Wavelengths of the Self-Photopumped Nickel-Like 4f 1P1→4d 1P1 X-ray Laser Transitions
Abstract
:1. Introduction
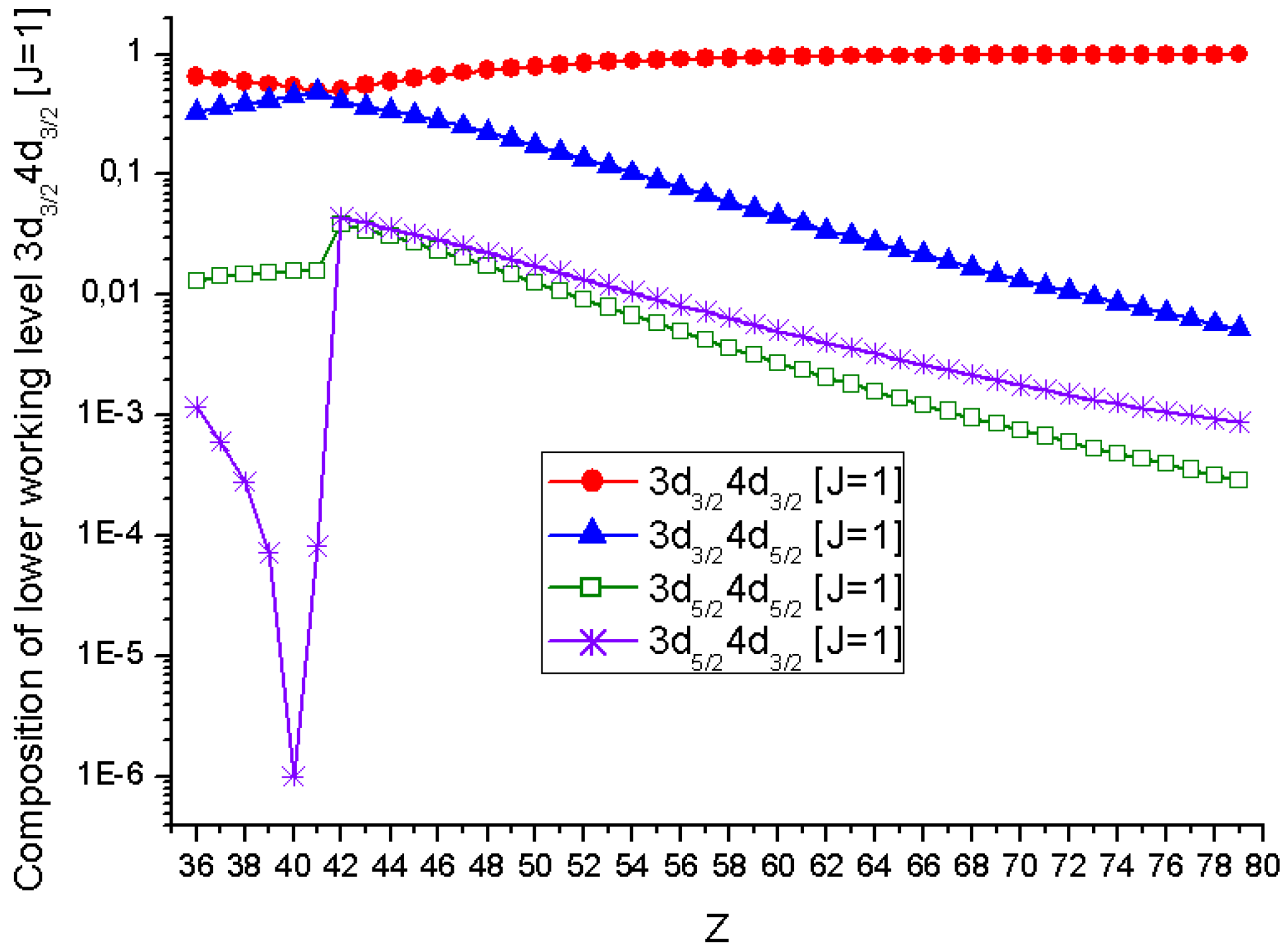
2. Features of Lower and Upper Working Levels of SPP XRL along the Ni-Like Sequence
- (1)
- In the standard scheme, the upper working level is populated by strong monopole electron collisions: in the SPP scheme it is populated by strong dipole electron collisions, which means high oscillator strength and effective photoabsorption.
- (2)
- Effective SPP XRL is possible only in optically thick plasma (large electron density ne and diameter d), while the standard XRL is possible both in optically thick and in optically thin plasma over a wide range of ne and d.
- (3)
- In the SPP, the upper working level is quickly emptied due to the large radiative decay rate. Therefore, in this scheme, a laser effect is short-lived; maximum XRL duration may be a few tens of picoseconds. A standard XRL can operate in quasi-continuous mode (under certain conditions).
- (4)
- In the SPP, the lower and upper working levels do not change their classification along the Ni-like sequence; in the standard scheme the upper working level changes its classification: the 3d5/24d5/2 [J = 0] state is dominant in the classification of the upper working level at Z ≤ 51, and the 3d3/24d3/2 [J = 0] state is dominant for Z > 51 [17].
3. Wavelengths of the Self-Photopumped Nickel-Like 4f 1P1→4d 1P1 X-ray Laser Transitions
4. Conclusions
- (i)
- For Z = 50, λlas ~ 134.1 Å. For this wavelength region, MMs for nanolithography were developed as early as in 1993 [26]. The maximum normal incidence reflectivity achieved that time was 66% for a Mo/Si MM at λ = 13.4 nm, the reflectivity can be increased to 70%.
- (ii)
- For Z = 54 λlas ~ 11.3 nm. A series of normal-incidence reflectance measurements at just longer than the beryllium K-edge (11.1 nm) from Mo/Be MM was reported in [27]. The highest peak reflectance was 68.7 ± 0.2% at =11.3 nm obtained from a MM with 70 bilayers ending in beryllium.Our model of the high efficient monochromatic radiation sources near λ = 13.5 at 11.3 nm obtained in Xe26+, intended for commercial nanolithography, was presented in our recent work [28].
- (iii)
Conflicts of Interest
References
- Nilsen, J. Self photo-pumped neon-like and nickel-like X-ray lasers. In Proceedings of the Fifth International Conference on X-Ray Lasers, Lund, Sweden, 10–14 June 1996; Svanberg, S., Walström, C.-G., Eds.; CRC Press: Boca Raton, FL, USA, 1996. [Google Scholar]
- Nilsen, J. Design of a picosecond laser-driven Ni-like Mo X-ray laser near 20 nm. J. Opt. Soc. Am. B 1997, 14, 1511–1514. [Google Scholar] [CrossRef]
- Grant, I.P.; McKenzie, B.J.; Norrington, P.H.; Mayers, D.F.; Pyper, M.C. An atomic multiconfigurational Dirack-Fock package. Comput. Phys. Commun. 1980, 21, 207–231. [Google Scholar] [CrossRef]
- Nilsen, J.; Dunn, J.; Osterheld, A.L.; Li, Y. Lasing on the self-photopumped nickel-like 4f 1P1–4d 1P1 X-ray transition. Phys. Rev. A 1999, 60, R2677–R2680. [Google Scholar] [CrossRef]
- Kuba, J.; Klisnick, A.; Ros, D.; Fourcade, P.; Jamelot, G.; Miquel, J.-L.; Blanchot, N.; Wyart, J.-F. Two-color transient pumping in Ni-like silver at 13.9 and 16.1 nm. Phys. Rev. A 2000, 62, 043808. [Google Scholar] [CrossRef]
- Luther, B.M.; Wang, Y.; Larotonda, M.A.; Alessi, D.; Berrill, M.; Marconi, M.C.; Rocca, J.J.; Shlyaptsev, V.N. Saturated high-repetition rate 18.9 nm table top laser in Ni-like molybdenum. Opt. Lett. 2005, 30, 165–167. [Google Scholar] [CrossRef] [PubMed]
- Siegrist, M.; Staub, F.; Jia, F.; Feuer, T.; Balmer, J.; Nilsen, J. Self-photopumped X-ray lasers from elements in the Ne-like and Ni-like ionization state. Opt. Commun. 2017, 382, 288–293. [Google Scholar] [CrossRef]
- Reader, J.; Aquista, N.; Kaufman, V. Spectrum and energy levels of seven-times-ionized krypton (Kr VIII) and resonance lines of eight-times-ionized krypton. J. Opt. Soc. Am. B 1991, 8, 538–547. [Google Scholar] [CrossRef]
- Chen, H.; Beiersdorfer, P.; Fournier, K.B.; Träbert, E. Soft X-ray spectra of highly charged Kr ions in an electron-beam ion trap. Phys. Rev. E 2002, 65, 056401. [Google Scholar] [CrossRef] [PubMed]
- Churilov, S.S.; Ryabtsev, A.N.; Wyart, J.-F. Identification of n = 4, Δn = 0 transitions in the spectra of Nickel-like and Zn-like ions through tin. Phys. Scr. 1988, 38, 326–335. [Google Scholar] [CrossRef]
- Ryabtsev, A.N.; Churilov, S.S.; Nilsen, J.; Li, Y.; Dunn, J.; Osterheld, A.L. Additional analysis of Ni-like ions spectra. Opt. Spectrosc. 1999, 87, 197–202. (In Russian) [Google Scholar]
- Rahman, A.; Hammarsten, E.C.; Sakadzik, S.; Rocca, J.J.; Wyart, J.-F. Identification of n = 4, Δn = 0 transitions in the spectra of Nickel-like cadmium ions from a capillary discharge plasma column. Phys. Scr. 2003, 67, 414–419. [Google Scholar] [CrossRef]
- Rahman, A.; Rocca, J.J.; Wyart, J.-F. Classification of the Nickel-like silver spectrum (Ag XX) from a fast capillary discharge plasma. Phy. Scr. 2004, 70, 21–25. [Google Scholar] [CrossRef]
- Churilov, S.S.; Ryabtsev, A.N.; Wyart, J.-F. Analysis of the 4–4 transition in the Ni-like Kr IX. Phys. Scr. 2005, 71, 457–463. [Google Scholar] [CrossRef]
- Ivanova, E.P.; Gogava, A.L. Energies of X-ray transitions in heavy Ni-like ions. Opt. Spectrosc. 1985, 59, 1310–1314. (In Russian) [Google Scholar]
- Ivanova, E.P. Energy levels and probability of radiative transitions in the Kr IX ion. Opt. Spectrosc. 2014, 117, 179–187. [Google Scholar] [CrossRef]
- Ivanova, E.P. Wavelengths of the 4d–4p, 0–1 X-ray laser transitions in Ni-Like ions. Int. J. Adv. Res. Phys. Sci. 2016, 3, 34–40. [Google Scholar] [CrossRef]
- Ivanova, E.P. Proposal for precision wavelength measurement of the Ni-like gadolinium X-ray laser formed during the interaction of nanostructured target with an ultrashort laser beam. Laser Phys. Lett. 2015, 12, 105801. [Google Scholar] [CrossRef]
- Ivanova, E.P.; Zinoviev, N.A.; Knight, L.V. Theoretical investigation of X-ray laser on the transitions of Ni-like xenon in the range 13–14 nm. Quantum Electron. 2001, 31, 683–688. [Google Scholar] [CrossRef]
- Ivanova, E.P.; Ivanov, A.L. A superpowerful source of far-ultraviolet monochromatic radiation. J. Exp. Theor. Phys. 2005, 100, 844–856. [Google Scholar] [CrossRef]
- Ivanova, E.P.; Grant, I. Oscillator strength anomalies in the neon isoelectronic sequence with applications to X-ray laser modeling. J. Phys. B At. Mol. Opt. Phys. 1998, 31, 2871–2883. [Google Scholar] [CrossRef]
- Kramida, A.E.; Shirai, T. Energy levels and spectral lines of tungsten. W III through W LXXIV. At. Data Nucl. Data Tables 2009, 95, 305–474. [Google Scholar] [CrossRef]
- Clementson, J.; Beiersdorfer, P.; Brown, G.V.; Gu, M.F. Spectroscopy of M-shell X-ray transitions in Zn-like through Co-like W. Phys. Scr. 2010, 81, 015301. [Google Scholar] [CrossRef]
- Dong, C.-Z.; Fritzsche, S.; Xie, L.-Y. Energy levels and transition probabilities for possible X-ray laser lines of highly charged Ni-like ions. J. Quant. Spectrosc. Rad. Transf. 2003, 76, 447–465. [Google Scholar] [CrossRef]
- Safronova, U.I.; Safronova, A.S.; Hamasha, S.M.; Beiersdorfer, P. Relativistic many-body calculations of multipole (E1, M1, E2, M2, E3, and M3) transitions wavelengths and rates between 3l−14l’excited and ground states in nickel-like ions. At. Data Nucl. Data Tables 2006, 92, 47–104. [Google Scholar] [CrossRef]
- Stearns, D.G.; Rosen, R.S.; Vernon, S.P. Multilayer mirror technology for soft-X-ray projection lithography. Appl. Opt. 1993, 32, 6952–6960. [Google Scholar] [CrossRef] [PubMed]
- Skulina, K.M.; Alford, C.S.; Bionta, R.M.; Makowiecki, D.M.; Gullikson, E.M.; Soufli, R.; Kortright, J.B.; Underwood, J.H. Molybdenum/beryllium multilayer mirrors for normal incidence in the extreme ultraviolet. Appl. Opt. 1995, 34, 3727–3730. [Google Scholar] [CrossRef] [PubMed]
- Ivanova, E.P. X-ray laser near 13.5 and 11.3 nm in Xe26+ driven by intense pump laser interacting with xenon cluster jet as a promising radiation source for nanolithography. Laser Phys. 2017, 27, 055802–055811. [Google Scholar] [CrossRef]
- Makhotkin, I.A.; Zoethout, E.; Van de Kruijs, R.; Yakunin, S.N.; Louis, E.; Yakunin, A.M.; Banine, V.; Müllender, S.; Bijkerk, F. Short period La/B and LaN/B multilayer mirrors for 6.8 nm wavelengths. Opt. Express 2013, 21, 29894–29904. [Google Scholar] [CrossRef] [PubMed]
- Dong, C.Z.; Fritzsche, S.; Gaigalas, G.; Jacob, T.; Sienkievicz, J.E. Theoretical level structure and decay dynamics of Ni-like ions: search for laser lines in the soft X-ray domain. Phys. Scr. 2001, 92, 314–316. [Google Scholar]






| Configuration | Term | J | Experiment | Present Work | GRASP92 | 
|---|---|---|---|---|---|
| 3p63d10 | 1S0 | 0 | 0.0 | 0.0 | 0.0 | 
| 3p63d94s | (5/2,1/2) | 3 | 12,601.5 | 12,600.1 | |
| 2 | 12,616.44 | 12,615.2 | 12,591.1 | ||
| 3p63d94s | (3/2,1/2) | 1 | 13,138.66 | 13,137.8 | 13,110.8 | 
| 2 | 13,148.2 | 13,147.4 | 13,120.7 | ||
| 3p63d94p | (5/2,1/2) | 2 | 13,379.05 | 13,357.5 | |
| 3 | 13,388.20 | 13,366.3 | |||
| 3p63d94p | (3/2,1/2) | 2 | 13,916.27 | 13,894.8 | |
| 1 | 13,940.6 | 13,922.4 | 13,930.6 | ||
| 3p63d94p | (5/2,3/2) | 1 | 14,229.0 | 14,234.9 | 14,221.0 | 
| 3p63d94p | (3/2,3/2) | 1 | 14,751.0 | 14,756.2 | 14,741.1 | 
| 3p63d94d | (3/2,3/2) | 1 | 15,935.9 | 15,924.2 | |
| 3p63d94d | (5/2,5/2) | 1 | 15,556.1 | 15,561.3 | 15,550.2 | 
| 2 | 15,610.2 | 15,614.9 | 15,605.0 | ||
| 3p53d104s | (3/2,1/2) | 1 | 16,247.0 | 16,258.9 | |
| 3p63d94d | (3/2,3/2) | 0 | 16,256.2 | 16,284.7 | 16,282.9 | 
| 3p63d94f | (5/2,7/2) | 1 | 17,045.9 | 17,042.2 | 17,030.6 | 
| 3p63d94f | (3/2,5/2) | 1 | 17,574.7 | 17,586.5 | 17,585.6 | 
| 17,580.3 * | |||||
| 3p53d104s | (1/2,1/2) | 1 | 18,727 | 18,726.4 | 18,724.4 | 
| 3p53d104d | (3/2,3/2) | 1 | 19,044.4 | 19,041.8 | 19,057.5 | 
| 3p53d104d | (3/2,5/2) | 1 | 19,244.5 | 19,234.8 | 19,244.1 | 
| 3p53d104f | (3/2,7/2) | 2 | 20,589.0 | 20,600.1 | 20,613.8 | 
| 3p53d104d | (1/2,3/2) | 1 | 21,561.0 | 21,547.0 | 21,614.6 | 
| Z | λlas | 
|---|---|
| 50 | 134.08 | 
| 51 | 128.12 | 
| 52 | 122.54 | 
| 53 | 117.39 | 
| 54 | 112.66 | 
| 55 | 108.36 | 
| 56 | 104.295 | 
| 57 | 100.51 | 
| 58 | 96.98 | 
| 59 | 93.68 | 
| 60 | 90.57 | 
| 61 | 87.65 | 
| 62 | 84.89 | 
| 63 | 82.28 | 
| 64 | 79.81 | 
| 65 | 77.47 | 
| 66 | 75.23 | 
| 67 | 73.08 | 
| 68 | 71.06 | 
| 69 | 69.11 | 
| 70 | 67.25 | 
| 71 | 65.47 | 
| 72 | 63.75 | 
| 73 | 62.10 | 
| 74 | 60.51 | 
| 75 | 58.97 | 
| 76 | 57.48 | 
| 77 | 56.04 | 
| 78 | 54.64 | 
| 79 | 53.23 | 
© 2017 by the author. Licensee MDPI, Basel, Switzerland. This article is an open access article distributed under the terms and conditions of the Creative Commons Attribution (CC BY) license (http://creativecommons.org/licenses/by/4.0/).
Share and Cite
Ivanova, E. Wavelengths of the Self-Photopumped Nickel-Like 4f 1P1→4d 1P1 X-ray Laser Transitions. Atoms 2017, 5, 25. https://doi.org/10.3390/atoms5030025
Ivanova E. Wavelengths of the Self-Photopumped Nickel-Like 4f 1P1→4d 1P1 X-ray Laser Transitions. Atoms. 2017; 5(3):25. https://doi.org/10.3390/atoms5030025
Chicago/Turabian StyleIvanova, Elena. 2017. "Wavelengths of the Self-Photopumped Nickel-Like 4f 1P1→4d 1P1 X-ray Laser Transitions" Atoms 5, no. 3: 25. https://doi.org/10.3390/atoms5030025
APA StyleIvanova, E. (2017). Wavelengths of the Self-Photopumped Nickel-Like 4f 1P1→4d 1P1 X-ray Laser Transitions. Atoms, 5(3), 25. https://doi.org/10.3390/atoms5030025
 
         
                                                
 
       