The Kinetic Monte Carlo Model of the Auroral Electron Precipitation into N2-O2 Planetary Atmospheres
Abstract
1. Introduction
2. Materials and Methods
2.1. N2-O2 Atmosphere
2.2. The Kinetic Monte Carlo Model for Electron Precipitation
2.2.1. Physical Processes
2.2.2. Kinetic Description
2.2.3. Numerical Realization of Kinetic Monte Carlo Model
3. Results of Calculations
3.1. Energy Spectra of Precipitating Electrons
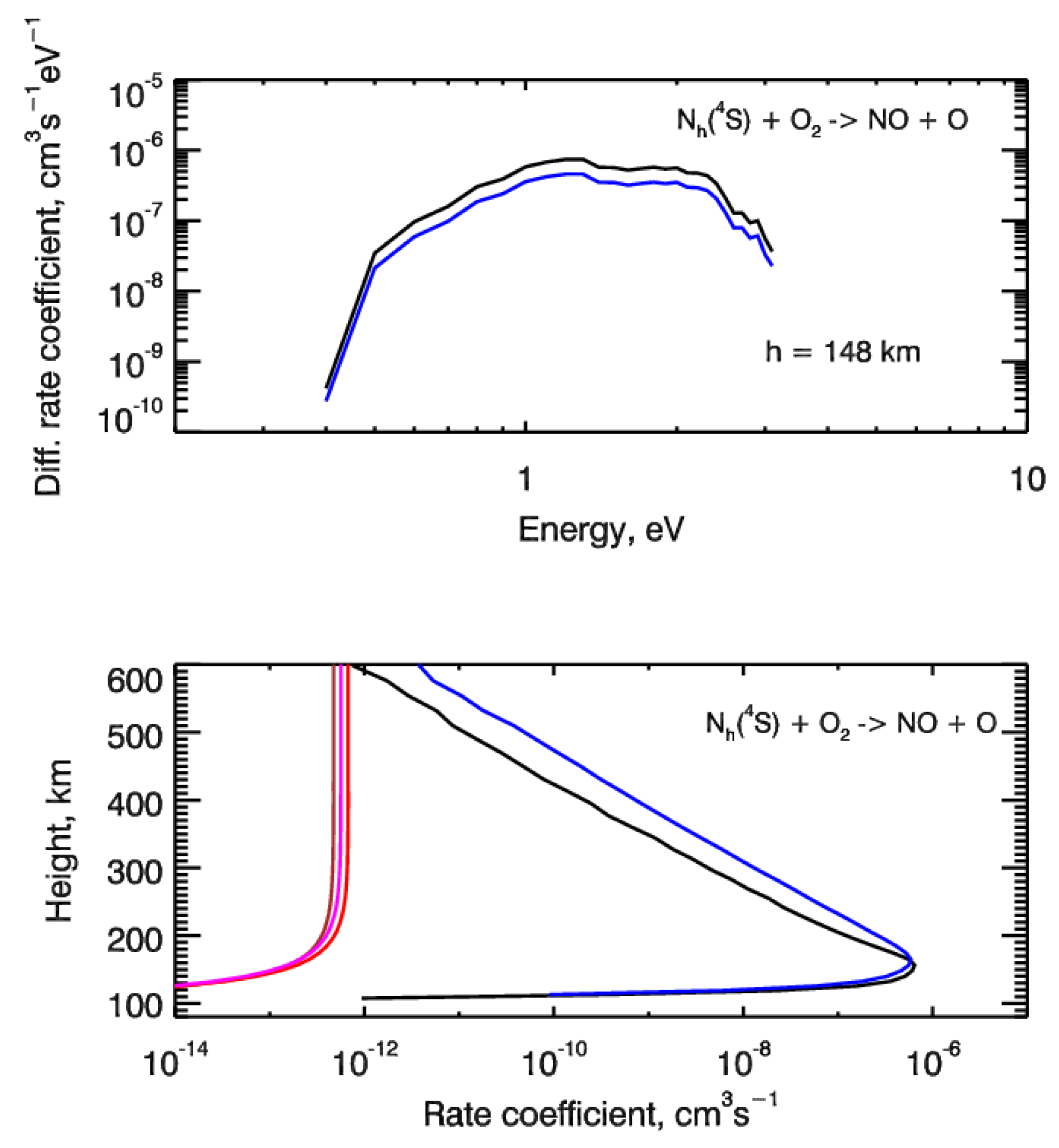
3.2. Source Functions of Hot N Atoms from the N2 Electron Impact Dissociation
4. Discussion
Author Contributions
Funding
Informed Consent Statement
Data Availability Statement
Acknowledgments
Conflicts of Interest
Appendix A
| Process | Threshold, eV | σmax (×10−19), cm2 |
|---|---|---|
| Momentum transfer | 0 | 2300 |
| Rotational excitation J = 0→2 | 0.0015 | 210 |
| Total vibrational excitation | 0.29 | 2000 |
| Excitation to A3Σu+ | 6.17 | 240 |
| Excitation to B3∏g | 7.35 | 330 |
| Excitation to W3Δu | 7.36 | 320 |
| Excitation to B′3Σu− | 8.16 | 120 |
| Excitation to a′1Σu− | 8.4 | 90 |
| Excitation to a1∏g | 8.55 | 340 |
| Excitation to w1Δu | 8.89 | 110 |
| Excitation to b1∏u | 12.5 | 200 |
| Excitation to b′1Σu+ | 12.9 | 160 |
| Excitation to c1∏u | 12.1 | 250 |
| Excitation to c′41Σu+ | 12.9 | 140 |
| Excitation to C3∏u | 11.0 | 520 |
| Excitation to E3Σg+ | 11.9 | 130 |
| Excitation to a″1Σg+ | 12.3 | 70 |
| Total ionization | 15.6 | 280 |
| N + N production | 9.76 | 130 |
| Process | Threshold, eV | σmax (×10−18), cm2 |
|---|---|---|
| Momentum transfer | 0 | 1150 |
| Excitation of vibrational levels | 0.3 | 59.8 |
| Excitation to 13Πg | 7.6 | 7 |
| Excitation to B3Σu | 8.3 | 60.6 |
| Excitation to 8.9 eV peak | 8.9 | 14.5 |
| Excitation to second band 3Σ | 10.3 | 1.0 |
| Excitation to a1Δu | 1.0 | 8.7 |
| Excitation to b1Σu+ | 1.6 | 3.5 |
| Excitation to longest band 3Σ | 10.0 | 6.8 |
| Excitation to A1Σu+ + A′3Δu + c1Σu− | 4.5 | 17.3 |
| Excitation to Rydber’s states | 16.0 | 140.9 |
| Total ionization | 12.1 | 297.8 |
| Process | Threshold, eV | σmax (×10−18), cm2 |
|---|---|---|
| Momentum transfer | 0 | 779.1 |
| Excitation to O(1D) | 1.96 | 25.1 |
| Excitation to O(1S) | 4.17 | 2.2 |
| Excitation to O(5S0) | 9.29 | 11.5 |
| Excitation to O(3S0) | 9.53 | 17.2 |
| Excitation to O(5P0, 3P0, 5S0, 3D0, 5S0, 3′D0) | 12.1 | 9.5 |
| Ionization to O+(4S) | 13.6 | 50.9 |
| Ionization to O+(2D) | 16.9 | 55. |
| Ionization to O+(2P) | 18.6 | 29.5 |
References
- Lammer, H.; Sproß, L.; Grenfell, J.L.; Scherf, M.; Fossati, L.; Lendl, M.; Cubillos, P.E. The Role of N2 as a Geo-Biosignature for the Detection and Characterization of Earth-like Habitats. Astrobiology 2019, 19, 927–950. [Google Scholar] [CrossRef] [PubMed]
- Sproß, L.; Scherf, M.; Shematovich, V.I.; Bisikalo, D.V.; Lammer, H. Life is the Only Reason for the Existence of N2-O2-Dominated Atmospheres. Astron. Rep. 2021, 65, 275–296. [Google Scholar] [CrossRef]
- Schwieterman, E.W.; Robinson, T.D.; Meadows, V.S.; Misra, A.; Domagal-Goldman, S. Detecting and Constraining N2 Abundances in Planetary Atmospheres Using Collisional Pairs. Astrophys. J. 2015, 810, 57. [Google Scholar] [CrossRef]
- Grenfell, J.L.; Grießmeier, J.M.; von Paris, P.; Patzer, A.B.C.; Lammer, H.; Stracke, B.; Gebauer, S.; Schreier, F.; Rauer, H. Response of atmospheric biomarkers to NOx-induced photochemistry generated by stellar cosmic rays for Earth-like planets in the habitable zone of M dwarf stars. Astrobiology 2012, 12, 1109–1122. [Google Scholar] [CrossRef] [PubMed]
- Hedelt, P.; von Paris, P.; Godolt, M.; Gebauer, S.; Grenfell, J.L.; Rauer, H.; Schreier, F.; Selsis, F.; Trautmann, T. Spectral features of Earth-like planets and their detectability at different orbital distances around F, G, and K-type stars. Astron. Astrophys. 2013, 553, A9. [Google Scholar] [CrossRef]
- Betremieux, Y.; Kaltenegger, L. Transmission spectrum of Earth as a transiting exoplanet from the ultraviolet to the near-infrared. Astrophys. J. 2013, 772, L31. [Google Scholar] [CrossRef]
- Seager, S.; Bains, W.; Hu, R. An Astrophysical View of Earth-Based Metabolic Biosignature Gases. Astrobiology 2012, 12, 61–82. [Google Scholar] [CrossRef] [PubMed]
- Bisikalo, D.V.; Shematovich, V.I.; Kaygorodov, P.V.; Zhilkin, A.G. Extended envelopes of hot Jupiters. Phys. Uspiekhy 2021, 64, 747–800. [Google Scholar] [CrossRef]
- Gérard, J.C.; Barth, C.A. High-latitude nitric oxide in the lower thermosphere. J. Geophys. Res. 1977, 82, 674–680. [Google Scholar] [CrossRef]
- Barth, C.A.; Bailey, S.C.; Solomon, S.C. Solar–terrestrial coupling: Solar soft X-rays and thermospheric nitric oxide. Geophys. Res. Lett. 1999, 26, 1251–1254. [Google Scholar] [CrossRef]
- Barth, C.A.; Baker, D.N.; Mankoff, K.D.; Bailey, S.M. The northern auroral region as observed in nitric oxide. Geophys. Res. Lett. 2001, 28, 1463–1466. [Google Scholar] [CrossRef]
- Barth, C.A.; Mankoff, K.D.; Bailey, S.M.; Solomon, S.C. Global observations of nitric oxide in the thermosphere. J. Geophys. Res. 2003, 108, 1027–1038. [Google Scholar] [CrossRef]
- Nagy, A.F.; Banks, P.M. Photoelectron fluxes in the ionosphere. J. Geophys. Res. 1970, 75, 6260–6270. [Google Scholar] [CrossRef]
- Banks, P.M.; Chappell, C.R.; Nagy, A.F. A new model for the interaction of auroral electrons with the thermosphere: Spectral degradation, backscatter, optical emission, and ionization. J. Geophys. Res. 1974, 79, 1459–1470. [Google Scholar] [CrossRef]
- Stamnes, K. Analytic approach to auroral electron transport and energy degradation. Planet. Space Sci. 1980, 28, 427–441. [Google Scholar] [CrossRef]
- Porter, H.S.; Varosi, F.; Mayr, H.G. Iterative solution of the multistream electron transport equation, 1, Comparison with laboratory beam injection experiments. J. Geophys. Res. 1987, 92, 5933. [Google Scholar] [CrossRef]
- Lummerzheim, D.; Lilensten, J. Electron transport and energy degradation in the ionosphere: Evaluation of the numerical solution, comparison with laboratory experiments and auroral observations. Ann. Geophys. 1994, 12, 1039–1051. [Google Scholar] [CrossRef]
- Simon, C.; Lilensten, J.; Moen, J.; Holmes, J.M.; Ogawa, Y.; Oksavik, K.; Denig, W.F. TRANS4: A new coupled electron/proton transport code—Comparison to observations above Svalbard using ESR, DMSP and optical measurements. Ann. Geophys. 2007, 25, 661–673. [Google Scholar] [CrossRef]
- Solomon, S.C. Auroral particle transport using Monte Carlo and hybrid methods. J. Geophys. Res. 2001, 106, 107–116. [Google Scholar] [CrossRef]
- Shematovich, V.I.; Bisikalo, D.V.; Gérard, J.-C.; Cox, C.; Bougher, S.W.; Leblanc, F. Monte Carlo model of electron transport for the calculation of Mars dayglow emissions. J. Geophys. Res. 2008, 113, E02011. [Google Scholar] [CrossRef]
- Fox, J.L.; Galand, M.I.; Johnson, R.E. Energy Deposition in Planetary Atmospheres by Charged Particles and Solar Photons. Space Sci. Rev. 2008, 139, 3–62. [Google Scholar] [CrossRef]
- Solomon, S.C. Global modeling of thermospheric airglow in the far ultraviolet. J. Geophys. Res. Space Phys. 2017, 122, 7834–7848. [Google Scholar] [CrossRef]
- Gérard, J.-C.; Hubert, B.; Shematovich, V.I.; Bisikalo, D.V.; Gladstone, G.R. The Venus ultraviolet oxygen dayglow and aurora: Model comparison with observations. Planet. Space Sci. 2008, 56, 542–552. [Google Scholar] [CrossRef]
- Hubert, B.; Gérard, J.-C.; Gustin, J.; Shematovich, V.I.; Bisikalo, D.V.; Stewart, A.I.; Gladstone, R.G. Cassini-UVIS observations of OI and CO Venus dayglow. Icarus 2010, 207, 549–557. [Google Scholar] [CrossRef]
- Hubert, B.; Gérard, J.-C.; Gustin, J.; Bisikalo, D.V.; Shematovich, V.I.; Gladstone, G.R. Cassini-UVIS observation of dayglow FUV emissions of carbon in the thermosphere of Venus. Icarus 2012, 220, 635–646. [Google Scholar] [CrossRef][Green Version]
- Madhusudhan, N. Exoplanetary Atmospheres: Key Insights, Challenges, and Prospects. Annu. Rev. Astron. Astrophys. 2019, 57, 617–663. [Google Scholar] [CrossRef]
- Wordsworth, R.; Kreidberg, L. Atmospheres of Rocky Exoplanets. Annu. Rev. Astron. Astrophys. 2022, 60, 159–201. [Google Scholar] [CrossRef]
- Tian, F.; Kasting, J.F.; Liu, H.-L.; Roble, R.G. Hydrodynamic planetary thermosphere model: 1. Response of the Earth’s thermosphere to extreme solar EUV conditions and the significance of adiabatic cooling. J. Geophys. Res. 2008, 113, E05008. [Google Scholar] [CrossRef]
- Johnstone, C.P.; Lammer, H.; Kysliakova, K.G.; Scherf, M.; Güdel, M. The young Sun’s XUV-activity as a constraint for lower CO2-limits in the Earth’s Archean atmosphere. Earth Planet. Sci. Lett. 2021, 576, 117197. [Google Scholar] [CrossRef]
- Johnstone, C.P.; Khodachenko, M.L.; Lueftinger, T.; Kislyakova, K.G.; Lammer, H.; Güdel, M. Extreme hydrodynamic losses of Earth-like atmospheres in the habitable zones of very active stars. Astron. Astrophys. 2019, 624, L10. [Google Scholar] [CrossRef]
- Luger, R.; Barnes, R.; Lopez, E.; Fortney, J.; Jackson, B.; Meadows, V. Habitable evaporated cores: Transforming mini-Neptunes into super-Earths in the habitable zones of M dwarfs. Astrobiology 2015, 15, 57–88. [Google Scholar] [CrossRef] [PubMed]
- Shematovich, V.I.; Bisikalo, D.V.; Gérard, J.-C. Non-thermal nitrogen atoms in the earth’s thermosphere. I—Kinetics of hot N(4S). Geophys. Res. Lett. 1991, 18, 1691–1693. [Google Scholar] [CrossRef]
- Gérard, J.-C.; Shematovich, V.I.; Bisikalo, D.V. Non-thermal nitrogen atoms in the earth’s thermosphere. II—A source of nitric oxide. Geophys. Res. Lett. 1991, 18, 1695–1697. [Google Scholar]
- Gérard, J.C.; Shematovich, V.I.; Bisikalo, D.V.; Duff, J.W. An updated model of the hot nitrogen atom kinetics and thermospheric nitric oxide. J. Geophys. Res. 1997, 102, 285–292. [Google Scholar] [CrossRef]
- Hubert, B.; Gérard, J.-C.; Shematovich, V.I.; Bisikalo, D.V. High rotational excitation of NO infrared thermospheric airglow: A signature of superthermal nitrogen atoms? Geophys. Res. Lett. 1996, 23, 2215–2218. [Google Scholar] [CrossRef]
- Venkataramani, K.; Yonker, J.D.; Bailey, S.M. Contribution of chemical processes to infrared emissions from nitric oxide in the thermosphere. J. Geophys. Res. Space Phys. 2016, 121, 2450–2461. [Google Scholar] [CrossRef]
- Tabata, T.; Shirai, T.; Sataka, M.; Kubo, H. Analytic cross sections for electron impact collisions with nitrogen molecules. Atom. Data Nucl. Data Tables 2006, 92, 375–406. [Google Scholar] [CrossRef]
- Itikawa, Y. Cross Sections for Electron Collisions with Nitrogen Molecules. J. Phys. Chem. Ref. Data 2006, 35, 31–53. [Google Scholar] [CrossRef]
- Itikawa, Y. Cross Sections for Electron Collisions with Oxygen Molecules. J. Phys. Chem. Ref. Data 2009, 38, 1. [Google Scholar] [CrossRef]
- Anzai, K.; Kato, H.; Hoshino, M.; Tanaka, H.; Itikawa, Y.; Campbell, L.; Brunger, M.J.; Buckman, S.J.; Cho, H.; Blanco, F.; et al. Cross section data sets for electron collisions with H2, O2, CO, CO2, N2O and H2O. Eur. Phys. J. D 2012, 66, 36. [Google Scholar] [CrossRef]
- Porter, H.S.; Jackman, C.H.; Green, A.E.S. Efficiencies for production of atomic nitrogen and oxygen by relativistic proton impact in air. J. Chem. Phys. 1976, 65, 154–167. [Google Scholar] [CrossRef]
- Jackman, C.H.; Garvey, R.H.; Green, A.E.S. Electron impact on atmospheric gases. I—Updated cross sections. J. Geophys. Res. 1977, 82, 5081–5090. [Google Scholar]
- Opal, C.B.; Peterson, W.K.; Beaty, E.C. Measurements of Secondary-Electron Spectra Produced by Electron Impact Ionization of a Number of Simple Gases. J. Chem. Phys. 1971, 55, 4100–4106. [Google Scholar] [CrossRef]
- Marov, M.Y.; Shematovich, V.I.; Bisikalo, D.V. Non-equilibrium aeronomic processes. A kinetic approach to the mathematical models. Space Sci. Rev. 1996, 76, 1–202. [Google Scholar]
- Shematovich, V.I. Suprathermal particles in astrochemistry. Russ. Chem. Rev. 2019, 88, 1013–1045. [Google Scholar] [CrossRef]
- Gérard, J.-C.; Hubert, B.; Bisikalo, D.V.; Shematovich, V.I. A model of the Lyman-α line profile in the proton aurora. J. Geophys. Res. 2000, 105, 15795–15806. [Google Scholar] [CrossRef]
- Shematovich, V.I.; Bisikalo, D.V.; Diéval, C.; Barabash, S.; Stenberg, G.; Nilsson, H.; Futaana, Y.; Holmstrom, M.; Gérard, J.C. Proton and hydrogen atom transport in the Martian upper atmosphere with an induced magnetic field. J. Geophys. Res. 2011, 116, 11. [Google Scholar] [CrossRef]
- Decker, D.T.; Kozelov, B.V.; Basu, B.; Jasperse, J.R.; Ivanov, V.E. Collisional degradation of the proton-H atom fluxes in the atmosphere: A comparison of theoretical techniques. J. Geophys.Res. 1996, 101, 26947–26960. [Google Scholar] [CrossRef]
- Hedin, A.E. Extension of the MSIS thermosphere model into the middle and lower atmosphere. J. Geophys. Res. 1991, 96, 1159–1172. [Google Scholar] [CrossRef]
- Sætre, C.; Barth, C.A.; Stadsnes, J. Thermospheric nitric oxide at higher latitudes: Model calculations with auroral energy input. J. Geophys. Res. 2007, 112, 11. [Google Scholar] [CrossRef]
- Cosby, P.C. Electron-impact dissociation of nitrogen. J. Chem. Phys. 1993, 98, 9544–9553. [Google Scholar] [CrossRef]
- Walter, C.W.; Cosby, P.C.; Helm, H. N(4S0), N(2D0), and N(2P0) yields in predissociation of excited singlet states of N2. J. Chem. Phys. 1993, 99, 3553–3561. [Google Scholar] [CrossRef]
- Solomon, S. The possible effect of translationally excited nitrogen atoms on lower thermospheric odd nitrogen. Planet. Space Sci. 1983, 31, 135–144. [Google Scholar] [CrossRef]
- Gérard, J.-C. Thermospheric odd nitrogen. Planet. Space Sci. 1992, 40, 337–348. [Google Scholar] [CrossRef]
- Shematovich, V.I.; Bisikalo, D.V.; Gérard, J.-C. The thermospheric odd nitrogen photochemistry: Role of non-thermal N(4S) atoms. Ann. Geophys. 1992, 10, 792–801. [Google Scholar]
- Zeldovich, J.B.; Sadovnikov, P.J.; Frank-Kamenetski, D.A. Nitrogen Oxidation under Combustion; Academy of Sciences: Moscow, Russia, 1947; pp. 64–87. [Google Scholar]
- Balakrishnan, N.; Sergueeva, E.; Kharchenko, V.; Dalgarno, A. Kinetics and thermalization of hot N(4S) atoms in the upper atmosphere. J. Geophys. Res. 2000, 105, 18549–18555. [Google Scholar] [CrossRef]
- Caledonia, G.E.; Krech, R.H.; Oakes, D.B.; Lipson, S.J.; Blumberg, W.A. Products of the reaction of 8 km/s N (4S) and O2. J. Geophys. Res. 2000, 105, 12833–12837. [Google Scholar] [CrossRef]
- Balakrishnan, N.; Dalgarno, A. Rate coefficients for NO formation in energetic N+O2 collisions. Chem. Phys. Lett. 1999, 302, 485–488. [Google Scholar] [CrossRef]
- Sultanov, R.A.; Balakrishnan, N. Quantum mechanical investigations of the N(4S)+O2(X 3Σg−)-->NO(X 2Π)+O(3P) reaction. J. Chem. Phys. 2006, 124, 124321–124327. [Google Scholar] [CrossRef]
- De More, W.B.; Golden, D.M.; Hampson, R.F.; Sander, S.P. Chemical Kinetics and Photochemical Data for Use in Stratospheric Modelling; Evaluation 12; Jet Propulsion Laboratory: Pasadena, CA, USA, 1997. [Google Scholar]
- Baulch, D.L.; Cobos, C.J.; Cox, R.A. Evaluated Kinetic Data for Combustion Modeling. Supplement I. J. Phys. Chem. Ref. Data 1999, 23, 847–848. [Google Scholar] [CrossRef]
- Sayos, R.; Oliva, C.; Gonzalez, M. New analytical surfaces and theoretical rate constants for the N(4S)+O2 reaction. J. Chem. Phys. 2002, 117, 670–678. [Google Scholar] [CrossRef]
- Bisikalo, D.V.; Shematovich, V.I.; Gérard, J.-C.; Hubert, B. Monte Carlo simulations of the interaction of fast proton and hydrogen atoms with the Martian atmosphere and comparison with in situ measurements. J. Geophys. Res. Space Phys. 2018, 123, 5850–5861. [Google Scholar] [CrossRef]
- Shematovich, V.I.; Bisikalo, D.V.; Zhilkin, A.G. Effects of column density variations of extended hydrogen corona of Mars on the charge exchange efficiency with solar wind protons. Astron. Rep. 2021, 65, 203–208. [Google Scholar] [CrossRef]
- Zhilkin, A.G.; Bisikalo, D.V.; Shematovich, V.I. Numerical model to investigate the proton auroras at Mars. Astron. Rep. 2022, 66, 245–249. [Google Scholar] [CrossRef]
- Zhilkin, A.G.; Bisikalo, D.V. Multi-Component MHD Model of Hot Jupiter Envelopes. Universe 2021, 7, 422. [Google Scholar] [CrossRef]




Publisher’s Note: MDPI stays neutral with regard to jurisdictional claims in published maps and institutional affiliations. |
© 2022 by the authors. Licensee MDPI, Basel, Switzerland. This article is an open access article distributed under the terms and conditions of the Creative Commons Attribution (CC BY) license (https://creativecommons.org/licenses/by/4.0/).
Share and Cite
Bisikalo, D.; Shematovich, V.; Hubert, B. The Kinetic Monte Carlo Model of the Auroral Electron Precipitation into N2-O2 Planetary Atmospheres. Universe 2022, 8, 437. https://doi.org/10.3390/universe8080437
Bisikalo D, Shematovich V, Hubert B. The Kinetic Monte Carlo Model of the Auroral Electron Precipitation into N2-O2 Planetary Atmospheres. Universe. 2022; 8(8):437. https://doi.org/10.3390/universe8080437
Chicago/Turabian StyleBisikalo, Dmitri, Valery Shematovich, and Benoit Hubert. 2022. "The Kinetic Monte Carlo Model of the Auroral Electron Precipitation into N2-O2 Planetary Atmospheres" Universe 8, no. 8: 437. https://doi.org/10.3390/universe8080437
APA StyleBisikalo, D., Shematovich, V., & Hubert, B. (2022). The Kinetic Monte Carlo Model of the Auroral Electron Precipitation into N2-O2 Planetary Atmospheres. Universe, 8(8), 437. https://doi.org/10.3390/universe8080437

