Space–Time Structure of Particle Emission and Femtoscopy Scales in Ultrarelativistic Heavy-Ion Collisions
Abstract
1. Introduction
2. Research Motivation
3. Materials and Methods
4. Results and Discussion
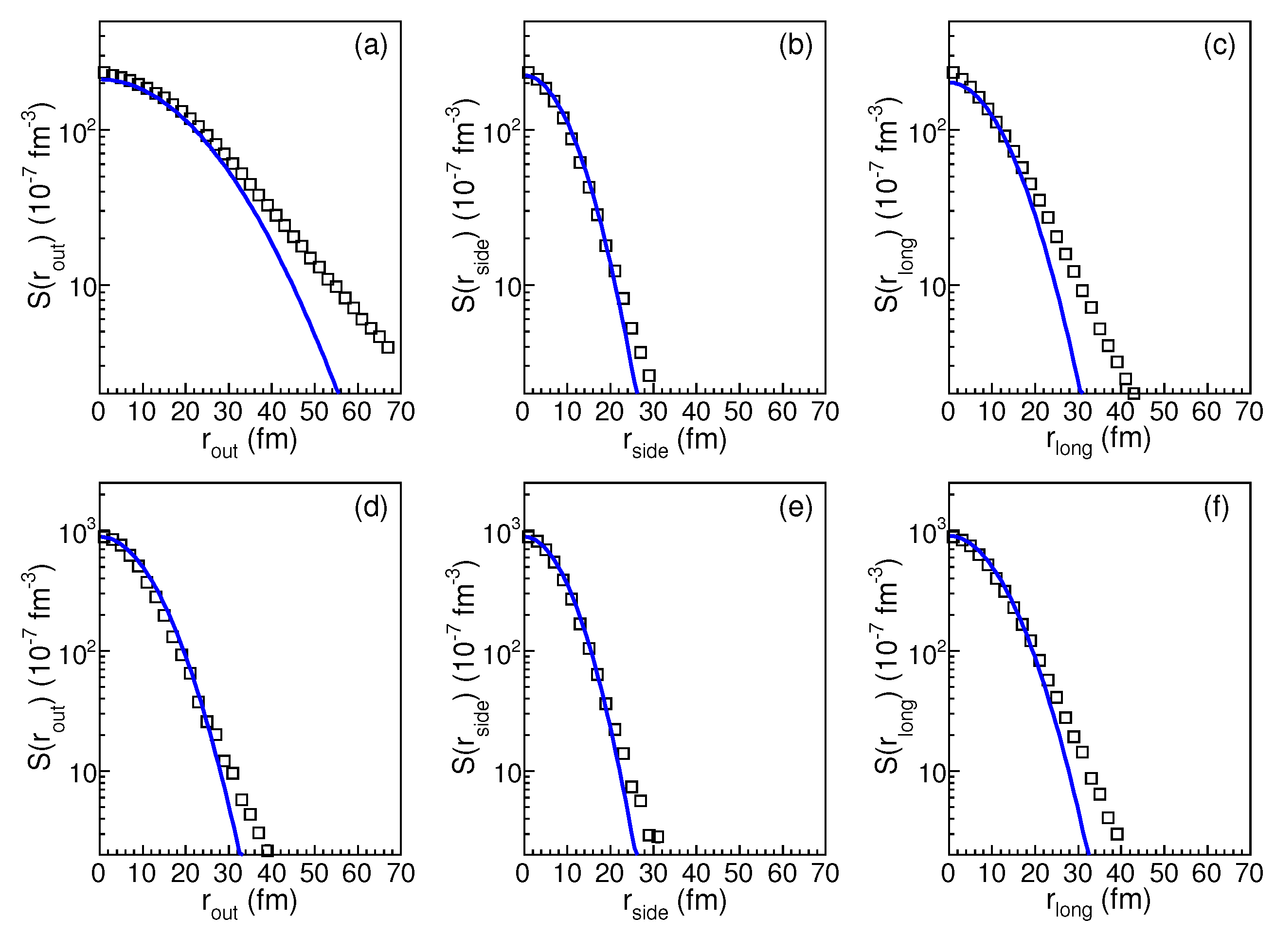
4.1. Emission Time Distributions
4.2. Particlisation Times at Different Collision Energies
5. Conclusions
Author Contributions
Funding
Data Availability Statement
Acknowledgments
Conflicts of Interest
References
- Adams, J. et al. [STAR Collaboration] Experimental and Theoretical Challenges in the Search for the Quark Gluon Plasma: The STAR Collaboration’s Critical Assessment of the Evidence from RHIC Collisions. Nucl. Phys. A 2005, 757, 102–183. [Google Scholar] [CrossRef]
- Adcox, K. et al. [PHENIX Collaboration] Formation of dense partonic matter in relativistic nucleus-nucleus collisions at RHIC: Experimental evaluation by the PHENIX collaboration. Nucl. Phys. A 2005, 757, 184–283. [Google Scholar] [CrossRef]
- Back, B.B. et al. [PHOBOS Collaboration] The PHOBOS Perspective on Discoveries at RHIC. Nucl. Phys. A 2005, 757, 28–101. [Google Scholar] [CrossRef]
- Arsene, I. et al. [BRAHMS Collaboration] Quark Gluon Plasma and Color Glass Condensate at RHIC? The perspective from the BRAHMS experiment. Nucl. Phys. A 2005, 757, 1–27. [Google Scholar] [CrossRef]
- Fermi, E. High Energy Nuclear Events. Prog. Theor. Phys. 1950, 5, 570–583. [Google Scholar] [CrossRef]
- Pomeranchuk, I.Y. On the theory of multiple particle production in a single collision. Dokl. Akad. Nauk SSSR 1951, 78, 889–891. [Google Scholar]
- Landau, L.D. On the multiple production of particles in high energy collisions. Izv. Akad. Nauk SSSR 1953, 17, 51–64. [Google Scholar]
- Andronic, A.; Braun-Munzinger, P.; Redlich, K.; Stachel, J. The thermal model on the verge of the ultimate test: Particle production in Pb-Pb collisions at the LHC. J. Phys. G Nucl. Part. Phys. 2011, 38, 124081. [Google Scholar] [CrossRef]
- Stachel, J.; Andronic, A.; Braun-Munzinger, P.; Redlich, K. Confronting LHC data with the statistical hadronization model. J. Phys. Conf. Ser. 2014, 509, 012019. [Google Scholar] [CrossRef]
- Braun-Munzinger, P.; Koch, V.; Schaefer, T.; Stachel, J. Properties of hot and dense matter from relativistic heavy ion collisions. Phys. Rep. 2016, 621, 76–126. [Google Scholar] [CrossRef]
- Andronic, A.; Braun-Munzinger, P.; Redlich, K.; Stachel, J. Decoding the phase structure of QCD via particle production at high energy. Nature 2018, 561, 321–330. [Google Scholar] [CrossRef] [PubMed]
- Andronic, A.; Braun-Munzinger, P.; Friman, B.; Lo, P.M.; Redlich, K.; Stachel, J. The thermal proton yield anomaly in Pb-Pb collisions at the LHC and its resolution. Phys. Lett. B 2019, 792, 304–309. [Google Scholar] [CrossRef]
- Florkowski, W.; Broniowski, W.; Michalec, M. Thermal analysis of particle ratios and pT spectra at RHIC. Acta Phys. Pol. B 2002, 33, 761–769. [Google Scholar]
- Broniowski, W.; Florkowski, W. Description of the RHIC pT-spectra in a thermal model with expansion. Phys. Rev. Lett. 2001, 87, 272302. [Google Scholar] [CrossRef] [PubMed]
- Csorgo, T.; Lorstad, B. Bose-Einstein Correlations for Three-Dimensionally Expanding, Cylindrically Symmetric, Finite Systems. Phys. Rev. C 1996, 54, 1390–1403. [Google Scholar] [CrossRef]
- Schnedermann, E.; Sollfrank, J.; Heinz, U.W. Thermal phenomenology of hadrons from 200 AGeV S+S collisions. Phys. Rev. C 1993, 48, 2462–2475. [Google Scholar] [CrossRef]
- Retiere, F.; Lisa, M.A. Observable implications of geometrical and dynamical aspects of freeze-out in heavy ion collisions. Phys. Rev. C 2004, 70, 044907. [Google Scholar] [CrossRef]
- Kisiel, A.; Florkowski, W.; Broniowski, W.; Pluta, J. Femtoscopy in hydro-inspired models with resonances. Phys. Rev. C 2006, 73, 064902. [Google Scholar] [CrossRef]
- Chojnacki, M.; Florkowski, W.; Broniowski, W.; Kisiel, A. Soft heavy-ion physics from hydrodynamics with statistical hadronization—Predictions for the Large Hadron Collider. Phys. Rev. C 2008, 78, 014905. [Google Scholar] [CrossRef]
- Bozek, P.; Wyskiel, I. Rapid hydrodynamic expansion in relativistic heavy-ion collisions. Phys. Rev. C 2009, 79, 044916. [Google Scholar] [CrossRef]
- Ollitrault, J.-Y. Anisotropy as a signature of transverse collective flow. Phys. Rev. D 1992, 46, 229. [Google Scholar] [CrossRef]
- Teaney, D.; Shuryak, E.V. Unusual space-time evolution for heavy-ion collisions at high energies due to the QCD phase transition. Phys. Rev. Lett. 1999, 83, 4951. [Google Scholar] [CrossRef]
- Kolb, P.F.; Sollfrank, J.; Heinz, U. Anisotropic transverse flow and the quark-hadron phase transition. Phys. Rev. C 2000, 62, 054909. [Google Scholar] [CrossRef]
- Ornik, U.; Pluemer, M.; Schlei, B.R.; Strottman, D.; Weiner, R.M. Hydrodynamical analysis of symmetric nucleus-nucleus collisions near 200A GeV. Phys. Rev. C 1996, 54, 1381. [Google Scholar] [CrossRef] [PubMed]
- Sollfrank, J.; Huovinen, P.; Kataja, M.; Ruuskanen, P.V.; Prakash, M.; Venugopalan, R. Hydrodynamical description of 200A GeV/c S+Au collisions: Hadron and electromagnetic spectra. Phys. Rev. C 1997, 55, 392. [Google Scholar] [CrossRef]
- Hung, C.M.; Shuryak, E.V. Equation of State, Radial Flow and Freeze-out in High Energy Heavy Ion Collisions. Phys. Rev. C 1998, 57, 1891. [Google Scholar] [CrossRef]
- Morita, K.; Muroya, S.; Nakamura, H.; Nonaka, C. Numerical analysis of a two-pion correlation function based on a hydrodynamical model. Phys. Rev. C 2000, 61, 034904. [Google Scholar] [CrossRef]
- Hirano, T. Is early thermalization achieved only near midrapidity in Au+Au collisions at = 130 GeV? Phys. Rev. C 2001, 65, 011901. [Google Scholar] [CrossRef]
- Hirano, T.; Tsuda, K. Collective flow and two-pion correlations from a relativistic hydrodynamic model with early chemical freeze out. Phys. Rev. C 2002, 66, 054905. [Google Scholar] [CrossRef]
- Shen, C.; Heinz, U.W.; Huovinen, P.; Song, H. Systematic parameter study of hadron spectra and elliptic flow from viscous hydrodynamic simulations of Au+Au collisions at = 200 GeV. Phys. Rev. C 2010, 82, 054904. [Google Scholar] [CrossRef]
- Bozek, P. Flow and interferometry in 3+1 dimensional viscous hydrodynamics. Phys. Rev. C 2012, 85, 034901. [Google Scholar] [CrossRef]
- Kisiel, A.; Galazyn, M.; Bozek, P. Pion, kaon, and proton femtoscopy in Pb–Pb collisions at = 2.76 TeV modeled in 3+1D hydrodynamics. Phys. Rev. C 2014, 90, 064914. [Google Scholar] [CrossRef]
- Cooper, F.; Frye, G. Single-particle distribution in the hydrodynamic and statistical thermodynamic models of multiparticle production. Phys. Rev. D 1974, 10, 186. [Google Scholar] [CrossRef]
- Molnar, D.; Wolff, Z. Self-consistent conversion of a viscous fluid to particles. Phys. Rev. C 2017, 95, 024903. [Google Scholar] [CrossRef]
- Torrieri, G.; Steinke, S.; Broniowski, W.; Florkowski, W.; Letessier, J.; Rafelski, J. SHARE: Statistical Hadronization with Resonances. Comput. Phys. Commun. 2005, 167, 229–251. [Google Scholar] [CrossRef]
- Torrieri, G.; Jeon, S.; Letessier, J.; Rafelski, J. SHAREv2: Fluctuations and a comprehensive treatment of decay feed-down. Comput. Phys. Commun. 2006, 175, 635–649. [Google Scholar] [CrossRef][Green Version]
- Wheaton, S.; Cleymans, J.; Hauer, M. THERMUS—A Thermal Model Package for ROOT. Comput. Phys. Commun. 2009, 180, 84–106. [Google Scholar] [CrossRef]
- Kisiel, A.; Taluc, T.; Broniowski, W.; Florkowski, W. Therminator: Thermal heavy-Ion generator. Comput. Phys. Commun. 2006, 174, 669–687. [Google Scholar] [CrossRef]
- Chojnacki, M.; Kisiel, A.; Florkowski, W.; Broniowski, W. THERMINATOR 2: THERMal heavy IoN generATOR 2. Comput. Phys. Commun. 2012, 183, 746–773. [Google Scholar] [CrossRef]
- Nonaka, C.; Bass, S.A. Space-time evolution of bulk QCD matter. Phys. Rev. C 2007, 75, 014902. [Google Scholar] [CrossRef]
- Hirano, T.; Heinz, U.W.; Kharzeev, D.; Lacey, R.; Nara, Y. Mass ordering of differential elliptic flow and its violation for ϕ mesons. Phys. Rev. C 2008, 77, 044909. [Google Scholar] [CrossRef]
- Pratt, S.; Vredevoogd, J. Femtoscopy in Relativistic Heavy Ion Collisions and its Relation to Bulk Properties of QCD Matter. Phys. Rev. C 2008, 78, 054906, Erratum in Phys. Rev. C 2009, 79, 069901. [Google Scholar] [CrossRef]
- Petersen, H.; Steinheimer, J.; Burau, G.; Bleicher, M.; Stoecker, H. Fully integrated transport approach to heavy ion reactions with an intermediate hydrodynamic stage. Phys. Rev. C 2008, 78, 044901. [Google Scholar] [CrossRef]
- Petersen, H. Identified particle spectra and anisotropic flow in an event-by-event hybrid approach in Pb+Pb collisions at = 2.76 TeV. Phys. Rev. C 2011, 84, 034912. [Google Scholar] [CrossRef]
- Werner, K.; Karpenko, I.; Pierog, T. “Ridge” in Proton-Proton Scattering at 7 TeV. Phys. Rev. Lett. 2011, 106, 122004. [Google Scholar] [CrossRef] [PubMed]
- Song, H.; Bass, S.A.; Heinz, U. Elliptic flow in = 200 GeV Au+Au collisions and = 2.76 TeV Pb+Pb collisions: Insights from viscous hydrodynamics+hadron cascade hybrid model. Phys. Rev. C 2011, 83, 054912, Erratum in Phys. Rev. C 2013, 87, 019902. [Google Scholar] [CrossRef]
- Giacalone, G.; Noronha-Hostler, J.; Luzum, M.; Ollitrault, J.-Y. Hydrodynamic predictions for 5.44 TeV Xe+Xe collisions. Phys. Rev. C 2018, 97, 034904. [Google Scholar] [CrossRef]
- Giacalone, G.; Noronha-Hostler, J.; Luzum, M.; Ollitrault, J.-Y. Confronting hydrodynamic predictions with Xe-Xe data. Nucl. Phys. A 2019, 982, 371–374. [Google Scholar] [CrossRef]
- Zhao, W.; Xu, H.J.; Song, H. Collective flow in 2.76 and 5.02 A TeV Pb+Pb collisions. Eur. Phys. J. C 2017, 77, 645. [Google Scholar] [CrossRef]
- Bhalerao, R.S.; Jaiswal, A.; Pal, S. Collective flow in event-by-event partonic transport plus hydrodynamics hybrid approach. Phys. Rev. C 2015, 92, 014903. [Google Scholar] [CrossRef]
- McDonald, S.; Shen, C.; Fillion-Gourdeau, F.; Jeon, S.; Gale, C. Hydrodynamic predictions for Pb+Pb collisions at 5.02 TeV. Phys. Rev. C 2017, 95, 064913. [Google Scholar] [CrossRef]
- Naboka, V.Y.; Karpenko, I.A.; Sinyukov, Y.M. Thermalization, evolution, and observables at energies available at the CERN Large Hadron Collider in an integrated hydrokinetic model of A+A collisions. Phys. Rev. C 2016, 93, 024902. [Google Scholar] [CrossRef]
- Adams, J. et al. [STAR Collaboration] K(892)* Resonance Production in Au+Au and p+p Collisions at = 200 GeV at RHIC. Phys. Rev. C 2005, 71, 064902. [Google Scholar] [CrossRef]
- Abelev, B.B. et al. [ALICE Collaboration] K*(892)0 and Φ(1020) production in Pb-Pb collisions at = 2.76 TeV. Phys. Rev. C 2015, 91, 024609. [Google Scholar] [CrossRef]
- Acharya, S. et al. [ALICE Collaboration] Production of K*(892)0 and ϕ(1020) in pp and Pb–Pb collisions at = 5.02 TeV. Phys. Rev. C 2022, 106, 034907. [Google Scholar] [CrossRef]
- Aamodt, K. et al. [ALICE Collaboration] Two-pion Bose–Einstein correlations in central Pb–Pb collisions at = 2.76 TeV. Phys. Lett. B 2011, 696, 328–337. [Google Scholar] [CrossRef]
- Sinyukov, Y.M.; Shapoval, V.M.; Naboka, V.Y. On mT dependence of femtoscopy scales for meson and baryon pairs. Nucl. Phys. A 2016, 946, 227–239. [Google Scholar] [CrossRef]
- Adzhymambetov, M.D.; Shapoval, V.M.; Sinyukov, Y.M. Description of bulk observables in Au+Au collisions at top RHIC energy in the integrated hydrokinetic model. Nucl. Phys. A 2019, 987, 321–336. [Google Scholar] [CrossRef]
- Shapoval, V.M.; Sinyukov, Y.M. Kaon and pion maximal emission times extraction from the femtoscopy analysis of 5.02A TeV LHC collisions within the integrated hydrokinetic model. Nucl. Phys. A 2021, 1016, 122322. [Google Scholar] [CrossRef]
- Akkelin, S.V.; Hama, Y.; Karpenko, I.A.; Sinyukov, Y.M. Hydro-kinetic approach to relativistic heavy ion collisions. Phys. Rev. C 2008, 78, 034906. [Google Scholar] [CrossRef]
- Acharya, S. et al. [ALICE Collaboration] Kaon femtoscopy in Pb-Pb collisions at = 2.76 TeV. Phys. Rev. C 2017, 96, 064613. [Google Scholar] [CrossRef]
- Sinyukov, Y.M.; Shapoval, V.M. Particle production at energies available at the CERN Large Hadron Collider within evolutionary model. Phys. Rev. C 2018, 97, 064901. [Google Scholar] [CrossRef]
- Shapoval, V.M.; Sinyukov, Y.M. Bulk observables in Pb+Pb collisions at = 5.02 TeV at the CERN Large Hadron Collider within the integrated hydrokinetic model. Phys. Rev. C 2019, 100, 044905. [Google Scholar] [CrossRef]
- Shapoval, V.M.; Braun-Munzinger, P.; Sinyukov, Y.M. K*(892) and ϕ(1020) production and their decay into the hadronic medium at the Large Hadron Collider. Nucl. Phys. A 2017, 968, 391–402. [Google Scholar] [CrossRef][Green Version]
- Ilner, A.; Blair, J.; Cabrera, D.; Markert, C.; Bratkovskaya, E. Probing hot and dense nuclear matter with K*, vector mesons. Phys. Rev. C 2019, 99, 024914. [Google Scholar] [CrossRef]
- Naboka, V.Y.; Akkelin, S.V.; Karpenko, I.A.; Sinyukov, Y.M. Initialization of hydrodynamics in relativistic heavy ion collisions with an energy-momentum transport model. Phys. Rev. C 2015, 91, 014906. [Google Scholar] [CrossRef]
- Shapoval, V.M.; Adzhymambetov, M.D.; Sinyukov, Y.M. Femtoscopy scales and particle production in the relativistic heavy ion collisions from Au+Au at 200 AGeV to Xe+Xe at 5.44 ATeV within the integrated hydrokinetic model. Eur. Phys. J. A 2020, 56, 260. [Google Scholar] [CrossRef]
- Sinyukov, Y.; Adzhymambetov, M.; Shapoval, V. Particle Production in Xe+Xe Collisions at the LHC within the Integrated Hydrokinetic Model. Particles 2020, 3, 114–122. [Google Scholar] [CrossRef]
- Naboka, V.Y.; Sinyukov, Y.M.; Zinovjev, G.M. Direct-photon spectrum and elliptic flow produced from Pb+Pb collisions at = 2.76 TeV at the CERN Large Hadron Collider within an integrated hydrokinetic model. Phys. Rev. C 2018, 97, 054907. [Google Scholar] [CrossRef]
- Naboka, V.Y.; Sinyukov, Y.M.; Zinovjev, G.M. Photon spectra and anisotropic flow in heavy ion collisions at the top RHIC energy within the integrated hydrokinetic model with photon hadronization emission. Nucl. Phys. A 2020, 1000, 121843. [Google Scholar] [CrossRef]
- Sinyukov, Y.; Shapoval, V. Direct Photon Production in High-Energy Heavy Ion Collisions within the Integrated Hydrokinetic Model. J 2022, 5, 1–14. [Google Scholar] [CrossRef]
- Israel, W.; Stewart, J.M. Transient relativistic thermodynamics and kinetic theory. Ann. Phys. 1979, 118, 341. [Google Scholar] [CrossRef]
- Karpenko, I.; Huovinen, P.; Bleicher, M. A 3+1 dimensional viscous hydrodynamic code for relativistic heavy ion collisions. Comput. Phys. Commun. 2014, 185, 3016. [Google Scholar] [CrossRef]
- Bozek, P.; Broniowski, W.; Rybczynski, M.; Stefanek, G. GLISSANDO 3: GLauber Initial-State Simulation AND mOre, ver. 3. Comput. Phys. Commun. 2019, 245, 106850. [Google Scholar] [CrossRef]
- Laine, M.; Schroeder, Y. Quark mass thresholds in QCD thermodynamics. Phys. Rev. D 2006, 73, 085009. [Google Scholar] [CrossRef]
- Bazavov, A. et al. [The HotQCD Collaboration] The equation of state in (2+1)-flavor QCD. Phys. Rev. D 2014, 90, 094503. [Google Scholar] [CrossRef]
- Bass, S.A.; Belkacem, M.; Bleicher, M.; Brandstetter, M.; Bravina, L.; Ernst, C.; Gerland, L.; Hofmann, M.; Hofmann, S.; Konopka, J.; et al. Microscopic Models for Ultrarelativistic Heavy Ion Collisions. Prog. Part. Nucl. Phys. 1998, 41, 225–370. [Google Scholar] [CrossRef]
- Bleicher, M.; Zabrodin, E.; Spieles, C.; Bass, S.A.; Ernst, C.; Soff, S.; Bravina, L.; Belkacem, M.; Weber, H.; Stocker, H.; et al. Relativistic Hadron-Hadron Collisions in the Ultra-Relativistic Quantum Molecular Dynamics Model. J. Phys. G Nucl. Part. Phys. 1999, 25, 1859–1896. [Google Scholar] [CrossRef]
- Sinyukov, Y.M.; Akkelin, S.V.; Tolstykh, A.Y. Interferometry radii for expanding hadron resonance gas. Nucl. Phys. A 1996, 610, 278. [Google Scholar] [CrossRef]
- Shapoval, V.M.; Sinyukov, Y.M.; Karpenko, I.A. Emission source functions in heavy ion collisions. Phys. Rev. C 2013, 88, 064904. [Google Scholar] [CrossRef]
- Koonin, S.E. Proton Pictures of High-Energy Nuclear Collisions. Phys. Lett. B 1977, 70, 43. [Google Scholar] [CrossRef]
- Bolz, J.; Ornik, U.; Pluemer, M.; Schlei, B.R.; Weiner, R.M. Resonance decays and partial coherence in Bose-Einstein correlations. Phys. Rev. D 1993, 47, 3860. [Google Scholar] [CrossRef]
- Shapoval, V.M.; Braun-Munzinger, P.; Karpenko, I.A.; Sinyukov, Y.M. Femtoscopy correlations of kaons in Pb+Pb collisions at LHC within hydrokinetic model. Nucl. Phys. A 2014, 929, 1–8. [Google Scholar] [CrossRef]
- Gubser, S.S. Symmetry constraints on generalizations of Bjorken flow. Phys. Rev. D 2010, 82, 085027. [Google Scholar] [CrossRef]
- Csizmadia, P.; Csorgo, T.; Lukacs, B. New analytic solutions of the non-relativistic hydrodynamical equations. Phys. Lett. B 1998, 443, 21–25. [Google Scholar] [CrossRef]
- Sinyukov, Y.M.; Akkelin, S.V.; Hama, Y. Freeze-Out Problem in Hydrokinetic Approach to A+A Collisions. Phys. Rev. Lett. 2002, 89, 052301. [Google Scholar] [CrossRef]









Disclaimer/Publisher’s Note: The statements, opinions and data contained in all publications are solely those of the individual author(s) and contributor(s) and not of MDPI and/or the editor(s). MDPI and/or the editor(s) disclaim responsibility for any injury to people or property resulting from any ideas, methods, instructions or products referred to in the content. |
© 2023 by the authors. Licensee MDPI, Basel, Switzerland. This article is an open access article distributed under the terms and conditions of the Creative Commons Attribution (CC BY) license (https://creativecommons.org/licenses/by/4.0/).
Share and Cite
Sinyukov, Y.; Shapoval, V.; Adzhymambetov, M. Space–Time Structure of Particle Emission and Femtoscopy Scales in Ultrarelativistic Heavy-Ion Collisions. Universe 2023, 9, 433. https://doi.org/10.3390/universe9100433
Sinyukov Y, Shapoval V, Adzhymambetov M. Space–Time Structure of Particle Emission and Femtoscopy Scales in Ultrarelativistic Heavy-Ion Collisions. Universe. 2023; 9(10):433. https://doi.org/10.3390/universe9100433
Chicago/Turabian StyleSinyukov, Yuri, Volodymyr Shapoval, and Musfer Adzhymambetov. 2023. "Space–Time Structure of Particle Emission and Femtoscopy Scales in Ultrarelativistic Heavy-Ion Collisions" Universe 9, no. 10: 433. https://doi.org/10.3390/universe9100433
APA StyleSinyukov, Y., Shapoval, V., & Adzhymambetov, M. (2023). Space–Time Structure of Particle Emission and Femtoscopy Scales in Ultrarelativistic Heavy-Ion Collisions. Universe, 9(10), 433. https://doi.org/10.3390/universe9100433

