Double K-Shell Ionization of Ar by 197-MeV/u Xe54+ Ion Impact
Abstract
1. Introduction
2. Experiment
3. Data Analysis Methods
3.1. Spectra Fitting of K X-ray
3.2. Fluorescence Yields of Argon with Multiple Vacancy
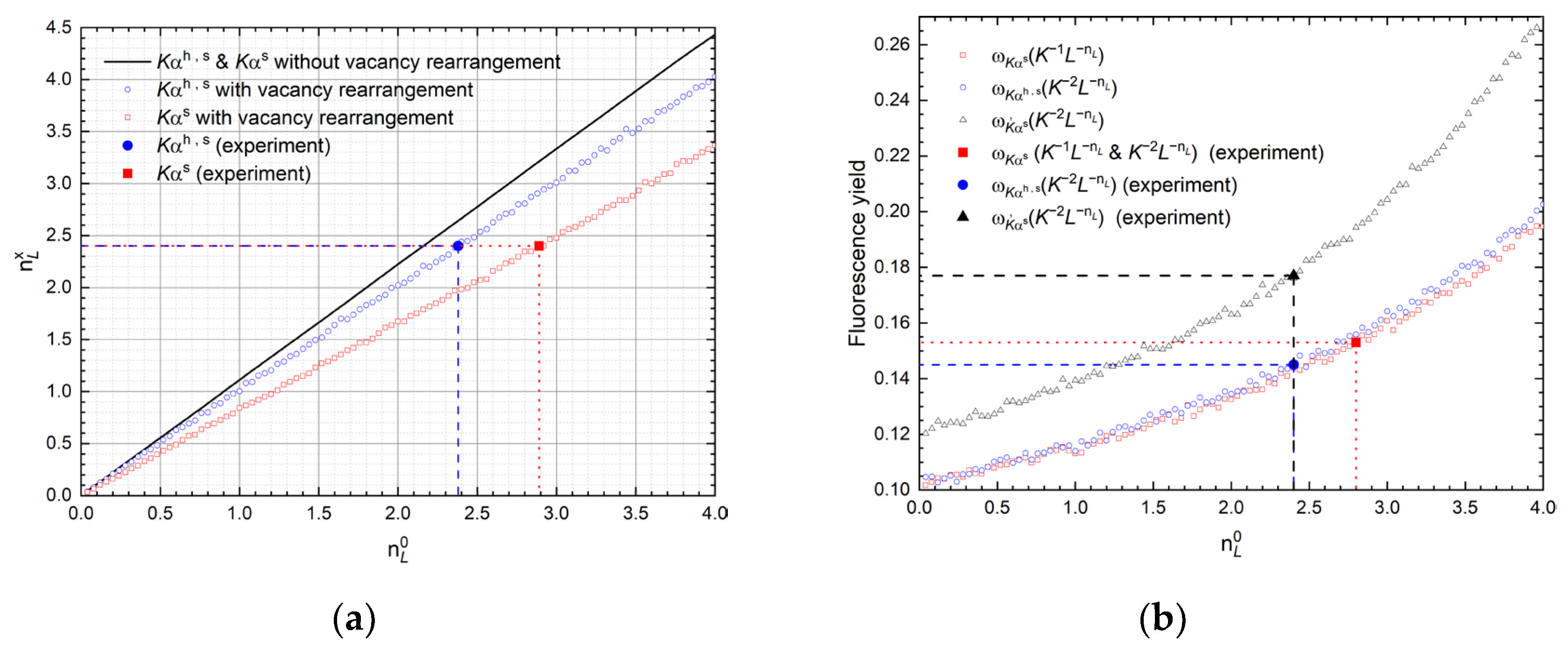
4. Results and Discussion
5. Conclusions
Author Contributions
Funding
Data Availability Statement
Acknowledgments
Conflicts of Interest
References
- McGuire, J.H.; Berrah, N.; Bartlett, R.J.; Samson, J.A.; Tanis, J.A.; Cocke, C.L.; Schlachter, A.S. The ratio of cross sections for double to single ionization of helium by high energy photons and charged particles. J. Phys. B At. Mol. Opt. Phys. 1995, 28, 913–940. [Google Scholar] [CrossRef]
- Awaya, Y.; Katou, T.; Kumagai, H.; Tonuma, T.; Tendow, Y.; Izumo, K.; Hashizume, A.; Takahashi, T.; Hamada, T. Ratio of single K-shell ionization cross section to double K-shell ionization cross section in heavy-ion-atom collisions. Phys. Lett. A 1980, 75, 478–480. [Google Scholar] [CrossRef]
- Hall, J.; Richard, P.; Gray, T.J.; Jones, K.; Johnson, B.; Gregory, D. Ratios of double to single K-vacancy production in heavy ion-atom collisions. Phys. Lett. A 1982, 75, 129–132. [Google Scholar] [CrossRef]
- Hall, J.; Richard, P.; Philip, L.P.; Gregory, D.C.; Miller, P.D.; Moak, C.D.; Jones, C.M.; Alton, G.D.; Bridwell, L.B.; Sofield, C.J. Energy systematics of single and double K-shell-vacancy production in titanium bombarded by chlorine ions. Phys. Rev. A 1986, 33, 914–920. [Google Scholar] [CrossRef] [PubMed]
- Kobal, M.; Kavčič, M.; Budnar, M.; Dousse, J.C.; Maillard, Y.P.; Mauron, O.; Raboud, P.A.; Tökési, K. Double-K-shell ionization of Mg and Si induced in collisions with C and Ne ions. Phys. Rev. A 2004, 70, 062720. [Google Scholar] [CrossRef]
- Briand, J.P.; Chevallier, P.; Tavernier, M.; Rozet, J.P. Observation of K Hypersatellites and KL Satellites in the X-ray Spectrum of Doubly K-Ionized Gallium. Phys. Rev. Lett. 1971, 27, 777–779. [Google Scholar] [CrossRef]
- Watson, R.L.; Horvat, V.; Peng, Y. Kα X-ray satellite and hypersatellite spectra of vanadium metal and oxides excited in heavy-ion collisions. Phys. Rev. A 2008, 78, 062702. [Google Scholar] [CrossRef]
- Horvat, V.; Watson, R.L.; Peng, Y. Kα satellite and hypersatellite distributions of Ar excited in heavy-ion collisions. Phys. Rev. A 2009, 79, 012708. [Google Scholar] [CrossRef]
- Maillard, Y.P.; Dousse, J.C.; Hoszowska, J.; Berset, M.; Mauron, O.; Raboud, P.A.; Kavčič, M.; Rzadkiewicz, J.; Banaś, D.; Tökési, K. Hypersatellite X-ray decay of 3d hollow-K-shell atoms produced by heavy-ion impact. Phys. Rev. A 2018, 98, 012705. [Google Scholar] [CrossRef]
- Köhrbrück, R.; Stolterfoht, N.; Schippers, S.; Hustedt, S.; Heiland, W.; Lecler, D.; Kemmler, J.; Bleck-Neuhaus, J. Electron emission following the interaction of highly charged ions with a Pt(110) target. Phys. Rev. A 1993, 48, 3731–3740. [Google Scholar] [CrossRef]
- Woods, C.W.; Kauffman, R.L.; Jamison, K.A.; Stolterfoht, N.; Richard, P. K-shell Auger-electron hypersatellites of Ne. Phys. Rev. A 1975, 12, 1393–1398. [Google Scholar] [CrossRef]
- Wölfli, W.; Stoller, C.; Bonani, G.; Suter, M.; Stöckli, M. Two-Electron-One-Photon Transitions in Heavy-Ion Collisions. Phys. Rev. Lett. 1975, 35, 656–659. [Google Scholar] [CrossRef]
- Folkerts, L.; Das, J.; Bergsma, S.W.; Morgenstern, R. Three-electron Auger processes observed in collisions of bare ions on a metal surface. Phys. Lett. A 1992, 163, 73–76. [Google Scholar] [CrossRef]
- McGuire, J.H.; Weaver, L. Independent electron approximation for atomic scattering by heavy particles. Phys. Rev. A 1977, 16, 41–47. [Google Scholar] [CrossRef]
- Shao, C.; Yu, D.; Cai, X.; Chen, X.; Ma, K.; Evslin, J.; Xue, Y.; Wang, W.; Kozhedub, Y.S.; Lu, R.; et al. Production and decay of K-shell hollow krypton in collisions with 52-197-MeV/u bare xenon ions. Phys. Rev. A 2017, 96, 012708. [Google Scholar] [CrossRef]
- Hall, J.; Richard, P.; Gray, T.J.; Lin, C.D.; Jones, K.; Johnson, B.; Gregory, D. Double K-shell-to-K-shell electron transfer in ion-atom collisions. Phys. Rev. A 1981, 24, 2416. [Google Scholar] [CrossRef]
- Schulz, M.; Justiniano, E.; Konrad, J.; Schuch, R.; Salin, A. K-shell to K-shell charge transfer in collisions of bare decelerated S ions with Ar. J. Phys. B At. Mol. Opt. Phys. 1987, 20, 2057–2073. [Google Scholar] [CrossRef]
- Wohrer, K.; Chetioui, A.; Rozet, J.P.; Jolly, A.; Stephan, C. K-K transfer cross sections in near-symmetric Fe26+ ion-atom collisions at intermediate velocity. J. Phys. B At. Mol. Opt. Phys. 1984, 17, 1587. [Google Scholar] [CrossRef]
- Hillenbrand, P.M.; Hagmann, S.; Kozhedub, Y.S.; Benis, E.P.; Brandau, C.; Chen, R.J.; Dmytriiev, D.; Forstner, O.; Glorius, J.; Grisenti, R.E.; et al. Single and double K-shell vacancy production in slow Xe54+,53+-Xe collisions. Phys. Rev. A 2022, 105, 022810. [Google Scholar] [CrossRef]
- Xia, J.W.; Zhan, W.L.; Wei, B.W.; Yuan, Y.J.; Song, M.T.; Zhang, W.Z.; Yang, X.D.; Yuan, P.; Gao, D.Q.; Zhao, H.W.; et al. The heavy ion cooler-storage-ring project (HIRFL-CSR) at Lanzhou. Nucl. Instr. Meth. Phys. Res. Sec. A 2002, 488, 11–25. [Google Scholar] [CrossRef]
- Shao, C.; Lu, R.; Cai, X.; Yu, D.; Ruan, F.; Xue, Y.; Zhang, J.; Torpokov, D.K.; Nikolenko, D. HIRFL–CSR internal cluster target. Nucl. Instrum. Meth. Sec. B 2013, 317, 617–622. [Google Scholar] [CrossRef]
- Deslattes, R.D.; Kessler, E.G.; Indelicato, P.; de Billy, L.; Lindroth, E.; Anton, J. X-ray transition energies: New approach to a comprehensive evaluation. Rev. Mod. Phys. 2003, 75, 35–99. [Google Scholar] [CrossRef]
- Ma, K.; Jiao, Z.; Jiang, F.; Ye, J.; Lv, H.; Chen, Z. Theoretical calculation of Kα and Kβ X-ray satellite and hypersatellite structures for hollow argon atoms. Acta Phys. Sin. 2018, 67, 173201. [Google Scholar]
- Banaś, D.; Pajek, M.; Semaniak, J.; Braziewicz, J.; Kubala-Kukuś, A.; Majewska, U.; Czyżewski, T.; Jaskóła, M.; Kretschmer, W.; Mukoyama, T. Multiple ionization effects in low-resolution X-ray spectra induced by energetic heavy ions. Nucl. Instrum. Methods Phys. Res. Sec. B 2002, 195, 233–246. [Google Scholar] [CrossRef]
- Jönsson, P.; Gaigalas, G.; Bieroń, J.; Fischer, C.F.; Grant, I.P. New Version: Grasp2k Relativistic Atomic Structure Package. Comput. Phys. Commun. 2013, 184, 2197–2203. [Google Scholar] [CrossRef]
- Watson, R.L.; Jenson, F.E.; Chiao, T. Z dependence of Kα X-ray satellite structure in heavy-ion—atom collisions. Phys. Rev. A 1974, 10, 1230–1244. [Google Scholar] [CrossRef]
- Sulik, B.; Kádár, I.; Ricz, S.; Varga, D.; Végh, J.; Hock, G.; Berényi, D. A Simple Theoretical Approach to Multiple Ionization and Its Application for 5.1 and 5.5 MeV/u Xq+-Ne Collisions. Nucl. Instrum. Methods Phys. Res. Sec. B 1987, 28, 509–518. [Google Scholar] [CrossRef]
- Larkins, F.P. Dependence of Fluorescence Yield on Atomic Configuration. J. Phys. B At. Mol. Opt. Phys. 1971, 4, L29–L32. [Google Scholar] [CrossRef]
- Scofield, J.H. Relativistic Hartree-Slater Values for K and L X-ray Emission Rates. At. Data Nucl. Data Tables 1974, 14, 121–137. [Google Scholar] [CrossRef]
- Chen, M.H.; Crasemann, B.; Mark, H. Relativistic Radiationless Transition Probabilities for Atomic K-and L-Shells. At. Data Nucl. Data Tables 1979, 24, 13–37. [Google Scholar] [CrossRef]
- Horvat, V.; Watson, R.L.; Blackadar, J.M. Target-Atom Inner-Shell Vacancy Distributions Created in Collisions with Heavy Ion Projectiles. Nucl. Instrum. Methods Phys. Res. Sec. B 2000, 170, 336–346. [Google Scholar] [CrossRef]
- Kozhedub, Y.S.; Shabaev, V.M.; Tupitsyn, I.I.; Gumberidze, A.; Hagmann, S.; Plunien, G.; Stöhlker, T. Relativistic Calculations of X-ray Emission Following a Xe-Bi83+ Collision. Phys. Rev. A 2014, 90, 042709. [Google Scholar] [CrossRef]
- Carlson, T.A.; Nestor, C.W. Calculation of Electron Shake-Off Probabilities as the Result of X-ray Photoionization of the Rare Gases. Phys. Rev. A 1973, 8, 2887–2894. [Google Scholar] [CrossRef]


| Results | Detection Angle of 90° | Detection Angle of 145° |
|---|---|---|
| 0.107 ± 0.02 | 0.119 ± 0.02 | |
| /FWHM (keV) | 3.0007/0.199 | 3.0037/0.206 |
| /FWHM (keV) | 3.1778/0.199 | 3.1808/0.206 |
| /FWHM (keV) | 3.3058/0.238 | 3.3132/0.244 |
| /FWHM (keV) | 3.5371/0.238 | 3.5448/0.244 |
| 2.34 ± 0.3 | 2.49 ± 0.3 |
| Projectile | Experiment | Theory (RCC) | ||||
|---|---|---|---|---|---|---|
| 197 MeV/u Xe54+ | 0.12 ± 0.02 | 2.4 ± 0.3 | 289 | 2709 | 0.1067 | 3.56 |
Publisher’s Note: MDPI stays neutral with regard to jurisdictional claims in published maps and institutional affiliations. |
© 2022 by the authors. Licensee MDPI, Basel, Switzerland. This article is an open access article distributed under the terms and conditions of the Creative Commons Attribution (CC BY) license (https://creativecommons.org/licenses/by/4.0/).
Share and Cite
Shao, C.; Yu, D.; Kozhedub, Y.S.; Ma, K.; Song, Z.; Wang, W.; Xue, Y.; Zhang, M.; Liu, J.; Yang, B.; et al. Double K-Shell Ionization of Ar by 197-MeV/u Xe54+ Ion Impact. Atoms 2022, 10, 155. https://doi.org/10.3390/atoms10040155
Shao C, Yu D, Kozhedub YS, Ma K, Song Z, Wang W, Xue Y, Zhang M, Liu J, Yang B, et al. Double K-Shell Ionization of Ar by 197-MeV/u Xe54+ Ion Impact. Atoms. 2022; 10(4):155. https://doi.org/10.3390/atoms10040155
Chicago/Turabian StyleShao, Caojie, Deyang Yu, Yury S. Kozhedub, Kun Ma, Zhangyong Song, Wei Wang, Yingli Xue, Mingwu Zhang, Junliang Liu, Bian Yang, and et al. 2022. "Double K-Shell Ionization of Ar by 197-MeV/u Xe54+ Ion Impact" Atoms 10, no. 4: 155. https://doi.org/10.3390/atoms10040155
APA StyleShao, C., Yu, D., Kozhedub, Y. S., Ma, K., Song, Z., Wang, W., Xue, Y., Zhang, M., Liu, J., Yang, B., Dong, C., Zhang, H., & Cai, X. (2022). Double K-Shell Ionization of Ar by 197-MeV/u Xe54+ Ion Impact. Atoms, 10(4), 155. https://doi.org/10.3390/atoms10040155

