This Special Issue provides a comprehensive collection of papers that present modern theories to describe neutron star interiors and dynamics. It includes state-of-the-art theoretical models that describe dense and hot matter and simulations that test how different models affect the birth, evolution, and coalescence of neutron stars. While following diverse approaches, the different papers that constitute the Special Issue are motivated by the same recent developments in nuclear physics and astrophysics, concerning new data provided by the measurement of electromagnetic and gravitational waves from neutron-stars and their mergers and new laboratory constraints for nuclear matter from heavy-ion collisions.
Since the observation of the first neutron star 55 years ago, we have learned a great amount about them: how they are formed, typical masses, radii, surface magnetic fields, etc., culminating in the detection of the merger of two neutron stars in 2017, from a galaxy 140 million light years away. Nevertheless, properties of their most inner layers, such as composition, density, and magnetic fields remain a mystery, which we are only starting to understand systematically. To do so, one starts with a theory or model, which provides a thermodynamic description (the equation of state, or EoS) that can be used to reproduce observable stellar properties, ultimately confronted with experimental data. See Ref. [1] from Débora Peres Menezes for a review.
The different regions inside neutron stars are defined based on the presence (or absence) of nuclei. While in the core all nuclei have been dissolved into bulk nuclear matter, in the crust they are still present. More specifically, in the inner crust, larger structures can appear when nuclei combine into shapes, referred to as nuclear pasta. To study pasta phases, one can either assume particular configurations or make use of Quantum Molecular Dynamics (QMD) simulations to determine which configurations appear at different densities inside the star. However, unlike atomic nuclei, neutron stars are very asymmetric with respect to isospin. The effect of isospin-dependent nuclear forces on nuclear clusters in the inner crust of neutron stars is the topic of Ref. [2] by Parit Mehta, Rana Nandi, Rosana de Oliveira Gomes, Veronica Dexheimer and Jan Steinheimer. There, the authors study the relation between the poorly known vector–isovector couplings and the density dependence of the symmetry energy, a quantity that can be measured in the laboratory at low densities.
Concerning the core of neutron stars, the uncertainty in the particle composition and how they interact grows with density (towards the center). The most basic hypothesis assumes that the constituents of the core are the same ones that make up the nuclei in the crust, protons and neutrons (and electrons). In this case, direct connections can be made, using Bayesian analysis, between dense matter equation of state, nuclear equation of state parameters, and recent observational data collected by LIGO-Virgo and NASA NICER. In particular, Ref. [3] by Hoa Dinh Thi, Chiranjib Mondal, and Francesca Gulminelli extracts the behavior of the energy per particle of symmetric matter and the density dependence of the symmetry energy.
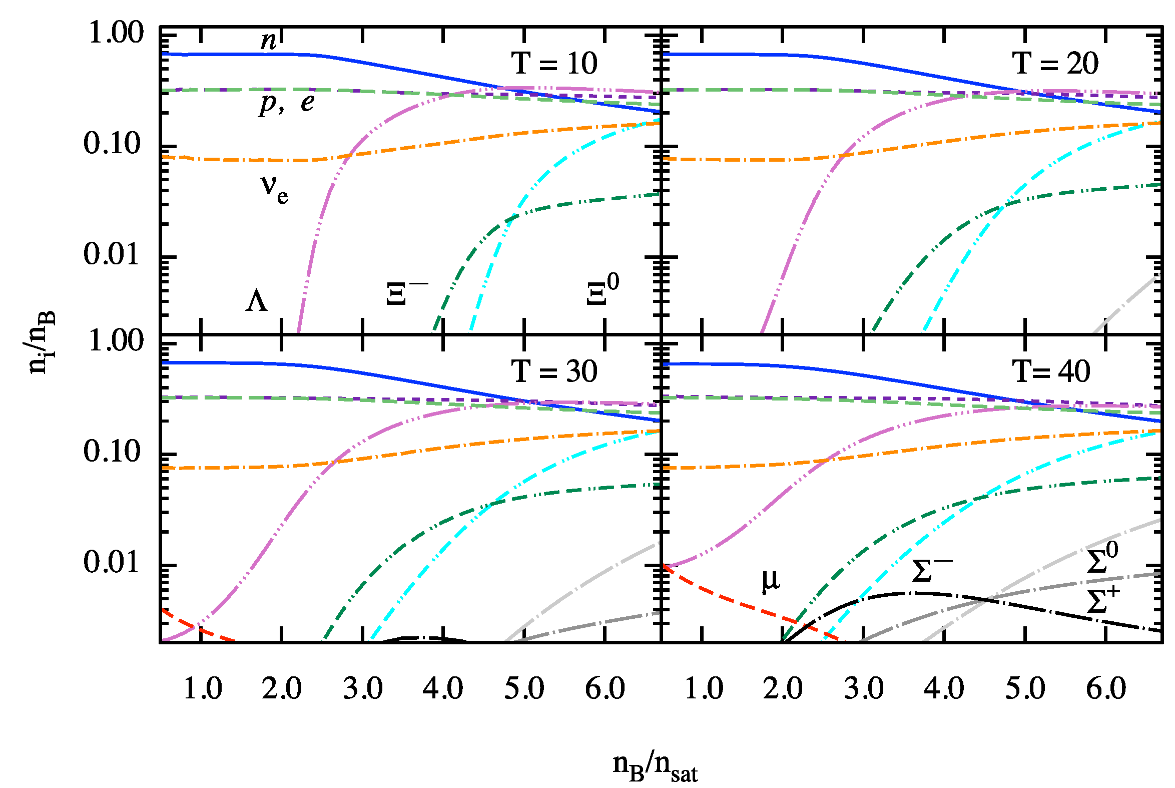
Alternatively, exotic particles (not present in normal nuclei) can be produced in the inner core of neutron stars. These are hyperons, more massive than neutrons and protons, that also contain strange quarks. Hyperons become particularly important when the temperature is comparable (roughly >10%) to the Fermi energy of the particles present in the star. This is the case in proto-neutron stars, immediately after being formed in supernova explosions, and when neutron stars merge. Ref. [4] by Armen Sedrakian and Arus Harutyunyan makes use of a covariant density functional (CDF) theory to describe neutrons, protons, and hyperons with interactions that are density-dependent. The role of leptons, electrons, muons, and neutrinos are also investigated by fixing the lepton fraction. See Figure 1 below for examples of particle content for different snapshots of proto-neutron star evolution.
Figure 1.
Normalized particle content as a function of density (in nuclear saturation units). Several temperatures are shown for a fixed lepton fraction .
If the density is such that neutrons, protons, and hyperons start to overlap, the description of matter needs to explicitly account for the quark degrees of freedom. Descriptions that include different types of degrees of freedom (including deconfined quarks) are called hybrid models. Ref. [5] by Daniela Curin, Ignacio Francisco Ranea-Sandoval, Mauro Mariani, Milva Gabriela Orsaria and Fridolin Weber studies the possibility of a sharp phase transition to quark matter in the inner core of neutron stars, modeled by an extended version of the field correlator method (FCM) with repulsive vector interactions and color superconductivity. The latter is important because the attraction between quarks can lead to quark–matter pair condensation, a phenomenon similar to the Bardeen–Cooper–Schrieffer (BCS) theory in condensed matter. The parameters of the model are constrained by observational data on massive pulsars and, again, LIGO-Virgo and NASA NICER data, pointing towards a slow deconfinement of the quarks, which gives rise to stable neutron stars with extended quark-matter inner cores.
The picture of neutron-star interiors becomes even more interesting when strong magnetic fields are considered. In particular, they can affect color superconductivity. Furthermore, phases in dense quark matter can be spatially nonuniform, in which case the ground state spatial structure of the theory takes the form of a standing wave. Ref. [6] by Efrain J. Ferrer and Vivian de la Incera discusses the characteristics of the magnetic dual chiral density wave (MDCDW) phase, possibly formed inside neutron stars. This could give rise to topological properties and anomalous electric transport, leading to -ray photons being converted into gapped axion-polaritons (quasiparticles resulting from strong coupling of electromagnetic waves, equivalent to phonons) and causing stars to collapse. This mechanism could provide an explanation for the a long-standing puzzle in astrophysics concerning observing electromagnetically fewer pulsars than expected close to the galactic center.
Another ingredient for the description of neutron stars being currently discussed in the literature is dark matter, which comprehends 85% of the matter content of the universe. As it is expected to interact weakly with normal matter, dark matter is described inside stars as a separate fluid. Within this framework, Ref. [7] by José C. Jiménez and Eduardo S. Fraga investigate cold quark matter (described by the MIT bag model) and (weakly and strongly self-interacting) fermionic dark matter. By studying their fundamental-mode radial oscillations, they find that dark strange planets and very small dark strangelets can be stable.
Although there is strong indications for quark matter being present in neutron stars (especially when they merge), the dynamics of deconfinement in neutron stars is far from being completely understood. This is because stars cannot be exactly probed in the laboratory, where it is impossible to achieve extreme densities with comparative very low temperature, not to mention the important influence of gravity. For example, a conversion to quark matter could trigger another stellar explosion (after the supernova that created the neutron star), referred to as a quark-nova. Ref. [8] by Rachid Ouyed comprehensively discusses the theory behind such explosions and how to simulate them numerically using the Burn-UD computer code. The authors also discuss neutrino signatures for such events and the possibility of measuring those here on Earth.
Another astrophysical scenario in which temperature is relevant, in addition to supernovae and proto-neutron stars, is the merger of neutron stars. A question worth asking is whether the low-temperature beta-equilibrium condition (or relation among chemical potentials), , still holds at the higher temperatures reached in mergers. Ref. [9] by Mark G. Alford, Alexander Haber, Steven P. Harris and Ziyuan Zhang shows the need for corrections to this condition when the temperature is in the range 1 MeV MeV. They make use of IUF and SFHo relativistic mean field models with relativistic dispersion relations of protons and neutrons and find that such corrections are very important when calculating Urca process rates, which are essential in modeling the thermal evolution of neutron stars.
Finally, in order to better understand neutron star mergers, we need to understand the relation between important quantities, such as the stars’ masses, radii, and tidal deformability, which is a measurement of how much neutron stars are deformed while they merge. Universal relations, that do not depend on the equation of state, provide such correlations in a reliable way. To obtain these, Ref. [10] by Daniel A. Godzieba and David Radice used approximately 2 million phenomenological equations of state, all causal and consistent with observational constraints, to find new and improved universal relations.
With all these tools in hand, we are ready for the next generation of astrophysical observations and terrestrial particle collision data to be analyzed and interpreted, with the ultimate goal of reaching a comprehensive understanding of dense matter and neutron stars.
Funding
The Guest Editor’s activity received no external funding.
Conflicts of Interest
The author declares no conflict of interest.
References
- Menezes, D.P. A Neutron Star Is Born. Universe 2021, 7, 267. [Google Scholar] [CrossRef]
- Mehta, P.; Nandi, R.; Gomes, R.d.O.; Dexheimer, V.; Steinheimer, J. Low Density Neutron Star Matter with Quantum Molecular Dynamics: The Role of Isovector Interactions. Universe 2022, 8, 380. [Google Scholar] [CrossRef]
- Dinh Thi, H.; Mondal, C.; Gulminelli, F. The Nuclear Matter Density Functional under the Nucleonic Hypothesis. Universe 2021, 7, 373. [Google Scholar] [CrossRef]
- Sedrakian, A.; Harutyunyan, A. Equation of State and Composition of Proto-Neutron Stars and Merger Remnants with Hyperons. Universe 2021, 7, 382. [Google Scholar] [CrossRef]
- Curin, D.; Ranea-Sandoval, I.F.; Mariani, M.; Orsaria, M.G.; Weber, F. Hybrid Stars with Color Superconducting Cores in an Extended FCM Model. Universe 2021, 7, 370. [Google Scholar] [CrossRef]
- Ferrer, E.J.; de la Incera, V. Magnetic Dual Chiral Density Wave: A Candidate Quark Matter Phase for the Interior of Neutron Stars. Universe 2021, 7, 458. [Google Scholar] [CrossRef]
- Jiménez, J.C.; Fraga, E.S. Radial Oscillations of Quark Stars Admixed with Dark Matter. Universe 2022, 8, 34. [Google Scholar] [CrossRef]
- Ouyed, R. The Macro-Physics of the Quark-Nova: Astrophysical Implications. Universe 2022, 8, 322. [Google Scholar] [CrossRef]
- Alford, M.G.; Haber, A.; Harris, S.P.; Zhang, Z. Beta Equilibrium under Neutron Star Merger Conditions. Universe 2021, 7, 399. [Google Scholar] [CrossRef]
- Godzieba, D.A.; Radice, D. Correction: Godzieba, D.A.; Radice, D. High-Order Multipole and Binary Love Number Universal Relations. Universe 2021, 7, 368. Universe 2021, 7, 456. [Google Scholar] [CrossRef]
Publisher’s Note: MDPI stays neutral with regard to jurisdictional claims in published maps and institutional affiliations. |
© 2022 by the author. Licensee MDPI, Basel, Switzerland. This article is an open access article distributed under the terms and conditions of the Creative Commons Attribution (CC BY) license (https://creativecommons.org/licenses/by/4.0/).
