New Soliton Solutions of Time-Fractional Korteweg–de Vries Systems
Abstract
:1. Introduction
2. Preliminaries
3. Basic Idea of LHPM for Time-Fractional Systems
4. Application LHPM to Fractional KdV Systems
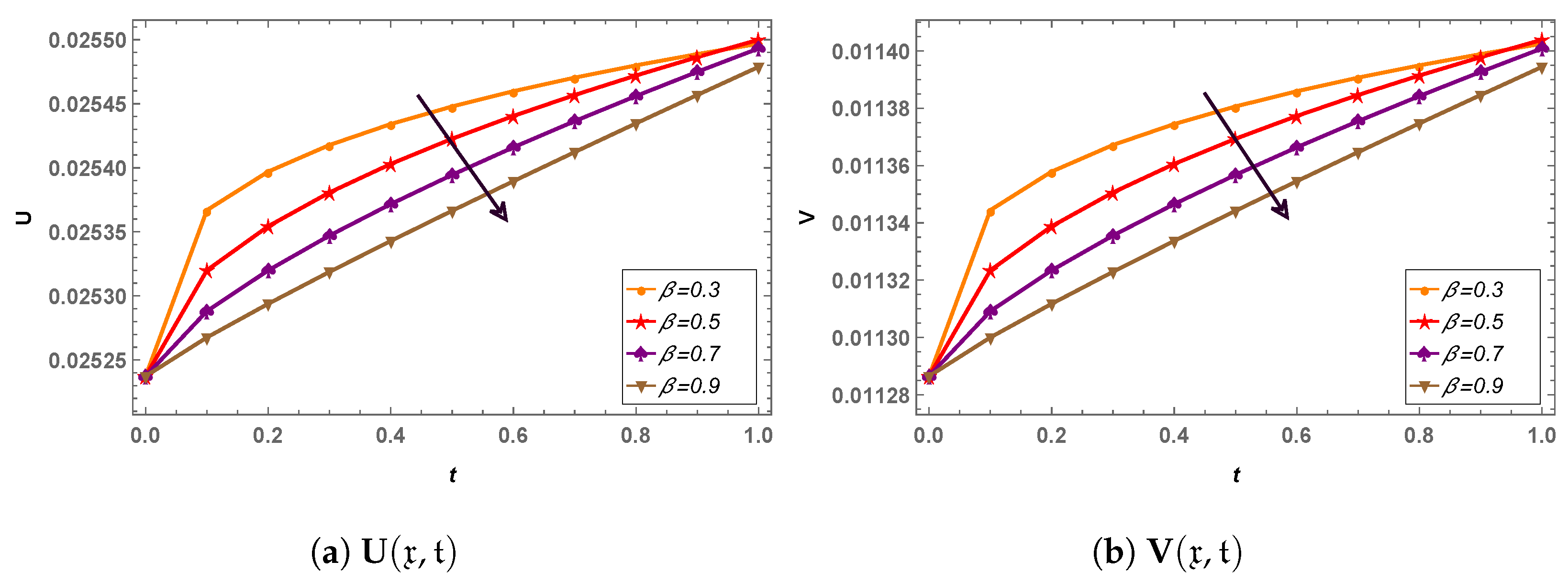
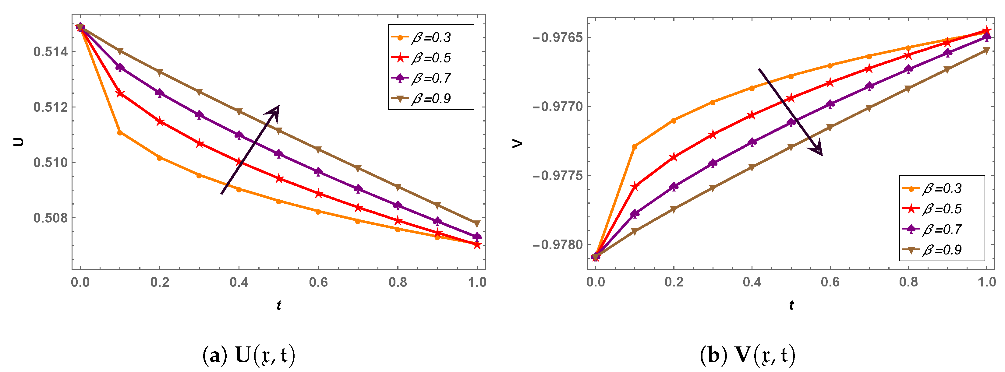
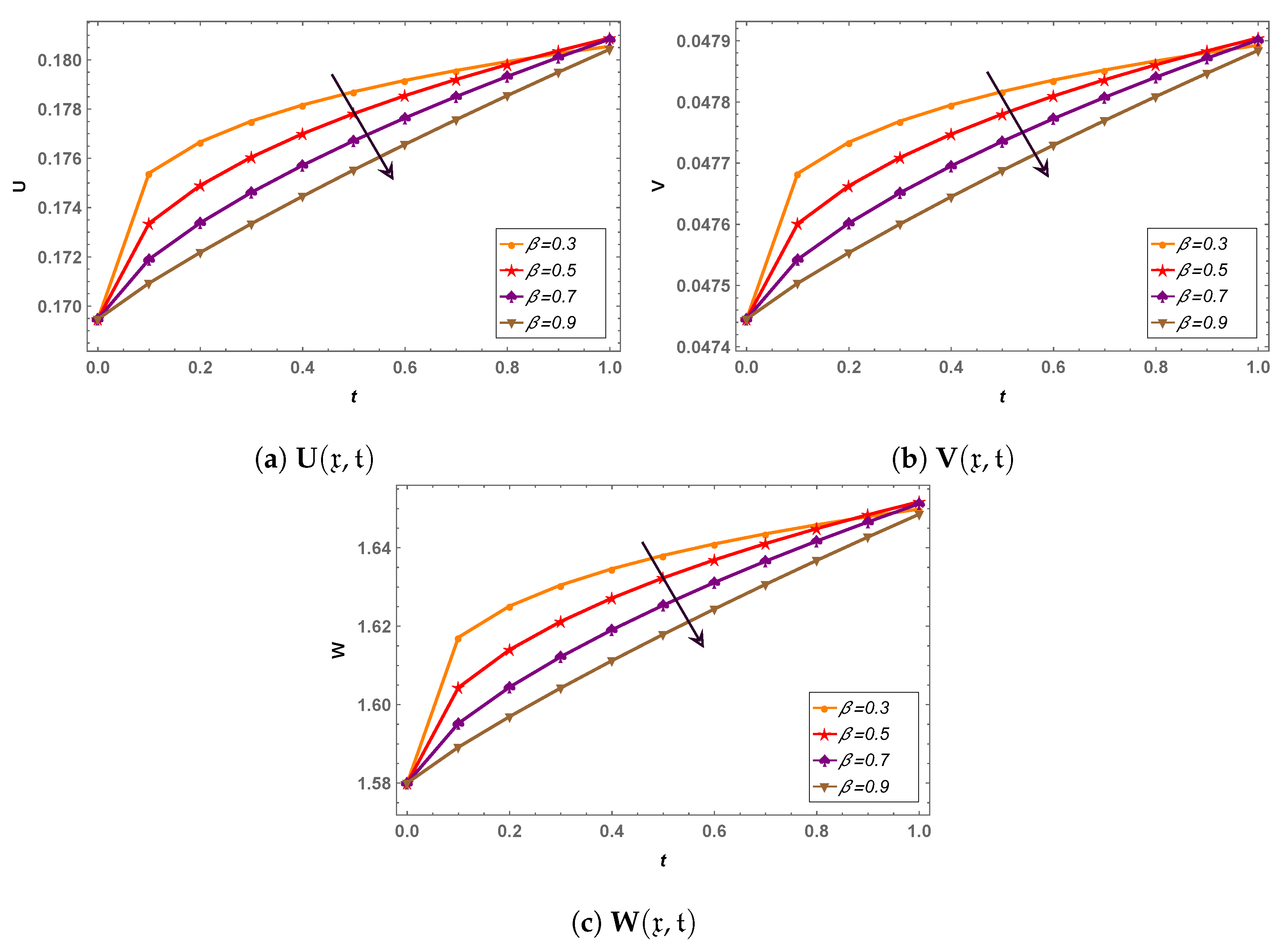
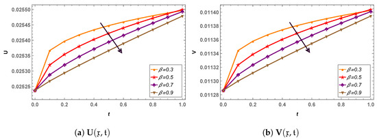
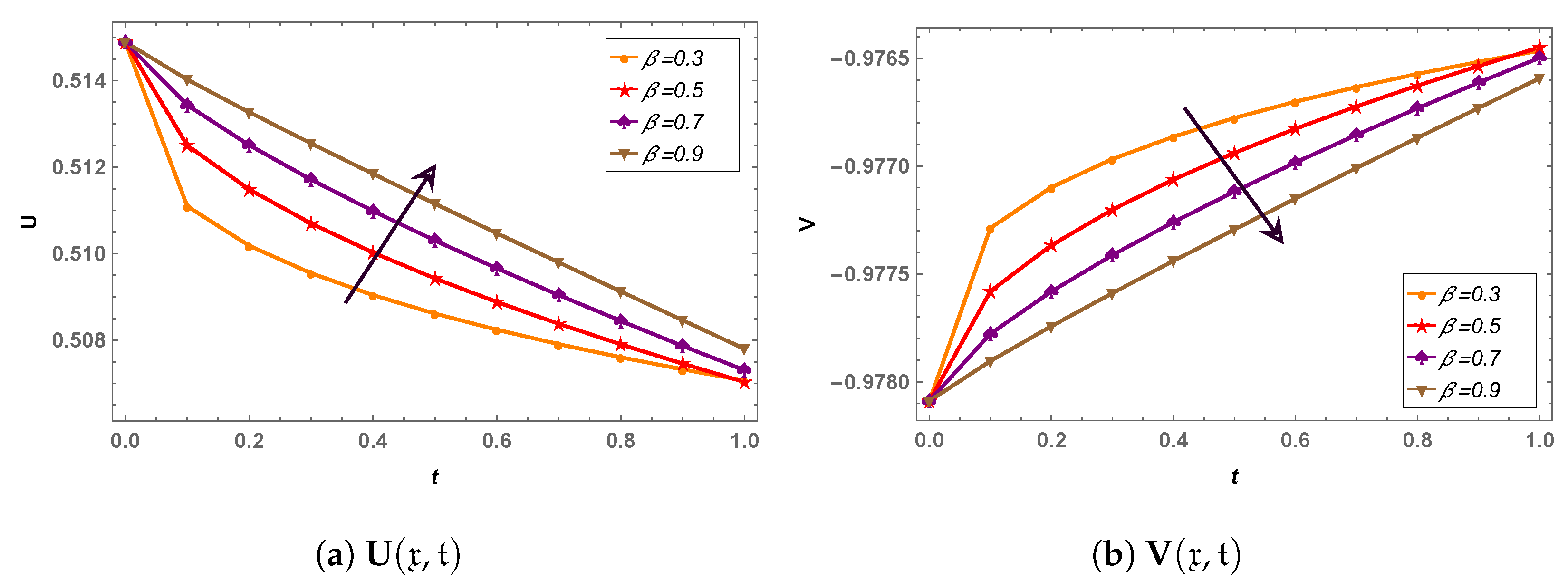
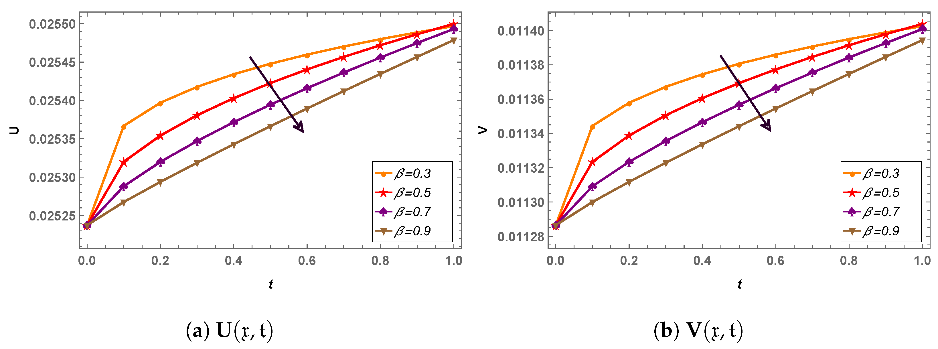
5. Discussion
6. Conclusions
Author Contributions
Funding
Institutional Review Board Statement
Informed Consent Statement
Data Availability Statement
Acknowledgments
Conflicts of Interest
References
- Crighton, D.G. Applications of KdV. In KdV’95; Springer: Dordrecht, The Netherlands, 1995; pp. 39–67. [Google Scholar] [CrossRef]
- Taghizadeh, N.; Mirzazadeh, M.; Rahimian, M.; Akbari, M. Application of the simplest equation method to some time-fractional partial differential equations. Ain Shams Eng. J. 2013, 4, 897–902. [Google Scholar] [CrossRef]
- Russell, J.S. Report on Waves. In Proceedings of the 14th Meeting of the British Association for the Advancement of Science, York, UK, September 1844. [Google Scholar]
- Boussinesq, J.V. Theorie generale des mouvements qui sont propages dans un canal rectangulaire horizontal. CR Acad. Sci. Paris 1871, 73, 1. [Google Scholar]
- Boussinesq, J. Theorie de l’intumescence liquide appelee onde solitaire ou de translation se propageant dans un canal rectangulaire. CR Acad. Sci. Paris 1871, 72, 1871. [Google Scholar]
- Boussinesq, J. Theorie des ondes et des remous qui se propagent le long d’un canal rectangulaire horizontal, en communiquant au liquide contenu dans ce canal des vitesses sensiblement pareilles de la surface au fond. J. Math. Pures Appl. 1872, 55–108. [Google Scholar]
- Korteweg, D.J.; de Vries, G. On the change of form of long waves advancing in a rectangular canal, and on a new type of long stationary waves. Lond. Edinb. Dublin Philos. Mag. J. Sci. 1895, 39, 422–443. [Google Scholar] [CrossRef]
- van Groesen, E.; Pudjaprasetya, S. Uni-directional waves over slowly varying bottom. Part I: Derivation of a KdV-type of equation. Wave Motion 1993, 18, 345–370. [Google Scholar] [CrossRef]
- van Groesen, E.; Andonowati. Variational derivation of KdV-type models for surface water waves. Phys. Lett. A 2007, 366, 195–201. [Google Scholar] [CrossRef]
- Kovalyov, M.; Abadi, M.H.A. An explicit formula for a class of solutions of the KdV equation. Phys. Lett. A 1999, 254, 47–52. [Google Scholar] [CrossRef]
- Jibran, M.; Nawaz, R.; Khan, A.; Afzal, S. Iterative Solutions of Hirota Satsuma Coupled KDV and Modified Coupled KDV Systems. Math. Probl. Eng. 2018, 2018, 9042039. [Google Scholar] [CrossRef]
- Mandi, L.; Roy, K.; Chatterjee, P. Approximate Analytical Solution of Nonlinear Evolution Equations. In Selected Topics in Plasma Physics; IntechOpen: London, UK, 2020. [Google Scholar] [CrossRef]
- Cheemaa, N.; Seadawy, A.R.; Sugati, T.G.; Baleanu, D. Study of the dynamical nonlinear modified Korteweg-de Vries equation arising in plasma physics and its analytical wave solutions. Results Phys. 2020, 19, 103480. [Google Scholar] [CrossRef]
- Alquran, M.; Jaradat, I.; Baleanu, D. Shapes and dynamics of dual-mode Hirota–Satsuma coupled KdV equations: Exact traveling wave solutions and analysis. Chin. J. Phys. 2019, 58, 49–56. [Google Scholar] [CrossRef]
- Ali, A.T.; Khater, M.M.; Attia, R.A.; Abdel-Aty, A.H.; Lu, D. Abundant numerical and analytical solutions of the generalized formula of Hirota-Satsuma coupled KdV system. Chaos Solitons Fractals 2020, 131, 109473. [Google Scholar] [CrossRef]
- Park, C.; Nuruddeen, R.I.; Ali, K.K.; Muhammad, L.; Osman, M.S.; Baleanu, D. Novel hyperbolic and exponential ansatz methods to the fractional fifth-order Korteweg-de Vries equations. Adv. Differ. Equ. 2020, 2020, 627. [Google Scholar] [CrossRef]
- Rizvi, S.; Seadawy, A.R.; Ashraf, F.; Younis, M.; Iqbal, H.; Baleanu, D. Lump and Interaction solutions of a geophysical Korteweg-de Vries equation. Results Phys. 2020, 19, 103661. [Google Scholar] [CrossRef]
- Jafari, H.; Jassim, H.K.; Baleanu, D.; Chu, Y.M. On the approximate solutions for a system of coupled Korteweg-de Vries equations with local fractional derivative. Fractals 2021, 29, 2140012. [Google Scholar] [CrossRef]
- Riemann, B. Versuch einer allgemeinen Auffassung der Integration und Differentiation. Gesammelte Werke 1876, 62, 331–344. [Google Scholar]
- Liouville, J. Memoir on some questions of geometry and mechanics, and on a new kind of calculation to solve these questions. J. l’École Pol. Tech. 1832, 13, 1–69. [Google Scholar]
- Euler, L. On transcendental progressions that is, those whose general terms cannot be given algebraically. Comment. Acad. Sci. Petropolitanae 1999, 1738, 36–57. [Google Scholar]
- Laurent, H. Sur le calcul des dérivées à indices quelconques. Nouv. Ann. Math. J. Des Candidats Aux Écoles Polytech. Norm. 1884, 3, 240–252. [Google Scholar]
- de Laplace, P.S. Théorie Analytique des Probabilités; Courcier: Paris, France, 1820; Volume 7. [Google Scholar]
- Ziane, D.; Cherif, M.H. Variational iteration transform method for fractional differential equations. J. Interdiscip. Math. 2018, 21, 185–199. [Google Scholar] [CrossRef]
- Guo, P. The Adomian Decomposition Method for a Type of Fractional Differential Equations. J. Appl. Math. Phys. 2019, 07, 2459–2466. [Google Scholar] [CrossRef]
- Akbulut, A.; Kaplan, M. Auxiliary equation method for time-fractional differential equations with conformable derivative. Comput. Math. Appl. 2018, 75, 876–882. [Google Scholar] [CrossRef]
- Saratha, S.R.; Bagyalakshmi, M.; Krishnan, G.S.S. Fractional generalised homotopy analysis method for solving nonlinear fractional differential equations. Comput. Appl. Math. 2020, 39, 112. [Google Scholar] [CrossRef]
- Nadeem, M.; He, J.H. The homotopy perturbation method for fractional differential equations: Part 2, two-scale transform. Int. J. Numer. Methods Heat Fluid Flow 2021, 32, 559–567. [Google Scholar] [CrossRef]
- Wang, Q. Homotopy perturbation method for fractional KdV-Burgers equation. Chaos Solitons Fractals 2008, 35, 843–850. [Google Scholar] [CrossRef]
- Kurulay, M.; Bayram, M. Approximate analytical solution for the fractional modified KdV by differential transform method. Commun. Nonlinear Sci. Numer. Simul. 2010, 15, 1777–1782. [Google Scholar] [CrossRef]
- El-Ajou, A.; Arqub, O.A.; Momani, S. Approximate analytical solution of the nonlinear fractional KdV–Burgers equation: A new iterative algorithm. J. Comput. Phys. 2015, 293, 81–95. [Google Scholar] [CrossRef]
- Elbadri, M.; Ahmed, S.A.; Abdalla, Y.T.; Hdidi, W. A New Solution of Time-Fractional Coupled KdV Equation by Using Natural Decomposition Method. Abstr. Appl. Anal. 2020, 2020, 3950816. [Google Scholar] [CrossRef]
- Mohammed, W.W.; Albalahi, A.M.; Albadrani, S.; Aly, E.S.; Sidaoui, R.; Matouk, A.E. The Analytical Solutions of the Stochastic Fractional Kuramoto–Sivashinsky Equation by Using the Riccati Equation Method. Math. Probl. Eng. 2022, 2022, 5083784. [Google Scholar] [CrossRef]
- Pasha, S.A.; Nawaz, Y.; Arif, M.S. The modified homotopy perturbation method with an auxiliary term for the nonlinear oscillator with discontinuity. J. Low Freq. Noise, Vib. Act. Control. 2018, 38, 1363–1373. [Google Scholar] [CrossRef]
- Thabet, H.; Kendre, S. Modified least squares homotopy perturbation method for solving fractional partial differential equations. Malaya J. Mat. 2018, 6, 420–427. [Google Scholar] [CrossRef]
- Mtawal, A.A.H.; Alkaleeli, S.R. A new modified homotopy perturbation method for fractional partial differential equations with proportional delay. J. Adv. Math. 2020, 19, 58–73. [Google Scholar] [CrossRef]
- Johnston, S.J.; Jafari, H.; Moshokoa, S.P.; Ariyan, V.M.; Baleanu, D. Laplace homotopy perturbation method for Burgers equation with space- and time-fractional order. Open Phys. 2016, 14, 247–252. [Google Scholar] [CrossRef]
- Yin, X.B.; Kumar, S.; Kumar, D. A modified homotopy analysis method for solution of fractional wave equations. Adv. Mech. Eng. 2015, 7, 168781401562033. [Google Scholar] [CrossRef]
- Shah, R.; Khan, H.; Kumam, P.; Arif, M. An Analytical Technique to Solve the System of Nonlinear Fractional Partial Differential Equations. Mathematics 2019, 7, 505. [Google Scholar] [CrossRef] [Green Version]
- Abazari, R.; Abazari, M. Numerical simulation of generalized Hirota-Satsuma coupled KdV equation by RDTM and comparison with DTM. Commun. Nonlinear Sci. Numer. Simul. 2012, 17, 619–629. [Google Scholar] [CrossRef]









| Exact Solution | LHPM Solution | LHPM Error | LADM Error [39] | ||||||
|---|---|---|---|---|---|---|---|---|---|
| 0.1 | 0.01755 | 0.00877 | 0.01755 | 0.00877 | 5.69 | 2.84 | 7.44 | 4.92 | |
| −10 | 0.3 | 0.01734 | 0.00867 | 0.01734 | 0.00867 | 4.61 | 2.30 | 2.23 | 1.47 |
| 0.5 | 0.01713 | 0.00856 | 0.01713 | 0.00856 | 3.55 | 1.77 | 3.72 | 2.46 | |
| 0.1 | 0.19717 | 0.09858 | 0.19717 | 0.09858 | 3.22 | 1.61 | 3.97 | 2.62 | |
| 0 | 0.3 | 0.19830 | 0.09915 | 0.19830 | 0.09915 | 2.57 | 1.28 | 1.19 | 7.88 |
| 0.5 | 0.19943 | 0.09971 | 0.19943 | 0.09971 | 1.95 | 9.78 | 1.98 | 1.31 | |
| 0.1 | 0.00248 | 0.00124 | 0.00248 | 0.00124 | 1.45 | 9.27 | 1.07 | 7.10 | |
| 10 | 0.3 | 0.00251 | 0.00125 | 0.00251 | 0.00125 | 1.18 | 5.90 | 3.22 | 2.13 |
| 0.5 | 0.00254 | 0.00127 | 0.00254 | 0.00127 | 9.13 | 4.56 | 5.36 | 3.55 | |
| U | V | R | ||||
|---|---|---|---|---|---|---|
| 0.1 | 0.006960 | 0.004118 | 7.29 | 4.31 | 5.80 | |
| 0.33 | 0.4 | 0.007153 | 0.004232 | 7.18 | 4.24 | 5.71 |
| 0.7 | 0.007264 | 0.004297 | 1.80 | 1.06 | 1.43 | |
| 1.0 | 0.007348 | 0.004347 | 3.25 | 1.92 | 2.58 | |
| 0.1 | 0.006789 | 0.004016 | 1.62 | 9.62 | 1.29 | |
| 0.66 | 0.4 | 0.007008 | 0.004146 | 1.57 | 9.32 | 1.25 |
| 0.7 | 0.007177 | 0.004246 | 9.98 | 5.90 | 7.94 | |
| 1.0 | 0.007327 | 0.004335 | 3.23 | 1.91 | 2.57 | |
| 0.1 | 0.006727 | 0.003980 | 9.96 | 5.89 | 7.93 | |
| 0.88 | 0.4 | 0.006922 | 0.004095 | 4.44 | 2.63 | 3.53 |
| 0.7 | 0.007103 | 0.004202 | 5.22 | 3.09 | 4.17 | |
| 1.0 | 0.007280 | 0.004306 | 2.51 | 1.48 | 1.99 |
| Exact Solution | LHPM Solution | LHPM Error | LADM Error [39] | ||||||
|---|---|---|---|---|---|---|---|---|---|
| 0.1 | 0.01071 | −0.99469 | 0.01071 | −0.99469 | 1.49 | 6.06 | 1.21 | 1.31 | |
| −10 | 0.3 | 0.01020 | −0.99495 | 0.01020 | −0.99495 | 1.20 | 4.88 | 6.35 | 3.84 |
| 0.5 | 0.00970 | −0.99519 | 0.00970 | −0.99519 | 9.21 | 3.75 | 5.30 | 6.27 | |
| 0.1 | 0.61656 | −0.88179 | 0.61656 | −0.88179 | 1.69 | 1.11 | 1.23 | 7.04 | |
| 0 | 0.3 | 0.60467 | −0.88047 | 0.60467 | −0.88047 | 1.35 | 9.32 | 1.14 | 2.01 |
| 0.5 | 0.59266 | −0.87929 | 0.59266 | −0.87929 | 1.02 | 7.38 | 3.26 | 3.18 | |
| 0.1 | 0.99582 | −0.99792 | 0.99582 | −0.99792 | 6.25 | 2.91 | 2.50 | 5.08 | |
| 10 | 0.3 | 0.99561 | −0.99781 | 0.99561 | −0.99781 | 5.11 | 2.38 | 2.27 | 1.56 |
| 0.5 | 0.99539 | −0.99770 | 0.99539 | −0.99770 | 3.98 | 1.85 | 6.36 | 2.68 | |
| U | V | R | ||||
|---|---|---|---|---|---|---|
| 0.1 | 0.987411 | −0.993786 | 3.33 | 1.31 | 2.32 | |
| 0.33 | 0.4 | 0.986286 | −0.993240 | 3.25 | 1.26 | 2.25 |
| 0.7 | 0.985589 | −0.992903 | 8.12 | 3.13 | 5.62 | |
| 1.0 | 0.985033 | −0.992635 | 1.45 | 5.57 | 1.00 | |
| 0.1 | 0.988326 | −0.994231 | 1.06 | 3.18 | 6.92 | |
| 0.66 | 0.4 | 0.987185 | −0.993675 | 1.01 | 2.93 | 6.54 |
| 0.7 | 0.986236 | −0.993214 | 6.34 | 1.78 | 4.06 | |
| 1.0 | 0.985345 | −0.992782 | 2.02 | 5.54 | 1.29 | |
| 0.1 | 0.988631 | −0.994380 | 1.25 | 1.12 | 6.84 | |
| 0.88 | 0.4 | 0.987658 | −0.993905 | 5.46 | 3.90 | 2.93 |
| 0.7 | 0.986699 | −0.993438 | 6.26 | 3.36 | 3.30 | |
| 1.0 | 0.985715 | −0.992960 | 2.93 | 1.04 | 1.52 |
| RDTM Error [40] | LHPM Error | ||||||
|---|---|---|---|---|---|---|---|
| 0.1 | 1.66 | 3.32 | 2.07 | 2.34 | 4.69 | 2.93 | |
| 0.2 | 0.4 | 4.24 | 8.49 | 5.30 | 9.59 | 1.91 | 1.19 |
| 0.7 | 3.97 | 7.95 | 4.96 | 2.75 | 5.50 | 3.43 | |
| 1.0 | 1.65 | 3.30 | 2.06 | 2.33 | 4.66 | 2.91 | |
| 0.1 | 1.63 | 3.26 | 2.03 | 2.27 | 4.54 | 2.84 | |
| 0.5 | 0.4 | 4.16 | 8.32 | 5.20 | 9.28 | 1.85 | 1.16 |
| 0.7 | 3.89 | 7.78 | 4.86 | 2.65 | 5.31 | 3.31 | |
| 1.0 | 1.61 | 3.23 | 2.01 | 2.24 | 4.49 | 2.81 | |
| 0.1 | 1.57 | 3.15 | 1.96 | 2.14 | 4.28 | 2.67 | |
| 0.8 | 0.4 | 4.01 | 8.02 | 5.01 | 8.72 | 1.74 | 1.09 |
| 0.7 | 3.74 | 7.49 | 4.68 | 2.49 | 4.98 | 3.11 | |
| 1.0 | 1.55 | 3.10 | 1.94 | 2.10 | 4.21 | 2.63 | |
| 0.1 | 1.52 | 3.05 | 1.90 | 2.02 | 4.05 | 2.53 | |
| 1.0 | 0.4 | 3.88 | 7.76 | 4.85 | 8.23 | 1.64 | 1.02 |
| 0.7 | 3.62 | 7.24 | 4.52 | 2.34 | 4.69 | 2.93 | |
| 1.0 | 1.49 | 2.99 | 1.87 | 1.98 | 3.96 | 2.47 | |
| U | V | W | R | |||||
|---|---|---|---|---|---|---|---|---|
| 0.1 | 0.17473 | 0.04765 | 1.61294 | 6.02 | 7.04 | 1.10 | 5.70 | |
| 0.36 | 0.4 | 0.17784 | 0.04778 | 1.63253 | 7.31 | 8.00 | 1.25 | 6.63 |
| 0.7 | 0.17950 | 0.04784 | 1.64306 | 2.00 | 2.10 | 3.29 | 1.77 | |
| 1.0 | 0.18069 | 0.04789 | 1.65068 | 3.80 | 3.89 | 6.08 | 3.31 | |
| 0.1 | 0.17215 | 0.04755 | 1.59679 | 2.32 | 2.41 | 3.78 | 2.04 | |
| 0.66 | 0.4 | 0.17597 | 0.04770 | 1.62071 | 2.25 | 2.13 | 3.33 | 1.86 |
| 0.7 | 0.17867 | 0.04781 | 1.63762 | 1.42 | 1.25 | 1.95 | 1.13 | |
| 1.0 | 0.18088 | 0.04790 | 1.65152 | 4.64 | 3.79 | 5.92 | 3.53 | |
| 0.1 | 0.17101 | 0.04750 | 1.58966 | 1.33 | 1.86 | 2.91 | 1.42 | |
| 0.88 | 0.4 | 0.17458 | 0.04765 | 1.61198 | 5.96 | 7.68 | 1.20 | 6.01 |
| 0.7 | 0.17767 | 0.04777 | 1.63132 | 7.00 | 8.32 | 1.30 | 6.70 | |
| 1.0 | 0.18048 | 0.04788 | 1.64892 | 3.36 | 3.68 | 5.75 | 3.05 |
Publisher’s Note: MDPI stays neutral with regard to jurisdictional claims in published maps and institutional affiliations. |
© 2022 by the authors. Licensee MDPI, Basel, Switzerland. This article is an open access article distributed under the terms and conditions of the Creative Commons Attribution (CC BY) license (https://creativecommons.org/licenses/by/4.0/).
Share and Cite
Qayyum, M.; Ahmad, E.; Riaz, M.B.; Awrejcewicz, J.; Saeed, S.T. New Soliton Solutions of Time-Fractional Korteweg–de Vries Systems. Universe 2022, 8, 444. https://doi.org/10.3390/universe8090444
Qayyum M, Ahmad E, Riaz MB, Awrejcewicz J, Saeed ST. New Soliton Solutions of Time-Fractional Korteweg–de Vries Systems. Universe. 2022; 8(9):444. https://doi.org/10.3390/universe8090444
Chicago/Turabian StyleQayyum, Mubashir, Efaza Ahmad, Muhammad Bilal Riaz, Jan Awrejcewicz, and Syed Tauseef Saeed. 2022. "New Soliton Solutions of Time-Fractional Korteweg–de Vries Systems" Universe 8, no. 9: 444. https://doi.org/10.3390/universe8090444
APA StyleQayyum, M., Ahmad, E., Riaz, M. B., Awrejcewicz, J., & Saeed, S. T. (2022). New Soliton Solutions of Time-Fractional Korteweg–de Vries Systems. Universe, 8(9), 444. https://doi.org/10.3390/universe8090444

