb Born approximation for electron scattering from neutral atoms: Application to electron impact ionization of helium in coplanar symmetric geometry. J. Phys. B At. Mol. Opt. Phys. 1991, 24, L405–L411. [Google Scholar] [CrossRef]
- Botero, J.; Macek, J.H. Threshold angular distributions of (e, 2e) cross sections of helium atoms. Phys. Rev. Lett. 1992, 68, 576–579. [Google Scholar] [CrossRef] [PubMed]
- Botero, J.; Macek, J.H. Coulomb-Born calculation of the triple-differential cross section for inner-shell electron-impact ionization of carbon. Phys. Rev. A 1992, 45, 154–165. [Google Scholar] [CrossRef] [PubMed]
- Macek, J.H.; Botero, J. Perturbation theory with arbitrary boundary conditions for charged-particle scattering: Application to (e,2e) experiments in helium. Phys. Rev. A 1992, 45, R8. [Google Scholar] [CrossRef]
- Ward, S.J.; Macek, J.H. Wave functions for continuum states of charged fragments. Phys. Rev. A 1994, 49, 1049–1056. [Google Scholar] [CrossRef]
- Ward, S.J.; Kent, J.B. Deep minimum in the Coulomb-Born TDCS for electron-impact ionization of atomic hydrogen. Bull. Am. Phys. Soc. 2017, 62, 28. Available online: http://meetings.aps.org/link/BAPS.2017.GEC.GT1.1 (accessed on 25 May 2020).
- Ward, S.J. Vortices for Positron Ionization and Positronium Formation. Available online: http://meetings.aps.org/Meeting/GEC19/Session/LW1.6 (accessed on 25 May 2020).
- DeMars, C.M.; Kent, J.B.; Ward, S.J. Abstract: Q01.00026: Deep Minima in the Coulomb-Born Triply Differential Cross Section for Electron and Positron Ionization of Hydrogen and Helium. Available online: https://meetings.aps.org/Meeting/DAMOP20/Session/Q01.26 (accessed on 25 May 2020).
- DeMars, C.M.; Ward, S.J.; Kent, J.B. Deep Minima in the Coulomb-Born triply differential cross section for electron and positron ionization of hydrogen and helium. Submitted May 2020 to GEC 2020.
- Kadyrov, A.S.; Bray, I.; Stelbovics, A.T. Near-threshold positron-impact ionization of atomic hydrogen. Phys. Rev. Lett. 2007, 98, 263202. [Google Scholar] [CrossRef]
- Kadyrov, A.S.; Bray, I. Recent progress in the description of positron scattering from atoms using the convergent close-coupling theory. J. Phys. B At. Mol. Opt. Phys. 2016, 49, 22202. [Google Scholar] [CrossRef]
- Macek, J.H. Vortices in atomic processes. In Dynamical Processes in Atomic and Molecular Physics; Ogurtsov, G., Dowek, D., Eds.; Bentham Science: Sharjah, UAE, 2012; Chapter 1; pp. 3–28. [Google Scholar]
- Ward, S.J.; Macek, J.H. Effect of a vortex in the triply differential cross section for electron impact K-shell ionization of carbon. Phys. Rev. A 2014, 90, 062709. [Google Scholar] [CrossRef]
- DeMars, C.M.; Kent, J.B.; Ward, S.J. Deep minima in the Coulomb-Born triply differential cross sections for ionization of helium by electron and positron impact. Eur. Phys. J. D 2020, 74, 48. [Google Scholar]
- DeMars, C.M.; Kent, J.B.; Ward, S.J. Deep minimum in the Coulomb-Born TDCS for e−-He and e+-He ionization. Bull. Am. Phys. Soc. 2019, 64, 119. Available online: http://meetings.aps.org/Meeting/DAMOP19/Session/L01.13 (accessed on 25 May 2020).
- DeMars, C.M.; Ward, S.J. Deep minima in the TDCS for positron-helium ionization computed using the Coulomb-Born approximation. In Proceedings of the XX International Workshop on Low-Energy Positron and Positronium Physics (POSMOL 2019 Book of Abstracts), Belgrade, Serbia, 18–21 July 2019; Cassidy, D., Brunger, M.J., Petrovíc, Z.L., Dujko, S., Marinković, B.P., Maríc, D., Tošić, S., Eds.; Serbian Academy of Sciences and Arts: Belgrade, Serbia, 2019. LEPPP 12. p. 53. Available online: http://posmol2019.ipb.ac.rs/_files/Book_POSMOL2019_Online.pdf (accessed on 25 May 2020).
- Colgan, J.; Al-Hagan, O.; Madison, D.H.; Murray, A.J.; Pindzola, M.S. Deep interference minima in non-coplanar triple differential cross sections for the electron-impact ionization of small atoms and molecules. J. Phys. B At. Mol. Opt. Phys. 2009, 42, 171001. [Google Scholar]
- Jones, G.O.; Charlton, M.; Slevin, J.; Laricchia, G.; Kövér, Á.; Poulsen, M.R.; Chormaic, S.N. Positron impact ionization of atomic hydrogen. J. Phys. B At. Mol. Opt. Phys. 1993, 26, L483–L488. [Google Scholar] [CrossRef]
- Murtagh, D.J.; Szłuińska, M.; Moxom, J.; Reeth, P.V.; Laricchia, G. Positron-impact ionization and positronium formation from helium. J. Phys. B At. Mol. Opt. Phys. 2005, 38, 3857–3866. [Google Scholar] [CrossRef]
- Laricchia, G.; Brawley, S.; Cooke, D.A.; Kövér, Á.; Murtagh, D.J.; Williams, A.I. Ionization in positron- and positronium-collisions with atoms and molecules. J. Phys. Conf. Ser. 2009, 194, 012036. [Google Scholar]
- Laricchia, G.; Cooke, D.A.; Köver, A.; Brawley, S.J. Experimental aspects of ionization studies by positron and positronium impact. In Fragmentation Processes: Topics in Atomic and Molecular Physics; Whelan, C.T., Ed.; Cambridge University Press: Cambridge, UK, 2013; Chapter 5; pp. 116–136. [Google Scholar]
- DuBois, R.D. Topical Review, Methods and progress in studying inelastic interactions between positrons and atoms. J. Phys. B At. Mol. Opt. Phys. 2016, 49, 112002. [Google Scholar] [CrossRef]
- Surko, C.M.; Gribakin, G.F.; Buckman, S.J. Topical Review, Low-energy positron interactions with atoms and molecules. J. Phys. B At. Mol. Opt. Phys. 2005, 38, R57–R126. [Google Scholar] [CrossRef]
- Schippers, S.; Sokell, E.; Aumayr, F.; Sadeghpour, H.; Ueda, K.; Bray, I.; Bartschat, K.; Murray, A.; Tennyson, J.; Dorn, A.; et al. Roadmap on photonic, electronic and atomic collisions: II. Electron and antimatter interactions. J. Phys. B At. Mol. Opt. Phys. 2019, 52, 171002. [Google Scholar] [CrossRef]
- Kövér, Á.; Laricchia, G. Triply differential study of positron impact ionization of H2. Phys. Rev. Lett. 1998, 80, 5309–5312. [Google Scholar]
- Kövér, Á.; Murtagh, D.J.; Williams, A.I.; Laricchia, G. Differential ionization studies by positron impact. J. Phys. Conf. Ser. 2010, 199, 012020. [Google Scholar] [CrossRef]
- Navarrete, F.; Feole, M.; Barrachina, R.O.; Kövér, Á. When vortices and cusps meet. J. Phys. Conf. Ser. 2015, 583, 01202. [Google Scholar] [CrossRef]
- Ali, E.; Ren, X.; Dorn, A.; Ning, C.; Colgan, J.; Madison, D.H. Experimental and theoretical triple-differential cross sections for tetrahydrofuran ionized by low-energy 26-eV-electron impact. Phys. Rev. A 2016, 93, 062705. [Google Scholar] [CrossRef]
- Ali, E.; Chakraborty, H.S.; Madison, D.H. Improved theoretical calculations for electron-impact ionization of DNA analogue molecules. J. Chem. Phys. 2020, 152, 124303. [Google Scholar] [CrossRef] [PubMed]
- Murray, A.J.; Read, F.H. Novel exploration of the helium (e,2e) ionization processes. Phys. Rev. Lett. 1992, 69, 2912–2914. [Google Scholar] [CrossRef] [PubMed]
- Jones, S.; Madison, D.H.; Franz, A.; Altick, P.L. Three-body distorted-wave Born approximation for electron-atom ionization. Phys. Rev. A 1993, 48, R22–R25. [Google Scholar] [CrossRef]
- Jones, S.; Madison, D.H. Ionization of hydrogen atoms by fast electrons. Phys. Rev. A 2000, 62, 042701. [Google Scholar]
- Madison, D.H.; Al-Hagan, O. The distorted-wave Born approach for calculating electron-impact ionization of molecules. J. At. Mol. Opt. Phys. 2010, 2010, 367180. [Google Scholar]
- Bialynicki-Birula, I.; Bialynicka-Birula, Z.; Śliwa, C. Motion of vortex lines in quantum mechanics. Phys. Rev. A 2000, 61, 032110. [Google Scholar] [CrossRef]
- Wolfram Research, Inc. Mathematica; Version 11.3; Wolfram Research, Inc.: Champaign, IL, USA, 2018. [Google Scholar]
- Microsoft Office 365 ProPlus. Available online: https://www.microsoft.com/en-us/microsoft-365/publisher (accessed on 25 May 2020).







© 2020 by the authors. Licensee MDPI, Basel, Switzerland. This article is an open access article distributed under the terms and conditions of the Creative Commons Attribution (CC BY) license (http://creativecommons.org/licenses/by/4.0/).
Share and Cite
DeMars, C.M.; Ward, S.J.; Colgan, J.; Amami, S.; Madison, D.H. Deep Minima in the Triply Differential Cross Section for Ionization of Atomic Hydrogen by Electron and Positron Impact. Atoms 2020, 8, 26. https://doi.org/10.3390/atoms8020026
DeMars CM, Ward SJ, Colgan J, Amami S, Madison DH. Deep Minima in the Triply Differential Cross Section for Ionization of Atomic Hydrogen by Electron and Positron Impact. Atoms. 2020; 8(2):26. https://doi.org/10.3390/atoms8020026
Chicago/Turabian StyleDeMars, C. M., S. J. Ward, J. Colgan, S. Amami, and D. H. Madison. 2020. "Deep Minima in the Triply Differential Cross Section for Ionization of Atomic Hydrogen by Electron and Positron Impact" Atoms 8, no. 2: 26. https://doi.org/10.3390/atoms8020026
APA StyleDeMars, C. M., Ward, S. J., Colgan, J., Amami, S., & Madison, D. H. (2020). Deep Minima in the Triply Differential Cross Section for Ionization of Atomic Hydrogen by Electron and Positron Impact. Atoms, 8(2), 26. https://doi.org/10.3390/atoms8020026

