Plasma Turbulence in the Near-Sun and Near-Earth Solar Wind: A Comparison via Observation-Driven 2D Hybrid Simulations
Abstract
:1. Introduction
2. Methods
3. Results
3.1. Different Types of Structures
3.2. Spectral Properties
3.3. Magnetic Reconnection
4. Discussion
- Magnetic structures of different shape and size form, e.g., vortices with a diameter ranging from the injection scales down to fractions of the inertial length and filamentary structures of width comparable to a few times and length up to a few tens of . The latter form between vortices when their respective field lines are aligned and some of them are observed to be highly Alfvénic.
- Ion-scale current sheets form as the result of the interaction between vortices with anti-aligned magnetic field lines and they reconnect quite shortly afterwards. During the evolution, current sheets keep forming and disrupting via reconnection and a balance is soon reached between these two processes.
- The width of current sheets when they disrupt is comparable in the two simulations and of the order of the ion scales, likely due to the small difference in the ion plasma beta, such that for Run 1 and for Run 2.
- The power spectrum of the magnetic field exhibits a power-law behaviour with a spectral index of in the inertial range, followed by an ion-scale spectral break.
- The power spectrum of the ion bulk velocity has a slightly lower level than the magnetic field one (indicative of residual energy) and it starts dropping at a scale which is larger than the break scale for the magnetic field.
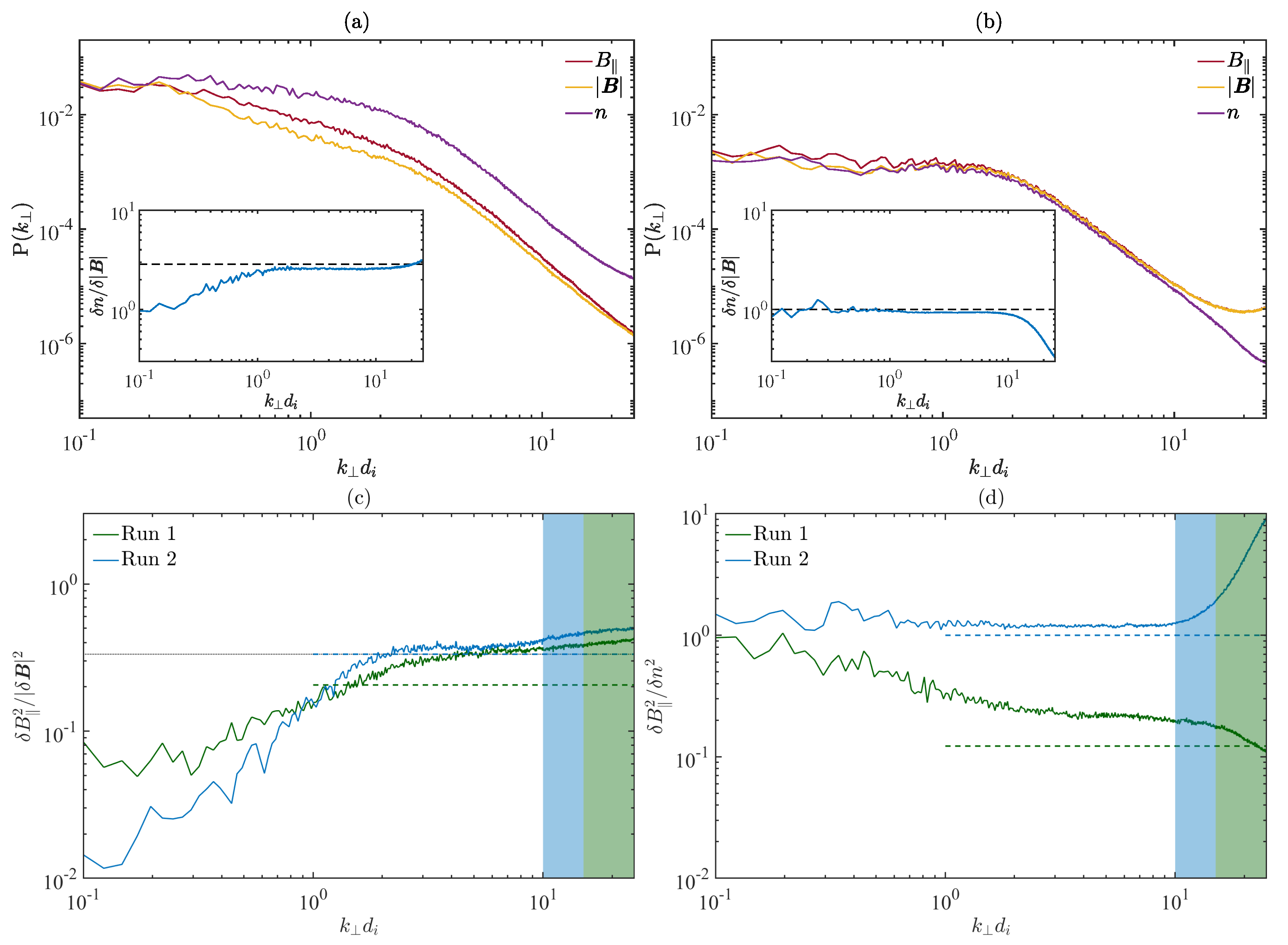
- represents a good approximation at sub-ion scales and the ratio is perfectly constant and comparable to the theoretical prediction for magnetic structures in force balance.
- The magnetic compressibility increases from the inertial range through the ion scales until it reaches a plateau around the break scale of the magnetic field power spectrum, at a value that is comparable in the two simulations and corresponds to equipartition between the three vector components.
- The magnetic structures (vortices and filaments) appear well defined and with neat borders in Run 1, while they appear more curly and wave-like in Run 2.
- The filling factor of magnetic vortices is larger in Run 1, which also determines a larger number of reconnection events at each time during the evolution.
- and of are large for Run 1, while they are much smaller for Run 2, where the two quantities exhibit a remarkable anti-correlation. This is directly related to being perfectly constant in Fourier space for and very close to the expectation for structures in force balance (which also coincides with the KAW theoretical prediction) for Run 2 but less so for Run 1.
- Regions of correlation between and n are observed in Run 1, while they are not present in Run 2.
- The approximation holds in the inertial range for Run 2, due to the smaller turbulent fluctuations, while it does not for Run 1.
- The power spectrum of the magnetic field is around an order of magnitude larger for Run 1, due to the larger initial level of fluctuations with respect to the ambient field.
- The power spectrum of the ion velocity at sub-ion scale falls quickly several orders of magnitude lower than the magnetic field one, with no well-defined behaviour, for Run 1, while, for Run 2, it exhibits a power law with the same spectral index as the magnetic field and a level that is less than an order of magnetic lower.
- The power spectrum of the density in Run 1 is around an order of magnitude larger than the magnetic field one, while, in Run 2, the two are almost overlapped.
- The power spectra of the magnetic field of the two simulations, renormalised to take into account the different injections of energy at the top of the turbulent cascade, exhibit exactly the same shape at scales larger than the ion-scale break, as they overlap almost perfectly for .
- The very good anti-correlation between n and and the poor one observed in the 1D spatial cuts of Run 1 and Run 2, respectively, seems to suggest a different nature of the fluctuations. The ratio in Fourier space, however, shows that the difference is only in the inertial range, where the ratio between the power spectra of the two quantities is constant in Run 2 but not in Run 1. At sub-ion scales, instead, the fluctuations are compatible with structures in force balance in both cases, when taking into account their respective plasma beta.
- The time evolution of magnetic reconnection is similar in the two simulations, once the simulation time is renormalised to the eddy turnover time of the injection-scale vortices, which is characteristic of the nonlinear time at the top of the turbulent cascade, : reconnection events start to occur already at , and at approximately twice this time, they reach their maximum number and maintain it during the following evolution, when a balance between current sheet formation and disruption is achieved.
- The distributions of the reconnection rates of all magnetic reconnection events in the two simulations are comparable once we renormalise them by their respective Alfvèn time , with merely a factor of of difference between their average values. These are also compatible with , where depends on the rms of the magnetic fluctuations, on the energy injection scale, and on the ion plasma beta.
5. Conclusions
- (i)
- Regardless of their nature in the inertial range, the magnetic and density fluctuations are observed to be governed by the force balance at sub-ion scales, where the level of the fluctuations becomes small enough with respect to the ambient field;
- (ii)
- Strong elongated Alfvénic structures can form between two vortices (or, likely, between two flux tubes in a more realistic 3D environment), when their respective field lines are aligned and magnetic reconnection does not occur;
- (iii)
- When the level of turbulent fluctuations is large enough, there is a chance to develop magnetic field reversals, with properties that are similar to those of switchbacks;
- (iv)
- When the ion plasma beta is small and/or the turbulence strength is large, which correspond to the conditions where the power spectrum of the magnetic field is typically steeper at sub-ion scales, e.g., [72], the power spectrum of the ion velocity seems to be not negligible, hinting at a possible role of the ion current in the turbulent cascade [38];
- (v)
- Under the plasma conditions mentioned above, the level of magnetic compressibility at sub-ion scales seems to be determined by the magnetic field component isotropy and, as such, to be independent of the plasma beta, rather than by the theoretical prediction for KAWs;
- (vi)
- When magnetic reconnection develops spontaneously due to the interaction of turbulent magnetic vortices, the eddy turnover time at the energy injection scale is the “clock” that governs the evolution of reconnection events; these start to develop after roughly one characteristic time, and after a few times this value, a balance is reached between the current sheets forming and those disrupting via reconnection. The characteristic time for their disruption via reconnection is instead compatible with the Alfvén time of the background turbulence.
Author Contributions
Funding
Institutional Review Board Statement
Informed Consent Statement
Data Availability Statement
Acknowledgments
Conflicts of Interest
| 1 | Note that here we have assumed that the ion pressure tensor can be approximated as a scalar quantity, so that , although ion pressure anisotropy is predicted to be generated in Alfvénic turbulence at [55,56]. This approximation is good enough for providing an interpretation of the observed correlation between magnetic and density fluctuations. |
References
- Marsch, E. Kinetic Physics of the Solar Corona and Solar Wind. Living Rev. Sol. Phys. 2006, 3, 1. [Google Scholar] [CrossRef]
- Bruno, R.; Carbone, V. The Solar Wind as a Turbulence Laboratory. Living Rev. Sol. Phys. 2013, 10, 2. [Google Scholar] [CrossRef]
- Bavassano, B.; Dobrowolny, M.; Mariani, F.; Ness, N.F. Radial evolution of power spectra of interplanetary Alfvénic turbulence. J. Geophys. Res. Space Phys. 1982, 87, 3617–3622. [Google Scholar]
- He, J.; Tu, C.; Marsch, E.; Bourouaine, S.; Pei, Z. Radial Evolution of the Wavevector Anisotropy of Solar Wind Turbulence between 0.3 and 1 AU. Astrophys. J. 2013, 773, 72. [Google Scholar] [CrossRef]
- Perrone, D.; Stansby, D.; Horbury, T.S.; Matteini, L. Radial evolution of the solar wind in pure high-speed streams: HELIOS revised observations. Mon. Not. R. Astron. Soc. 2018, 483, 3730–3737. [Google Scholar]
- Cranmer, S.R.; Matthaeus, W.H.; Breech, B.A.; Kasper, J.C. Empirical Constraints on Proton and Electron Heating in the Fast Solar Wind. Astrophys. J. 2009, 702, 1604–1614. [Google Scholar] [CrossRef]
- Marsch, E.; Schwenn, R.; Rosenbauer, H.; Muehlhaeuser, K.H.; Pilipp, W.; Neubauer, F.M. Solar wind protons — Three-dimensional velocity distributions and derived plasma parameters measured between 0.3 and 1 AU. J. Geophys. Res. 1982, 87, 52–72. [Google Scholar]
- Hellinger, P.; Matteini, L.; Štverák, Š.; Trávníček, P.M.; Marsch, E. Heating and cooling of protons in the fast solar wind between 0.3 and 1 AU: Helios revisited. J. Geophys. Res. 2011, 116, A09105. [Google Scholar]
- Telloni, D.; Sorriso-Valvo, L.; Woodham, L.D.; Panasenco, O.; Velli, M.; Carbone, F.; Zank, G.P.; Bruno, R.; Perrone, D.; Nakanotani, M.; et al. Evolution of Solar Wind Turbulence from 0.1 to 1 au during the First Parker Solar Probe-Solar Orbiter Radial Alignment. Astrophys. J. Lett. 2021, 912, L21. [Google Scholar]
- Howes, G.G.; Dorland, W.; Cowley, S.C.; Hammett, G.W.; Quataert, E.; Schekochihin, A.A.; Tatsuno, T. Kinetic Simulations of Magnetized Turbulence in Astrophysical Plasmas. Phys. Rev. Lett. 2008, 100, 065004. [Google Scholar]
- Servidio, S.; Matthaeus, W.H.; Shay, M.A.; Cassak, P.A.; Dmitruk, P. Magnetic Reconnection in Two-Dimensional Magnetohydrodynamic Turbulence. Phys. Rev. Lett. 2009, 102, 115003. [Google Scholar] [CrossRef] [PubMed]
- Howes, G.G.; Tenbarge, J.M.; Dorland, W.; Quataert, E.; Schekochihin, A.A.; Numata, R.; Tatsuno, T. Gyrokinetic Simulations of Solar Wind Turbulence from Ion to Electron Scales. Phys. Rev. Lett. 2011, 107, 035004. [Google Scholar] [CrossRef] [PubMed]
- Markovskii, S.A.; Vasquez, B.J. A Short-timescale Channel of Dissipation of the Strong Solar Wind Turbulence. Astrophys. J. 2011, 739, 22. [Google Scholar]
- Servidio, S.; Dmitruk, P.; Greco, A.; Wan, M.; Donato, S.; Cassak, P.A.; Shay, M.A.; Carbone, V.; Matthaeus, W.H. Magnetic reconnection as an element of turbulence. Nonlinear Process. Geophys. 2011, 18, 675–695. [Google Scholar] [CrossRef]
- Vasquez, B.J.; Markovskii, S.A. Velocity Power Spectra from Cross-field Turbulence in the Proton Kinetic Regime. Astrophys. J. 2012, 747, 19. [Google Scholar] [CrossRef]
- Karimabadi, H.; Roytershteyn, V.; Wan, M.; Matthaeus, W.H.; Daughton, W.; Wu, P.; Shay, M.; Loring, B.; Borovsky, J.; Leonardis, E.; et al. Coherent structures, intermittent turbulence, and dissipation in high-temperature plasmas. Phys. Plasmas 2013, 20, 012303. [Google Scholar] [CrossRef]
- Osman, K.; Matthaeus, W.; Gosling, J.; Greco, A.; Servidio, S.; Hnat, B.; Chapman, S.; Phan, T. Magnetic Reconnection and Intermittent Turbulence in the Solar Wind. Phys. Rev. Lett. 2014, 112, 215002. [Google Scholar] [CrossRef] [Green Version]
- Vasquez, B.J.; Markovskii, S.A.; Chandran, B.D.G. Three-dimensional Hybrid Simulation Study of Anisotropic Turbulence in the Proton Kinetic Regime. Astrophys. J. Lett. 2014, 788, 178. [Google Scholar] [CrossRef]
- Franci, L.; Verdini, A.; Matteini, L.; Landi, S.; Hellinger, P. Solar Wind Turbulence from MHD to sub-ion scales: High-resolution hybrid simulations. Astrophys. J. Lett. 2015, 804, L39. [Google Scholar]
- Franci, L.; Landi, S.; Matteini, L.; Verdini, A.; Hellinger, P. High-resolution Hybrid Simulations of Kinetic Plasma Turbulence at Proton Scales. Astrophys. J. 2015, 812, 21. [Google Scholar]
- Servidio, S.; Valentini, F.; Perrone, D.; Greco, A.; Califano, F.; Matthaeus, W.H.; Veltri, P. A kinetic model of plasma turbulence. J. Plasma Phys. 2015, 81, 325810107. [Google Scholar]
- Cerri, S.S.; Califano, F. Reconnection and small-scale fields in 2D-3V hybrid-kinetic driven turbulence simulations. New J. Phys. 2017, 19, 025007. [Google Scholar]
- Wan, M.; Matthaeus, W.H.; Roytershteyn, V.; Parashar, T.N.; Wu, P.; Karimabadi, H. Intermittency, coherent structures and dissipation in plasma turbulence. Phys. Plasmas 2016, 23, 042307. [Google Scholar]
- Yang, Y.; Matthaeus, W.H.; Parashar, T.N.; Haggerty, C.C.; Roytershteyn, V.; Daughton, W.; Wan, M.; Shi, Y.; Chen, S. Energy transfer, pressure tensor, and heating of kinetic plasma. Phys. Plasmas 2017, 24, 072306. [Google Scholar]
- Camporeale, E.; Sorriso-Valvo, L.; Califano, F.; Retinò, A. Coherent Structures and Spectral Energy Transfer in Turbulent Plasma: A Space-Filter Approach. Phys. Rev. Lett. 2018, 120, 125101. [Google Scholar] [PubMed]
- Grošelj, D.; Mallet, A.; Loureiro, N.F.; Jenko, F. Fully Kinetic Simulation of 3D Kinetic Alfvén Turbulence. Phys. Rev. Lett. 2018, 120, 105101. [Google Scholar] [PubMed]
- Arzamasskiy, L.; Kunz, M.W.; Chandran, B.D.G.; Quataert, E. Hybrid-kinetic Simulations of Ion Heating in Alfvénic Turbulence. Astrophys. J. 2019, 879, 53. [Google Scholar]
- González, C.A.; Parashar, T.N.; Gomez, D.; Matthaeus, W.H.; Dmitruk, P. Turbulent electromagnetic fields at sub-proton scales: Two-fluid and full-kinetic plasma simulations. Phys. Plasmas 2019, 26, 012306. [Google Scholar]
- Roytershteyn, V.; Boldyrev, S.; Delzanno, G.L.; Chen, C.H.K.; Grošelj, D.; Loureiro, N.F. Numerical Study of Inertial Kinetic-Alfvén Turbulence. Astrophys. J. 2019, 870, 103. [Google Scholar]
- Cerri, S.S.; Grošelj, D.; Franci, L. Kinetic Plasma Turbulence: Recent Insights and Open Questions From 3D3V Simulations. Front. Astron. Space Sci. 2019, 6, 64. [Google Scholar]
- Papini, E.; Cicone, A.; Piersanti, M.; Franci, L.; Hellinger, P.; Landi, S.; Verdini, A. Multidimensional Iterative Filtering: A new approach for investigating plasma turbulence in numerical simulations. J. Plasma Phys. 2020, 86, 871860501. [Google Scholar] [CrossRef]
- Agudelo Rueda, J.A.; Verscharen, D.; Wicks, R.T.; Owen, C.J.; Nicolaou, G.; Walsh, A.P.; Zouganelis, I.; Germaschewski, K.; Vargas Domínguez, S. Three-dimensional magnetic reconnection in particle-in-cell simulations of anisotropic plasma turbulence. J. Plasma Phys. 2021, 87, 905870228. [Google Scholar] [CrossRef]
- Papini, E.; Cicone, A.; Franci, L.; Piersanti, M.; Landi, S.; Hellinger, P.; Verdini, A. Spacetime Hall-MHD Turbulence at Sub-ion Scales: Structures or Waves? Astrophys. J. Lett. 2021, 917, L12. [Google Scholar] [CrossRef]
- Smith, C.W.; Vasquez, B.J. Driving and Dissipation of Solar-Wind Turbulence: What is the Evidence? Front. Astron. Space Sci. 2021, 7, 611909. [Google Scholar] [CrossRef]
- Arzamasskiy, L.; Kunz, M.W.; Squire, J.; Quataert, E.; Schekochihin, A.A. Kinetic Turbulence in Collisionless High-Beta Plasmas. arXiv 2022, arXiv:2207.05189. [Google Scholar]
- Yang, Y.; Matthaeus, W.H.; Roy, S.; Roytershteyn, V.; Parashar, T.N.; Bandyopadhyay, R.; Wan, M. Pressure–Strain Interaction as the Energy Dissipation Estimate in Collisionless Plasma. Astrophys. J. 2022, 929, 142. [Google Scholar] [CrossRef]
- Franci, L.; Stawarz, J.E.; Papini, E.; Hellinger, P.; Nakamura, T.; Burgess, D.; Landi, S.; Verdini, A.; Matteini, L.; Ergun, R.; et al. Modeling MMS Observations at the Earth’s Magnetopause with Hybrid Simulations of Alfvénic Turbulence. Astrophys. J. 2020, 898, 175. [Google Scholar] [CrossRef]
- Franci, L.; Sarto, D.D.; Papini, E.; Giroul, A.; Stawarz, J.E.; Burgess, D.; Hellinger, P.; Landi, S.; Bale, S.D. Evidence of a “current-mediated” turbulent regime in space and astrophysical plasmas. arXiv 2020, arXiv:physics.plasm-ph/2010.05048. [Google Scholar]
- Sahraoui, F.; Huang, S.Y.; Belmont, G.; Goldstein, M.L.; Rétino, A.; Robert, P.; De Patoul, J. Scaling of the Electron Dissipation Range of Solar Wind Turbulence. Astrophys. J. 2013, 777, 15. [Google Scholar] [CrossRef] [Green Version]
- Bruno, R.; Trenchi, L.; Telloni, D. Spectral Slope Variation at Proton Scales from Fast to Slow Solar Wind. Astrophys. J. Lett. 2014, 793, L15. [Google Scholar] [CrossRef]
- Pitňa, A.; Šafránková, J.; Němeček, Z.; Franci, L.; Pi, G. A Novel Method for Estimating the Intrinsic Magnetic Field Spectrum of Kinetic-Range Turbulence. Atmosphere 2021, 12, 1547. [Google Scholar] [CrossRef]
- Franci, L.; Landi, S.; Matteini, L.; Verdini, A.; Hellinger, P. Plasma Beta Dependence of the Ion-scale Spectral Break of Solar Wind Turbulence: High-resolution 2D Hybrid Simulations. Astrophys. J. 2016, 833, 91. [Google Scholar] [CrossRef]
- Wilson, L.B., III; Stevens, M.L.; Kasper, J.C.; Klein, K.G.; Maruca, B.A.; Bale, S.D.; Bowen, T.A.; Pulupa, M.P.; Salem, C.S. The Statistical Properties of Solar Wind Temperature Parameters Near 1 au. Astrophys. J. Supp. 2018, 236, 41. [Google Scholar]
- Verscharen, D.; Klein, K.G.; Maruca, B.A. The multi-scale nature of the solar wind. Living Rev. Sol. Phys. 2019, 16, 5. [Google Scholar] [CrossRef]
- Franci, L.; Cerri, S.S.; Califano, F.; Landi, S.; Papini, E.; Verdini, A.; Matteini, L.; Jenko, F.; Hellinger, P. Magnetic Reconnection as a Driver for a Sub-ion-scale Cascade in Plasma Turbulence. Astrophys. J. Lett. 2017, 850, L16. [Google Scholar] [CrossRef]
- Matthews, A.P. Current Advance Method and Cyclic Leapfrog for 2D Multispecies Hybrid Plasma Simulations. J. Comput. Phys. 1994, 112, 102–116. [Google Scholar] [CrossRef]
- Franci, L.; Hellinger, P.; Guarrasi, M.; Chen, C.H.K.; Papini, E.; Verdini, A.; Matteini, L.; Landi, S. Three-dimensional simulations of solar wind turbulence with the hybrid code CAMELIA. J. Phys. Conf. Ser. 2018, 1031, 012002. [Google Scholar] [CrossRef]
- Truesdell, C. The Effect of the Compressibility of the Earth on Its Magnetic Field. Phys. Rev. 1950, 78, 823. [Google Scholar] [CrossRef]
- Matteini, L.; Horbury, T.S.; Neugebauer, M.; Goldstein, B.E. Dependence of solar wind speed on the local magnetic field orientation: Role of Alfvénic fluctuations. Geophys. Res. Lett. 2014, 41, 259–265. [Google Scholar] [CrossRef]
- Horbury, T.S.; Woolley, T.; Laker, R.; Matteini, L.; Eastwood, J.; Bale, S.D.; Velli, M.; Chandran, B.D.G.; Phan, T.; Raouafi, N.E.; et al. Sharp Alfvénic Impulses in the Near-Sun Solar Wind. Astrophys. J. Supp. 2020, 246, 45. [Google Scholar] [CrossRef]
- Laker, R.; Horbury, T.S.; Matteini, L.; Bale, S.D.; Stawarz, J.E.; Woodham, L.D.; Woolley, T. Switchback Deflections Beyond the Early Parker Solar Probe Encounters. arXiv 2022, arXiv:2204.12980. [Google Scholar]
- Kasper, J.C.; Bale, S.D.; Belcher, J.W.; Berthomier, M.; Case, A.W.; Chandran, B.D.G.; Curtis, D.W.; Gallagher, D.; Gary, S.P.; Golub, L.; et al. Alfvénic velocity spikes and rotational flows in the near-Sun solar wind. Nature 2019, 576, 228–231. [Google Scholar] [CrossRef] [PubMed]
- Larosa, A.; Krasnoselskikh, V.; Dudok de Wit, T.; Agapitov, O.; Froment, C.; Jagarlamudi, V.K.; Velli, M.; Bale, S.D.; Case, A.W.; Goetz, K.; et al. Switchbacks: Statistical properties and deviations from Alfvénicity. Astron. Astrophys. 2021, 650, A3. [Google Scholar] [CrossRef]
- Squire, J.; Chandran, B.D.G.; Meyrand, R. In-situ Switchback Formation in the Expanding Solar Wind. Astrophys. J. Lett. 2020, 891, L2. [Google Scholar] [CrossRef]
- Del Sarto, D.; Pegoraro, F.; Califano, F. Pressure anisotropy and small spatial scales induced by velocity shear. Phys. Rev. E 2016, 93, 053203. [Google Scholar] [CrossRef] [PubMed]
- Hellinger, P.; Montagud-Camps, V.; Franci, L.; Matteini, L.; Papini, E.; Verdini, A.; Landi, S. Ion-scale Transition of Plasma Turbulence: Pressure–Strain Effect. Astrophys. J. 2022, 930, 48. [Google Scholar] [CrossRef]
- Schekochihin, A.A.; Cowley, S.C.; Dorland, W.; Hammett, G.W.; Howes, G.G.; Quataert, E.; Tatsuno, T. Astrophysical Gyrokinetics: Kinetic and Fluid Turbulent Cascades in Magnetized Weakly Collisional Plasmas. Astrophys. J. Supp. 2009, 182, 310–377. [Google Scholar] [CrossRef]
- Boldyrev, S.; Horaites, K.; Xia, Q.; Perez, J.C. Toward a Theory of Astrophysical Plasma Turbulence at Subproton Scales. Astrophys. J. 2013, 777, 41. [Google Scholar] [CrossRef]
- Matteini, L.; Franci, L.; Alexandrova, O.; Lacombe, C.; Landi, S.; Hellinger, P.; Papini, E.; Verdini, A. Magnetic Field Turbulence in the Solar Wind at Sub-ion Scales: In Situ Observations and Numerical Simulations. Front. Astron. Space Sci. 2020, 7, 563075. [Google Scholar] [CrossRef]
- Papini, E.; Franci, L.; Landi, S.; Verdini, A.; Matteini, L.; Hellinger, P. Can Hall Magnetohydrodynamics Explain Plasma Turbulence at Sub-ion Scales? Astrophys. J. 2019, 870, 52. [Google Scholar] [CrossRef]
- Papini, E.; Hellinger, P.; Verdini, A.; Landi, S.; Franci, L.; Montagud-Camps, V.; Matteini, L. Properties of Hall-MHD Turbulence at Sub-Ion Scales: Spectral Transfer Analysis. Atmosphere 2021, 12, 1632. [Google Scholar] [CrossRef]
- Papini, E.; Franci, L.; Landi, S.; Hellinger, P.; Verdini, A.; Matteini, L. Statistics of magnetic reconnection and turbulence in Hall-MHD and hybrid-PIC simulations. Nuovo Cimento Soc. Ital. Fis. C 2019, 42, 23. [Google Scholar]
- Betar, H.; Del Sarto, D.; Ottaviani, M.; Ghizzo, A. Multiparametric study of tearing modes in thin current sheets. Phys. Plasmas 2020, 27, 102106. [Google Scholar] [CrossRef]
- Furth, H.P.; Killeen, J.; Rosenbluth, M.N. Finite-Resistivity Instabilities of a Sheet Pinch. Phys. Fluids 1963, 6, 459–484. [Google Scholar] [CrossRef]
- Landi, S.; Del Zanna, L.; Papini, E.; Pucci, F.; Velli, M. Resistive Magnetohydrodynamics Simulations of the Ideal Tearing Mode. Astrophys. J. 2015, 806, 131. [Google Scholar] [CrossRef]
- Huang, Y.M.; Comisso, L.; Bhattacharjee, A. Plasmoid Instability in Evolving Current Sheets and Onset of Fast Reconnection. Astrophys. J. 2017, 849, 75. [Google Scholar] [CrossRef]
- Papini, E.; Landi, S.; Del Zanna, L. Fast Magnetic Reconnection: Secondary Tearing Instability and Role of the Hall Term. Astrophys. J. 2019, 885, 56. [Google Scholar] [CrossRef]
- Del Sarto, D.; Pucci, F.; Tenerani, A.; Velli, M. “Ideal” tearing and the transition to fast reconnection in the weakly collisional MHD and EMHD regimes. J. Geophys. Res. Space Phys. 2016, 121, 1857–1873. [Google Scholar] [CrossRef]
- Del Sarto, D.; Marchetto, C.; Pegoraro, F.; Califano, F. Finite Larmor radius effects in the nonlinear dynamics of collisionless magnetic reconnection. Plasma Phys. Control. Fusion 2011, 53, 035008. [Google Scholar] [CrossRef]
- Chen, C.H.K.; Leung, L.; Boldyrev, S.; Maruca, B.A.; Bale, S.D. Ion-scale spectral break of solar wind turbulence at high and low beta. Geophys. Res. Lett. 2014, 41, 8081–8088. [Google Scholar] [CrossRef]
- Del Sarto, D.; Pegoraro, F. Shear-induced pressure anisotropization and correlation with fluid vorticity in a low collisionality plasma. Mon. Not. R. Astron. Soc. 2018, 475, 181–192. [Google Scholar] [CrossRef]
- Bruno, R.; Trenchi, L. Radial Dependence of the Frequency Break between Fluid and Kinetic Scales in the Solar Wind Fluctuations. Astrophys. J. Lett. 2014, 787, L24. [Google Scholar] [CrossRef] [Green Version]
- Hellinger, P.; Matteini, L.; Landi, S.; Verdini, A.; Franci, L.; Trávníček, P.M. Plasma Turbulence and Kinetic Instabilities at Ion Scales in the Expanding Solar Wind. Astrophys. J. Lett. 2015, 811, L32. [Google Scholar] [CrossRef]
- Hellinger, P.; Matteini, L.; Landi, S.; Franci, L.; Verdini, A.; Papini, E. Turbulence versus Fire-hose Instabilities: 3D Hybrid Expanding Box Simulations. Astrophys. J. 2019, 883, 178. [Google Scholar] [CrossRef]
- Verdini, A.; Grappin, R. Beyond the Maltese Cross: Geometry of Turbulence Between 0.2 and 1 AU. Astrophys. J. 2016, 831, 179. [Google Scholar] [CrossRef]
- Montagud-Camps, V.; Grappin, R.; Verdini, A. Turbulent Heating between 0.2 and 1 AU: A Numerical Study. Astrophys. J. 2018, 853, 153. [Google Scholar] [CrossRef]
- Verdini, A.; Grappin, R.; Montagud-Camps, V.; Landi, S.; Franci, L.; Papini, E. Numerical simulations of high cross-helicity turbulence from 0.2 to 1 AU. Nuovo Cimento Soc. Ital. Fis. C 2019, 42, 17. [Google Scholar]






| Run | Grid | ppc | Ref. | ||||||
|---|---|---|---|---|---|---|---|---|---|
| 1 | 1024 | 0.0015 | 0.42 | 0.2 | 0.5 | [38] | |||
| 2 | 64,000 | 0.0005 | 0.28 | 1 | 1 | [45] |
Publisher’s Note: MDPI stays neutral with regard to jurisdictional claims in published maps and institutional affiliations. |
© 2022 by the authors. Licensee MDPI, Basel, Switzerland. This article is an open access article distributed under the terms and conditions of the Creative Commons Attribution (CC BY) license (https://creativecommons.org/licenses/by/4.0/).
Share and Cite
Franci, L.; Papini, E.; Del Sarto, D.; Hellinger, P.; Burgess, D.; Matteini, L.; Landi, S.; Montagud-Camps, V. Plasma Turbulence in the Near-Sun and Near-Earth Solar Wind: A Comparison via Observation-Driven 2D Hybrid Simulations. Universe 2022, 8, 453. https://doi.org/10.3390/universe8090453
Franci L, Papini E, Del Sarto D, Hellinger P, Burgess D, Matteini L, Landi S, Montagud-Camps V. Plasma Turbulence in the Near-Sun and Near-Earth Solar Wind: A Comparison via Observation-Driven 2D Hybrid Simulations. Universe. 2022; 8(9):453. https://doi.org/10.3390/universe8090453
Chicago/Turabian StyleFranci, Luca, Emanuele Papini, Daniele Del Sarto, Petr Hellinger, David Burgess, Lorenzo Matteini, Simone Landi, and Victor Montagud-Camps. 2022. "Plasma Turbulence in the Near-Sun and Near-Earth Solar Wind: A Comparison via Observation-Driven 2D Hybrid Simulations" Universe 8, no. 9: 453. https://doi.org/10.3390/universe8090453
APA StyleFranci, L., Papini, E., Del Sarto, D., Hellinger, P., Burgess, D., Matteini, L., Landi, S., & Montagud-Camps, V. (2022). Plasma Turbulence in the Near-Sun and Near-Earth Solar Wind: A Comparison via Observation-Driven 2D Hybrid Simulations. Universe, 8(9), 453. https://doi.org/10.3390/universe8090453

