Centrality-Dependent Chemical Potentials of Light Hadrons and Quarks Based on pT Spectrum and Particle Yield Ratio in Au-Au Collisions at RHIC Energies
Abstract
1. Introduction
2. The Model and Formulism
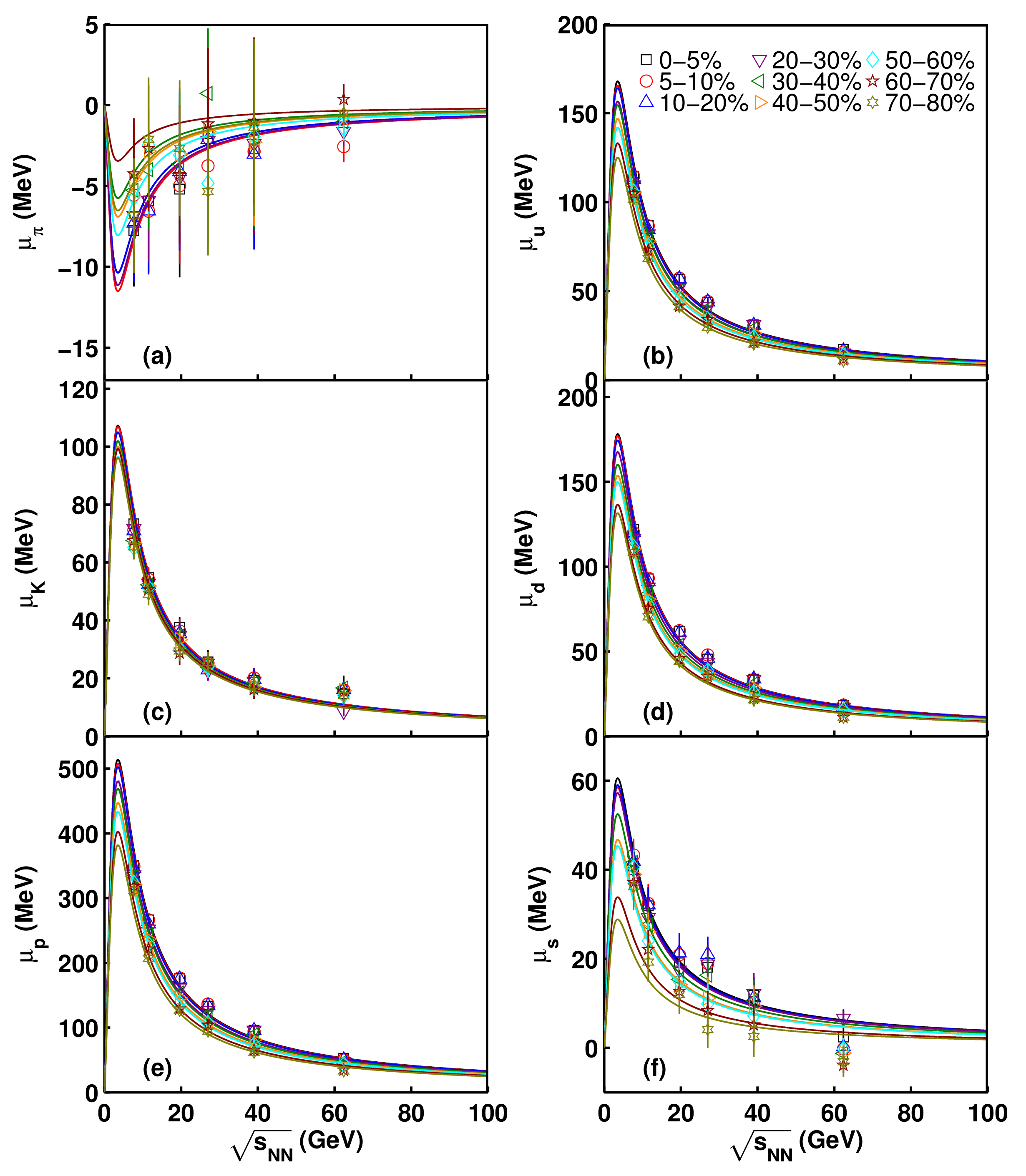
3. Results and Discussion
4. Summary and Conclusions
Author Contributions
Funding
Institutional Review Board Statement
Informed Consent Statement
Data Availability Statement
Conflicts of Interest
References
- Xu, N. [STAR Collaboration]. An overview of STAR experimental results. Nucl. Phys. A 2014, 931, 1–12. [Google Scholar] [CrossRef]
- Cleymans, J.; Oeschler, H.; Redlich, H.; Wheaton, S. Comparison of chemical freeze-out criteria in heavy-ion collisions. Phys. Rev. C 2006, 73, 034905. [Google Scholar] [CrossRef]
- Rischke, D.H. The quark–gluon plasma in equilibrium. Prog. Part. Nucl. Phys. 2004, 52, 197–296. [Google Scholar] [CrossRef]
- Cabibbo, N.; Parisi, G. Exponential hadronic spectrum and quark liberation. Phys. Lett. B 1975, 59, 67–69. [Google Scholar] [CrossRef]
- Bazavov, A.; et al. [Fermilab Lattice and MILC Collaborations] B- and D- meson decay constants from three-flavor lattice QCD. Phys. Rev. D 2012, 85, 114506. [Google Scholar] [CrossRef]
- Adams, J.; et al. [STAR Collaboration] Experimental and theoretical challenges in the search for the quark–gluon plasma: The STAR Collaboration’s critical assessment of the evidence from RHIC collisions. Nucl. Phys. A 2005, 757, 102–183. [Google Scholar] [CrossRef]
- Grosse-Oetringhaus, J.F. [ALICE Collaboration]. Overview of ALICE results at Quark Matter 2014. Nucl. Phys. A 2014, 931, 22–31. [Google Scholar] [CrossRef]
- Braun-Munzinger, P.; Wambach, J. Colloquium: Phase diagram of strongly interacting matter. Rev. Mod. Phys. 2009, 81, 1031. [Google Scholar] [CrossRef]
- Braun-Munzinger, P.; Stachel, J. The quest for the quark–gluon plasma. Nature 2007, 448, 302–309. [Google Scholar] [CrossRef]
- Stephanov, M.A. QCD phase diagram: An overview. arXiv 2006, arXiv:hep-lat/0701002. [Google Scholar]
- Wygas, M.M.; Oldengott, I.M.; Bödeker, D.; Schwarz, D.J. Cosmic QCD epoch at nonvanishing lepton asymmetry. Phys. Rev. Lett. 2018, 121, 201302. [Google Scholar] [CrossRef] [PubMed]
- Domdey, S.; Kopeliovich, B.Z.; Pirner, H.J. Jet-evolution in the quark-gluon plasma from RHIC to the LHC. Nucl. Phys. A 2011, 856, 134–153. [Google Scholar] [CrossRef][Green Version]
- Liu, F.H.; Chen, J.Y.; Zhang, Q. Multisource thermal model describing transverse momentum spectra of final-state particles in high-energy collisions. Adv. High Energy Phys. 2022, 2022, 7274958. [Google Scholar] [CrossRef]
- Zhang, X.H.; Gao, Y.Q.; Liu, F.H.; Olimov, K.K. Thermal freeze-Out parameters and pseudoentropy from charged hadron spectra in high-energy collisions. Adv. High Energy Phys. 2022, 2022, 7499093. [Google Scholar] [CrossRef]
- Zhang, Q.; Gao, Y.Q.; Liu, F.H.; Olimov, K.K. An energy independent scaling of transverse momentum spectra of direct (prompt) photons from two-body processes in high-energy proton–proton collisions. Ann. Phys. 2021, 534, 2100567. [Google Scholar] [CrossRef]
- Gupta, N. A Study of Fluctuations in Multiplicity Distributions at Ultra-Relativistic Heavy Ion Interactions. Ph.D. Thesis, University of Jammu, Jammu, India, 2008. [Google Scholar]
- Wei, H.R.; Liu, F.H.; Lacey, R.A. Kinetic freeze-out temperature and flow velocity extracted from transverse momentum spectra of final-state light flavor particles produced in collisions at RHIC and LHC. Eur. Phys. J. A 2016, 52, 102. [Google Scholar] [CrossRef]
- Zhao, H.; Liu, F.H. Chemical potentials of quarks extracted from particle transverse momentum distributions in heavy ion collisions at RHIC energies. Adv. High Energy Phys. 2014, 2014, 742193. [Google Scholar] [CrossRef]
- Zhao, H.; Liu, F.H. On extraction of chemical potentials of quarks from particle transverse momentum spectra in high energy collisions. Adv. High Energy Phys. 2015, 2015, 137058. [Google Scholar] [CrossRef]
- He, X.W.; Wei, H.R.; Liu, F.H. Chemical potentials of light hadrons and quarks from yield ratios of negative to positive particles in high energy pp collisions. J. Phys. G Nucl. Part. Phys. 2019, 46, 025102. [Google Scholar] [CrossRef]
- He, X.W.; Wu, F.M.; Wei, H.R.; Hong, B.H. Energy-dependent chemical potentials of light hadrons and quarks based on transverse momentum spectra and yield ratios of negative to positive particles. Adv. High Energy Phys. 2020, 2020, 1265090. [Google Scholar] [CrossRef]
- Wei, H.R.; Liu, F.H.; Lacey, R.A. Disentangling random thermal motion of particles and collective expansion of source from transverse momentum spectra in high energy collisions. J. Phys. G Nucl. Part. Phys. 2016, 43, 125102. [Google Scholar] [CrossRef]
- Siemens, P.J.; Rasmussen, J.O. Evidence for a blast wave from compressed nuclear matter. Phys. Rev. Lett. 1979, 42, 880. [Google Scholar] [CrossRef]
- Zhang, H. [STAR Collaboration]. Open charm production at STAR. J. Phys. G Nucl. Part. Phys. 2004, 31, S267. [Google Scholar] [CrossRef][Green Version]
- Wilk, G.; Włodarczyk, Z. Interpretation of the nonextensivity parameter q in some applications of Tsallis statistics and Lévy distributions. Phys. Rev. Lett. 2000, 84, 2770. [Google Scholar] [CrossRef] [PubMed]
- Liu, F.H.; Li, J.S. Isotopic production cross section of fragments in 56Fe + p and 136Xe(124Xe) + Pb reactions over an energy range from 300A to 1500A MeV. Phys. Rev. C 2008, 78, 044602. [Google Scholar] [CrossRef]
- Liu, F.H. Unified description of multiplicity distributions of final-state particles produced in collisions at high energies. Nucl. Phys. A 2008, 810, 159–172. [Google Scholar] [CrossRef]
- Liu, F.H.; Abd Allah, N.N.; Singh, B.K. Dependence of black fragment azimuthal and projected angular distributions on polar angle in silicon-emulsion collisions at 4.5A GeV/c. Phys. Rev. C 2004, 69, 057601. [Google Scholar] [CrossRef]
- Liu, F.H. Dependence of charged particle pseudorapidity distributions on centrality and energy in p(d)A collisions at high energies. Phys. Rev. C 2008, 78, 014902. [Google Scholar] [CrossRef]
- Dumitru, A.; Portugal, L.; Zschiesche, D. Inhomogeneous freeze-out in relativistic heavy-ion collisions. Phys. Rev. C 2006, 73, 024902. [Google Scholar] [CrossRef]
- Yu, N.; Luo, X.F. Particle decay from statistical thermal model in high-energy nucleus-nucleus collisions. Eur. Phys. J. A 2019, 55, 26. [Google Scholar] [CrossRef]
- Lao, H.L.; Gao, Y.Q.; Liu, F.H. Light particle and quark chemical potentials from negatively to positively charged particle yield ratios corrected by removing strong and weak decays. Adv. High Energy Phys. 2020, 2020, 5064737. [Google Scholar] [CrossRef]
- Adamczyk, L.; et al. [STAR Collaboration] Bulk properties of the medium produced in relativistic heavy-ion collisions from the beam energy scan program. Phys. Rev. C 2017, 96, 044904. [Google Scholar] [CrossRef]
- Abelev, B.I.; et al. [STAR Collaboration] Systematic measurements of identified particle spectra in pp, d+Au, and Au-Au collisions at the STAR detector. Phys. Rev. C 2009, 79, 034909. [Google Scholar] [CrossRef]
- Braun-Munzinger, P.; Magestro, D.; Redlich, K.; Stachel, J. Hadron production in Au–Au collisions at RHIC. Phys. Lett. B 2001, 518, 41–46. [Google Scholar] [CrossRef]
- Adler, S.S.; et al. [PHENIX Collaboration] Identified charged particle spectra and yields in Au-Au collisions at = 200 GeV. Phys. Rev. C 2004, 69, 034909. [Google Scholar] [CrossRef]
- Andronic, A.; Braun-Munzinger, P.; Stachel, J. Thermal hadron production in relativistic nuclear collisions. Acta Phys. Pol. B 2009, 40, 1005–1012. [Google Scholar]
- Kovács, P.; Szép, Z. Influence of the isospin and hypercharge chemical potentials on the location of the critical end point in the μB-T phase diagram of the SU(3)L × SU(3)R chiral quark model. Phys. Rev. D 2008, 77, 065016. [Google Scholar] [CrossRef]
- Abelev, B.; et al. [ALICE Collaboration] K*(892)0 and ϕ(1020) production in Pb-Pb collisions at = 2.76 TeV. Phys. Rev. C 2015, 91, 024609. [Google Scholar] [CrossRef]
- Arsene, I.; et al. [BRAHMS Collaboration] Quark–gluon plasma and color glass condensate at RHIC? The perspective from the BRAHMS experiment. Nucl. Phys. A 2005, 757, 1–27. [Google Scholar] [CrossRef]
- Bhattacharyya, S.; Biswas, D.; Ghosh, S.K.; Ray, R.; Singha, P. Novel scheme for parametrizing the chemical freeze-out surface in heavy ion collision experiments. Phys. Rev. D 2019, 100, 054037. [Google Scholar] [CrossRef]
- Bhattacharyya, S.; Biswas, D.; Ghosh, S.K.; Ray, R.; Singha, P. Systematics of chemical freeze-out parameters in heavy-ion collision experiments. Phys. Rev. D 2020, 101, 054002. [Google Scholar] [CrossRef]
- Biswas, D. Centrality dependence of chemical freeze-out parameters and strangeness equilibration in RHIC and LHC energies. Adv. High Energy Phys. 2021, 2021, 6611394. [Google Scholar] [CrossRef]
- Gyulassy, M.; McLerran, L. New forms of QCD matter discovered at RHIC. Nucl. Phys. A 2005, 750, 30–63. [Google Scholar] [CrossRef]
- Abelev, B.I.; et al. [STAR Collaboration] Measurements of ϕ meson production in relativistic heavy-ion collisions at the BNL Relativistic Heavy Ion Collider (RHIC). Phys. Rev. C 2009, 79, 064903. [Google Scholar] [CrossRef]
- Nasim, M.; Bairathi, V.; Sharma, M.K.; Mohanty, B.; Bhasin, A. A review on ϕ meson production in heavy-ion collision. Adv. High Energy Phys. 2015, 2015, 197930. [Google Scholar]











| Figure | Particle | Centrality | (GeV/c) | (GeV/c) | /dof | ||
|---|---|---|---|---|---|---|---|
| 0–5% | 0.172 ± 0.004 | 0.63 ± 0.06 | 0.233 ± 0.004 | 96.122 ± 3.364 | 13.970/20 | ||
| 5–10% | 0.148 ± 0.006 | 0.51 ± 0.03 | 0.225 ± 0.002 | 80.050 ± 2.642 | 3.319/20 | ||
| 10–20% | 0.150 ± 0.006 | 0.51 ± 0.04 | 0.224 ± 0.003 | 60.889 ± 2.192 | 1.896/20 | ||
| 20–30% | 0.150 ± 0.006 | 0.51 ± 0.03 | 0.219 ± 0.002 | 41.772 ± 1.378 | 3.579/20 | ||
| Figure 1a | 30–40% | 0.147 ± 0.006 | 0.51 ± 0.03 | 0.214 ± 0.003 | 28.090 ± 0.955 | 5.519/20 | |
| 40–50% | 0.135 ± 0.005 | 0.51 ± 0.03 | 0.207 ± 0.003 | 18.994 ± 0.646 | 3.120/19 | ||
| 50–60% | 0.133 ± 0.006 | 0.51 ± 0.03 | 0.198 ± 0.003 | 11.956 ± 0.383 | 8.153/19 | ||
| 60–70% | 0.148 ± 0.004 | 0.59 ± 0.05 | 0.195 ± 0.003 | 6.225 ± 0.212 | 9.046/18 | ||
| 70–80% | 0.151 ± 0.004 | 0.53 ± 0.07 | 0.176 ± 0.004 | 3.125 ± 0.103 | 3.702/15 | ||
| 0–5% | 0.149 ± 0.006 | 0.52 ± 0.03 | 0.219 ± 0.003 | 107.122 ± 3.642 | 9.297/20 | ||
| 5–10% | 0.147 ± 0.006 | 0.51 ± 0.03 | 0.216 ± 0.002 | 86.526 ± 3.028 | 16.388/20 | ||
| 10–20% | 0.141 ± 0.007 | 0.51 ± 0.03 | 0.219 ± 0.002 | 67.409 ± 2.494 | 3.500/20 | ||
| 20–30% | 0.142 ± 0.006 | 0.51 ± 0.03 | 0.215 ± 0.003 | 45.954 ± 1.608 | 5.489/20 | ||
| Figure 1d | 30–40% | 0.147 ± 0.007 | 0.51 ± 0.03 | 0.209 ± 0.003 | 30.232 ± 1.028 | 7.770/20 | |
| 40–50% | 0.137 ± 0.006 | 0.51 ± 0.03 | 0.203 ± 0.003 | 20.251 ± 0.689 | 9.656/18 | ||
| 50–60% | 0.132 ± 0.006 | 0.51 ± 0.03 | 0.195 ± 0.002 | 12.950 ± 0.414 | 7.004/17 | ||
| 60–70% | 0.161 ± 0.003 | 0.83 ± 0.05 | 0.200 ± 0.006 | 6.606 ± 0.231 | 9.005/17 | ||
| 70–80% | 0.146 ± 0.004 | 0.61 ± 0.05 | 0.185 ± 0.004 | 3.438 ± 0.131 | 2.791/15 | ||
| 0–5% | 0.197 ± 0.003 | 0.81 ± 0.16 | 0.260 ± 0.018 | 20.070 ± 0.682 | 9.050/17 | ||
| 5–10% | 0.193 ± 0.003 | 0.86 ± 0.14 | 0.270 ± 0.024 | 16.565 ± 0.514 | 6.988/19 | ||
| 10–20% | 0.191 ± 0.002 | 0.86 ± 0.14 | 0.255 ± 0.017 | 12.444 ± 0.373 | 11.722/19 | ||
| 20–30% | 0.186 ± 0.002 | 0.87 ± 0.13 | 0.244 ± 0.016 | 8.508 ± 0.264 | 6.350/19 | ||
| Figure 1b | 30–40% | 0.178 ± 0.003 | 0.85 ± 0.15 | 0.252 ± 0.016 | 5.111 ± 0.164 | 13.359/18 | |
| 40–50% | 0.173 ± 0.003 | 0.86 ± 0.14 | 0.255 ± 0.043 | 3.150 ± 0.101 | 7.742/17 | ||
| 50–60% | 0.168 ± 0.002 | 0.90 ± 0.10 | 0.231 ± 0.032 | 1.721 ± 0.053 | 5.944/16 | ||
| 60–70% | 0.161 ± 0.002 | 0.92 ± 0.08 | 0.202 ± 0.040 | 0.800 ± 0.034 | 8.731/15 | ||
| 70–80% | 0.156 ± 0.003 | 0.91 ± 0.09 | 0.230 ± 0.046 | 0.330 ± 0.013 | 13.035/12 | ||
| 0–5% | 0.185 ± 0.004 | 0.89 ± 0.11 | 0.258 ± 0.015 | 7.208 ± 0.252 | 18.217/17 | ||
| 5–10% | 0.182 ± 0.003 | 0.82 ± 0.16 | 0.247 ± 0.018 | 6.131 ± 0.196 | 10.748/17 | ||
| 10–20% | 0.182 ± 0.002 | 0.86 ± 0.14 | 0.226 ± 0.024 | 4.620 ± 0.143 | 4.469/17 | ||
| 20–30% | 0.174 ± 0.002 | 0.92 ± 0.08 | 0.195 ± 0.039 | 3.129 ± 0.113 | 4.821/17 | ||
| Figure 1e | 30–40% | 0.170 ± 0.002 | 0.95 ± 0.05 | 0.204 ± 0.040 | 1.990 ± 0.070 | 6.867/17 | |
| 40–50% | 0.162 ± 0.002 | 0.90 ± 0.10 | 0.220 ± 0.044 | 1.243 ± 0.044 | 8.169/14 | ||
| 50–60% | 0.155 ± 0.002 | 0.90 ± 0.10 | 0.195 ± 0.034 | 0.692 ± 0.027 | 12.526/15 | ||
| 60–70% | 0.152 ± 0.003 | 0.90 ± 0.10 | 0.218 ± 0.043 | 0.312 ± 0.011 | 12.456/13 | ||
| 70–80% | 0.146 ± 0.004 | 0.91 ± 0.09 | 0.180 ± 0.036 | 0.133 ± 0.006 | 27.764/10 | ||
| 0–5% | 0.215 ± 0.003 | 0.89 ± 0.08 | 0.270 ± 0.054 | 52.211 ± 2.193 | 4.927/23 | ||
| 5–10% | 0.211 ± 0.003 | 0.91 ± 0.08 | 0.265 ± 0.053 | 44.223 ± 1.946 | 3.353/23 | ||
| 10–20% | 0.201 ± 0.003 | 0.91 ± 0.09 | 0.265 ± 0.053 | 32.020 ± 1.473 | 9.462/23 | ||
| 20–30% | 0.200 ± 0.003 | 0.92 ± 0.08 | 0.250 ± 0.050 | 21.932 ± 0.855 | 2.729/23 | ||
| Figure 1c | p | 30–40% | 0.192 ± 0.003 | 0.90 ± 0.09 | 0.250 ± 0.050 | 14.565 ± 0.612 | 4.083/22 |
| 40–50% | 0.183 ± 0.003 | 0.86 ± 0.09 | 0.260 ± 0.035 | 8.745 ± 0.350 | 4.582/22 | ||
| 50–60% | 0.174 ± 0.003 | 0.83 ± 0.14 | 0.260 ± 0.035 | 5.248 ± 0.210 | 18.492/21 | ||
| 60–70% | 0.164 ± 0.003 | 0.80 ± 0.16 | 0.260 ± 0.019 | 2.622 ± 0.105 | 13.162/22 | ||
| 70–80% | 0.154 ± 0.002 | 0.71 ± 0.16 | 0.200 ± 0.016 | 1.345 ± 0.059 | 12.753/15 | ||
| 0–5% | 0.232 ± 0.011 | 0.81 ± 0.16 | 0.334 ± 0.066 | 0.392 ± 0.019 | 3.384/9 | ||
| 5–10% | 0.217 ± 0.009 | 0.87 ± 0.13 | 0.247 ± 0.049 | 0.338 ± 0.016 | 7.632/8 | ||
| 10–20% | 0.205 ± 0.009 | 0.82 ± 0.11 | 0.302 ± 0.060 | 0.257 ± 0.012 | 3.345/12 | ||
| 20–30% | 0.198 ± 0.009 | 0.80 ± 0.16 | 0.310 ± 0.062 | 0.202 ± 0.009 | 9.058/10 | ||
| Figure 1f | 30–40% | 0.184 ± 0.008 | 0.79 ± 0.15 | 0.300 ± 0.060 | 0.140 ± 0.007 | 3.650/11 | |
| 40–50% | 0.174 ± 0.006 | 0.81 ± 0.16 | 0.266 ± 0.053 | 0.099 ± 0.006 | 8.561/8 | ||
| 50–60% | 0.156 ± 0.007 | 0.79 ± 0.15 | 0.260 ± 0.052 | 0.058 ± 0.003 | 5.627/7 | ||
| 60–70% | 0.148 ± 0.007 | 0.83 ± 0.16 | 0.236 ± 0.047 | 0.031 ± 0.002 | 4.186/5 | ||
| 70–80% | 0.137 ± 0.011 | 0.82 ± 0.16 | 0.224 ± 0.044 | 0.017 ± 0.002 | 1.189/3 |
| Figure | Particle | Centrality | (GeV/c) | (GeV/c) | /dof | ||
|---|---|---|---|---|---|---|---|
| 0–5% | 0.153 ± 0.007 | 0.52 ± 0.04 | 0.236 ± 0.003 | 125.208 ± 4.633 | 2.186/20 | ||
| 5–10% | 0.153 ± 0.006 | 0.51 ± 0.04 | 0.233 ± 0.003 | 98.692 ± 3.257 | 1.584/20 | ||
| 10–20% | 0.149 ± 0.007 | 0.51 ± 0.03 | 0.230 ± 0.003 | 76.333 ± 3.053 | 1.429/20 | ||
| 20–30% | 0.143 ± 0.006 | 0.53 ± 0.04 | 0.233 ± 0.003 | 52.743 ± 1.846 | 1.146/20 | ||
| Figure 2a | 30–40% | 0.141 ± 0.006 | 0.53 ± 0.04 | 0.227 ± 0.003 | 36.192 ± 1.231 | 0.998/20 | |
| 40–50% | 0.133 ± 0.006 | 0.51 ± 0.03 | 0.221 ± 0.003 | 23.473 ± 0.845 | 1.222/20 | ||
| 50–60% | 0.132 ± 0.006 | 0.51 ± 0.03 | 0.212 ± 0.002 | 14.263 ± 0.571 | 2.065/20 | ||
| 60–70% | 0.133 ± 0.006 | 0.51 ± 0.03 | 0.204 ± 0.003 | 8.159 ± 0.310 | 2.188/18 | ||
| 70–80% | 0.141 ± 0.006 | 0.52 ± 0.04 | 0.197 ± 0.003 | 4.135 ± 0.141 | 5.479/18 | ||
| 0–5% | 0.146 ± 0.008 | 0.51 ± 0.04 | 0.230 ± 0.003 | 135.170 ± 5.812 | 1.593/20 | ||
| 5–10% | 0.143 ± 0.007 | 0.51 ± 0.04 | 0.229 ± 0.002 | 107.425 ± 4.082 | 1.383/20 | ||
| 10–20% | 0.140 ± 0.005 | 0.53 ± 0.04 | 0.230 ± 0.003 | 83.065 ± 2.658 | 0.781/20 | ||
| 20–30% | 0.135 ± 0.006 | 0.51 ± 0.04 | 0.227 ± 0.003 | 56.923 ± 1.992 | 0.895/20 | ||
| Figure 2d | 30–40% | 0.140 ± 0.006 | 0.51 ± 0.03 | 0.220 ± 0.003 | 38.112 ± 1.334 | 2.378/20 | |
| 40–50% | 0.137 ± 0.007 | 0.51 ± 0.03 | 0.216 ± 0.003 | 24.354 ± 0.950 | 4.048/20 | ||
| 50–60% | 0.137 ± 0.006 | 0.51 ± 0.03 | 0.209 ± 0.003 | 14.725 ± 0.560 | 7.309/20 | ||
| 60–70% | 0.139 ± 0.005 | 0.51 ± 0.03 | 0.201 ± 0.003 | 8.447 ± 0.287 | 11.989/18 | ||
| 70–80% | 0.150 ± 0.005 | 0.51 ± 0.04 | 0.191 ± 0.003 | 4.250 ± 0.153 | 10.734/18 | ||
| 0–5% | 0.201 ± 0.003 | 0.88 ± 0.12 | 0.262 ± 0.048 | 24.436 ± 0.733 | 1.486/19 | ||
| 5–10% | 0.198 ± 0.002 | 0.94 ± 0.06 | 0.207 ± 0.041 | 19.832 ± 0.714 | 2.160/20 | ||
| 10–20% | 0.200 ± 0.002 | 0.82 ± 0.06 | 0.199 ± 0.026 | 14.781 ± 0.473 | 2.322/20 | ||
| 20–30% | 0.199 ± 0.003 | 0.76 ± 0.06 | 0.205 ± 0.020 | 9.726 ± 0.350 | 3.432/20 | ||
| Figure 2b | 30–40% | 0.184 ± 0.003 | 0.79 ± 0.05 | 0.306 ± 0.010 | 5.985 ± 0.180 | 1.553/20 | |
| 40–50% | 0.174 ± 0.003 | 0.59 ± 0.09 | 0.260 ± 0.007 | 3.861 ± 0.131 | 5.020/20 | ||
| 50–60% | 0.180 ± 0.003 | 0.54 ± 0.10 | 0.236 ± 0.006 | 2.000 ± 0.060 | 5.888/19 | ||
| 60–70% | 0.172 ± 0.003 | 0.65 ± 0.13 | 0.228 ± 0.009 | 0.997 ± 0.033 | 2.330/17 | ||
| 70–80% | 0.163 ± 0.003 | 0.78 ± 0.15 | 0.231 ± 0.016 | 0.464 ± 0.015 | 11.598/16 | ||
| 0–5% | 0.191 ± 0.003 | 0.93 ± 0.07 | 0.221 ± 0.044 | 12.017 ± 0.385 | 1.338/17 | ||
| 5–10% | 0.188 ± 0.002 | 0.94 ± 0.06 | 0.295 ± 0.059 | 9.851 ± 0.325 | 7.987/18 | ||
| 10–20% | 0.193 ± 0.003 | 0.83 ± 0.16 | 0.219 ± 0.022 | 7.509 ± 0.225 | 10.112/18 | ||
| 20–30% | 0.185 ± 0.003 | 0.82 ± 0.16 | 0.245 ± 0.018 | 4.915 ± 0.152 | 3.830/18 | ||
| Figure 2e | 30–40% | 0.182 ± 0.002 | 0.88 ± 0.11 | 0.256 ± 0.015 | 3.046 ± 0.091 | 3.806/17 | |
| 40–50% | 0.167 ± 0.003 | 0.82 ± 0.06 | 0.275 ± 0.010 | 1.974 ± 0.069 | 4.685/17 | ||
| 50–60% | 0.164 ± 0.003 | 0.92 ± 0.04 | 0.327 ± 0.027 | 1.031 ± 0.032 | 4.597/17 | ||
| 60–70% | 0.162 ± 0.003 | 0.92 ± 0.08 | 0.254 ± 0.050 | 0.517 ± 0.019 | 5.856/14 | ||
| 70–80% | 0.148 ± 0.004 | 0.91 ± 0.06 | 0.325 ± 0.046 | 0.246 ± 0.010 | 14.250/10 | ||
| 0–5% | 0.213 ± 0.004 | 0.88 ± 0.08 | 0.234 ± 0.046 | 42.924 ± 1.803 | 8.894/22 | ||
| 5–10% | 0.214 ± 0.005 | 0.89 ± 0.10 | 0.230 ± 0.046 | 34.265 ± 1.508 | 1.597/23 | ||
| 10–20% | 0.211 ± 0.004 | 0.88 ± 0.08 | 0.228 ± 0.045 | 25.603 ± 1.203 | 1.361/23 | ||
| 20–30% | 0.205 ± 0.004 | 0.85 ± 0.12 | 0.250 ± 0.050 | 17.849 ± 0.696 | 6.665/23 | ||
| Figure 2c | p | 30–40% | 0.200 ± 0.004 | 0.80 ± 0.16 | 0.285 ± 0.038 | 11.424 ± 0.434 | 5.483/23 |
| 40–50% | 0.189 ± 0.003 | 0.80 ± 0.16 | 0.275 ± 0.029 | 7.038 ± 0.282 | 11.643/22 | ||
| 50–60% | 0.179 ± 0.003 | 0.70 ± 0.14 | 0.286 ± 0.017 | 4.076 ± 0.167 | 12.886/22 | ||
| 60–70% | 0.171 ± 0.003 | 0.62 ± 0.14 | 0.230 ± 0.010 | 2.208 ± 0.097 | 14.500/22 | ||
| 70–80% | 0.161 ± 0.003 | 0.69 ± 0.13 | 0.246 ± 0.015 | 0.995 ± 0.040 | 24.989/23 | ||
| 0–5% | 0.216 ± 0.003 | 0.88 ± 0.08 | 0.234 ± 0.046 | 1.374 ± 0.066 | 23.483/17 | ||
| 5–10% | 0.209 ± 0.005 | 0.84 ± 0.14 | 0.273 ± 0.054 | 1.098 ± 0.047 | 21.419/17 | ||
| 10–20% | 0.203 ± 0.004 | 0.85 ± 0.10 | 0.253 ± 0.050 | 0.888 ± 0.039 | 24.352/17 | ||
| 20–30% | 0.196 ± 0.004 | 0.83 ± 0.13 | 0.265 ± 0.045 | 0.687 ± 0.030 | 8.201/17 | ||
| Figure 2f | 30–40% | 0.189 ± 0.004 | 0.86 ± 0.09 | 0.229 ± 0.045 | 0.491 ± 0.022 | 4.604/17 | |
| 40–50% | 0.176 ± 0.003 | 0.87 ± 0.09 | 0.214 ± 0.042 | 0.331 ± 0.016 | 5.954/14 | ||
| 50–60% | 0.172 ± 0.004 | 0.85 ± 0.11 | 0.228 ± 0.045 | 0.213 ± 0.010 | 3.503/13 | ||
| 60–70% | 0.155 ± 0.004 | 0.77 ± 0.15 | 0.261 ± 0.034 | 0.127 ± 0.005 | 3.407/8 | ||
| 70–80% | 0.147 ± 0.008 | 0.74 ± 0.14 | 0.256 ± 0.051 | 0.069 ± 0.003 | 7.499/8 |
| Figure | Particle | Centrality | (GeV/c) | (GeV/c) | /dof | ||
|---|---|---|---|---|---|---|---|
| 0–5% | 0.156 ± 0.008 | 0.57 ± 0.05 | 0.249 ± 0.005 | 165.077 ± 8.089 | 0.737/20 | ||
| 5–10% | 0.155 ± 0.007 | 0.61 ± 0.04 | 0.253 ± 0.005 | 136.482 ± 5.732 | 0.519/20 | ||
| 10–20% | 0.158 ± 0.006 | 0.63 ± 0.04 | 0.255 ± 0.004 | 103.435 ± 4.137 | 0.375/20 | ||
| 20–30% | 0.157 ± 0.006 | 0.66 ± 0.03 | 0.257 ± 0.005 | 70.526 ± 2.962 | 0.431/20 | ||
| Figure 3a | 30–40% | 0.150 ± 0.005 | 0.64 ± 0.04 | 0.250 ± 0.004 | 48.064 ± 1.730 | 0.625/20 | |
| 40–50% | 0.145 ± 0.005 | 0.63 ± 0.04 | 0.244 ± 0.004 | 30.629 ± 1.072 | 1.211/20 | ||
| 50–60% | 0.144 ± 0.005 | 0.65 ± 0.03 | 0.241 ± 0.004 | 18.732 ± 0.693 | 1.247/20 | ||
| 60–70% | 0.147 ± 0.005 | 0.68 ± 0.03 | 0.238 ± 0.004 | 10.253 ± 0.390 | 0.759/20 | ||
| 70–80% | 0.131 ± 0.006 | 0.53 ± 0.03 | 0.214 ± 0.003 | 5.523 ± 0.232 | 2.812/20 | ||
| 0–5% | 0.145 ± 0.008 | 0.56 ± 0.04 | 0.246 ± 0.004 | 176.077 ± 8.452 | 0.682/20 | ||
| 5–10% | 0.144 ± 0.007 | 0.58 ± 0.04 | 0.247 ± 0.004 | 145.211 ± 6.244 | 0.511/20 | ||
| 10–20% | 0.150 ± 0.007 | 0.61 ± 0.04 | 0.251 ± 0.005 | 108.850 ± 5.007 | 0.342/20 | ||
| 20–30% | 0.147 ± 0.005 | 0.62 ± 0.04 | 0.250 ± 0.005 | 74.545 ± 2.684 | 1.105/20 | ||
| Figure 3d | 30–40% | 0.145 ± 0.005 | 0.63 ± 0.04 | 0.248 ± 0.005 | 50.278 ± 1.860 | 0.946/20 | |
| 40–50% | 0.143 ± 0.005 | 0.63 ± 0.03 | 0.243 ± 0.003 | 31.803 ± 1.177 | 1.114/20 | ||
| 50–60% | 0.139 ± 0.005 | 0.61 ± 0.03 | 0.235 ± 0.003 | 19.461 ± 0.681 | 0.970/20 | ||
| 60–70% | 0.133 ± 0.006 | 0.56 ± 0.03 | 0.223 ± 0.003 | 10.814 ± 0.411 | 2.663/20 | ||
| 70–80% | 0.129 ± 0.005 | 0.51 ± 0.03 | 0.211 ± 0.002 | 5.709 ± 0.183 | 3.269/19 | ||
| 0–5% | 0.198 ± 0.005 | 0.67 ± 0.13 | 0.294 ± 0.009 | 29.706 ± 0.891 | 1.316/20 | ||
| 5–10% | 0.192 ± 0.005 | 0.68 ± 0.07 | 0.315 ± 0.007 | 24.335 ± 0.973 | 1.187/20 | ||
| 10–20% | 0.192 ± 0.006 | 0.57 ± 0.10 | 0.291 ± 0.008 | 18.218 ± 0.619 | 1.652/20 | ||
| 20–30% | 0.186 ± 0.006 | 0.53 ± 0.09 | 0.285 ± 0.005 | 12.546 ± 0.452 | 1.466/20 | ||
| Figure 3b | 30–40% | 0.198 ± 0.002 | 0.69 ± 0.13 | 0.223 ± 0.009 | 8.233 ± 0.255 | 26.212/20 | |
| 40–50% | 0.194 ± 0.002 | 0.63 ± 0.12 | 0.220 ± 0.007 | 4.992 ± 0.155 | 13.256/19 | ||
| 50–60% | 0.165 ± 0.005 | 0.51 ± 0.05 | 0.266 ± 0.004 | 2.790 ± 0.089 | 3.925/19 | ||
| 60–70% | 0.152 ± 0.005 | 0.51 ± 0.04 | 0.269 ± 0.005 | 1.417 ± 0.054 | 1.169/17 | ||
| 70–80% | 0.148 ± 0.004 | 0.57 ± 0.05 | 0.274 ± 0.006 | 0.680 ± 0.023 | 2.210/16 | ||
| 0–5% | 0.192 ± 0.004 | 0.64 ± 0.07 | 0.292 ± 0.007 | 18.620 ± 0.596 | 2.950/20 | ||
| 5–10% | 0.193 ± 0.003 | 0.70 ± 0.09 | 0.284 ± 0.006 | 15.498 ± 0.527 | 1.836/20 | ||
| 10–20% | 0.199 ± 0.003 | 0.65 ± 0.13 | 0.248 ± 0.008 | 11.714 ± 0.375 | 1.861/20 | ||
| 20–30% | 0.183 ± 0.005 | 0.56 ± 0.08 | 0.274 ± 0.005 | 8.148 ± 0.253 | 2.810/20 | ||
| Figure 3e | 30–40% | 0.174 ± 0.005 | 0.51 ± 0.09 | 0.270 ± 0.004 | 5.358 ± 0.166 | 2.310/20 | |
| 40–50% | 0.170 ± 0.004 | 0.58 ± 0.06 | 0.262 ± 0.004 | 3.299 ± 0.102 | 4.047/19 | ||
| 50–60% | 0.170 ± 0.004 | 0.51 ± 0.10 | 0.240 ± 0.005 | 1.920 ± 0.060 | 8.328/19 | ||
| 60–70% | 0.172 ± 0.003 | 0.51 ± 0.10 | 0.216 ± 0.006 | 0.991 ± 0.035 | 8.495/17 | ||
| 70–80% | 0.172 ± 0.003 | 0.65 ± 0.05 | 0.178 ± 0.011 | 0.472 ± 0.015 | 10.403/15 | ||
| 0–5% | 0.222 ± 0.005 | 0.79 ± 0.11 | 0.278 ± 0.055 | 34.690 ± 1.353 | 6.636/23 | ||
| 5–10% | 0.221 ± 0.004 | 0.84 ± 0.08 | 0.261 ± 0.052 | 28.720 ± 1.120 | 3.465/19 | ||
| 10–20% | 0.220 ± 0.003 | 0.85 ± 0.15 | 0.261 ± 0.052 | 22.471 ± 0.921 | 13.856/17 | ||
| 20–30% | 0.208 ± 0.003 | 0.84 ± 0.07 | 0.250 ± 0.050 | 14.238 ± 0.541 | 3.297/17 | ||
| Figure 3c | p | 30–40% | 0.202 ± 0.003 | 0.81 ± 0.10 | 0.250 ± 0.038 | 9.105 ± 0.355 | 4.214/17 |
| 40–50% | 0.201 ± 0.003 | 0.82 ± 0.14 | 0.229 ± 0.044 | 5.738 ± 0.258 | 11.385/17 | ||
| 50–60% | 0.191 ± 0.003 | 0.81 ± 0.16 | 0.212 ± 0.042 | 3.252 ± 0.140 | 17.833/17 | ||
| 60–70% | 0.185 ± 0.003 | 0.82 ± 0.09 | 0.200 ± 0.040 | 1.684 ± 0.082 | 17.194/17 | ||
| 70–80% | 0.175 ± 0.003 | 0.78 ± 0.09 | 0.200 ± 0.032 | 0.818 ± 0.038 | 18.275/17 | ||
| 0–5% | 0.222 ± 0.004 | 0.91 ± 0.08 | 0.247 ± 0.049 | 3.937 ± 0.161 | 11.586/16 | ||
| 5–10% | 0.215 ± 0.003 | 0.88 ± 0.11 | 0.290 ± 0.058 | 3.204 ± 0.131 | 15.482/16 | ||
| 10–20% | 0.213 ± 0.004 | 0.89 ± 0.10 | 0.240 ± 0.048 | 2.562 ± 0.120 | 12.446/18 | ||
| 20–30% | 0.209 ± 0.004 | 0.88 ± 0.11 | 0.240 ± 0.048 | 1.926 ± 0.089 | 2.372/18 | ||
| Figure 3f | 30–40% | 0.199 ± 0.003 | 0.88 ± 0.08 | 0.249 ± 0.049 | 1.355 ± 0.066 | 1.118/19 | |
| 40–50% | 0.190 ± 0.004 | 0.78 ± 0.15 | 0.313 ± 0.029 | 0.940 ± 0.038 | 3.909/19 | ||
| 50–60% | 0.177 ± 0.003 | 0.79 ± 0.15 | 0.300 ± 0.018 | 0.586 ± 0.028 | 1.950/19 | ||
| 60–70% | 0.167 ± 0.003 | 0.81 ± 0.15 | 0.268 ± 0.023 | 0.340 ± 0.014 | 7.299/17 | ||
| 70–80% | 0.155 ± 0.003 | 0.81 ± 0.14 | 0.271 ± 0.033 | 0.169 ± 0.007 | 4.949/16 |
| Figure | Particle | Centrality | (GeV/c) | (GeV/c) | /dof | ||
|---|---|---|---|---|---|---|---|
| 0–5% | 0.152 ± 0.007 | 0.51 ± 0.05 | 0.249 ± 0.003 | 182.402 ± 6.202 | 2.449/20 | ||
| 5–10% | 0.155 ± 0.007 | 0.60 ± 0.04 | 0.257 ± 0.005 | 153.577 ± 6.911 | 0.311/20 | ||
| 10–20% | 0.161 ± 0.007 | 0.64 ± 0.04 | 0.263 ± 0.005 | 114.051 ± 4.676 | 0.277/20 | ||
| 20–30% | 0.158 ± 0.007 | 0.65 ± 0.04 | 0.263 ± 0.005 | 78.449 ± 3.060 | 0.423/20 | ||
| Figure 4a | 30–40% | 0.155 ± 0.005 | 0.66 ± 0.04 | 0.261 ± 0.005 | 52.828 ± 2.007 | 0.615/20 | |
| 40–50% | 0.160 ± 0.005 | 0.72 ± 0.03 | 0.268 ± 0.006 | 32.638 ± 1.338 | 0.568/20 | ||
| 50–60% | 0.161 ± 0.005 | 0.74 ± 0.03 | 0.267 ± 0.005 | 19.253 ± 0.712 | 0.489/20 | ||
| 60–70% | 0.152 ± 0.004 | 0.71 ± 0.03 | 0.255 ± 0.004 | 11.041 ± 0.353 | 0.909/20 | ||
| 70–80% | 0.160 ± 0.004 | 0.79 ± 0.02 | 0.264 ± 0.004 | 5.287 ± 0.169 | 1.377/20 | ||
| 0–5% | 0.164 ± 0.006 | 0.66 ± 0.04 | 0.264 ± 0.004 | 186.402 ± 6.710 | 2.325/20 | ||
| 5–10% | 0.149 ± 0.007 | 0.60 ± 0.04 | 0.255 ± 0.005 | 160.852 ± 6.273 | 0.452/20 | ||
| 10–20% | 0.157 ± 0.007 | 0.63 ± 0.04 | 0.261 ± 0.005 | 117.063 ± 4.800 | 0.337/20 | ||
| 20–30% | 0.154 ± 0.006 | 0.63 ± 0.04 | 0.259 ± 0.005 | 80.615 ± 2.983 | 0.418/20 | ||
| Figure 4d | 30–40% | 0.160 ± 0.005 | 0.69 ± 0.03 | 0.267 ± 0.006 | 52.364 ± 1.676 | 0.442/20 | |
| 40–50% | 0.155 ± 0.006 | 0.68 ± 0.03 | 0.261 ± 0.005 | 33.302 ± 1.565 | 0.349/20 | ||
| 50–60% | 0.150 ± 0.005 | 0.69 ± 0.03 | 0.257 ± 0.005 | 20.431 ± 0.797 | 0.675/20 | ||
| 60–70% | 0.152 ± 0.006 | 0.71 ± 0.03 | 0.254 ± 0.005 | 11.201 ± 0.538 | 0.358/20 | ||
| 70–80% | 0.144 ± 0.005 | 0.64 ± 0.03 | 0.235 ± 0.003 | 5.647 ± 0.209 | 1.634/20 | ||
| 0–5% | 0.205 ± 0.004 | 0.97 ± 0.02 | 0.575 ± 0.115 | 29.993 ± 0.930 | 1.988/20 | ||
| 5–10% | 0.201 ± 0.003 | 0.94 ± 0.02 | 0.462 ± 0.030 | 24.959 ± 0.799 | 2.304/20 | ||
| 10–20% | 0.199 ± 0.003 | 0.92 ± 0.03 | 0.430 ± 0.028 | 18.851 ± 0.547 | 2.702/20 | ||
| 20–30% | 0.191 ± 0.004 | 0.77 ± 0.05 | 0.349 ± 0.010 | 12.830 ± 0.398 | 1.806/20 | ||
| Figure 4b | 30–40% | 0.186 ± 0.004 | 0.77 ± 0.03 | 0.348 ± 0.006 | 8.241 ± 0.247 | 2.330/20 | |
| 40–50% | 0.174 ± 0.004 | 0.60 ± 0.05 | 0.307 ± 0.006 | 5.274 ± 0.185 | 1.779/20 | ||
| 50–60% | 0.171 ± 0.005 | 0.64 ± 0.05 | 0.305 ± 0.006 | 2.935 ± 0.091 | 2.899/20 | ||
| 60–70% | 0.165 ± 0.003 | 0.72 ± 0.03 | 0.313 ± 0.007 | 1.512 ± 0.045 | 4.541/20 | ||
| 70–80% | 0.152 ± 0.005 | 0.51 ± 0.05 | 0.276 ± 0.004 | 0.702 ± 0.022 | 4.851/20 | ||
| 0–5% | 0.198 ± 0.002 | 0.97 ± 0.01 | 0.531 ± 0.052 | 21.872 ± 0.634 | 5.463/19 | ||
| 5–10% | 0.192 ± 0.003 | 0.85 ± 0.03 | 0.357 ± 0.012 | 18.306 ± 0.567 | 2.210/20 | ||
| 10–20% | 0.188 ± 0.003 | 0.82 ± 0.04 | 0.351 ± 0.010 | 14.220 ± 0.427 | 2.037/20 | ||
| 20–30% | 0.185 ± 0.003 | 0.81 ± 0.03 | 0.347 ± 0.008 | 9.713 ± 0.291 | 2.793/20 | ||
| Figure 4e | 30–40% | 0.183 ± 0.003 | 0.83 ± 0.03 | 0.353 ± 0.009 | 6.140 ± 0.196 | 3.571/20 | |
| 40–50% | 0.172 ± 0.004 | 0.65 ± 0.05 | 0.302 ± 0.005 | 3.911 ± 0.121 | 2.514/20 | ||
| 50–60% | 0.169 ± 0.004 | 0.70 ± 0.04 | 0.303 ± 0.005 | 2.185 ± 0.076 | 2.350/20 | ||
| 60–70% | 0.166 ± 0.003 | 0.82 ± 0.03 | 0.329 ± 0.009 | 1.101 ± 0.034 | 4.562/20 | ||
| 70–80% | 0.163 ± 0.004 | 0.72 ± 0.05 | 0.276 ± 0.008 | 0.512 ± 0.016 | 12.189/20 | ||
| 0–5% | 0.226 ± 0.005 | 0.80 ± 0.16 | 0.284 ± 0.056 | 30.191 ± 1.328 | 8.619/17 | ||
| 5–10% | 0.222 ± 0.005 | 0.82 ± 0.10 | 0.261 ± 0.052 | 26.024 ± 1.093 | 7.610/17 | ||
| 10–20% | 0.222 ± 0.004 | 0.83 ± 0.10 | 0.261 ± 0.052 | 20.160 ± 0.887 | 4.736/17 | ||
| 20–30% | 0.216 ± 0.004 | 0.78 ± 0.15 | 0.308 ± 0.035 | 13.750 ± 0.577 | 9.822/17 | ||
| Figure 4c | p | 30–40% | 0.206 ± 0.004 | 0.70 ± 0.14 | 0.345 ± 0.022 | 9.066 ± 0.381 | 13.078/17 |
| 40–50% | 0.196 ± 0.006 | 0.65 ± 0.13 | 0.339 ± 0.020 | 5.287 ± 0.248 | 2.337/17 | ||
| 50–60% | 0.185 ± 0.004 | 0.67 ± 0.13 | 0.318 ± 0.018 | 3.037 ± 0.118 | 6.823/17 | ||
| 60–70% | 0.175 ± 0.004 | 0.64 ± 0.12 | 0.305 ± 0.013 | 1.725 ± 0.069 | 23.466/17 | ||
| 70–80% | 0.160 ± 0.004 | 0.57 ± 0.08 | 0.293 ± 0.008 | 0.733 ± 0.029 | 5.857/17 | ||
| 0–5% | 0.228 ± 0.006 | 0.78 ± 0.15 | 0.343 ± 0.059 | 5.877 ± 0.235 | 12.404/16 | ||
| 5–10% | 0.228 ± 0.005 | 0.86 ± 0.10 | 0.260 ± 0.052 | 4.869 ± 0.234 | 9.255/16 | ||
| 10–20% | 0.222 ± 0.004 | 0.87 ± 0.12 | 0.240 ± 0.048 | 3.884 ± 0.179 | 8.533/16 | ||
| 20–30% | 0.217 ± 0.004 | 0.85 ± 0.14 | 0.241 ± 0.048 | 2.900 ± 0.122 | 1.710/16 | ||
| Figure 4f | 30–40% | 0.210 ± 0.003 | 0.83 ± 0.13 | 0.249 ± 0.047 | 2.072 ± 0.085 | 1.695/16 | |
| 40–50% | 0.200 ± 0.004 | 0.74 ± 0.14 | 0.295 ± 0.025 | 1.399 ± 0.062 | 1.579/16 | ||
| 50–60% | 0.185 ± 0.004 | 0.73 ± 0.14 | 0.300 ± 0.017 | 0.820 ± 0.032 | 2.232/16 | ||
| 60–70% | 0.177 ± 0.003 | 0.76 ± 0.15 | 0.277 ± 0.017 | 0.482 ± 0.021 | 21.340/16 | ||
| 70–80% | 0.157 ± 0.003 | 0.67 ± 0.13 | 0.278 ± 0.012 | 0.229 ± 0.009 | 4.569/14 |
| Figure | Particle | Centrality | (GeV/c) | (GeV/c) | /dof | ||
|---|---|---|---|---|---|---|---|
| 0–5% | 0.155 ± 0.008 | 0.54 ± 0.05 | 0.265 ± 0.004 | 185.159 ± 7.406 | 3.265/20 | ||
| 5–10% | 0.166 ± 0.007 | 0.63 ± 0.04 | 0.274 ± 0.006 | 153.984 ± 6.159 | 0.386/20 | ||
| 10–20% | 0.158 ± 0.008 | 0.61 ± 0.04 | 0.270 ± 0.005 | 121.765 ± 6.332 | 0.376/20 | ||
| 20–30% | 0.157 ± 0.008 | 0.63 ± 0.04 | 0.272 ± 0.005 | 83.486 ± 4.091 | 0.484/20 | ||
| Figure 5a | 30–40% | 0.158 ± 0.007 | 0.66 ± 0.04 | 0.275 ± 0.006 | 54.946 ± 2.692 | 0.493/20 | |
| 40–50% | 0.160 ± 0.006 | 0.70 ± 0.03 | 0.279 ± 0.006 | 34.963 ± 1.538 | 0.577/20 | ||
| 50–60% | 0.156 ± 0.004 | 0.72 ± 0.03 | 0.279 ± 0.006 | 21.974 ± 0.769 | 0.740/20 | ||
| 60–70% | 0.154 ± 0.005 | 0.72 ± 0.03 | 0.273 ± 0.005 | 12.108 ± 0.533 | 0.446/20 | ||
| 70–80% | 0.153 ± 0.006 | 0.73 ± 0.03 | 0.272 ± 0.006 | 6.668 ± 0.287 | 0.419/20 | ||
| 0–5% | 0.153 ± 0.010 | 0.53 ± 0.04 | 0.258 ± 0.004 | 191.409 ± 7.274 | 1.089/20 | ||
| 5–10% | 0.159 ± 0.008 | 0.60 ± 0.04 | 0.266 ± 0.006 | 159.491 ± 7.975 | 0.233/20 | ||
| 10–20% | 0.152 ± 0.008 | 0.59 ± 0.04 | 0.264 ± 0.005 | 126.386 ± 6.446 | 0.306/20 | ||
| 20–30% | 0.155 ± 0.007 | 0.63 ± 0.04 | 0.269 ± 0.005 | 85.965 ± 4.298 | 0.365/20 | ||
| Figure 5d | 30–40% | 0.156 ± 0.007 | 0.65 ± 0.04 | 0.271 ± 0.006 | 56.262 ± 2.869 | 0.355/20 | |
| 40–50% | 0.158 ± 0.006 | 0.69 ± 0.03 | 0.274 ± 0.006 | 35.958 ± 1.654 | 0.376/20 | ||
| 50–60% | 0.155 ± 0.006 | 0.71 ± 0.03 | 0.273 ± 0.006 | 22.498 ± 1.080 | 0.483/20 | ||
| 60–70% | 0.156 ± 0.006 | 0.73 ± 0.03 | 0.273 ± 0.005 | 12.258 ± 0.576 | 0.425/20 | ||
| 70–80% | 0.153 ± 0.006 | 0.72 ± 0.03 | 0.266 ± 0.006 | 6.781 ± 0.353 | 0.341/20 | ||
| 0–5% | 0.211 ± 0.003 | 0.94 ± 0.06 | 0.359 ± 0.045 | 31.219 ± 1.030 | 5.650/20 | ||
| 5–10% | 0.202 ± 0.004 | 0.83 ± 0.05 | 0.369 ± 0.014 | 27.111 ± 0.840 | 1.564/20 | ||
| 10–20% | 0.198 ± 0.005 | 0.73 ± 0.06 | 0.349 ± 0.010 | 20.074 ± 0.642 | 1.340/20 | ||
| 20–30% | 0.191 ± 0.006 | 0.67 ± 0.06 | 0.345 ± 0.009 | 13.603 ± 0.422 | 2.281/20 | ||
| Figure 5b | 30–40% | 0.189 ± 0.005 | 0.68 ± 0.05 | 0.337 ± 0.006 | 8.778 ± 0.255 | 2.462/20 | |
| 40–50% | 0.174 ± 0.006 | 0.60 ± 0.05 | 0.335 ± 0.008 | 5.514 ± 0.210 | 1.220/20 | ||
| 50–60% | 0.168 ± 0.006 | 0.51 ± 0.06 | 0.304 ± 0.004 | 3.273 ± 0.098 | 2.751/20 | ||
| 60–70% | 0.170 ± 0.004 | 0.63 ± 0.04 | 0.330 ± 0.006 | 1.605 ± 0.048 | 2.878/20 | ||
| 70–80% | 0.164 ± 0.005 | 0.53 ± 0.04 | 0.304 ± 0.005 | 0.841 ± 0.027 | 6.889/20 | ||
| 0–5% | 0.206 ± 0.003 | 0.86 ± 0.06 | 0.352 ± 0.020 | 24.658 ± 0.715 | 5.446/20 | ||
| 5–10% | 0.199 ± 0.004 | 0.83 ± 0.05 | 0.354 ± 0.014 | 21.186 ± 0.678 | 3.110/20 | ||
| 10–20% | 0.195 ± 0.005 | 0.73 ± 0.05 | 0.339 ± 0.009 | 15.792 ± 0.553 | 2.063/20 | ||
| 20–30% | 0.190 ± 0.006 | 0.65 ± 0.07 | 0.321 ± 0.008 | 10.783 ± 0.356 | 2.454/20 | ||
| Figure 5e | 30–40% | 0.185 ± 0.005 | 0.68 ± 0.05 | 0.333 ± 0.006 | 7.005 ± 0.224 | 1.989/20 | |
| 40–50% | 0.176 ± 0.005 | 0.56 ± 0.05 | 0.301 ± 0.005 | 4.478 ± 0.134 | 2.504/20 | ||
| 50–60% | 0.169 ± 0.005 | 0.55 ± 0.05 | 0.294 ± 0.005 | 2.666 ± 0.080 | 2.100/20 | ||
| 60–70% | 0.168 ± 0.004 | 0.66 ± 0.04 | 0.317 ± 0.005 | 1.316 ± 0.039 | 3.159/20 | ||
| 70–80% | 0.166 ± 0.004 | 0.67 ± 0.04 | 0.307 ± 0.007 | 0.677 ± 0.022 | 6.523/20 | ||
| 0–5% | 0.239 ± 0.005 | 0.79 ± 0.09 | 0.293 ± 0.055 | 26.115 ± 1.097 | 3.078/16 | ||
| 5–10% | 0.229 ± 0.004 | 0.86 ± 0.08 | 0.240 ± 0.048 | 22.026 ± 1.035 | 4.637/16 | ||
| 10–20% | 0.229 ± 0.006 | 0.82 ± 0.10 | 0.281 ± 0.056 | 17.136 ± 0.788 | 1.181/16 | ||
| 20–30% | 0.226 ± 0.006 | 0.80 ± 0.16 | 0.298 ± 0.059 | 12.027 ± 0.469 | 5.461/16 | ||
| Figure 5c | p | 30–40% | 0.209 ± 0.006 | 0.69 ± 0.13 | 0.355 ± 0.032 | 8.191 ± 0.360 | 10.732/16 |
| 40–50% | 0.209 ± 0.004 | 0.75 ± 0.15 | 0.318 ± 0.032 | 4.934 ± 0.227 | 13.569/16 | ||
| 50–60% | 0.196 ± 0.005 | 0.67 ± 0.13 | 0.341 ± 0.026 | 2.839 ± 0.128 | 7.375/16 | ||
| 60–70% | 0.178 ± 0.004 | 0.62 ± 0.11 | 0.342 ± 0.015 | 1.411 ± 0.062 | 2.427/16 | ||
| 70–80% | 0.171 ± 0.005 | 0.61 ± 0.10 | 0.317 ± 0.009 | 0.717 ± 0.030 | 5.298/16 | ||
| 0–5% | 0.237 ± 0.004 | 0.88 ± 0.08 | 0.270 ± 0.054 | 8.086 ± 0.380 | 9.659/17 | ||
| 5–10% | 0.231 ± 0.004 | 0.85 ± 0.11 | 0.310 ± 0.062 | 6.970 ± 0.293 | 9.818/17 | ||
| 10–20% | 0.228 ± 0.005 | 0.82 ± 0.12 | 0.306 ± 0.060 | 5.318 ± 0.261 | 6.490/17 | ||
| 20–30% | 0.218 ± 0.004 | 0.86 ± 0.10 | 0.255 ± 0.051 | 3.722 ± 0.164 | 8.283/17 | ||
| Figure 5f | 30–40% | 0.213 ± 0.004 | 0.83 ± 0.13 | 0.274 ± 0.054 | 2.756 ± 0.168 | 0.376/17 | |
| 40–50% | 0.204 ± 0.004 | 0.74 ± 0.14 | 0.325 ± 0.029 | 1.824 ± 0.071 | 3.573/17 | ||
| 50–60% | 0.189 ± 0.003 | 0.72 ± 0.14 | 0.311 ± 0.013 | 1.152 ± 0.045 | 3.976/17 | ||
| 60–70% | 0.182 ± 0.003 | 0.75 ± 0.15 | 0.296 ± 0.013 | 0.636 ± 0.028 | 10.249/17 | ||
| 70–80% | 0.172 ± 0.003 | 0.71 ± 0.14 | 0.281 ± 0.014 | 0.335 ± 0.014 | 23.783/17 |
| Figure | Particle | Centrality | (GeV/c) | (GeV/c) | /dof | ||
|---|---|---|---|---|---|---|---|
| 0–5% | 0.172 ± 0.003 | 0.65 ± 0.05 | 0.274 ± 0.012 | 232.461 ± 1.860 | 0.261/4 | ||
| 5–10% | 0.188 ± 0.003 | 0.85 ± 0.04 | 0.314 ± 0.022 | 187.816 ± 1.315 | 0.361/4 | ||
| 10–20% | 0.156 ± 0.003 | 0.51 ± 0.03 | 0.261 ± 0.009 | 146.014 ± 1.168 | 0.344/4 | ||
| 20–30% | 0.158 ± 0.002 | 0.51 ± 0.03 | 0.257 ± 0.008 | 99.959 ± 0.800 | 0.468/4 | ||
| Figure 6a | 30–40% | 0.153 ± 0.003 | 0.51 ± 0.03 | 0.256 ± 0.009 | 67.869 ± 0.611 | 0.406/4 | |
| 40–50% | 0.147 ± 0.002 | 0.51 ± 0.03 | 0.254 ± 0.008 | 44.560 ± 0.356 | 0.563/4 | ||
| 50–60% | 0.145 ± 0.002 | 0.51 ± 0.02 | 0.245 ± 0.008 | 27.279 ± 0.164 | 1.851/4 | ||
| 60–70% | 0.141 ± 0.002 | 0.53 ± 0.02 | 0.241 ± 0.011 | 15.409 ± 0.092 | 0.508/4 | ||
| 70–80% | 0.136 ± 0.002 | 0.51 ± 0.02 | 0.230 ± 0.008 | 7.645 ± 0.054 | 1.175/4 | ||
| 0–5% | 0.175 ± 0.002 | 0.67 ± 0.05 | 0.269 ± 0.008 | 234.954 ± 1.410 | 0.825/4 | ||
| 5–10% | 0.175 ± 0.003 | 0.73 ± 0.05 | 0.298 ± 0.026 | 193.787 ± 2.519 | 1.483/4 | ||
| 10–20% | 0.161 ± 0.003 | 0.56 ± 0.04 | 0.267 ± 0.009 | 147.565 ± 1.328 | 0.072/4 | ||
| 20–30% | 0.164 ± 0.003 | 0.59 ± 0.04 | 0.265 ± 0.011 | 101.980 ± 0.918 | 0.091/4 | ||
| Figure 6d | 30–40% | 0.159 ± 0.003 | 0.58 ± 0.04 | 0.269 ± 0.012 | 68.737 ± 0.619 | 0.120/4 | |
| 40–50% | 0.148 ± 0.002 | 0.51 ± 0.04 | 0.257 ± 0.007 | 44.980 ± 0.270 | 0.867/4 | ||
| 50–60% | 0.160 ± 0.002 | 0.69 ± 0.06 | 0.297 ± 0.018 | 27.748 ± 0.361 | 0.148/4 | ||
| 60–70% | 0.157 ± 0.002 | 0.71 ± 0.04 | 0.303 ± 0.021 | 15.342 ± 0.199 | 0.412/4 | ||
| 70–80% | 0.138 ± 0.002 | 0.51 ± 0.02 | 0.228 ± 0.008 | 7.692 ± 0.046 | 0.572/4 | ||
| 0–5% | 0.246 ± 0.004 | 0.75 ± 0.04 | 0.256 ± 0.015 | 39.598 ± 0.752 | 0.299/4 | ||
| 5–10% | 0.236 ± 0.004 | 0.63 ± 0.10 | 0.310 ± 0.010 | 32.688 ± 0.490 | 1.425/4 | ||
| 10–20% | 0.248 ± 0.003 | 0.69 ± 0.06 | 0.269 ± 0.009 | 24.648 ± 0.320 | 1.034/4 | ||
| 20–30% | 0.226 ± 0.008 | 0.57 ± 0.11 | 0.302 ± 0.020 | 15.892 ± 0.445 | 5.988/4 | ||
| Figure 6b | 30–40% | 0.247 ± 0.008 | 0.57 ± 0.10 | 0.252 ± 0.019 | 11.179 ± 0.291 | 0.500/4 | |
| 40–50% | 0.224 ± 0.005 | 0.51 ± 0.11 | 0.266 ± 0.013 | 7.046 ± 0.127 | 2.632/4 | ||
| 50–60% | 0.234 ± 0.006 | 0.51 ± 0.07 | 0.275 ± 0.010 | 4.065 ± 0.081 | 0.345/4 | ||
| 60–70% | 0.217 ± 0.005 | 0.62 ± 0.12 | 0.231 ± 0.013 | 2.147 ± 0.045 | 3.387/4 | ||
| 70–80% | 0.213 ± 0.011 | 0.51 ± 0.12 | 0.233 ± 0.020 | 0.934 ± 0.031 | 5.179/4 | ||
| 0–5% | 0.235 ± 0.021 | 0.81 ± 0.14 | 0.281 ± 0.057 | 33.071 ± 1.885 | 7.217/4 | ||
| 5–10% | 0.226 ± 0.004 | 0.73 ± 0.14 | 0.288 ± 0.017 | 26.889 ± 0.511 | 3.348/4 | ||
| 10–20% | 0.228 ± 0.003 | 0.72 ± 0.12 | 0.291 ± 0.010 | 20.235 ± 0.243 | 3.616/4 | ||
| 20–30% | 0.222 ± 0.003 | 0.71 ± 0.14 | 0.292 ± 0.010 | 14.319 ± 0.172 | 3.191/4 | ||
| Figure 6e | 30–40% | 0.218 ± 0.004 | 0.71 ± 0.09 | 0.279 ± 0.015 | 9.119 ± 0.173 | 2.298/4 | |
| 40–50% | 0.208 ± 0.003 | 0.71 ± 0.14 | 0.265 ± 0.010 | 5.810 ± 0.070 | 5.979/4 | ||
| 50–60% | 0.195 ± 0.004 | 0.66 ± 0.13 | 0.282 ± 0.017 | 3.421 ± 0.072 | 4.352/4 | ||
| 60–70% | 0.187 ± 0.003 | 0.71 ± 0.14 | 0.261 ± 0.012 | 1.777 ± 0.023 | 5.638/4 | ||
| 70–80% | 0.178 ± 0.012 | 0.78 ± 0.16 | 0.194 ± 0.040 | 0.788 ± 0.037 | 8.929/4 | ||
| 0–5% | 0.256 ± 0.002 | 0.92 ± 0.04 | 0.336 ± 0.031 | 28.857 ± 0.231 | 4.730/9 | ||
| 5–10% | 0.253 ± 0.001 | 0.91 ± 0.03 | 0.382 ± 0.016 | 23.302 ± 0.140 | 7.145/9 | ||
| 10–20% | 0.247 ± 0.001 | 0.93 ± 0.04 | 0.347 ± 0.027 | 17.611 ± 0.123 | 6.489/9 | ||
| 20–30% | 0.237 ± 0.002 | 0.96 ± 0.02 | 0.315 ± 0.045 | 11.620 ± 0.116 | 20.228/9 | ||
| Figure 6c | p | 30–40% | 0.229 ± 0.001 | 0.98 ± 0.02 | 0.273 ± 0.038 | 7.729 ± 0.046 | 6.932/9 |
| 40–50% | 0.221 ± 0.001 | 0.96 ± 0.04 | 0.330 ± 0.022 | 4.845 ± 0.029 | 6.636/9 | ||
| 50–60% | 0.209 ± 0.001 | 0.95 ± 0.05 | 0.380 ± 0.029 | 2.854 ± 0.017 | 13.302/9 | ||
| 60–70% | 0.197 ± 0.002 | 0.97 ± 0.03 | 0.360 ± 0.047 | 1.465 ± 0.010 | 13.381/9 | ||
| 70–80% | 0.188 ± 0.002 | 0.95 ± 0.04 | 0.207 ± 0.043 | 0.647 ± 0.006 | 20.066/9 | ||
| 0–5% | 0.289 ± 0.002 | 0.77 ± 0.01 | 0.395 ± 0.007 | 15.211 ± 0.122 | 10.907/10 | ||
| 5–10% | 0.285 ± 0.002 | 0.80 ± 0.03 | 0.346 ± 0.011 | 12.675 ± 0.139 | 9.012/10 | ||
| 10–20% | 0.269 ± 0.002 | 0.84 ± 0.01 | 0.312 ± 0.013 | 9.551 ± 0.105 | 13.318/10 | ||
| 20–30% | 0.255 ± 0.002 | 0.82 ± 0.02 | 0.312 ± 0.018 | 6.532 ± 0.046 | 13.768/10 | ||
| Figure 6f | 30–40% | 0.240 ± 0.002 | 0.77 ± 0.04 | 0.349 ± 0.013 | 4.335 ± 0.030 | 12.088/10 | |
| 40–50% | 0.227 ± 0.002 | 0.81 ± 0.02 | 0.264 ± 0.020 | 2.811 ± 0.034 | 5.505/10 | ||
| 50–60% | 0.208 ± 0.002 | 0.79 ± 0.05 | 0.307 ± 0.011 | 1.688 ± 0.014 | 6.896/10 | ||
| 60–70% | 0.201 ± 0.002 | 0.67 ± 0.05 | 0.317 ± 0.021 | 0.963 ± 0.009 | 8.320/10 | ||
| 70–80% | 0.179 ± 0.003 | 0.67 ± 0.06 | 0.318 ± 0.034 | 0.433 ± 0.005 | 21.387/10 |
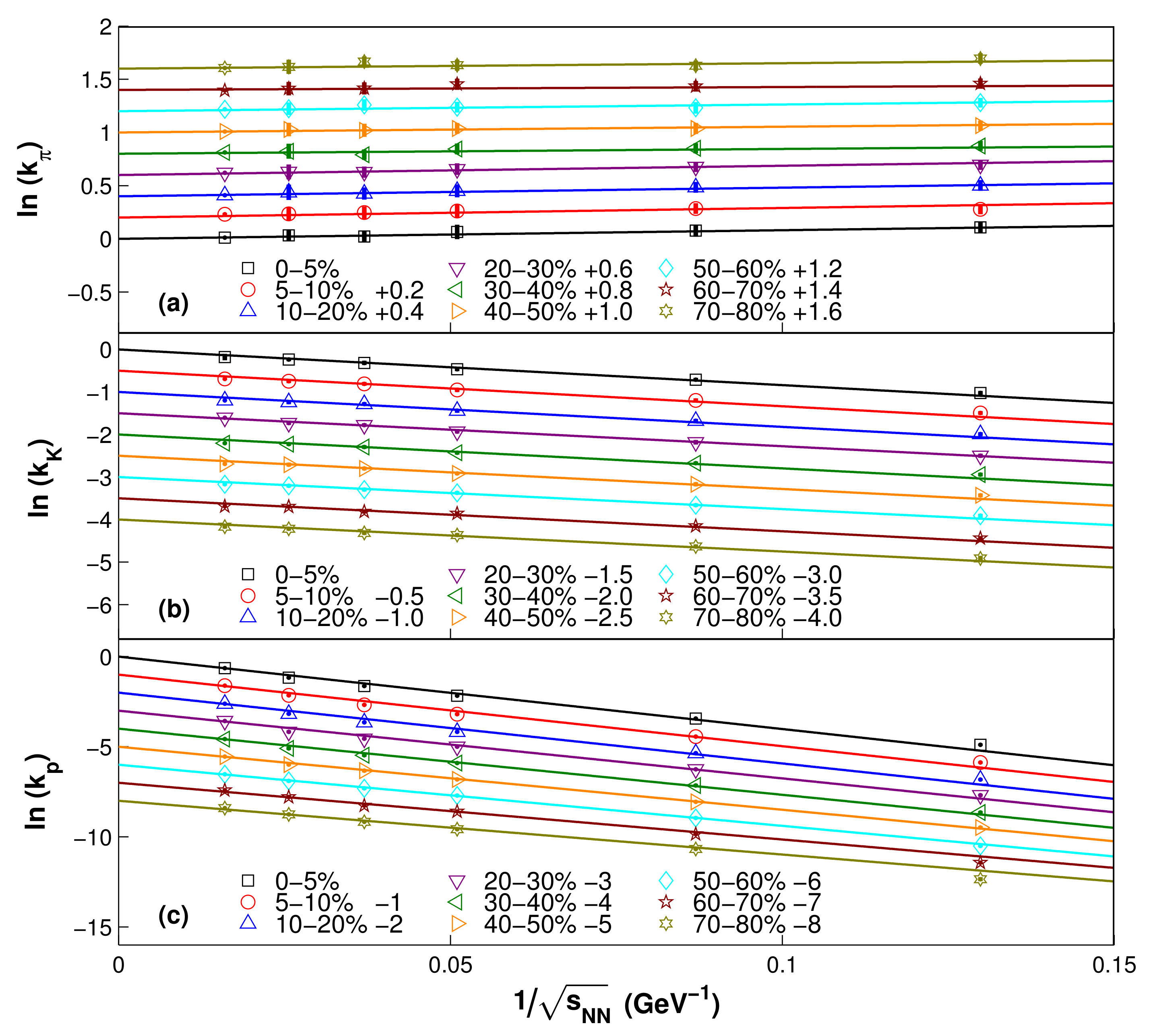
| Figure | Particle | Centrality | /dof | ||
|---|---|---|---|---|---|
| 0–5% | 0.886 ± 0.399 | −0.003 ± 0.010 | 0.209/3 | ||
| 5–10% | 0.507 ± 0.376 | 0.024 ± 0.013 | 0.229/3 | ||
| 10–20% | 0.880 ± 0.459 | −0.003 ± 0.012 | 0.171/3 | ||
| 20–30% | 0.703 ± 0.403 | 0.009 ± 0.012 | 0.086/3 | ||
| Figure 10a | 30–40% | 0.544 ± 0.370 | 0.003 ± 0.013 | 0.516/3 | |
| 40–50% | 0.482 ± 0.370 | 0.002 ± 0.011 | 0.114/3 | ||
| 50–60% | 0.500 ± 0.379 | 0.010 ± 0.012 | 0.511/3 | ||
| 60–70% | 0.613 ± 0.426 | −0.013 ± 0.013 | 0.507/3 | ||
| 70–80% | 0.692 ± 0.331 | −0.004 ± 0.010 | 1.231/3 | ||
| 0–5% | −7.522 ± 0.444 | −0.055 ± 0.032 | 0.656/3 | ||
| 5–10% | −7.086 ± 0.349 | −0.075 ± 0.028 | 0.622/3 | ||
| 10–20% | −6.956 ± 0.424 | −0.076 ± 0.030 | 2.076/3 | ||
| 20–30% | −7.922 ± 0.501 | 0.011 ± 0.036 | 1.985/3 | ||
| Figure 10b | K | 30–40% | −6.667 ± 0.313 | −0.081 ± 0.027 | 1.503/3 |
| 40–50% | −6.641 ± 0.324 | −0.073 ± 0.026 | 1.162/3 | ||
| 50–60% | −6.688 ± 0.323 | −0.053 ± 0.023 | 1.122/3 | ||
| 60–70% | −6.637 ± 0.499 | −0.068 ± 0.040 | 2.414/3 | ||
| 70–80% | −6.570 ± 0.496 | −0.056 ± 0.029 | 0.534/3 | ||
| 0–5% | −38.697 ± 1.583 | −0.031 ± 0.138 | 32.951/3 | ||
| 5–10% | −38.855 ± 3.000 | −0.002 ± 0.200 | 46.465/3 | ||
| 10–20% | −38.147 ± 1.051 | −0.014 ± 0.092 | 37.401/3 | ||
| 20–30% | −37.168 ± 0.600 | 0.010 ± 0.029 | 23.505/3 | ||
| Figure 10c | p | 30–40% | −36.214 ± 0.725 | −0.001 ± 0.012 | 7.260/3 |
| 40–50% | −35.067 ± 0.523 | 0.014 ± 0.014 | 3.675/3 | ||
| 50–60% | −34.785 ± 0.479 | 0.032 ± 0.010 | 1.071/3 | ||
| 60–70% | −35.004 ± 0.530 | 0.140 ± 0.016 | 3.368/3 | ||
| 70–80% | −33.417 ± 0.978 | 0.131 ± 0.016 | 4.916/3 |
Publisher’s Note: MDPI stays neutral with regard to jurisdictional claims in published maps and institutional affiliations. |
© 2022 by the authors. Licensee MDPI, Basel, Switzerland. This article is an open access article distributed under the terms and conditions of the Creative Commons Attribution (CC BY) license (https://creativecommons.org/licenses/by/4.0/).
Share and Cite
He, X.-W.; Wei, H.-R.; Hong, B.-H.; Wu, H.-Y.; Zhu, W.-T.; Wu, F.-M. Centrality-Dependent Chemical Potentials of Light Hadrons and Quarks Based on pT Spectrum and Particle Yield Ratio in Au-Au Collisions at RHIC Energies. Universe 2022, 8, 420. https://doi.org/10.3390/universe8080420
He X-W, Wei H-R, Hong B-H, Wu H-Y, Zhu W-T, Wu F-M. Centrality-Dependent Chemical Potentials of Light Hadrons and Quarks Based on pT Spectrum and Particle Yield Ratio in Au-Au Collisions at RHIC Energies. Universe. 2022; 8(8):420. https://doi.org/10.3390/universe8080420
Chicago/Turabian StyleHe, Xing-Wei, Hua-Rong Wei, Bi-Hai Hong, Hong-Yu Wu, Wei-Ting Zhu, and Feng-Min Wu. 2022. "Centrality-Dependent Chemical Potentials of Light Hadrons and Quarks Based on pT Spectrum and Particle Yield Ratio in Au-Au Collisions at RHIC Energies" Universe 8, no. 8: 420. https://doi.org/10.3390/universe8080420
APA StyleHe, X.-W., Wei, H.-R., Hong, B.-H., Wu, H.-Y., Zhu, W.-T., & Wu, F.-M. (2022). Centrality-Dependent Chemical Potentials of Light Hadrons and Quarks Based on pT Spectrum and Particle Yield Ratio in Au-Au Collisions at RHIC Energies. Universe, 8(8), 420. https://doi.org/10.3390/universe8080420

