On a Study of Photoionization of Atoms and Ions from Endohedral Anions
Abstract
1. Introduction
2. Theory
2.1. Review of the Former Modeling of A@
2.2. Accounting for Quantum States of the Excess Electrons in A@
3. Results and Discussion
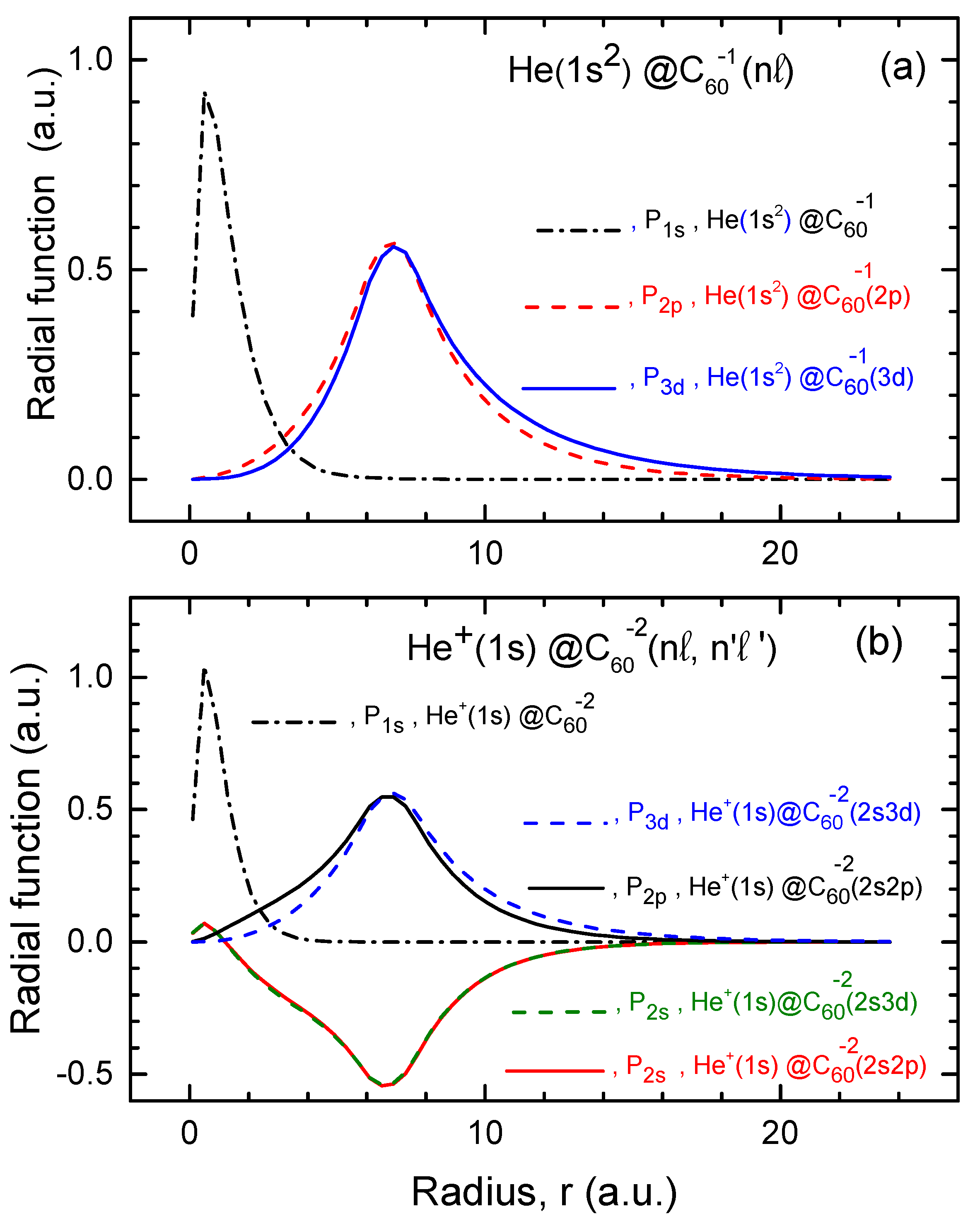
3.1. Versus
3.2. , and
4. Conclusions
Author Contributions
Funding
Data Availability Statement
Conflicts of Interest
Appendix A. Term-Averaged Hartree–Fock Approximation
References
- Dolmatov, V.K.; Manson, S.T. Photoionization of atoms encapsulated in endohedral ions A@C60. Phys. Rev. A 2006, 73, 013201. [Google Scholar] [CrossRef]
- Dolmatov, V.K.; Craven, G.T.; Guler, E.; Keating, D. Revivification of confinement resonances in the photoionization of A@C60 endohedral atoms far above thresholds. Phys. Rev. A 2009, 80, 035401. [Google Scholar] [CrossRef]
- Ludlow, J.A.; Lee, T.-G.; Pindzola, M.S. Double photoionization of atoms and ions confined in charged fullerenes. J. Phys. B 2010, 43, 235202. [Google Scholar] [CrossRef]
- Kumar, A.; Varma, H.R.; Deshmukh, P.C.; Manson, S.T.; Dolmatov, V.K.; Kheifets, A.S. Effect of coulomb confinement resonances on time delay in . J. Phys. Conf. Ser. 2015, 635, 092042. [Google Scholar] [CrossRef]
- Kumar, A.; Varma, H.R.; Deshmukh, P.C.; Manson, S.T.; Dolmatov, V.K.; Kheifets, A. Wigner photoemission time delay from endohedral anions. Phys. Rev. A 2016, 94, 043401. [Google Scholar] [CrossRef]
- Chaudhuri, S.K.; Mukherjee, P.K.; Fricke, B. Spectroscopy of low lying transitions of He confined in a fullerene cage. Eur. Phys. J. D 2016, 70, 196. [Google Scholar] [CrossRef]
- Chaudhuri, S.K.; Chaudhuri, R.K.; Mukherjee, P.K.; Chattopadhyay, S. A confinement induced spectroscopic study of noble gas atoms using equation of motion architecture: Encapsulation within fullerene’s voids. J. Chem. Phys. 2017, 147, 034111. [Google Scholar] [CrossRef]
- Thuppilakkadan, A.; Jose, J.; Varma, H.R. Systematic study of Coulomb confinement resonances of atoms trapped inside charged fullerenes. Phys. Rev. A 2020, 102, 062826. [Google Scholar] [CrossRef]
- Thuppilakkadan, A.; Jose, J.; Varma, H.R. Confinement enhanced spin-orbit interchannel coupling effect on the atomic photoionization. J. Phys. B 2021, 54, 145001. [Google Scholar] [CrossRef]
- Thuppilakkadan, A.; Jose, J.; Varma, H.R. Photoionization dynamics of Ar trapped in a fullerene anion: Coulomb confinement resonances in 2s subshell and its impact on the 3s subshell. Phys. Scr. 2021, 96, 104004. [Google Scholar] [CrossRef]
- Dubey, K.A.; Jose, J. Elastic electron scattering from Ar@: Dirac partial-wave analysis. J. Phys. B 2021, 54, 115204. [Google Scholar] [CrossRef]
- Chaudhuri, S.K. Spectroscopy of He atom encapsulated in C60 cage: Low lying magnetic dipolar (M1) and magnetic quadrupolar (M2) transitions. Can. J. Phys. 2022, 100, 362. [Google Scholar] [CrossRef]
- Thuppilakkadan, A.; Banerjee, S.; Varma, H.R. Modifications in the angular photoemission time delay in Ar@: Coulomb confinement resonance as an amplifier of the spin-orbit-interaction-activated interchannel coupling effect. Phys. Rev. A 2023, 107, 052804. [Google Scholar] [CrossRef]
- Lohr, L.L.; Blinder, S.M. Electron photodetachment from a Dirac bubble potential. A model for the fullerene negative ion . Chem. Phys. Lett. 1992, 198, 100. [Google Scholar] [CrossRef]
- Amusia, M.Y.; Baltenkov, A.S.; Krakov, B.G. Photodetachment of negative C60- ions. Phys. Lett. A 1998, 243, 99. [Google Scholar] [CrossRef]
- Dolmatov, V.K. Spin-Polarized Photoelectron Fluxes from Fullerene Anions. Atoms 2020, 8, 65. [Google Scholar] [CrossRef]
- Dolmatov, V.K.; Manson, S.T. A glimpse into photodetachment spectra of giant and nested fullerene anions. Atoms 2022, 10, 99. [Google Scholar] [CrossRef]
- Puska, M.J.; Nieminen, R.M. Photoabsorption of atoms inside C60. Phys. Rev. A 1993, 47, 1181. [Google Scholar] [CrossRef]
- Deshmukh, P.C.; Jose, J.; Varma, H.R.; Manson, S.T. Electronic structure and dynamics of confined atoms. Eur. Phys. J. D 2021, 75, 166. [Google Scholar] [CrossRef]
- Amusia, M.Y.; Chernysheva, L.V. Computation of Atomic and Molecular Processes: Introducing the ATOM-M Software Suite; Springer: Berlin/Heidelberg, Germany, 2021; Volume 117, ISBN 978-3-030-85142-2. [Google Scholar] [CrossRef]
- Chernysheva, L.V.; Yarzhemsky, V.G. Photoionization cross-sections of valence ns and np (n = 2, 3) atomic shells in soft x-ray region. At. Data Nucl. Data Tables 2024, 155, 101621. [Google Scholar] [CrossRef]
- Dolmatov, V.K.; Brewer, P.; Manson, S.T. Photoionization of atoms confined in giant single-walled and multiwalled fullerenes. Phys. Rev. A 2008, 78, 013415. [Google Scholar] [CrossRef]
- Baltenkov, A.S. Resonances in photoionization cross sections of inner subshells of atoms inside the fullerene cage. J. Phys. B 1999, 32, 2745. [Google Scholar] [CrossRef]
- Connerade, J.P.; Dolmatov, V.K.; Manson, S.T. On the nature and origin of confinement resonances. J. Phys. B 1999, 33, 2279. [Google Scholar] [CrossRef]
- Dolmatov, V.K. Photoionization of atoms encaged in spherical fullerenes. In Theory of Confined Quantum Systems. Part 2 (Advances in Quantum Chemistry); Sabin, J.R., Brändas, E., Eds.; Academic: New York, NY, USA, 2009; Volume 58, pp. 13–68. [Google Scholar]
- Sabin, J.R.; Brändas, E.; Cruz, S.A. (Eds.) Theory of Confined Quantum Systems. Part 1, (Advances in Quantum Chemistry Volume 57); Academic: New York, NY, USA, 2009; 297p. [Google Scholar]
- Sabin, J.R.; Brändas, E.; Cruz, S.A. (Eds.) Theory of Confined Quantum Systems. Part 2, Advances in Quantum Chemistry Volume 58); Academic: New York, NY, USA, 2009; 334p. [Google Scholar]
- Sen, K.D. (Ed.) Electronic Structure of Quantum Confined Atoms and Molecules; Springer: Cham, Switzerland, 2014. [Google Scholar]
- Ley-Koo, E. Recent progress in confined atoms and molecules: Superintegrability and symmetry breakings. Rev. Mex. Fis. 2018, 64, 326. [Google Scholar] [CrossRef]
- Chakraborty, H.S.; Varma, H.R. Photon and Particle Impact Spectroscopy and Dynamics of Atoms, Molecules, and Clusters. Atoms 2023, 11, 156. [Google Scholar] [CrossRef]
- Nielson, C.W.; Koster, G.F. Spectroscopic Coefficients for the pn, dn, and fn Onfigurations; The MIT Press: Cambridge, MA, USA, 1963. [Google Scholar]
- Sobelman, I.I. Atomic Spectra and Radiative Transitions; Springer: Berlin/Heidelberg, Germany, 1992; ISBN 978-3-540-54518-7. [Google Scholar]





Disclaimer/Publisher’s Note: The statements, opinions and data contained in all publications are solely those of the individual author(s) and contributor(s) and not of MDPI and/or the editor(s). MDPI and/or the editor(s) disclaim responsibility for any injury to people or property resulting from any ideas, methods, instructions or products referred to in the content. |
© 2024 by the authors. Licensee MDPI, Basel, Switzerland. This article is an open access article distributed under the terms and conditions of the Creative Commons Attribution (CC BY) license (https://creativecommons.org/licenses/by/4.0/).
Share and Cite
Dolmatov, V.K.; Chernysheva, L.V.; Yarzhemsky, V.G. On a Study of Photoionization of Atoms and Ions from Endohedral Anions. Atoms 2024, 12, 56. https://doi.org/10.3390/atoms12110056
Dolmatov VK, Chernysheva LV, Yarzhemsky VG. On a Study of Photoionization of Atoms and Ions from Endohedral Anions. Atoms. 2024; 12(11):56. https://doi.org/10.3390/atoms12110056
Chicago/Turabian StyleDolmatov, Valeriy K., Larissa V. Chernysheva, and Victor G. Yarzhemsky. 2024. "On a Study of Photoionization of Atoms and Ions from Endohedral Anions" Atoms 12, no. 11: 56. https://doi.org/10.3390/atoms12110056
APA StyleDolmatov, V. K., Chernysheva, L. V., & Yarzhemsky, V. G. (2024). On a Study of Photoionization of Atoms and Ions from Endohedral Anions. Atoms, 12(11), 56. https://doi.org/10.3390/atoms12110056

