Abstract
Five-dimensional rotating black holes with two rotations could be overspun except for a single rotation, whereas a black hole in six dimensions always obeys the weak cosmic censorship conjecture (WCCC) in the weak form even for linear particle accretion. In this paper, we investigate the overspinning of a seven-dimensional rotating black hole with three rotation parameters. It is shown that a black hole in the seven dimensions cannot be similarly overspun, thereby obeying the WCCC even under linear particle accretion. It turns out that a black hole always respects the weak cosmic censorship conjecture in seven dimensions.
PACS:
04.50.+h; 04.20.Dw
1. Introduction
The discovery of gravitational wave (GW) as two stellar black hole mergers [1,2] through LIGO-VIRGO detection has opened a new stage in black hole astrophysics. GW was expected to be a very powerful tool in revealing hidden properties of black holes. Very recently, the first image of the supermassive black hole of the M87 galaxy was obtained with the collaboration of the Event Horizon Telescope (EHT) [3,4]. In addition, the first image of the black hole candidate and its conceptual aspects [5,6] provides a new way to realize its presence in the universe. There exist, however, unexplored problems associated with black holes. The WCCC remains one of the unanswered questions in general relativity (GR) [7]. According to the WCCC, a black hole is always covered by an event horizon concealing singularity from observers outside. The WCCC has been tested by various tools and processes that allow the transition from a black hole to a naked singularity; thus, it has so far remained an active research area. For the first time, a gedanken experiment was proposed to test the WCCC and whether a black hole turns into a naked singularity [8]. Later, the issue of WCCC violation was approached from a different perspective, i.e., a naked singularity would be formed as a result of gravitational collapse (see, e.g., [9,10,11,12,13,14,15]). In GR, the gravitational collapse would play one of the most important roles in the formation of a naked singularity. However, there is no proof of the occurrence of naked singularity yet.
It was shown that a near extremal black hole cannot be turned into an extremal one. This happens because particles with suitable parameters cannot reach the extremal black hole horizon because the parameter space that allows particles to approach the horizon pinches off [8,16]. Later, this question was formulated from a different perspective; that is, could a near extremal black hole be overextremalized to create a naked singularity by impinging particles? This was first addressed by Hubeny [17] who showed that it was achievable by destroying the horizon. Later, it was also extended to a rotating black hole [18]. It was shown that the rotating black hole can be overspun by plunging particles with suitable parameters. Here, it is worth noting that this experiment for overcharging/overspinning was initiated for a linear order particle accretion by ignoring all higher order effects. Following this thought experiment, an extensive analysis was conducted (see, e.g., [19,20,21,22,23] addressing overcharging/overspinning of the black holes in various gravity models). For this thought experiment, when the self-force and back-reaction effects are taken into account, it is not possible for impinging particles to reach the horizon, i.e., over-extremality cannot be approached, thereby respecting the WCCC [24,25,26,27,28].
So, all extensive analyses so far have been conducted for linear order accretion. Recently, Sorce and Wald [29,30] proposed a new gadanken experiment that includes second-order particle accretion. With this, they opened a new stage of investigation for testing the WCCC. This new gedanken experiment supports the WCCC, thus a black hole cannot be overspun/overcharged, which adds a peculiarity to explore the overspinning/overcharging of black holes. This was then extended to various cases. It turns out that a black hole that could be over-extremalized at the linear order cannot be overspun/overcharged when non-linear effects are involved (see, e.g., [31,32,33,34,35,36,37,38]). This experiment was also tested in Einstein–Born–Infeld and static charged Gauss–Bonnet black holes [39,40]. There was an investigation that suggested that a test magnetic field would serve as a cosmic censor [41]. The same is also true for its backreaction effect [42], i.e., the magnetic field beyond its threshold value would have a similar effect in contrast to the non-linear order effects. Similarly, the cosmological weak magnetic field could potentially be important for testing the WCCC [43].
Recent analysis shows that a five-dimensional rotating black hole has a remarkable feature that it could be overspun when it has two rotations, yet there is no overspinning in a single rotation case even under linear order effects [37]. If one switches off the rotation parameters of the black hole, it could then be overcharged [44]. This led to an interesting question—could a black hole be over-extremalized when it has both charge and spin? There is, however, no available exact solution for an analogue of the Kerr–Newman black hole in five dimensions. The only way to address this question is to consider the minimally gauged supergravity-charged rotating black hole [45], which is regarded as the very closest one to the Kerr–Newman black hole in five dimensions. What emerges here is that the ultimate case depends on which parameter is dominant. It is demonstrated that a black hole with a single rotation cannot be over-extremalized if and only if angular momentum dominates over the black hole charge. Meanwhile, the opposite result is true when the charge is dominant [36].
As discussed above, for the validity of Einstein’s gravity, Penrose proposed that black hole singularity would always be hidden behind a horizon. This is what we refer to as the WCCC. There is, however, no proof of the CCC yet, and thus it remains an open question. With this in view, it is increasingly important to test whether an existing horizon of a rotating black hole could be destroyed by overspinning, thus violating the weak WCCC. Thus, we shall focus here on the overspinning of a near extremal black hole by throwing in test particles with suitable parameters. Recently, it was shown that a black hole in six dimensions cannot be overspun by first-order particle accretion, as well as the same result holds well for a single rotation case [38]. However, a black hole with only one rotation in higher dimension cannot be overspun as one of no extremality. In this paper, we would like to verify whether the same result holds well in seven dimensions. With this motivation, we analyse seven-dimensional rotating black holes with three rotations. We show that the black hole in cannot be overspun even under linear order particle accretion, similar to what is observed for six dimensions.
2. Odd and Even Dimensional Rotating Myers–Perry Black Hole Spacetimes
The line element of the rotating Myers–Perry general black hole metric [46] for Einstein gravity in and dimensions is given by
and
respectively, where
Here, and , respectively, refer to rotation parameters and the mass parameter. We note here that and are related by and for and , respectively, where n is the maximum number of rotation parametera a black hole can have. For odd and even dimensions, we further define as follows:
A black hole horizon can be defined by for odd and even dimensions, respectively. Let us then write the horizon equation for odd and even dimensions as
and
where are functions given as a function of rotation parameters . The sufficient condition for overspinning is that Equations (5) and (6) must be required to have two positive roots to define extremality, i.e., . It is then possible to test whether an existing horizon of a rotating black hole could be destroyed by overspinning. Hence, for an existing extremality for we assume that the general solution can be found for the horizon equation as
where has two double roots, and are two negative roots, while are complex roots. From Equation (7), it is certain that the term , which never exists in the horizon Equation (5), appears. As a result, suggests that two positive roots cannot exist, i.e., no extremality condition appears; thus the question of overspinning never arises. Similarly, for , the same general solution can also be found as
It is straightforward to show the term in Equation (6). Thus, always holds – no positive double root. As a consequence of the general solution for , there appears no extremality condition; hence for the black hole having at least three rotations, overspinning never happens. This is the case for and any in and . What happens if one of the rotations vanishes for and ? There remains only one positive root for Equations (7) and (8); hence, no question of overspinning for a number of rotations arises. To that, we shall further focus on the case .
Let us then consider 3 rotation cases to check whether the above statement holds well or not. So, in the case of for , the line element of the rotating black hole metric (1) in the Boyer = −Lindquist coordinates yields
where
Here, and are given by
and the angular coordinates range over, and .
3. Overspinning of Seven-Dimensional Rotating Black under a Linear Particle Accretion
3.1. Black Hole with Maximum Three Rotations , and in Seven Dimensions
Here, we start to consider a black hole with three rotations in . It is shown that no extremality condition exists. This is a remarkable aspect of rotating black holes with three rotations. For given , we recall Equation (5), which solves to give six roots, i.e., four complex, one positive and one negative root. As discussed previously, an extremality requires two positive roots. Since only one positive root exists, it does not satisfy the extremality condition; therefore, no overspinning occurs for a black hole with three rotations. To be more accurate, we analyse this positive root, which is given by
with
For a black hole with equal rotations, i.e., , Equation (12) yields
For an existing black hole horizon, must be satisfied always. The above equation becomes a complex quantity, i.e., , thus resulting in no extremality condition existing. Hence, there never arises a question of overspinning a black hole in the case of three rotations. We then further consider the possible cases to test whether an extremality condition exists.
- which defines an extremal black hole:
For that, Equation (12) takes the following form as
This clearly shows that the above equation is always negative, and thus no extremality condition, i.e., that causes no black hole horizon, exists.
- Near extremal black hole:
We assume that a near extremality condition is well defined by the following condition
with small . Recalling Equation (12), the horizon for a near extremal black hole is given by
Since , we obtain that is always satisfied for a near extremal black hole, thereby resulting in no extremality condition existing. In this respect, overspinning simply loses its applicability. With this in view, here we intend to note that a black hole with three rotation parameters in cannot be overspun as no extremality condition exists; therefore, the WCCC is always respected. Next, we explore black holes with two and single rotation cases.
3.2. Black Hole with Two Rotations and in Seven Dimensions
Here, we consider a black hole with two rotations in to understand more deeply whether it favours the cosmic censorship conjecture. By recalling Equation (5), we first write the black hole horizon as follows:
If one considers the mass parameter in terms of black hole mass M, it then yields
From the above equation, the condition refers to an object without a horizon. However, we begin a nearly extremal black hole, according to which rotation parameters are regarded as with .
Here, we assume that an impinging particle has equal rotations so that it would add an equal amount to the black hole rotations [8,18,37].
Equations (19) and (20) define the minimum threshold value as
for which the minimum threshold value for either or rotation takes the following form
Since an impinging particle adds an equal amount to both rotations, the total amount due to both and is written as
This is the lower threshold value of angular momentum required for the impinging particle to fall into the black hole.
For a particle to fall into the black hole with minimum threshold, it must first reach the horizon. For that, we need to define the upper bound of the angular momentum. For the impinging particle to reach the horizon, it should have enough energy, which is in general given by
with angular velocities evaluated at the horizon. Hence, the upper threshold value of angular momentum can be written as
This is what is called the upper threshold value of the angular momentum for impinging particles falling into the black hole having equal rotations . Hence, we have
For an impinging particle to cross the horizon, the condition must always be satisfied. If not, no parameter space, which cannot allow particles to cross the horizon and fall into the black hole, appears. To that, we analyse the parameter space, i.e., , and it is given by
This clearly shows that the second and the third terms are of second order in , while the first term is of third order in . Thus, the second and the third terms dominate over the first term, resulting in indicating always. With this, one can deduce that no parameter space allowing particles to overspin the black hole appears. Thus, the WCCC is always respected for a black hole with two rotations in seven dimensions.
3.3. Black Hole Having Only Single Rotation in Seven Dimensions
For single rotation, Equation (5) gives the following form for event horizon
with the presence of no extremality condition, thereby without overspinning. This states that a black hole with a single rotation in seven dimensions cannot be overspun, similarly to what is observed in the work [38]. One can then conclude that no extremality condition for a black hole with single rotation in all higher dimensions exists except for five-dimensional rotating black holes. However, the black hole with a single rotation cannot be overspun even if it has an extremality condition [37].
We have explicitly shown that a black hole with three rotations cannot be overspun for linear particle accretion, resulting in supporting the WCC. Thus, no overspinning occurs. To better understand its dynamics, we further consider the effective gravitational potential for seven dimensions. Following Equation (4), one can obtain the effective gravitational potential for black holes having n rotations as
The above equation for seven dimensions can be explicitly written as
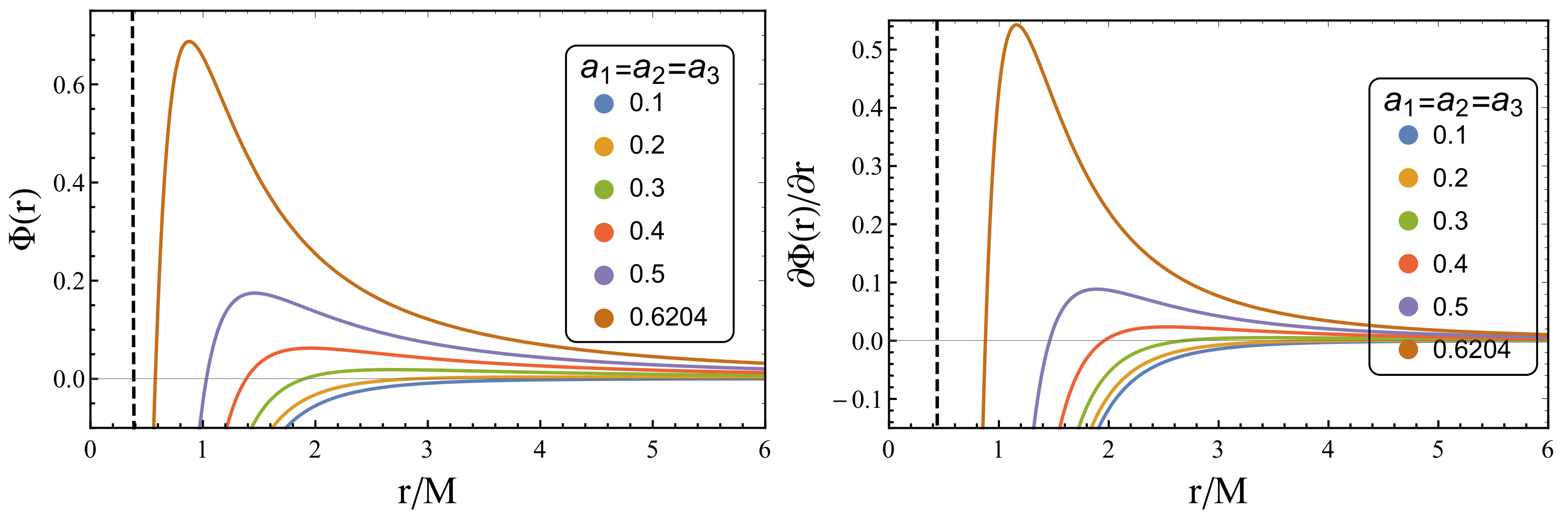
where refers to black hole rotation parameters. In Figure 1 we demonstrate the radial profile of the effective gravitational potential and its first derivative. As can be seen from Figure 1, at large distances , the resultant acceleration becomes repulsive for all seven-dimensional black holes, thus resulting in allowing particles not to reach the black hole horizon. In addition, this plot clearly shows that the resultant acceleration behaves attractively very near the black hole horizon due to the fact is always satisfied. It is vital to note that the first attractive term that stems from mass in Equation (30) dominates the repulsive second term . Interestingly, one can also observe the same for . It is vital to note here that we have shown that six-dimensional black holes having a maximum of two rotations cannot be overspun for linear particle accretion (see for example [38]). Interestingly, it turns out that as shown above dynamics would be similar for both higher six and seven dimensions, thereby leading to a similar result that black holes cannot be overspun. Therefore, the same would be the case for non-linear particle accretions that always endorse weak cosmic censorship conjecture.
Figure 1.
The radial profile of the gravitational effective potential and its first derivative for are plotted for various combinations of black hole rotating parameters. Note that in both panels, vertical line refers to the horizon for corresponding to a nearly extremal black hole.
4. Conclusions
In this paper, we studied the validity of the WCCC for a black hole with three rotations in dimension for a linear order particle accretion. It is well-known that a black hole with two rotations could be overspun except for a single rotation, i.e., a black hole with only a single rotation in all higher dimensions cannot be overspun, thereby favouring the WCCC [37]. Hence, the natural question then arises: what happens with the black hole in dimension ? It turns out that black holes cannot be overspun all through [38]. With this motivation, we intended to test whether the same result holds well for the black hole in dimension .
We have shown that no extremal condition exists for single rotation in seven dimensions, as was expected; thus, it leads to no question for its overspinning. For two and three rotations, a black hole cannot similarly be overspun for a linear order particle accretion, thereby obeying the WCCC in dimension . To be more accurate, we have analysed the dynamics of overspinning by adapting the effective gravitational potential for seven dimensions . We have shown that the resultant gravity becomes repulsive all through at larger r so that particles cannot reach the black hole horizon. One can then infer that the dynamics would be similar for higher six and seven dimensions, yielding a similar result for which a black hole cannot be overspun; thus, no violation of the WCCC occurs. With this, we verified a remarkable result that black holes in these higher dimensions cannot be overspun even under linear particle accretion [47]. This is a remarkable aspect of black holes in higher dimensions.
Author Contributions
Conceptualization, S.S.; methodology, S.S. and B.A.; software, S.S.; validation, S.S. and E.K.; formal analysis, S.S.; investigation, S.S. and B.A. All authors have read and agreed to the published version of the manuscript.
Funding
This research received no external funding.
Data Availability Statement
Not applicable.
Acknowledgments
S.S. and B.A. wish to acknowledge the support from Research F-FA-2021-432 of the Uzbekistan Agency for Innovative Development.
Conflicts of Interest
The authors declare no conflict of interest.
References
- Abbott, B.P.; Abbott, R.; Abbott, T.D.; Abernathy, M.R.; Acernese, F.; Ackley, K.; Adams, C.; Adams, T.; Addesso, P.; Adhikari, R.X.; et al. Observation of Gravitational Waves from a Binary Black Hole Merger. Phys. Rev. Lett. 2016, 116, 061102. [Google Scholar] [CrossRef]
- Abbott, B.P.; Abbott, R.; Abbott, T.D.; Abernathy, M.R.; Acernese, F.; Ackley, K.; Adams, C.; Adams, T.; Addesso, P.; Adhikari, R.X.; et al. Properties of the Binary Black Hole Merger GW150914. Phys. Rev. Lett. 2016, 116, 241102. [Google Scholar] [CrossRef]
- Event Horizon Telescope Collaboration. First M87 Event Horizon Telescope Results. I. The Shadow of the Supermassive Black Hole. Astrophys. J. 2019, 875, L1. [Google Scholar] [CrossRef]
- Event Horizon Telescope Collaboration. First M87 Event Horizon Telescope Results. VI. The Shadow and Mass of the Central Black Hole. Astrophys. J. 2019, 875, L6. [Google Scholar] [CrossRef]
- Eckart, A.; Hüttemann, A.; Kiefer, C.; Britzen, S.; Zajaček, M.; Lämmerzahl, C.; Stöckler, M.; Valencia-S, M.; Karas, V.; García-Marín, M. The Milky Way’s Supermassive Black Hole: How Good a Case Is It? Found. Phys. 2017, 47, 553–624. [Google Scholar] [CrossRef]
- Zajaček, M.; Tursunov, A.; Eckart, A.; Britzen, S. On the charge of the Galactic centre black hole. Mon. Not. R. Astron. Soc. 2018, 480, 4408–4423. [Google Scholar] [CrossRef]
- Penrose, R. Gravitational Collapse: The Role of General Relativity. Riv. Nuovo Cimento 1969, 1, 252. [Google Scholar]
- Wald, R. Gedanken experiments to destroy a black hole. Ann. Phys. 1974, 82, 548–556. [Google Scholar] [CrossRef]
- Christodoulou, D. Gravitational collapse. Ann. N. Y. Acad. Sci. 1986, 470, 147–155. [Google Scholar] [CrossRef]
- Joshi, P.S. Global Aspects in Gravitation and Cosmology; Clarendon Press: Oxford, UK, 1993. [Google Scholar]
- Joshi, P.S. Gravitational collapse: The story so far. Pramana 2000, 55, 529. [Google Scholar] [CrossRef]
- Goswami, R.; Joshi, P.S.; Singh, P. Quantum Evaporation of a Naked Singularity. Phys. Rev. Lett. 2006, 96, 031302. [Google Scholar] [CrossRef] [PubMed]
- Harada, T.; Iguchi, H.; Nakao, K. Physical Processes in Naked Singularity Formation. Prog. Theor. Phys. 2002, 107, 449–524. [Google Scholar] [CrossRef]
- Vieira, R.S.S.; Schee, J.; Kluźniak, W.; Stuchlík, Z.; Abramowicz, M. Circular geodesics of naked singularities in the Kehagias-Sfetsos metric of Hořava’s gravity. Phys. Rev. D 2014, 90, 024035. [Google Scholar] [CrossRef]
- Giacomazzo, B.; Rezzolla, L.; Stergioulas, N. Collapse of differentially rotating neutron stars and cosmic censorship. Phys. Rev. D 2011, 84, 024022. [Google Scholar] [CrossRef]
- Dadhich, N.; Narayan, K. On the third law of black hole dynamics. Phys. Lett. A 1997, 231, 335–338. [Google Scholar] [CrossRef]
- Hubeny, V.E. Overcharging a black hole and cosmic censorship. Phys. Rev. D 1999, 59, 064013. [Google Scholar] [CrossRef]
- Jacobson, T.; Sotiriou, T.P. Overspinning a Black Hole with a Test Body. Phys. Rev. Lett. 2009, 103, 141101. [Google Scholar] [CrossRef]
- Saa, A.; Santarelli, R. Destroying a near-extremal Kerr-Newman black hole. Phys. Rev. D 2011, 84, 027501. [Google Scholar] [CrossRef]
- Bouhmadi-López, M.; Cardoso, V.; Nerozzi, A.; Rocha, J.V. Black holes die hard: Can one spin up a black hole past extremality? Phys. Rev. D 2010, 81, 084051. [Google Scholar] [CrossRef]
- Rocha, J.V.; Santarelli, R. Flowing along the edge: Spinning up black holes in AdS spacetimes with test particles. Phys. Rev. D 2014, 89, 064065. [Google Scholar] [CrossRef]
- Yang, S.J.; Chen, J.; Wan, J.J.; Wei, S.W.; Liu, Y.X. Weak cosmic censorship conjecture for a Kerr-Taub-NUT black hole with a test scalar field and particle. Phys. Rev. D 2020, 101, 064048. [Google Scholar] [CrossRef]
- Gwak, B. Weak cosmic censorship in Kerr-Sen black hole under charged scalar field. J. Cosmol. Astropart. Phys. 2020, 2020, 058. [Google Scholar] [CrossRef]
- Barausse, E.; Cardoso, V.; Khanna, G. Test Bodies and Naked Singularities: Is the Self-Force the Cosmic Censor? Phys. Rev. Lett. 2010, 105, 261102. [Google Scholar] [CrossRef]
- Zimmerman, P.; Vega, I.; Poisson, E.; Haas, R. Self-force as a cosmic censor. Phys. Rev. D 2013, 87, 041501. [Google Scholar] [CrossRef]
- Rocha, J.V.; Cardoso, V. Gravitational perturbation of the BTZ black hole induced by test particles and weak cosmic censorship in AdS spacetime. Phys. Rev. D 2011, 83, 104037. [Google Scholar] [CrossRef]
- Isoyama, S.; Sago, N.; Tanaka, T. Cosmic censorship in overcharging a Reissner-Nordström black hole via charged particle absorption. Phys. Rev. D 2011, 84, 124024. [Google Scholar] [CrossRef]
- Colleoni, M.; Barack, L. Overspinning a Kerr black hole: The effect of the self-force. Phys. Rev. D 2015, 91, 104024. [Google Scholar] [CrossRef]
- Sorce, J.; Wald, R.M. Gedanken experiments to destroy a black hole. II. Kerr-Newman black holes cannot be overcharged or overspun. Phys. Rev. D 2017, 96, 104014. [Google Scholar] [CrossRef]
- Wald, R.M. Kerr-Newman black holes cannot be over-charged or over-spun. Int. J. Mod. Phys. D 2018, 27, 1843003. [Google Scholar] [CrossRef]
- An, J.; Shan, J.; Zhang, H.; Zhao, S. Five-dimensional Myers-Perry black holes cannot be overspun in gedanken experiments. Phys. Rev. D 2018, 97, 104007. [Google Scholar] [CrossRef]
- Gwak, B. Weak cosmic censorship conjecture in Kerr-(anti-)de Sitter black hole with scalar field. J. High Energy Phys. 2018, 9, 81. [Google Scholar] [CrossRef]
- Ge, B.; Mo, Y.; Zhao, S.; Zheng, J. Higher-dimensional charged black holes cannot be over-charged by gedanken experiments. Phys. Lett. B 2018, 783, 440–445. [Google Scholar] [CrossRef]
- Ning, B.; Chen, B.; Lin, F.L. Gedanken experiments to destroy a BTZ black hole. Phys. Rev. D 2019, 100, 044043. [Google Scholar] [CrossRef]
- Jiang, J. Static charged Gauss-Bonnet black holes cannot be overcharged by the new version of gedanken experiments. Phys. Lett. B 2020, 804, 135365. [Google Scholar] [CrossRef]
- Shaymatov, S.; Dadhich, N.; Ahmedov, B.; Jamil, M. Five-dimensional charged rotating minimally gauged supergravity black hole cannot be over-spun and/or over-charged in non-linear accretion. Eur. Phys. J. C 2020, 80, 481. [Google Scholar] [CrossRef]
- Shaymatov, S.; Dadhich, N.; Ahmedov, B. The higher dimensional Myers-Perry black hole with single rotation always obeys the Cosmic Censorship Conjecture. Eur. Phys. J. C 2019, 79, 585. [Google Scholar] [CrossRef]
- Shaymatov, S.; Dadhich, N.; Ahmedov, B. Six-dimensional Myers-Perry rotating black hole cannot be overspun. Phys. Rev. D 2020, 101, 044028. [Google Scholar] [CrossRef]
- He, Y.L.; Jiang, J. Weak cosmic censorship conjecture in Einstein-Born-Infeld black holes. Phys. Rev. D 2019, 100, 124060. [Google Scholar] [CrossRef]
- Jiang, J.; Zhang, M. Weak cosmic censorship conjecture in Einstein-Maxwell gravity with scalar hair. Eur. Phys. J. C 2020, 80, 196. [Google Scholar] [CrossRef]
- Shaymatov, S.; Patil, M.; Ahmedov, B.; Joshi, P.S. Destroying a near-extremal Kerr black hole with a charged particle: Can a test magnetic field serve as a cosmic censor? Phys. Rev. D 2015, 91, 064025. [Google Scholar] [CrossRef]
- Shaymatov, S.; Ahmedov, B. Overcharging process around a magnetized black hole: Can the backreaction effect of magnetic field restore cosmic censorship conjecture? Gen. Relativ. Gravit. 2023, 55, 36. [Google Scholar] [CrossRef]
- Pandey, K.L.; Sethi, S.K.; Ratra, B. Cosmological magnetic braking and the formation of high-redshift, super-massive black holes. Mon. Not. R. Astron. Soc. 2019, 486, 1629–1640. [Google Scholar] [CrossRef]
- Revelar, K.S.; Vega, I. Overcharging higher-dimensional black holes with point particles. Phys. Rev. D 2017, 96, 064010. [Google Scholar] [CrossRef]
- Chong, Z.W.; Cvetič, M.; Lü, H.; Pope, C.N. General Nonextremal Rotating Black Holes in Minimal Five-Dimensional Gauged Supergravity. Phys. Rev. Lett. 2005, 95, 161301. [Google Scholar] [CrossRef] [PubMed]
- Myers, R.C.; Perry, M.J. Black holes in higher dimensional space-times. Ann. Phys. 1986, 172, 304–347. [Google Scholar] [CrossRef]
- Shaymatov, S.; Dadhich, N. On overspinning of black holes in higher dimensions. Phys. Dark Universe 2021, 31, 100758. [Google Scholar] [CrossRef]
Disclaimer/Publisher’s Note: The statements, opinions and data contained in all publications are solely those of the individual author(s) and contributor(s) and not of MDPI and/or the editor(s). MDPI and/or the editor(s) disclaim responsibility for any injury to people or property resulting from any ideas, methods, instructions or products referred to in the content. |
© 2023 by the authors. Licensee MDPI, Basel, Switzerland. This article is an open access article distributed under the terms and conditions of the Creative Commons Attribution (CC BY) license (https://creativecommons.org/licenses/by/4.0/).
