Infrared Spectral Energy Distribution and Variability of Active Galactic Nuclei: Clues to the Structure of Circumnuclear Material
Abstract
1. Introduction

2. The IR Spectral Energy Distribution of AGNs
2.1. Origin of AGN IR Emission: Thermal or Nonthermal?
2.2. Behavior of AGN IR Emission. I: General Features
2.2.1. Intrinsic Near- and Mid-IR SEDs
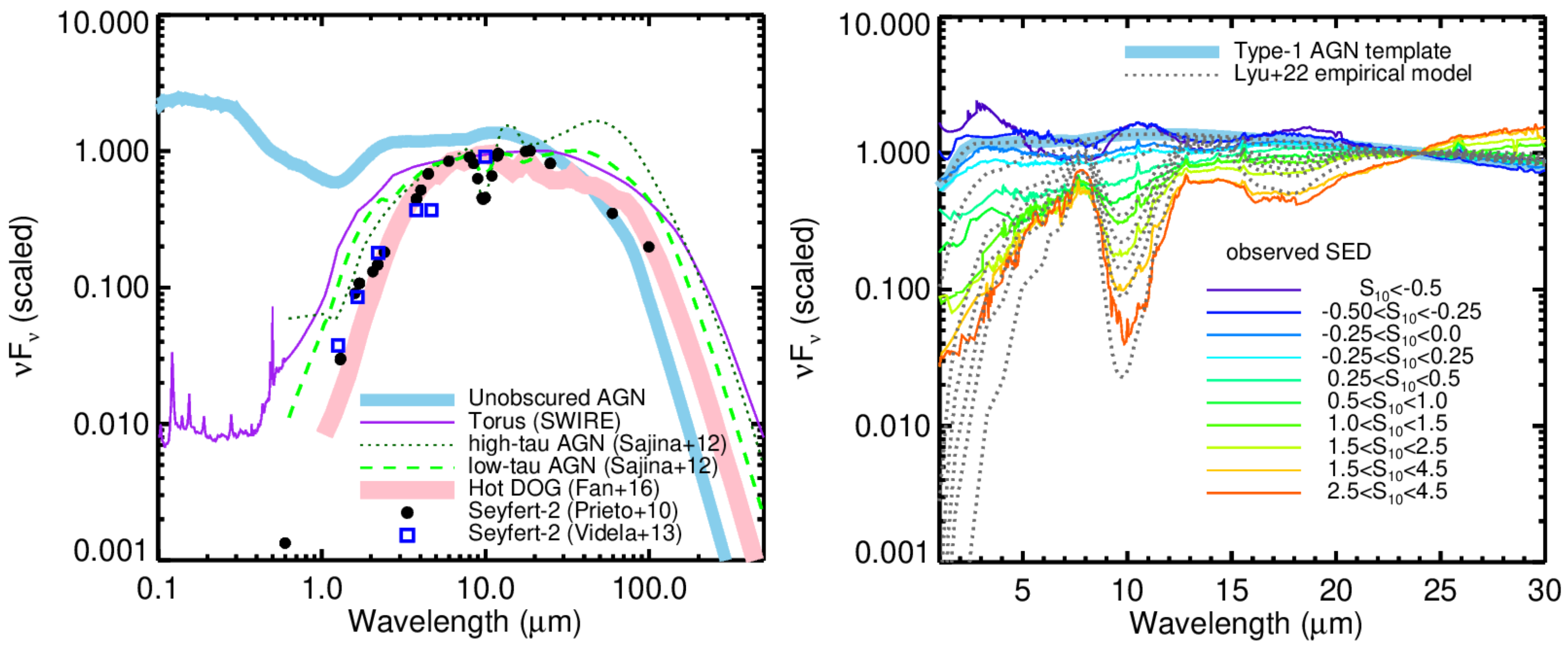
2.2.2. Obscured SEDs
2.2.3. Polar/Extended Dust


2.2.4. Intrinsic Far-IR Emission
2.2.5. Are There AGNs with Substantial Far-IR Output?
2.3. Behavior of AGN IR Emission II: Complications and Possible Outliers
2.3.1. Compton-Thick AGNs
2.3.2. Embedded AGNs and FIR Emission
2.3.3. Hot-Dust-Obscured Galaxies
2.3.4. Suppressed Near IR?
2.3.5. AGNs Deficient in 20–30 m Output
2.3.6. AGN SEDs in the High-Redshift Universe
2.3.7. Contamination from Nonthermal Processes
2.4. IR SED Decomposition and Host Galaxy Properties
2.4.1. Decomposition of Galaxy SEDs with AGN Contributions
2.4.2. Constraining the Stellar Masses
2.4.3. Host IR SED Properties
2.4.4. Star Formation
2.4.5. Do AGN Types Correlate with Different SFRs in Host Galaxies?
3. Probing AGN Dusty Structure with IR Reverberation Mapping and Variability
3.1. Challenges
3.2. Lag Measurement Campaigns and Basic Results
3.3. NGC 4151 as a Prototype
3.4. Other Observations of AGN IR Variability
3.4.1. General Lack of Classical AGN Variability at 10–24 m
3.4.2. Ubiquitous IR Variability of Steep-Spectrum Radio Sources
3.4.3. Near-IR SED of the Variable Nonthermal AGN Continuum
3.4.4. Presence of Two Lags in Near-IR Reverberation Signals of AGNs
4. Completing the AGN Census with IR Selection
4.1. Selection via Color–Color Diagrams
Limitations of AGN IR Color Selection
4.2. Selection by SED Analysis
4.2.1. Inputs to SED Fitting
4.2.2. Results

4.3. Selection by IR Variability
5. Synthesis of Constraints on the AGN Dusty Environment
5.1. The Uniformity of the 1–5 m SEDs and the Radial Structure of the Inner Torus
5.2. Pure Clumpy Torus Models vs. Observations
5.3. The Structure of the Torus: Clumpy, Smooth, or Both?
5.4. Torus, Polar Dust, and Dusty Narrow-Line Regions

5.5. Torus Evolution and Its Relation to the Central Engine and Host Galaxy
Author Contributions
Funding
Data Availability Statement
Acknowledgments
Conflicts of Interest
Abbreviations
| AGN | Active Galactic Nucleus |
| ALMA | Atacama Large Millimeter Array |
| BH | Black Hole |
| BLR | Broad-Line Region |
| DOG | Dust Obscured Galaxy |
| CCD | Charge-Coupled Device |
| EW | Equivalent Width |
| FWHM | Full Width at Half Maximum |
| HDD | Hot Dust Deficient |
| HST | Hubble Space Telescope |
| IR | Infrared |
| IRAC | Infrared Array Camera (on Spitzer) |
| IRAS | Infrared Astronomical Satellite |
| IRS | Infrared Spectrograph (on Spitzer) |
| ISM | Interstellar Medium |
| ISO | Infrared Space Observatory |
| JWST | James Webb Space Telescope |
| LINER | Low-Ionization Nuclear Emission-line Region |
| MAGNUM | Multicolor Active Galactic Nuclei Monitoring |
| MATISSE | Multi AperTure mid-Infrared SpectroScopic Experiment (on the VLT) |
| MIPS | Multiband Imaging Photometer for Spitzer |
| NEOWISE | Near-Earth Object Wide-field IR Survey Explorer |
| NLR | Narrow-Line Region |
| PAH | Polycyclic Aromatic Hydrocarbon |
| PACS | Photoconductor Array Camera and Spectrometer (on Herschel) |
| PG | Palomar-Green |
| PSF | Point Spread Function |
| SAI | Sternberg Astronomical Institute |
| SDSS | Sloan Digital Sky Survey |
| SED | Spectral Energy Distribution |
| SFG | Star-Forming Galaxy |
| SFR | Star Formation Rate |
| SMBH | Supermassive Black Hole |
| SPIRE | Spectral and Photometric Imaging RecEiver (on Herschel) |
| SWIRE | Spitzer Wide-Area Infrared Extragalactic (Survey) |
| UKIDSS | UKIRT Infrared Deep Sky Survey |
| UV | Ultraviolet |
| VLTI | Very Large Telescope Interferometer |
| WDD | Warm Dust Deficient |
| WISE | Wide-Field Infrared Survey Explorer |
| 1 | The term “quasar” has come into general use beyond the original designation of a radio source and encompasses “QSO”—quasi-stellar object. |
| 2 | The classical unified model attributes the obscuration to the circumnuclear torus, but in reality, there are many possibilities, such as dust in the host galaxy, dusty clouds not in the torus but along the line of sight, or, in extreme cases, a dusty cocoon. |
| 3 | By “intrinsic”, we refer to the product of direct energy input from the AGN, not necessarily to the integrated SED of the entire galaxy. |
| 4 | Despite this near-consensus, one notable exception is Symeonidis et al. [93], who predicted much weaker host galaxy far-IR output from the 11.3 m PAH feature and thus stronger intrinsic far-IR emission from AGNs. Since its publication, this conclusion has been questioned by a number of independent groups based on studies of the same or a similar sample, e.g., [84,86,92]. |
| 5 | To estimate the far-IR SFR from PAH strength, Petric et al. [103] put PAH strength measurements from Shi et al. [105], which used the first method, into a formula from Diamond-Stanic Rieke [106], which is derived based on PAHFIT values. We can estimate the difference by comparing the equivalent widths (EWs) for the same objects of the 11.3 m feature from Shi et al. [105] with those from Shi et al. [107], since the latter used a procedure similar to PAHFIT. The average ratio of the two EW measurements of the 11.3 m PAH is 1.74. (also note that Petric et al. [103] incorrectly cite Diamond-Stanic Rieke [100] rather than Diamond-Stanic Rieke [106]). |
| 6 | These objects are defined with spectral indices between 25 and 60 m of ; see de Grijp et al. [111] for details. |
| 7 | Because the host galaxy has significant photospheric stellar emission (i.e., from a relatively old stellar population), we have used the sub-arcsec measurements at L and M from Isbell et al. [37]. The H-band point is from Peletier et al. [150]; we have subtracted the galaxy as a n = 4 Sérsic profile (sometimes known as a de Vaucouleurs profile); the fit for the inner 3 radius is excellent. |
| 8 | We may find that they have further difficulties with obscured AGNs when we have a more complete sample. |
| 9 | Kocevski et al. [197] suggest that abnormalities are more frequent for hosts of Compton-thick AGNs |
| 10 | However, the majority of their SFR estimates were based on WISE photometry, extending only to 22 m, which is worrisome because of the potential for AGN contamination. |
| 11 | We test whether the L-band flux captures the integrated output by comparing with the disk flux in the integrated band from 2MASS, where we subtract the nuclear emission at according to the sub-arcsec L brightness and the normal template for Type 1 and 40% of this value for Type 2 (the selection of values between 0 and 100% had only a ∼± 5% effect on the average and median values). We correct to the expected to L flux ratio if there is a deficiency. |
| 12 | With the additional constraints with the multiband JWST MIRI measurements, more flexibility can be added to the fits—for example, to include a HDD template and a term for polar dust. |
| 13 | MATISSE stands for Multi AperTure mid-Infrared SpectroScopic Experiment on the Very Large Telescope Interferometer (VLTI), an instrument that can resolve structures down to 3.5 milli-arcsecond. See more at https://www.eso.org/sci/facilities/paranal/instruments/matisse.html, (accessed on 20 May 2022) |
References
- Ulrich, M.-H.; Maraschi, L.; Urry, C.M. Variability of Active Galactic Nuclei. ARAA 1995, 35, 445–502. [Google Scholar] [CrossRef]
- Alexander, D.M.; Hickox, R.C. What drives the growth of black holes? NewAR 2012, 56, 93–121. [Google Scholar] [CrossRef]
- Heckman, T.M.; Best, P.N. The Coevolution of Galaxies and Supermassive Black Holes: Insights from Surveys of the Contemporary Universe. Annu. Rev. Astron. Astrophys. 2014, 52, 589–660. [Google Scholar] [CrossRef]
- Netzer, H. Revisiting the Unified Model of Active Galactic Nuclei. ARAA 2015, 53, 365–408. [Google Scholar] [CrossRef]
- Padovani, P.; Alexander, D.M.; Assef, R.J.; De Marco, B.; Giommi, P.; Hickox, R.C.; Richards, G.T.; Smolčić, V.; Hatziminaoglou, E.; Mainieri, V.; et al. Active galactic nuclei: What’s in a name? Astron. Astrophys. Rev. 2017, 25, 2–57. [Google Scholar] [CrossRef]
- Ramos Almeida, C.; Ricci, C. Nuclear obscuration in active galactic nuclei. NatAs 2017, 1, 679–689. [Google Scholar]
- Hickox, R.C.; Alexander, D.M. Obscured Active Galactic Nuclei. ARAA 2018, 56, 625–671. [Google Scholar] [CrossRef]
- Lacy, M.; Sajina, A. Active galactic nuclei as seen by the Spitzer Space Telescope. NatAs 2020, 4, 352–363. [Google Scholar] [CrossRef]
- Cackett, E.M.; Bentz, M.C.; Kara, E. Reverberation mapping of active galactic nuclei: From X-ray corona to dusty torus. iScience 2021, 24, 102557. [Google Scholar] [CrossRef]
- García-Burillo, S.; Alonso-Herrero, A.; Ramos Almeida, C.; González-Martín, O.; Combes, F.; Usero, A.; Hönig, S.; Querejeta, M.; Hicks, E.K.S.; Hunt, L.K.; et al. The Galaxy Activity, Torus, and Outflow Survey (GATOS). I. ALMA images of dusty molecular tori in Seyfert galaxies. Astron. Astrophys. 2021, 652, A98–A137. [Google Scholar] [CrossRef]
- Lyu, J.; Rieke, G.H. The Dusty Heart of NGC 4151 Revealed by λ∼1–40 μm Reverberation Mapping and Variability: A Challenge to Current Clumpy Torus Models. Astrophys. J. 2021, 912, 126–155. [Google Scholar] [CrossRef]
- Lyu, J.; Rieke, G.H. Polar Dust, Nuclear Obscuration, and IR SED Diversity in Type-1 AGNs. Astrophys. J. 2018, 866, 92–119. [Google Scholar] [CrossRef]
- Baskin, A.; Laor, A. Dust inflated accretion disc as the origin of the broad line region in active galactic nuclei. Malays. Branch R. Asiat. Soc. 2018, 474, 1970–1994. [Google Scholar] [CrossRef]
- Dors, O.L.; Contini, M.; Riffel, R.A.; Pérez-Montero, E.; Krabbe, A.C.; Cardaci, M.V.; Hägele, G.F. Chemical abundances of Seyfert 2 AGNs–IV. Composite models calculated by photoionization + shocks. Mon. Not. R. Astron. Soc. 2021, 501, 1370–1383. [Google Scholar] [CrossRef]
- Tazaki, R.; Ichikawa, K. Dust Destruction by Drift-induced Sputtering in Active Galactic Nuclei. Astrophys. J. 2020, 892, 149–162. [Google Scholar] [CrossRef]
- Low, J.; Kleinmann, D.E. Proceedings of the Conference on Seyfert Galaxies and Related Objects: 17. Infrared Observations of Seyfert Galaxies, Quasistellar Sources, and Planetary Nebulae. Astrophys. J. 1968, 73, 868. [Google Scholar] [CrossRef]
- Rees, M.J.; Silk, J.I.; Werner, M.W.; Wickramasinghe, N.C. Infrared Radiation from Dust in Seyfert Galaxies. Nature 1969, 223, 788–791. [Google Scholar] [CrossRef]
- Burbidge, G.R.; Stein, W.A. Cosmic Sources of Infrared Radiation. Astrophys. J. 1970, 160, 573–593. [Google Scholar] [CrossRef]
- Neugebauer, G.; Oke, J.B.; Becklin, E.E.; Matthews, K. Absolute spectral energy distribution of quasi-stellar objects from 0.3 to 10 microns. Astrophys. J. 1979, 230, 79–94. [Google Scholar] [CrossRef][Green Version]
- Stein, W.A.; Weedman, D.W. The origin of ultraviolet and infrared continuum radiation from Seyfert galaxies. Astrophys. J. 1976, 205, 44–51. [Google Scholar] [CrossRef]
- Penston, M.V.; Penston, M.J.; Neugebauer, G.X.; Tritton, K.P.; Becklin, E.E.; Visvanathan, N. Observations of NGC 4151 during 1970 in the optical and infra-red. Mon. Not. R. Astron. Soc. 1971, 153, 29–40. [Google Scholar] [CrossRef]
- Rieke, G.H. The infrared emission of Seyfert galaxies. Astrophys. J. 1978, 226, 550–558. [Google Scholar] [CrossRef]
- Rieke, G.H.; Lebofsky, M.J. Spectral components of NGC 4151. Astrophys. J. 1981, 250, 87–97. [Google Scholar] [CrossRef]
- Barvainis, R. Hot Dust and the Near-Infrared Bump in the Continuum Spectra of Quasars and Active Galactic Nuclei. Astrophys. J. 1987, 320, 537–544. [Google Scholar] [CrossRef]
- Clavel, J.; Wamsteker, W.; Glass, I.S. Hot Dust on the Outskirts of the Broad-Line Region in Fairall 9. Astrophys. J. 1989, 337, 236–250. [Google Scholar] [CrossRef]
- Hunt, L.K.; Zhekov, S.; Salvati, M.; Mannucci, F.; Stanga, R.M. Limits on the short-timescale near-infrared variability of Seyfert 1 nuclei. Astron. Astrophys. 1994, 292, 67–75. [Google Scholar]
- Soifer, B.T.; Sanders, D.B.; Madore, B.F.; Neugebauer, G.; Danielson, G.E.; Elias, J.H.; Lonsdale, C.J.; Rice, W.L. The IRAS Bright Galaxy Sample. II. The Sample and Luminosity Function. Astrophys. J. 1987, 320, 238. [Google Scholar] [CrossRef]
- Kotilainen, J.K.; Ward, M.J.; Boisson, C.; Depoy, D.L.; Smith, M.G. Near-infrared imaging of hard X-ray selected active galaxies–II. The non-stellar continuum. Mon. Not. R. Astron. Soc. 1992, 256, 149–165. [Google Scholar] [CrossRef]
- Neugebauer, G.; Green, R.F.; Matthews, K.; Schmidt, M.; Soifer, B.T.; Bennett, J. Continuum Energy Distributions of Quasars in the Palomar-Green Survey. Astrophys. J. Suppl. 1987, 63, 615–644. [Google Scholar] [CrossRef]
- Neugebauer, G.; Matthews, K. Variability of Quasars at 10 Microns. Astrophys. J. 1999, 118, 35–45. [Google Scholar] [CrossRef]
- Ward, M.; Elvis, M.; Fabbiano, G.; Carleton, N.P.; Willner, S.P.; Lawrence, A. The Continuum of Type 1 Seyfert Galaxies. I. A Single Form Modified by the Effects of Dust. Astrophys. J. 1987, 315, 74–91. [Google Scholar] [CrossRef]
- Elvis, M.; Wilkes, B.J.; McDowell, J.C.; Green, R.F.; Bechtold, J.; Willner, S.P.; Oey, M.S.; Polomski, E.; Cutri, R. Atlas of Quasar Energy Distributions. Astrophys. J. Suppl. 1994, 95, 1–67. [Google Scholar] [CrossRef]
- Richards, G.T.; Lacy, M.; Storrie-Lombardi, L.J.; Hall, P.B.; Gallagher, S.C.; Hines, D.C.; Fan, X.; Papovich, C.; Vanden Berk, D.E.; Trammell, G.B.; et al. Spectral Energy Distributions and Multiwavelength Selection of Type 1 Quasars. Astrophys. J. Suppl. 2006, 166, 470–497. [Google Scholar] [CrossRef]
- Scott, A.E.; Stewart, G.C. Do the spectral energy distributions of type 1 active galactic nuclei show diversity? Mon. Not. R. Astron. Soc. 2014, 438, 2253–2266. [Google Scholar] [CrossRef]
- Shang, Z.; Brotherton, M.S.; Wills, B.J.; Wills, D.; Cales, S.L.; Dale, D.A.; Green, R.F.; Runnoe, J.C.; Nemmen, R.S.; Gallagher, S.C.; et al. The Next Generation Atlas of Quasar Spectral Energy Distributions from Radio to X-Rays. Astrophys. J. Suppl. 2011, 196, 2–24. [Google Scholar] [CrossRef]
- Leipski, C.; Meisenheimer, K.; Walter, F.; Klaas, U.; Dannerbauer, H.; De Rosa, G.; Fan, X.; Haas, M.; Krause, O.; Rix, H.-W. Spectral Energy Distributions of QSOs at z > 5: Common Active Galactic Nucleus-heated Dust and Occasionally Strong Star-formation. Astrophys. J. 2014, 785, 154–175. [Google Scholar] [CrossRef]
- Isbell, J.W.; Leonard Burtscher, L.; Asmus, D.; Pott, J.-U.; Couzy, P.; Stalevski, M.; Gámez Rosas, V.; Meisenheimer, K. Subarcsecond Mid-infrared View of Local Active Galactic Nuclei. IV. The L- and M-band Imaging Atlas. Astrophys. J. 2021, 910, 104–123. [Google Scholar] [CrossRef]
- Mor, R.; Netzer, H. Hot graphite dust and the infrared spectral energy distribution of active galactic nuclei. Mon. Not. R. Astron. Soc. 2012, 420, 526–541. [Google Scholar] [CrossRef]
- Jiang, L.; Fan, X.; Brandt, W.N.; Carilli, C.L.; Egami, E.; Hines, D.C.; Kurk, J.D.; Richards, G.T.; Shen, Y.; Strauss, M.A.; et al. Dust-free quasars in the early Universe. Nature 2010, 464, 380–383. [Google Scholar] [CrossRef]
- Hao, H.; Elvis, M.; Civano, F.; Lawrence, A. Hot-dust-poor Quasars in Mid-infrared and Optically Selected Samples. Astrophys. J. 2011, 733, 108–117. [Google Scholar] [CrossRef][Green Version]
- Lyu, J.; Rieke, G.H.; Shi, Y. Dust-deficient Palomar-Green Quasars and the Diversity of AGN Intrinsic IR Emission. Astrophys. J. 2017, 835, 257–283. [Google Scholar] [CrossRef]
- Lyu, J.; Rieke, G.H.; Smith, P.S. Mid-IR Variability and Dust Reverberation Mapping of Low-z Quasars. I. Data, Methods, and Basic Results. Astrophys. J. 2019, 886, 33–65. [Google Scholar] [CrossRef]
- Elitzur, M. On the Unification of Active Galactic Nuclei. Astrophys. J. 2012, 747, L33–L35. [Google Scholar] [CrossRef]
- Hickox, R.C.; Myers, A.D.; Greene, J.E.; Hainline, K.N.; Zakamska, N.L.; DiPompeo, M.A. Composite Spectral Energy Distributions and Infrared-Optical Colors of Type 1 and Type 2 Quasars. Astrophys. J. 2017, 849, 53. [Google Scholar] [CrossRef]
- Prieto, M.A.; Reunanen, J.; Tristram, K.R.W.; Neumayer, N.; Fernandez-Ontiveros, J.A.; Orienti, M.; Meisenheimer, K. The spectral energy distribution of the central parsecs of the nearest AGN. Mon. Not. R. Astron. Soc. 2010, 402, 724–744. [Google Scholar] [CrossRef][Green Version]
- Alonso-Herrero, A.; Quillen, A.C.; Simpson, C.; Efstathiou, A.; Ward, M.J. The Nonstellar Infrared Continuum of Seyfert Galaxies. Astron. J. 2001, 121, 1369–1384. [Google Scholar] [CrossRef]
- Videla, L.; Lira, P.; Andrews, H.; Alonso-Herrero, A.; Alexander, D.M.; Ward, M. Nuclear Infrared Spectral Energy Distribution of Type II Active Galactic Nuclei. ApJS 2013, 204, 23. [Google Scholar] [CrossRef]
- Polletta, M.; Tajer, M.; Maraschi, L.; Trinchieri, G.; Lonsdale, C.J.; Chiappetti, L.; Andreon, S.; Pierre, M.; Le Fèvre, O.; Zamorani, G.; et al. Spectral Energy Distributions of Hard X-Ray Selected Active Galactic Nuclei in the XMM-Newton Medium Deep Survey. Astrophys. J. 2007, 663, 81–102. [Google Scholar] [CrossRef]
- Polletta, M.; Wilkes, B.J.; Siana, B.; Lonsdale, C.J.; Kilgard, R.; Smith, H.E.; Kim, D.W.; Owen, F.; Efstathiou, A.; Jarrett, T.; et al. Chandra and Spitzer Unveil Heavily Obscured Quasars in the Chandra/SWIRE Survey. Astrophys. J. 2006, 642, 673–693. [Google Scholar] [CrossRef]
- Sajina, A.; Yan, L.; Fadda, D.; Dasyra, K.; Huynh, M. Spitzer- and Herschel-based Spectral Energy Distributions of 24 μm Bright z ∼0.3-3.0 Starbursts and Obscured Quasars. Astrophys. J. 2012, 757, 13. [Google Scholar] [CrossRef][Green Version]
- Fan, L.; Han, Y.; Nikutta, R.; Drouart, G.; Knudsen, K.K. Infrared Spectral Energy Distribution Decomposition of WISE-selected, Hyperluminous Hot Dust-obscured Galaxies. Astrophys. J. 2016, 823, 107–123. [Google Scholar] [CrossRef]
- Xu, L.; Rieke, G.H.; Egami, E.; Pereira, M.J.; Haines, C.P.; Smith, G.P. A Herschel Study of 24 μm-Selected AGNs and Their Host Galaxies. Astrophys. J. Suppl. 2015, 219, 18–53. [Google Scholar] [CrossRef]
- Lyu, J.; Rieke, G.H. Infrared Attentuation Curve for AGNs. in preparation. in preparation.
- Li, A. Dust in Active Galactic Nuclei, The Central Engine of Active Galactic Nuclei. ASP Conf. Ser. 2007, 373, 561–573. [Google Scholar]
- Zafar, T.; Møller, P.; Watson, D.; Fynbo, J.P.U.; Krogager, J.-K.; Zafar, N.; Saturni, F.G.; Geier, S.; Venemans, B.P. Extinction curve template for intrinsically reddened quasars. Astron. Astrophys. 2015, 584, 100–107. [Google Scholar] [CrossRef][Green Version]
- Laor, A.; Draine, B.T. Spectroscopic Constraints on the Properties of Dust in Active Galactic Nuclei. Astrophys. J. 1993, 402, 441. [Google Scholar] [CrossRef]
- Maiolino, R.; Marconi, A.; Salvati, M.; Risaliti, G.; Severgnini, P.; Oliva, E.; La Franca, F.; Vanzi, L. Dust in active nuclei. I. Evidence for “anomalous” properties. Astron. Astrophys. 2001, 365, 28–36. [Google Scholar] [CrossRef]
- Bianchi, S.; Maiolino, R.; Risaliti, G. AGN Obscuration and the Unified Model. Adv. Astron. 2012, 2012, 782030. [Google Scholar] [CrossRef]
- Bock, J.J.; Neugebauer, G.; Matthews, K.; Soifer, B.T.; Becklin, E.E.; Ressler, M.; Marsh, K.; Werner, M.W.; Egami, E.; Blandford, R. High Spatial Resolution Imaging of NGC 1068 in the Mid-Infrared. Astrophys. J. 2000, 120, 2904–2919. [Google Scholar] [CrossRef]
- Braatz, J.A.; Wilson, A.S.; Gezari, D.Y.; Varosi, F.; Beichman, C.A. High-Resolution Mid-Infrared Imaging and Astrometry of the Nucleus of the Seyfert Galaxy NGC 1068. Astrophys. J. Lett. 1993, 409, 5–8. [Google Scholar] [CrossRef]
- Cameron, M.; Storey, J.W.V.; Rotaciuc, V.; Genzel, R.; Verstraete, L.; Drapatz, S.; Siebenmorgen, R.; Lee, T.J. Subarcsecond Mid-Infrared Imaging of Warm Dust in the Narrow-Line Region of NGC 1068. Astrophys. J. 1993, 419, 136–150. [Google Scholar] [CrossRef]
- Radomski, J.T.; Piña, R.K.; Packham, C. High-Resolution Mid-Infrared Morphology of Cygnus A. Astrophys. J. 2002, 566, 675–681. [Google Scholar] [CrossRef][Green Version]
- Packham, C.; Radomski, J.T.; Roche, P.F.; Aitken, D.K.; Perlman, E.; Alonso-Herrero, A.; Colina, L.; Telesco, C.M. The Extended Mid-Infrared Structure of the Circinus Galaxy. Astrophys. J. Lett. 2005, 618, 17–20. [Google Scholar] [CrossRef]
- Reunanen, J.; Prieto, M.A.; Siebenmorgen, R. VLT diffraction-limited imaging at 11 and 18 μm of the nearest active galactic nuclei. Mon. Not. R. Astron. Soc. 2010, 402, 879–894. [Google Scholar] [CrossRef]
- Hönig, S.F.; Kishimoto, M.; Gandhi, P.; Smette, A.; Asmus, D.; Duschl, W.; Polletta, M.; Weigelt, G. The dusty heart of nearby active galaxies. I. High-spatial resolution mid-IR spectro-photometry of Seyfert galaxies. Astron. Astrophys. 2010, 515, 23–44. [Google Scholar] [CrossRef]
- Radomski, J.T.; Piña, R.K.; Packham, C. Resolved Mid-Infrared Emission in the Narrow-Line Region of NGC 4151. Astrophys. J. 2003, 587, 117–122. [Google Scholar] [CrossRef]
- Asmus, D.; Hönig, S.F.; Gandhi, P. The Subarcsecond Mid-infrared View of Local Active Galactic Nuclei. III. Polar Dust Emission. Astrophys. J. 2016, 822, 109–121. [Google Scholar] [CrossRef]
- Fuller, L.; Lopez-Rodriguez, E.; Packham, C.; Ichikawa, K.; Togi, A.; Alonso-Herrero, A.; Ramos-Almeida, C.; Diaz-Santos, T.; Levenson, N.A.; Radomski, J. SOFIA/FORCAST resolves 30–40 μm extended dust emission in nearby active galactic nuclei. Mon. Not. R. Astron. Soc. 2019, 483, 3404–3419. [Google Scholar] [CrossRef]
- López-Gonzaga, N.; Burtscher, L.; Tristram, K.R.W.; Meisenheimer, K.; Schartmann, M. Mid-infrared interferometry of 23 AGN tori: On the significance of. polar-elongated emission. Astron. Astrophys. 2016, 591, 47–57. [Google Scholar] [CrossRef]
- Hönig, S.F.; Kishimoto, M.; Tristram, K.R.W.; Prieto, M.A.; Gandhi, P.; Asmus, D.; Antonucci, R.; Burtscher, L.; Duschl, W.J.; Weigelt, G. Dust in the Polar Region as a Major Contributor to the Infrared Emission of Active Galactic Nuclei. Astrophys. J. 2013, 771, 87–100. [Google Scholar] [CrossRef]
- Leftley, J.H.; Tristram, K.R.W.; Hönig, S.F.; Kishimoto, M.; Asmus, D.; Gandhi, P. New Evidence for the Dusty Wind Model: Polar Dust and a Hot Core in the Type-1 Seyfert ESO 323-G77. Astrophys. J. 2018, 862, 17–31. [Google Scholar] [CrossRef]
- Deo, R.P.; Richards, G.T.; Crenshaw, D.M.; Kraemer, S.B. The Mid-Infrared Continua of Seyfert Galaxies. Astrophys. J. 2009, 705, 14–31. [Google Scholar] [CrossRef][Green Version]
- Netzer, H.; Laor, A. Dust in the Narrow-Line Region of Active Galactic Nuclei. Astrophys. J. Lett. 1993, 404, L51–L54. [Google Scholar] [CrossRef]
- Alonso-Herrero, A.; García-Burillo, S.; Hönig, S.F.; García-Bernete, I.; Ramos Almeida, C.; González-Martín, O.; López-Rodríguez, E.; Boorman, P.G.; Bunker, A.J.; Burtscher, L.; et al. The Galaxy Activity, Torus, and Outflow Survey (GATOS). II. Torus and polar dust emission in nearby Seyfert galaxies. Astron. Astrophys. 2021, 652, 99–124. [Google Scholar] [CrossRef]
- Asmus, D. New evidence for the ubiquity of prominent polar dust emission in AGN on tens of parsec scales. Mon. Not. R. Astron. Soc. 2019, 489, 2177–2188. [Google Scholar] [CrossRef]
- Lyu, J.; Rieke, G.H. Polar Dust Emission in Quasar IR SEDs and Its Correlation with Narrow Line Regions. Astrophys. J. 2022. submitted. [Google Scholar]
- Maiolino, R.; Shemmer, O.; Imanishi, M.; Netzer, H.; Oliva, E.; Lutz, D.; Sturm, E. Dust covering factor, silicate emission, and star formation in luminous QSOs. Astron. Astrophys. 2007, 468, 979–992. [Google Scholar] [CrossRef]
- Stern, J.; Laor, A. Type 1 AGN at low z–II. The relative strength of narrow lines and the nature of intermediate type AGN. Mon. Not. R. Astron. Soc. 2012, 426, 2703–2718. [Google Scholar] [CrossRef]
- Rodriguez Espinosa, J.M.; Rudy, R.; Jones, B. Star Formation in Seyfert Galaxies. Astrophys. J. 1987, 312, 555–565. [Google Scholar] [CrossRef]
- Rowan-Robinson, M. A new model for the infrared emission of quasars. Mon. Not. R. Astron. Soc. 1995, 272, 737–748. [Google Scholar]
- Wilson, A.S. Star formation and nuclear activity in Seyfert galaxies. Astron. Astrophys. 1988, 206, 41–46. [Google Scholar]
- Bernhard, E.; Tadhunter, C.; Mullaney, J.R.; Grimmett, L.P.; Rosario, D.J.; Alexander, D.M. The post-Herschel view of intrinsic AGN emission: Constructing templates for galaxy and AGN emission at IR wavelengths. Mon. Not. R. Astron. Soc. 2021, 503, 2598–2621. [Google Scholar] [CrossRef]
- Kirkpatrick, A.; Pope, A.; Sajina, A.; Roebuck, E.; Yan, L.; Armus, L.; Díaz-Santos, T.; Stierwalt, S. The Role of Star Formation and an AGN in Dust Heating of z = 0.3–2.8 Galaxies. I. Evolution with Redshift and Luminosity. Astrophys. J. 2015, 814, 9. [Google Scholar] [CrossRef]
- Lani, C.; Netzer, H.; Lutz, D. Intrinsic AGN SED & black hole growth in the Palomar-Green quasars. Mon. Not. R. Astron. Soc. 2017, 471, 59–79. [Google Scholar]
- Lopez-Rodriguez, E.; Fuller, L.; Alonso-Herrero, A.; Efstathiou, A.; Ichikawa, K.; Levenson, N.A.; Packham, C.; Radomski, J.; Ramos Almeida, C.; Benford, D.J.; et al. The Emission and Distribution of Dust of the Torus of NGC 1068. Astrophys. J. 2018, 859, 99–108. [Google Scholar] [CrossRef]
- Lyu, J.; Rieke, G.H. The Intrinsic Far-infrared Continua of Type-1 Quasars. Astrophys. J. 2017, 841, 76–89. [Google Scholar] [CrossRef]
- Miley, G.K.; Neugebauer, G.; Soifer, B.T. IRAS observations of Seyfert galaxies. Astrophys. J. Lett. 1985, 293, 11–14. [Google Scholar] [CrossRef][Green Version]
- Mullaney, J.R.; Alexander, D.M.; Goulding, A.D.; Hickox, R.C. Defining the intrinsic AGN infrared spectral energy distribution and measuring its contribution to the infrared output of composite galaxies. Mon. Not. R. Astron. Soc. 2011, 414, 1082–1110. [Google Scholar] [CrossRef]
- Netzer, H.; Lutz, D.; Schweitzer, M.; Contursi, A.; Sturm, E.; Tacconi, L.J.; Veilleux, S.; Kim, D.-C.; Rupke, D.; Baker, A.J.; et al. Spitzer Quasar and ULIRG Evolution Study (QUEST). II. The Spectral Energy Distributions of Palomar-Green Quasars. Astrophys. J. 2007, 666, 806–816. [Google Scholar] [CrossRef]
- Rosario, D.J.; Santini, P.; Lutz, D.; Shao, L.; Maiolino, R.; Alexander, D.M.; Altieri, B.; Andreani, P.; Aussel, H.; Bauer, F.E.; et al. The mean star formation rate of X-ray selected active galaxies and its evolution from z∼2.5: Results from PEP-Herschel. Astron. Astrophys. 2012, 545, A45–A62. [Google Scholar] [CrossRef]
- Xu, L.; Rieke, G.H.; Egami, E.; Haines, C.P.; Pereira, M.J.; Smith, G.P. The Relation between Luminous AGNs and Star Formation in Their Host Galaxies. Astrophys. J. 2015, 808, 159–168. [Google Scholar] [CrossRef]
- Xu, J.; Sun, M.; Xue, Y. AGNs Are Not That Cool: Revisiting the Intrinsic AGN Far-infrared Spectral Energy Distribution. Astrophys. J. 2020, 894, 21–32. [Google Scholar] [CrossRef]
- Symeonidis, M.; Giblin, B.M.; Page, M.J.; Pearson, C.; Bendo, G.; Seymour, N.; Oliver, S.J. AGN are cooler than you think: The intrinsic far-IR emission from QSOs. Mon. Not. R. Astron. Soc. 2016, 459, 257–276. [Google Scholar] [CrossRef]
- Hony, S.; Kemper, F.; Woods, P.M.; van Loon, J.T.; Gorjian, V.; Madden, S.C.; Zijlstra, A.A.; Gordon, K.D.; Indebetouw, R.; Marengo, M.; et al. The Spitzer discovery of a galaxy with infrared emission solely due to AGN activity. Astron. Astrophys 2011, 531, 137–143. [Google Scholar] [CrossRef][Green Version]
- García-González, J.; Alonso-Herrero, A.; Hernán-Caballero, A.; Pereira-Santaella, M.; Ramos-Almeida, C.; Acosta-Pulido, J.A.; Díaz-Santos, T.; Esquej, P.; González-Martín, O.; Ichikawa, K.; et al. The nuclear and integrated far-infrared emission of nearby Seyfert galaxies. Mon. Not. R. Astron. Soc. 2016, 458, 4512–4529. [Google Scholar] [CrossRef]
- Rieke, G.H.; Low, F.J. The infrared spectrum of NGC 1068. Astrophys. J. Lett. 1975, 199, L13–L17. [Google Scholar] [CrossRef]
- Rieke, G.H.; Low, F.J. Measurements of galactic nuclei at 34 microns. Astrophys. J. Lett. 1975, 200, L67–L69. [Google Scholar] [CrossRef]
- Smith, J.D.T.; Draine, B.T.; Dale, D.A.; Moustakas, J.; Kennicutt, R.C.; Helou, G.; Armus, L.; Roussel, H.; Sheth, K.; Bendo, G.J.; et al. The Mid-Infrared Spectrum of Star-forming Galaxies: Global Properties of Polycyclic Aromatic Hydrocarbon Emission. Astrophys. J. 2007, 656, 770–791. [Google Scholar] [CrossRef]
- Alonso-Herrero, A.; Ramos Almeida, C.; Esquej, P.; Roche, P.F.; Hernán-Caballero, A.; Hönig, S.F.; González-Martín, O.; Aretxaga, I.; Mason, R.E.; Packham, C.; et al. Nuclear 11.3 μm PAH emission in local active galactic nuclei. Mon. Not. R. Astron. Soc. 2014, 443, 2766–2782. [Google Scholar] [CrossRef]
- Diamond-Stanic, A.; Rieke, G.H. The Effect of Active Galactic Nuclei on the Mid-infrared Aromatic Features. Astrophys. J. 2010, 724, 140–153. [Google Scholar] [CrossRef]
- Esquej, P.; Alonso-Herrero, A.; González-Martín, O.; Hönig, S.F.; Hernán-Caballero, A.; Roche, P.; Ramos Almeida, C.; Mason, R.E.; Díaz-Santos, T.; Levenson, N.A.; et al. Nuclear Star Formation Activity and Black Hole Accretion in Nearby Seyfert Galaxies. Astrophys. J. 2014, 780, 86–100. [Google Scholar] [CrossRef]
- Jensen, J.J.; Hönig, S.F.; Rakshit, S.; Alonso-Herrero, A.; Asmus, D.; Gandhi, P.; Kishimoto, M.; Smette, A.; Tristram, K.R.W. PAH features within few hundred parsecs of active galactic nuclei. Mon. Not. R. Astron. Soc. 2017, 470, 3071–3094. [Google Scholar] [CrossRef]
- Petric, A.O.; Ho, L.C.; Flagey, N.J.M.; Scoville, N.Z. Herschel Survey of the Palomar-Green QSOs at Low Redshift. Astrophys. J. Suppl. 2015, 219, 22–41. [Google Scholar] [CrossRef][Green Version]
- Brandl, B.R.; Bernard-Salas, J.; Spoon, H.W.W.; Devost, D.; Sloan, G.C.; Guilles, S.; Wu, Y.; Houck, J.R.; Weedman, D.W.; Armus, L.; et al. The Mid-Infrared Properties of Starburst Galaxies from Spitzer-IRS Spectroscopy. Astrophys. J. 2006, 653, 1129–1144. [Google Scholar] [CrossRef]
- Shi, Y.; Ogle, P.; Rieke, G.H.; Antonucci, R.; Hines, D.C.; Smith, P.S.; Low, F.J.; Bouwman, J.; Willmer, C. Aromatic Features in AGNs: Star-forming Infrared Luminosity Function of AGN Host Galaxies. Astrophys. J. 2007, 669, 841–861. [Google Scholar] [CrossRef][Green Version]
- Diamond-Stanic, A.; Rieke, G.H. The Relationship between Black Hole Growth and Star Formation in Seyfert Galaxies. Astrophys. J. 2012, 746, 168–181. [Google Scholar] [CrossRef]
- Shi, Y.; Rieke, G.H.; Ogle, P.M.; Su, K.Y.L.; Balog, Z. Infrared Spectra and Photometry Of Complete Samples of Palomar-Green and Two Micron All Sky Survey Quasars. Astrophys. J. Suppl. 2014, 214, 23–39. [Google Scholar] [CrossRef]
- Calzetti, D. Star Formation Rate Indicators. In Secular Evolution of Galaxies; Falcón-Barroso, J., Knapen, J.H., Eds.; Cambridge University Press: Cambridge, UK, 2013; pp. 419–459. [Google Scholar]
- Hernán-Caballero, A.; Spoon, H.W.W.; Alonso-Herrero, A.; Hatziminaoglou, E.; Magdis, G.E.; Pérez-González, P.G.; Pereira-Santaella, M.; Arribas, S.; Cortzen, I.; Labiano, Á.; et al. Extinction in the 11.2 µm PAH band and the low L11.2/LIR in ULIRGs. Mon. Not. R. Astron. Soc. 2020, 497, 4614–4625. [Google Scholar] [CrossRef]
- Xie, Y.; Ho, L.C.; Zhuang, M.-Y.; Shangguan, J. The Infrared Emission and Vigorous Star Formation of Low-redshift Quasars. Astrophys. J. 2021, 910, 124–134. [Google Scholar] [CrossRef]
- De Grijp, M.H.K.; Miley, G.K.; Lub, J.; de Jong, T. Infrared Seyferts: A new population of active galaxies? Nature 1985, 314, 240–242. [Google Scholar] [CrossRef]
- Alonso-Herrero, A.; García-Burillo, S.; Pereira-Santaella, M.; Davies, R.I.; Combes, F.; Vestergaard, M.; Raimundo, S.I.; Bunker, A.; Díaz-Santos, T.; Gandhi, P.; et al. Nuclear molecular outflow in the Seyfert galaxy NGC 3227. Astron. Astrophys. 2019, 628, 65–81. [Google Scholar] [CrossRef]
- García-Burillo, S.; Combes, F.; Ramos Almeida, C.; Usero, A.; Alonso-Herrero, A.; Hunt, L.K.; Rouan, D.; Aalto, S.; Querejeta, M.; Viti, S.; et al. ALMA images the many faces of the NGC 1068 torus and its surroundings. Astron. Astrophys. 2019, 632, 61–88. [Google Scholar] [CrossRef]
- Gámez Rosas, V.; Jacob, W.; Isbell, J.W.; Jaffe, W.; Petrov, R.G.; Leftley, J.H.; Hofmann, K.-H.; Millour, F.; Burtscher, L.; Meisenheimer, K.; et al. Thermal imaging of dust hiding the black hole in NGC 1068. Nature 2022, 602, 403–407. [Google Scholar] [CrossRef] [PubMed]
- Isbell, J.W.; Meisenheimer, K.; Pott, J.-U.; Stalevski, M.; Tristram, K.R.W.; Sanchez-Bermudez, J.; Hofmann, K.-H.; Gámez Rosas, V.; Jaffe, W.; Burtscher, L.; et al. The dusty heart of Circinus: I. Imaging the circumnuclear dust in N-band. arXiv 2022, arXiv:2205.01575. [Google Scholar] [CrossRef]
- Ballantyne, D.R.; Shi, Y.; Rieke, G.H.; Donley, J.L.; Papovich, C.; Rigby, J.R. Does the AGN Unified Model Evolve with Redshift? Using the X-Ray Background to Predict the Mid-Infrared Emission of AGNs. Astrophys. J. 2006, 653, 1070–1088. [Google Scholar] [CrossRef]
- McKinney, J.; Hayward, C.C.; Rosenthal, L.J.; Martínez-Galarza, J.R.; Pope, A.; Sajina, A.; Smith, H.A. Dust-enshrouded AGNs Can Dominate Host-galaxy-scale Cold Dust Emission. Astrophys. J. 2021, 951, 55–64. [Google Scholar] [CrossRef]
- Roebuck, E.; Sajina, A.; Hayward, C.C.; Pope, A.; Kirkpatrick, A.; Hernquist, L.; Yan, L. The Role of Star Formation and AGN in Dust Heating of z=0.3-2.8 Galaxies–II. Informing IR AGN Fraction Estimates through Simulations. Astrophys. J. 2016, 833, 60–73. [Google Scholar] [CrossRef]
- Dale, D.A.; Cook, D.O.; Roussel, H.; Turner, J.A.; Armus, L.; Bolatto, A.D.; Boquien, M.; Brown, M.J.I.; Calzetti, D.; De Looze, I.; et al. Updated 34-band Photometry for the SINGS/KINGFISH Samples of Nearby Galaxies. Astrophys. J. 2017, 837, 90–109. [Google Scholar] [CrossRef]
- Skibba, R.A.; Engelbracht, C.W.; Dale, D.A.; Hinz, J.; Zibetti, S.; Crocker, A.; Groves, B.; Hunt, L.; Johnson, B.D.; Meidt, S.; et al. The Emission by Dust and Stars of Nearby Galaxies in the Herschel KINGFISH Survey. Astrophys. J. 2011, 739, 89–106. [Google Scholar] [CrossRef]
- Netzer, H.; Mor, R.; Trakhtenbrot, B.; Shemmer, O.; Lira, P. Star Formation and Black Hole Growth at z = 4.8. Astrophys. J. 2014, 791, 34–48. [Google Scholar] [CrossRef][Green Version]
- Netzer, H.; Lani, C.; Nordon, R.; Trakhtenbrot, B.; Lira, P.; Shemmer, O. Star Formation Black Hole Growth and Dusty Tori in the Most Luminous AGNs at z = 2–3.5. Astrophys. J. 2016, 819, 123–145. [Google Scholar] [CrossRef]
- Symeonidis, M. What produces the far-infrared/submillimetre emission in the most luminous QSOs? Mon. Not. R. Astron. Soc. 2017, 465, 1401–1408. [Google Scholar] [CrossRef]
- Güver, T.; Özel, F. The relation between optical extinction and hydrogen column density in the Galaxy. Mon. Not. R. Astron. Soc. 2009, 400, 2050–2053. [Google Scholar] [CrossRef]
- Severgnini, P.; Caccianiga, A.; Della Ceca, R. A new technique to efficiently select Compton-thick AGN. Astron. Astrophys. 2012, 542, 46–54. [Google Scholar] [CrossRef]
- Alberts, S.; Rujopakarn, W.; Rieke, G.H.; Jagannathan, P.; Nyland, K. Completing the Census of AGN in GOODS-S/HUDF: New Ultradeep Radio Imaging and Predictions for JWST. Astrophys. J. 2020, 901, 168–188. [Google Scholar] [CrossRef]
- Durré, M.; Mould, J. The AGN Ionization Cones of NGC 5728. I. Excitation and Nuclear Structure. Astrophys. J. 2018, 867, 149–174. [Google Scholar] [CrossRef]
- Armus, L.; Charmandaris, V.; Bernard-Salas, J.; Spoon, H.W.W.; Marshall, J.A.; Higdon, S.J.U.; Desai, V.; Teplitz, H.I.; Hao, L.; Devost, D.; et al. Observations of Ultraluminous Infrared Galaxies with the Infrared Spectrograph on the Spitzer Space Telescope. II. The IRAS Bright Galaxy Sample. Astrophys. J. 2007, 656, 148–167. [Google Scholar] [CrossRef]
- Levenson, N.A.; Sirocky, M.M.; Hao, L.; Spoon, H.W.W.; Marshall, J.A.; Elitzur, M.; Houck, J.R. Deep Mid-Infrared Silicate Absorption as a Diagnostic of Obscuring Geometry toward Galactic Nuclei. Astrophys. J. Lett. 2007, 654, L45–L48. [Google Scholar] [CrossRef]
- Nikutta, R.; Elitzur, M.; Lacy, M. On the 10 μm Silicate Feature in Active Galactic Nuclei. Astrophys. J. 2009, 707, 1550–1559. [Google Scholar] [CrossRef]
- Sirocky, M.M.; Levenson, N.A.; Elitzur, M.; Spoon, H.W.W.; Armus, L. Silicates in Ultraluminous Infrared Galaxies. Astrophys. J. 2008, 678, 729–743. [Google Scholar] [CrossRef]
- Marshall, J.A.; Elitzur, M.; Armus, L.; Diaz-Santos, T.; Charmandaris, V. The Nature of Deeply Buried Ultraluminous Infrared Galaxies: A Unified Model for Highly Obscured Dusty Galaxy Emission. Astrophys. J. 2018, 858, 59–78. [Google Scholar] [CrossRef]
- Spoon, H.W.W.; Marshall, J.A.; Houck, J.R.; Elitzur, M.; Hao, L.; Armus, L.; Brandl, B.R.; Charmandaris, V. Mid-Infrared Galaxy Classification Based on Silicate Obscuration and PAH Equivalent Width. Astrophys. J. Lett. 2007, 654, L49–L52. [Google Scholar] [CrossRef]
- Barcos-Muñoz, L.; Leroy, A.K.; Evans, A.S.; Condon, J.; Privon, G.C.; Thompson, T.A.; Armus, L.; Díaz-Santos, T.; Mazzarella, J.M.; Meier, D.S.; et al. A 33 GHz Survey of Local Major Mergers: Estimating the Sizes of the Energetically Dominant Regions from High-resolution Measurements of the Radio Continuum. Astrophys. J. 2017, 843, 117–143. [Google Scholar] [CrossRef]
- Iwasawa, K.; Sanders, D.B.; Teng, S.H.; Armus, L.; Evans, A.S.; Howell, J.H.; Komossa, S.; Mazzarella, J.M.; Petric, A.O.; Surace, J.A.; et al. C-GOALS: Chandra observations of a complete sample of luminous infrared galaxies from the IRAS Revised Bright Galaxy Survey. Astron. Astrophys. 2011, 529, 106–155. [Google Scholar] [CrossRef]
- Yamada, S.; Ueda, Y.; Tanimoto, A.; Imanishi, M.; Toba, Y.; Ricci, C.; Privon, G.C. Comprehensive Broadband X-Ray and Multiwavelength Study of Active Galactic Nuclei in 57 Local Luminous and Ultraluminous Infrared Galaxies Observed with NuSTAR and/or Swift/BAT. Astrophys. J. Suppl. 2021, 257, 61–128. [Google Scholar] [CrossRef]
- Eisenhardt, P.R.M.; Wu, J.; Tsai, C.-W.; Assef, R.; Benford, D.; Blain, A.; Bridge, C.; Condon, J.J.; Cushing, M.C.; Cutri, R.; et al. The First Hyper-luminous Infrared Galaxy Discovered by WISE. Astrophys. J. 2012, 755, 173–183. [Google Scholar] [CrossRef]
- Wu, J.; Tsai, C.-W.; Sayers, J.; Benford, D.; Bridge, C.; Blain, A.; Eisenhardt, P.R.M.; Stern, D.; Petty, S.; Assef, R.; et al. Submillimeter Follow-up of WISE-selected Hyperluminous Galaxies. Astrophys. J. 2012, 756, 96–109. [Google Scholar] [CrossRef]
- Tsai, C.-W.; Eisenhardt, P.R.M.; Wu, J.; Stern, D.; Assef, R.J.; Blain, A.W.; Bridge, C.R.; Benford, D.J.; Cutri, R.M.; Griffith, R.L.; et al. The Most Luminous Galaxies Discovered by WISE. Astrophys. J. 2015, 805, 90–104. [Google Scholar] [CrossRef]
- Ross, N.P.; Hamann, F.; Zakamska, N.L.; Richards, G.T.; Villforth, C.; Strauss, M.A.; Greene, J.E.; Alexandroff, R.; Brandt, W.N.; Liu, G.; et al. Extremely red quasars from SDSS, BOSS and WISE: Classification of optical spectra. Mon. Not. R. Astron. Soc. 2015, 453, 3932–3952. [Google Scholar] [CrossRef]
- Yan, W.; Hickox, R.C.; Hainline, K.N.; Stern, D.; Lansbury, G.; Alexander, D.M.; Hviding, R.E.; Assef, R.J.; Ballantyne, D.R.; Dipompeo, M.A.; et al. NuSTAR and Keck Observations of Heavily Obscured Quasars Selected by WISE. Astrophys. J. 2019, 870, 33–43. [Google Scholar] [CrossRef]
- Vito, F.; Brandt, W.N.; Stern, D.; Assef, R.J.; Chen, C.-T.J.; Brightman, M.; Comastri, A.; Eisenhardt, P.; Garmire, G.P.; Hickox, R.; et al. Heavy X-ray obscuration in the most luminous galaxies discovered by WISE. Mon. Not. R. Astron. Soc. 2018, 474, 4528–4540. [Google Scholar] [CrossRef]
- Zappacosta, L.; Piconcelli, E.; Duras, F.; Vignali, C.; Valiante, R.; Bianchi, S.; Bongiorno, A.; Fiore, F.; Feruglio, C.; Lanzuisi, G.; et al. The hyperluminous Compton-thick z ∼ 2 quasar nucleus of the hot DOG W1835+4355 observed by NuSTAR. Astron. Astrophys. 2018, 618, 28–38. [Google Scholar] [CrossRef]
- Finnerty, L.; Larson, K.; Soifer, B.T.; Armus, L.; Matthews, K.; Jun, H.D.; Moon, D.-S.; Melbourne, J.; Gomez, P.; Tsai, C.-W.; et al. Fast Outflows in Hot Dust-obscured Galaxies Detected with Keck/NIRES. Astrophys. J. 2020, 905, 16–35. [Google Scholar] [CrossRef]
- Hamann, F.; Zakamska, N.L.; Ross, N.; Paris, I.; Alexandroff, R.M.; Villforth, C.; Richards, G.T.; Herbst, H.; Brandt, W.N.; Cook, B.; et al. Extremely red quasars in BOSS. Mon. Not. R. Astron. Soc. 2017, 464, 3431–3463. [Google Scholar] [CrossRef]
- Calistro Rivera, G.; Alexander, D.M.; Rosario, D.J.; Harrison, C.M.; Stalevski, M.; Rakshit, S.; Fawcett, V.A.; Morabito, L.K.; Klindt, L.; Best, P.N.; et al. The multiwavelength properties of red QSOs: Evidence for dusty winds as the origin of QSO reddening. Astron. Astrophys. 2021, 649, A102–A122. [Google Scholar] [CrossRef]
- Jun, H.D.; Assef, R.J.; Bauer, F.E.; Blain, A.; Díaz-Santos, T.; Eisenhardt, P.R.M.; Stern, D.; Tsai, C.-W.; Wright, E.; Wu, J. Spectral Classification and Ionized Gas Outflows in z∼2 WISE-selected Hot Dustobscured Galaxies. Astrophys. J. 2020, 888, 110–131. [Google Scholar] [CrossRef]
- Zakamska, N.L.; Hamann, F.; Pâris, I.; Brandt, W.N.; Greene, J.E.; Strauss, M.A.; Villforth, C.; Wylezalek, D.; Alexandroff, R.M.; Ross, N.P. Discovery of extreme [O III] λ 5007 outflows in high-redshift red quasars. Mon. Not. R. Astron. Soc. 2016, 459, 3144–3160. [Google Scholar] [CrossRef]
- Martínez-Paredes, M.; Aretxaga, I.; González-Martín, O.; Alonso-Herrero, A.; Levenson, N.A.; Ramos Almeida, C.; López-Rodríguez, E. Quantifying Star Formation Activity in the Inner 1 kpc of Local MIR Bright QSOs. Astrophys. J. 2019, 871, 190–197. [Google Scholar] [CrossRef]
- Peletier, R.F.; Knapen, J.H.; Shlosman, I.; Pérez-Ramírez, D.; Nadeau, D.; Doyon, R.; Espinosa, J.M.R.; García, A.M.P. A Subarcsecond-Resolution Near-Infrared Study of Seyfert and “Normal” Galaxies. I. Imaging Data. Astrophys. J. Suppl. 1999, 125, 363–407. [Google Scholar] [CrossRef][Green Version]
- Winter, L.M.; Karen, T.; Lewis, K.T.; Koss, M.; Veilleux, S.; Keeney, B.; Mushotzky, R.F. Optical Spectral Properties of Swift Burst Alert Telescope Hard X-Ray-Selected Active Galactic Nuclei Sources. Astrophys. J. 2010, 710, 503–539. [Google Scholar] [CrossRef][Green Version]
- Lyu, J.; Rieke, G.H.; Alberts, S. The Contribution of Host Galaxies to the Infrared Energy Output of z ≳ 5.0 Quasars. Astrophys. J. 2016, 816, 85–107. [Google Scholar]
- McLeod, K.K.; Rieke, G.H. Near-Infrared Imaging of Low-Redshift Quasar Host Galaxies. II. High-Luminosity Quasars. ApJ 1994, 431, 137–146. [Google Scholar] [CrossRef]
- Uchiyama, Y.; Urry, C.M.; Cheung, C.C.; Jester, S.; Van Duyne, J.; Coppi, P.; Sambruna, R.M.; Takahashi, T.; Tavecchio, F.; Maraschi, L. Shedding New Light on the 3C 273 Jet with the Spitzer Space Telescope. Astrophys. J. 2006, 648, 910–921. [Google Scholar] [CrossRef]
- Urry, C.M.; Padovani, P. Unified Schemes for Radio-Loud Active Galactic Nuclei. PASP 1995, 107, 803–845. [Google Scholar] [CrossRef]
- Cleary, K.; Lawrence, C.R.; Marshall, J.A.; Hao, L.; Meier, D. Spitzer Observations of 3C Quasars and Radio Galaxies: Mid-Infrared Properties of Powerful Radio Sources. Astrophys. J. 2007, 660, 117–145. [Google Scholar] [CrossRef]
- Shi, Y.; Rieke, G.H.; Hines, D.C.; Neugebauer, G.; Blaylock, M.; Rigby, J.; Egami, E.; Gordon, K.D.; Alonso-Herrero, A. Far-Infrared Observations of Radio Quasars and FR II Radio Galaxies. Astrophys. J. 2005, 629, 88–99. [Google Scholar] [CrossRef][Green Version]
- Westhues, C.; Haas, M.; Barthel, P.; Wilkes, B.J.; Willner, S.P.; Kuraszkiewicz, J.; Podigachoski, P.; Leipski, C.; Meisenheimer, K.; Siebenmorgen, R.; et al. Star Formation in 3CR Radio Galaxies and Quasars at z < 1. Astrophys. J. 2016, 151, 120. [Google Scholar]
- Haas, M.; Willner, S.P.; Heymann, F.; Ashby, M.L.N.; Fazio, G.G.; Wilkes, B.J.; Chini, R.; Siebenmorgen, R. Near- and Mid-Infrared Photometry of High-Redshift 3CR Sources. Astrophys. J. 2008, 688, 122–127. [Google Scholar] [CrossRef][Green Version]
- Podigachoski, P.; Barthel, P.D.; Haas, M.; Leipski, C.; Wilkes, B.; Kuraszkiewicz, J.; Westhues, C.; Willner, S.P.; Ashby, M.L.N.; Chini, R.; et al. Star formation in z > 1 3CR host galaxies as seen by Herschel. Astron. Astrophys. 2015, 575, A80. [Google Scholar] [CrossRef]
- Brown, M.J.I.; Moustakas, J.; Smith, J.-D.T.; da Cunha, E.; Jarrett, T.H.; Imanishi, M.; Armus, L.; Brandl, B.R.; Peek, J.E.G. An Atlas of Galaxy Spectral Energy Distributions from the Ultraviolet to the Mid-infrared. Astrophys. J. Suppl. 2014, 212, 18–35. [Google Scholar] [CrossRef]
- Mannucci, F.; Basile, F.; Poggianti, B.M.; Cimatti, A.; Daddi, E.; Pozzetti, L.; Vanzi, L. Near-infrared template spectra of normal galaxies: K-corrections, galaxy models and stellar populations. Mon. Not. R. Astron. Soc. 2001, 326, 745–758. [Google Scholar] [CrossRef]
- Willner, S.P.; Ward, M.; Longmore, A.; Lawrence, A.; Fabbiano, G.; Elvis, M. JHKL photometry of the nuclei of normal spiral galaxies. Publ. Astron. Soc. Pac. 1984, 96, 143–147. [Google Scholar] [CrossRef]
- Da Cunha, E.; Charlot, S.; Elbaz, D. A simple model to interpret the ultraviolet, optical and infrared emission from galaxies. Mon. Not. R. Astron. Soc. 2008, 388, 1595–1617. [Google Scholar] [CrossRef]
- Lyu, B.; Wu, Q.; Yan, Z.; Yu, W.; Liu, H. WISE view of changing-look AGNs: Evidence for a transitional stage of AGNs. Astrophys. J. 2022, 927, 227–240. [Google Scholar] [CrossRef]
- Fritz, J.; Franceschini, A.; Hatziminaoglou, E. Revisiting the infrared spectra of active galactic nuclei with a new torus emission model. Mon. Not. R. Astron. Soc. 2006, 366, 767–786. [Google Scholar] [CrossRef]
- Nenkova, M.; Sirocky, M.M.; Nikutta, R.; Ivezić, Ž.; Elitzur, M. AGN Dusty Tori. II. Observational Implications of Clumpiness. Astrophys. J. 2008, 685, 160–180. [Google Scholar] [CrossRef]
- Siebenmorgen, R.; Heymann, F.; Efstathiou, A. Self-consistent two-phase AGN torus models: SED library for observers. Astron. Astrophys. 2015, 583, 120–137. [Google Scholar] [CrossRef]
- Stalevski, M.; Fritz, J.; Baes, M.; Nakos, T.; Popović, L.Č. 3D radiative transfer modelling of the dusty tori around active galactic nuclei as a clumpy two-phase medium. Mon. Not. R. Astron. Soc. 2012, 420, 2756–2772. [Google Scholar] [CrossRef]
- Azadi, M.; Wilkes, B.; Kuraszkiewicz, J.; McDowell, J.; Siebenmorgen, R.; Ashby, M.; Birkinshaw, M.; Worrall, D.; Abrams, N.; Barthel, P.; et al. Disentangling the AGN and star-formation contributions to the radio-X-ray emission of radio-loud quasars at 1 < z < 2. arXiv 2020, arXiv:2011.03130. [Google Scholar]
- Berta, S.; Lutz, D.; Santini, P.; Wuyts, S.; Rosario, D.; Brisbin, D.; Cooray, A.; Franceschini, A.; Gruppioni, C.; Hatziminaoglou, E.; et al. Panchromatic spectral energy distributions of Herschel sources. Astron. Astrophys. 2013, 551, 100–121. [Google Scholar] [CrossRef]
- Brown, A.; Nayyeri, H.; Cooray, A.; Ma, J.; Hickox, R.C.; Azadi, M. Infrared Contributions of X-Ray Selected Active Galactic Nuclei in Dusty Star-forming Galaxies. Astrophys. J. 2019, 871, 87–100. [Google Scholar] [CrossRef]
- Leja, J.; Johnson, B.D.; Conroy, C.; van Dokkum, P. Hot Dust in Panchromatic SED Fitting: Identification of Active Galactic Nuclei and Improved Galaxy Properties. Astrophys. J. 2018, 854, 62–80. [Google Scholar] [CrossRef]
- Pouliasis, E.; Mountrichas, G.; Georgantopoulos, I.; Ruiz, A.; Yang, M.; Bonanos, A.Z. An obscured AGN population hidden in the VIPERS galaxies: Identification through spectral energy distribution decomposition. Mon. Not. R. Astron. Soc. 2020, 495, 1853–1873. [Google Scholar] [CrossRef]
- Shangguan, J.; Ho, L.C.; Xie, Y. On the Gas Content and Efficiency of AGN Feedback in Low-redshift Quasars. Astrophys. J. 2018, 854, 158. [Google Scholar] [CrossRef]
- Yang, G.; Boquien, M.; Brandt, W.N.; Buat, V.; Burgarella, D.; Ciesla, L.; Lehmer, B.D.; Małek, K.; Mountrichas, G.; Papovich, C.; et al. Fitting AGN/Galaxy X-Ray-to-radio SEDs with CIGALE and Improvement of the Code. ApJ 2022, 927, 192–212. [Google Scholar] [CrossRef]
- Yang, Q.; Shen, Y.; Liu, X.; Aguena, M.; Annis, J.; Avila, S.; Banerji, M.; Bertin, E.; Brooks, D.; Burke, D.; et al. Dust Reverberation Mapping in Distant Quasars from Optical and Mid-infrared Imaging Surveys. Astrophys. J. 2020, 900, 58–74. [Google Scholar] [CrossRef]
- González-Martín, O.; Masegosa, J.; García-Bernete, I.; Ramos Almeida, C.; Rodríguez-Espinosa, J.M.; Márquez, I.; Esparza-Arredondo, D.; Osorio-Clavijo, N.; Martínez-Paredes, M.; Victoria-Ceballos, C.; et al. Exploring the Mid-infrared SEDs of Six AGN Dusty Torus Models. II. The Data. Astrophys. J. 2019, 884, 11–33. [Google Scholar] [CrossRef]
- Hernán-Caballero, A.; Alonso-Herrero, A.; Hatziminaoglou, E.; Spoon, H.W.W.; Ramos Almeida, C.; Díaz Santos, T.; Hönig, S.F.; González-Martín, O.; Esquej, P. Resolving the AGN and Host Emission in the Mid-infrared Using a Model-independent Spectral Decomposition. Astrophys. J. 2015, 803, 109. [Google Scholar] [CrossRef]
- Nardini, E.; Risaliti, G.; Salvati, M.; Sani, E.; Imanishi, M.; Marconi, A.; Maiolino, R. Spectral decomposition of starbursts and active galactic nuclei in 5–8 μm Spitzer-IRS spectra of local ultraluminous infrared galaxies. Mon. Not. R. Astron. Soc. 2008, 385, L130–L134. [Google Scholar] [CrossRef]
- Calistro Rivera, G.; Lusso, E.; Hennawi, J.F.; Hogg, D.W. AGNfitter: A Bayesian MCMC Approach to Fitting Spectral Energy Distributions of AGNs. Astrophys. J. 2016, 833, 98–117. [Google Scholar] [CrossRef]
- Lyu, J.; Alberts, S.; Rieke, G.H.; Rujopakarn, W. AGN Selection and Demographics in GOODS-S/HUDF from X-ray to Radio. Astrophys. J. 2022. submitted. [Google Scholar]
- Ichikawa, K.; Ricci, C.; Ueda, Y.; Bauer, F.E.; Kawamuro, T.; Koss, M.J.; Oh, K.; Rosario, D.J.; Shimizu, T.T.; Stalevski, M.; et al. BAT AGN Spectroscopic Survey. XI. The Covering Factor of Dust and Gas in Swift/BAT Active Galactic Nuclei. Astrophys. J. 2019, 870, 31. [Google Scholar] [CrossRef]
- Mullaney, J.R.; Pannella, M.; Daddi, E.; Alexander, D.M.; Elbaz, D.; Hickox, R.C.; Bournaud, F.; Altieri, B.; Aussel, H.; Coia, D.; et al. GOODS-Herschel: The far-infrared view of star formation in active galactic nucleus host galaxies since z ≈ 3. Mon. Not. R. Astron. Soc. 2012, 419, 95–115. [Google Scholar] [CrossRef]
- Ciesla, L.; Charmandaris, V.; Georgakakis, A.; Bernhard, E.; Mitchell, P.D.; Buat, V.; Elbaz, D.; LeFloc’h, E.; Lacey, C.G.; Magdis, G.E.; et al. Constraining the properties of AGN host galaxies with spectral energy distribution modelling. Astron. Astrophys. 2015, 576, 10–28. [Google Scholar] [CrossRef]
- De Rossi, M.E.; Rieke, G.H.; Shivaei, I.; Bromm, V.; Lyu, J. The Far-infrared Emission of the First Massive Galaxies. Astrophys. J. 2018, 869, 4–17. [Google Scholar] [CrossRef]
- Dai, Y.S.; Wilkes, B.J.; Bergeron, J.; Kuraszkiewicz, J.; Omont, A.; Atanas, A.; Teplitz, H.I. Is there a relationship between AGN and star formationin IR-bright AGNs? Mon. Not. R. Astron. Soc. 2018, 478, 4238–4254. [Google Scholar] [CrossRef]
- Zhang, Z.; Shi, Y.; Rieke, G.H.; Xia, X.; Wang, Y.; Sun, B.; Wan, L. Distributions of Quasar Hosts on the Galaxy Main Sequence Plane. Astrophys. J. Lett. 2016, 819, 27–32. [Google Scholar] [CrossRef]
- Hatcher, C.; Kirkpatrick, A.; Fornasini, F.; Civano, F.; Lambrides, E.; Kocesvski, D.; Carroll, C.M.; Giavalisco, M.; Hickox, R.; Ji, Z. Where Do Obscured AGN Fit in a Galaxy’s Timeline? Astrophys. J. 2021, 162, 65–77. [Google Scholar] [CrossRef]
- Li, J.; Xue, Y.; Sun, M.; Brandt, W.N.; Yang, G.; Vito, F.; Tozzi, P.; Vignali, C.; Comastri, A.; Shu, X.; et al. Piercing through Highly Obscured and Compton-thick AGNs in the Chandra Deep Fields. II. Are Highly Obscured AGNs the Missing Link in the Merger-triggered AGN-Galaxy Coevolution Models? Astrophys. J. 2020, 903, 49–66. [Google Scholar] [CrossRef]
- Rosario, D.J.; Trakhtenbrot, B.; Lutz, D.; Netzer, H.; Trump, J.R.; Silverman, J.D.; Schramm, M.; Lusso, E.; Berta, S.; Bongiorno, A.; et al. The mean star-forming properties of QSO host galaxies. Astron. Astrophys. 2013, 560, 72–85. [Google Scholar] [CrossRef]
- Santini, P.; Rosario, D.J.; Shao, L.; Lutz, D.; Maiolino, R.; Alexander, D.M.; Altieri, B.; Andreani, P.; Aussel, H.; Bauer, F.E.; et al. Enhanced star formation rates in AGN hosts with respect to inactive galaxies from PEP-Herschel observations. Astron. Astrophys. 2012, 540, A109–A128. [Google Scholar] [CrossRef]
- Ji, Z.; Giavalisco, M.; Kirkpatrick, A.; Kocevski, D.; Daddi, E.; Delvecchio, I.; Hatcher, C. AGN Selection Methods Have Profound Impacts on the Distributions of Host-galaxy Properties. Astrophys. J. 2022, 925, 74–99. [Google Scholar] [CrossRef]
- Barrows, R.S.; Comerford, J.M.; Stern, D.; Assef, R.J. A Catalog of Host Galaxies for WISE-selected AGN: Connecting Host Properties with Nuclear Activity and Identifying Contaminants. Astrophys. J. 2021, 922, 179–193. [Google Scholar] [CrossRef]
- Polimera, M.; Sarajedini, V.; Ashby, M.L.N.; Willner, S.P.; Fazio, G.G. Morphologies of mid-IR variability-selected AGN host galaxies. Mon. Not. R. Astron. Soc. 2018, 476, 1111–1119. [Google Scholar] [CrossRef]
- Kocevski, D.D.; Faber, S.M.; Mozena, M.; Koekemoer, A.M.; Nandra, K.; Rangel, C.; Laird, E.S.; Brusa, M.; Wuyts, S.; Trump, J.R.; et al. CANDELS: Constraining the AGN-Merger Connection with Host Morphologies at z∼2. Astrophys. J. 2012, 744, 148–156. [Google Scholar] [CrossRef]
- Kocevski, D.D.; Brightman, M.; Nandra, K.; Koekemoer, A.M.; Salvato, M.; Aird, J.; Bell, E.F.; Hsu, L.-T.; Kartaltepe, J.S.; Koo, D.C.; et al. Are Compton-thick AGNs the Missing Link between Mergers and Black Hole Growth? Astrophys. J. 2015, 814, 104–115. [Google Scholar] [CrossRef]
- Shah, E.A.; Kartaltepe, J.S.; Magagnoli, C.T.; Cox, I.G.; Wetherell, C.T.; Vanderhoof, B.N.; Calabro, A.; Chartab, N.; Conselice, C.J.; Croton, D.J.; et al. Investigating the Effect of Galaxy Interactions on the Enhancement of Active Galactic Nuclei at 0.5 < z < 3.0. Astrophys. J. 2020, 904, 107–127. [Google Scholar]
- Dahmer-Hahn, L.G.; Riffel, R.; Rodríguez-Ardila, A.; Riffel, R.A.; Storchi-Bergmann, T.; Marinello, M.; Davies, R.I.; Burtscher, L.; Ruschel-Dutra, D.; Rosario, D.J. Stellar populations in local AGNs: Evidence for enhanced star formation in the inner 100 pc. Mon. Not. R. Astron. Soc. 2022, 509, 4653–4668. [Google Scholar] [CrossRef]
- Zhuang, M.-Y.; Ho, L.C. The Interplay between Star Formation and Black Hole Accretion in Nearby Active Galaxies. Astrophys. J. 2020, 896, 108–120. [Google Scholar] [CrossRef]
- Suh, H.; Civano, F.; Hasinger, G.; Lusso, E.; Marchesi, S.; Schulze, A.; Onodera, M.; Rosario, D.J.; Sanders, D.B. Multi-wavelength Properties of Type 1 and Type 2 AGN Host Galaxies in the Chandra-COSMOS Legacy Survey. Astrophys. J. 2019, 872, 168–185. [Google Scholar] [CrossRef]
- Maiolino, R.; Ruiz, M.; Rieke, G.H.; Keller, L.D. New Constraints on the Unified Model of Seyfert Galaxies. Astrophys. J. 1995, 446, 561–573. [Google Scholar] [CrossRef]
- Buchanan, C.L.; Gallimore, J.F.; O’Dea, C.P.; Baum, S.A.; Axon, D.J.; Robinson, A.; Elitzur, M.; Elvis, M. Spitzer IRS Spectra of a Large Sample of Seyfert Galaxies: A Variety of Infrared Spectral Energy Distributions in the Local Active Galactic Nucleus Population. Astrophys. J. 2006, 132, 401–409. [Google Scholar]
- Meléndez, M.; Kraemer, S.B.; Schmitt, H.R.; Crenshaw, D.M.; Deo, R.P.; Mushotzky, R.F.; Bruhweiler, F.C. Constraining the Active Galactic Nucleus Contribution in a Multiwavelength Study of Seyfert Galaxies. Astrophys. J. 2008, 689, 95–107. [Google Scholar] [CrossRef]
- Masoura, V.A.; Mountrichas, G.; Georgantopoulos, I.; Plionis, M. Relation between AGN type and host galaxy properties. Astron. Astrophys. 2021, 646, 167–177. [Google Scholar] [CrossRef]
- Nikutta, R.; Lopez-Rodriguez, E.; Ichikawa, K.; Levenson, N.A.; Packham, C.; Hönig, S.F.; Alonso-Herrero, A. Hypercubes of AGN Tori (HYPERCAT). I. Models and Image Morphology. Astrophys. J. 2021, 919, 136–156. [Google Scholar] [CrossRef]
- Zou, F.; Yang, G.; Brandt, W.N.; Xue, Y. The Host-galaxy Properties of Type 1 versus Type 2 Active Galactic Nuclei. Astrophys. J. 2019, 878, 11–26. [Google Scholar] [CrossRef]
- Kalfountzou, E. The Evolution of AGN and Their Host Galaxies. Ph.D. Thesis, University of Hertfordshire, Hertfordshire, UK, July 2015. [Google Scholar]
- Meidt, S.E.; Schinnerer, E.; van de Ven, G.; Zaritsky, D.; Peletier, R.; Knapen, J.H.; Sheth, K.; Regan, M.; Querejeta, M.; Muñoz-Mateos, J.-C.; et al. Reconstructing the Stellar Mass Distributions of Galaxies Using S4G IRAC 3.6 and 4.5 μm Images. II. The Conversion from Light to Mass. Astrophys. J. 2014, 788, 144–155. [Google Scholar] [CrossRef]
- Wen, X.Q.; Wu, H.; Zhu, Y.N.; Lam, M.I.; Wu, C.J.; Wicker, J.; Zhao, Y.H. The stellar masses of galaxies from the 3.4 μm band of the WISE All-Sky Survey. Mon. Not. R. Astron. Soc. 2013, 433, 2946–2957. [Google Scholar] [CrossRef]
- Rieke, G.H.; Alonso-Herrero, A.; Weiner, B.J.; Pérez-González, P.G.; Blaylock, M.; Donley, J.L.; Marcillac, D. Determining Star Formation Rates for Infrared Galaxies. Astrophys. J. 2009, 692, 556–573. [Google Scholar] [CrossRef]
- Sitko, M.L.; Sitko, A.K.; Siemiginowska, A.; Szczerba, R. Multifrequency Observations of the Optically Active Radio-quiet Quasar GQ Comae. II. Ultraviolet, Optical, and Infrared Continuum Variability. Astrophys. J. 1993, 409, 139–148. [Google Scholar] [CrossRef]
- Horne, K.; Peterson, B.M.; Collier, S.J.; Netzer, H. Observational Requirements for High-Fidelity Reverberation Mapping. Publ. Astron. Soc. Pac. 2004, 116, 465–476. [Google Scholar] [CrossRef]
- Kozłowski, S. Limitations on the recovery of the true AGN variability parameters using damped random walk modeling. Astron. Astrophys. 2017, 597, 128–134. [Google Scholar] [CrossRef]
- Lyuty, V.M.; Taranova, O.G.; Shenavrin, V.I. Nuclear variability of NGC 4151 in UVB and JHKL: A new cycle of activity. Ast. Let. 1998, 24, 199–205. [Google Scholar]
- Oknyansky, V.L.; Shenavrin, V.I.; Metlova, N.V.; Gaskell, C.M. Additional Support for Relative Wavelength Independence of IR Lags in NGC 4151 Over the Past Decade. Odessa Astron. Publ. 2018, 31, 94–99. [Google Scholar] [CrossRef]
- Shenavrin, V.I.; Taranova, O.G.; Nadzhip, A.E. Search for and study of hot circumstellar dust envelopes. Ast. Rep. 2011, 55, 31–81. [Google Scholar] [CrossRef]
- Taranova, O.G.; Shenavrin, V.I. Activity of the Seyfert galaxy NGC 4151 in the near-IR in 1994–2011. Ast. Rep. 2013, 57, 71–83. [Google Scholar] [CrossRef]
- Peterson, B.M.; Pogge, R.W.; Wanders, I.; Smith, S.M.; Romanishin, W. Aperture Effects and Limitations on the Accuracy of Ground-Based Spectrophotometry of Active Galactic Nuclei. Publ. Astron. Soc. Pac. 1995, 107, 759–769. [Google Scholar] [CrossRef][Green Version]
- Yoshii, Y.; Tomita, H.; Kobayashi, Y.; Deng, J.; Maeda, K.; Nomoto, K.; Mazzali, P.A.; Umeda, H.; Aoki, T.; Doi, M.; et al. The Optical/Near-Infrared Light Curves of SN 2002ap for the First 140 Days after Discovery. Astrophys. J. 2003, 592, 467–474. [Google Scholar] [CrossRef]
- Minezaki, T.; Yoshii, Y.; Kobayashi, Y.; Enya, K.; Suganuma, M.; Tomita, H.; Aoki, T.; Peterson, B.A. Inner Size of a Dust Torus in the Seyfert 1 Galaxy NGC 4151. Astrophys. J. Lett. 2004, 600, 35–38. [Google Scholar] [CrossRef]
- Suganuma, M.; Yoshii, Y.; Kobayashi, Y.; Minezaki, T.; Enya, K.; Tomita, H.; Aoki, T.; Koshida, S.; Peterson, B.A. Reverberation Measurements of the Inner Radius of the Dust Torus in Nearby Seyfert 1 Galaxies. Astrophys. J. 2006, 639, 46–63. [Google Scholar] [CrossRef]
- Koshida, S.; Minezaki, T.; Yoshii, Y.; Kobayashi, Y.; Sakata, Y.; Sugawara, S.; Enya, K.; Suganuma, M.; Tomita, H.; Aoki, T.; et al. Reverberation Measurements of the Inner Radius of the Dust Torus in 17 Seyfert Galaxies. Astrophys. J. 2014, 788, 159–179. [Google Scholar] [CrossRef]
- Minezaki, T.; Yoshii, Y.; Kobayashi, Y.; Sugawara, S.; Sakata, Y.; Enya, K.; Koshida, S.; Tomita, H.; Suganuma, M.; Aoki, T.; et al. Reverberation Measurements of the Inner Radii of the Dust Tori in Quasars. Astrophys. J. 2019, 856, 150–173. [Google Scholar] [CrossRef]
- Sobrino Figaredo, C.; Haas, M.; Ramolla, M.; Chini, R.; Blex, J.; Hodapp, K.W.; Murphy, M.; Kollatschny, W.; Chelouche, D.; Kaspi, S. Dust Reverberation of 3C 273: Torus Structure and Lag-Luminosity Relation. Astrophys. J. 2020, 159, 259–276. [Google Scholar]
- Landt, H.; Ward, M.J.; Kynoch, D.; Packham, C.; Ferland, G.J.; Lawrence, A.; Pott, J.-U.; Esser, J.; Horne, K.; Starkey, D.A.; et al. The first spectroscopic dust reverberation programme on active galactic nuclei: The torus in NGC 5548. Mon. Not. R. Astron. Soc. 2019, 489, 1572–1589. [Google Scholar] [CrossRef]
- Lira, P.; Arévalo, P.; Uttley, P.; McHardy, I.M.M.; Videla, L. Long-term monitoring of the archetype Seyfert galaxy MCG-6-30-15: X-ray, optical and near-IR variability of the corona, disc and torus. Mon. Not. R. Astron. Soc. 2015, 454, 368–379. [Google Scholar] [CrossRef]
- Lira, P.; Arévalo, P.; Uttley, P.; McHardy, I.M.M.; Videla, L. Optical and near-IR long-term monitoring of NGC 3783 and MR 2251-178: Evidence for variable near-IR emission from thin accretion discs. Mon. Not. R. Astron. Soc. 2011, 415, 1290–1303. [Google Scholar] [CrossRef]
- Pozo Nuñez, F.; Ramolla, M.; Westhues, C.; Haas, M.; Chini, R.; Steenbrugge, K.; Barr Domínguez, A.; Kaderhandt, L.; Hackstein, M.; Kollatschny, W.; et al. The broad-line region and dust torus size of the Seyfert 1 galaxy PGC 50427. Astron. Astrophys. 2015, 576, A73–A83. [Google Scholar] [CrossRef]
- Ramolla, M.; Haas, M.; Westhues, C.; Pozo Nuñez, F.; Sobrino Figaredo, C.; Blex, J.; Zetzl, M.; Kollatschny, W.; Hodapp, K.W.; Chini, R.; et al. Simultaneous Hα and dust reverberation mapping of 3C 120: Testing the bowl-shaped torus geometry. Astron. Astrophys. 2018, 620A, A137–A152. [Google Scholar] [CrossRef]
- Mandal, A.K.; Rakshit, S.; Kurian, K.S.; Stalin, C.S.; Mathew, B.; Hoenig, S.; Gandhi, P.; Sagar, R.; Pandge, M.B. Determination of the size of the dust torus in H0507+164 through optical and infrared monitoring. Mon. Not. R. Astron. Soc. 2018, 475, 5330–5337. [Google Scholar] [CrossRef]
- Mandal, A.K.; Rakshit, S.; Stalin, C.S.; Wylezalek, D.; Patig, M.K.; Sagar, R.; Mathew, B.; Muneer, S.; Pal, I. Dust reverberation mapping of Z229-15. Mon. Not. R. Astron. Soc. 2021, 501, 3905–3915. [Google Scholar] [CrossRef]
- Vazquez, B.; Galianni, P.; Richmond, M.; Robinson, A.; Axon, D.J.; Horne, K.; Almeyda, T.; Fausnaugh, M.; Peterson, B.M.; Bottorff, M.; et al. Spitzer Space Telescope Measurements of Dust Reverberation Lags in the Seyfert 1 Galaxy NGC 6418. ApJ 2015, 801, 127. [Google Scholar] [CrossRef]
- Jun, H.D.; Stern, D.; Graham, M.J.; Djorgovski, S.G.; Mainzer, A.; Cutri, R.M.; Drake, A.J.; Mahabal, A.A. Infrared Time Lags for the Periodic Quasar PG 1302-102. Astrophys. J. Lett. 2015, 814, 12–16. [Google Scholar] [CrossRef]
- Noda, H.; Kawamuro, T.; Kokubo, M.; Minezaki, T. Dust reverberation mapping of type 2 AGN NGC 2110 realized with X-ray and 3-5 μm IR monitoring. Mon. Not. R. Astron. Soc. 2020, 495, 2921–2929. [Google Scholar] [CrossRef]
- Dexter, J.; Shangguan, J.; Hönig, S.; Kishimoto, M.; Lutz, D.; Netzer, H.; Davies, R.; Sturm, E.; Pfuhl, O.; Amorim, A.; et al. The resolved size and structure of hot dust in the immediate vicinity of AGN. Astron. Astrophys. 2020, 635, 92–105. [Google Scholar]
- Pfuhl, O.; Davies, R.; Dexter, J.; Netzer, H.; Hönig, S.; Lutz, D.; Schartmann, M.; Sturm, E.; Amorim, A.; Brandner, W.; et al. An image of the dust sublimation region in the nucleus of NGC 1068. Astron. Astrophys. 2020, 634, 1–12. [Google Scholar]
- Amorim, A.; Bauböck, M.; Brandner, W.; Bolzer, M.; Clénet, Y.; Davies, R.; de Zeeuw, P.T.; Dexter, J.; Drescher, A.; Eckart, A.; et al. The central parsec of NGC 3783: A rotating broad emission line region, asymmetric hot dust structure, and compact coronal line region. Astron. Astrophys. 2021, 648, 117–140. [Google Scholar]
- Oknyansky, V.L.; Gaskell, C.M.; Shimanovskaya, E.V. The Relative Wavelength Independence of IR Lags in Active Galactic Nuclei: Implications for the Distribution of the Hot Dust. Odessa Astron. Publ. 2015, 28, 175–180. [Google Scholar] [CrossRef][Green Version]
- Koshida, S.; Yoshii, Y.; Kobayashi, Y.; Minezaki, T.; Sakata, Y.; Sugawara, S.; Enya, K.; Suganuma, M.; Tomita, H.; Aoki, T.; et al. Variation of Inner Radius of Dust Torus in NGC4151. Astrophys. J. Lett. 2009, 700, 109–113. [Google Scholar] [CrossRef]
- Oknyanskij, V.L.; Lyuty, V.M.; Taranova, O.G.; Shenavrin, V.I. Correlation between the infrared and optical variations of NGC 4151 in 30 years: Change in the sizes of the infrared source. Astron. Lett. 1999, 25, 483–492. [Google Scholar]
- Hönig, S.F.; Watson, D.; Kishimoto, M.; Hjorth, J. A dust-parallax distance of 19 megaparsecs to the supermassive black hole in NGC 4151. Nature 2014, 515, 528–530. [Google Scholar] [CrossRef]
- Burtscher, L.; Jaffe, W.; Raban, D.; Meisenheimer, K.; Tristram, K.R.W.; Röttgering, H. Dust Emission from a Parsec-Scale Structure in the Seyfert 1 Nucleus of NGC 4151. Astrophys. J. Lett. 2009, 705, 53–57. [Google Scholar] [CrossRef]
- Almeyda, T.R. Dusty Donuts: Modeling the Reverberation Response of the Circumnuclear Dusty Torus Emission in AGN. Ph.D. Thesis, Rochester Institute of Technology, Rochester, NY, USA, 2017. [Google Scholar]
- Almeyda, T.R.; Robinson, A.; Richmond, M.; Nikutta, R.; McDonough, B. Modeling the Infrared Reverberation Response of the Circumnuclear Dusty Torus in AGNs: An Investigation of Torus Response Functions. Astrophys. J. 2020, 891, 26–63. [Google Scholar] [CrossRef]
- Shakura, N.I.; Sunyaev, R.A. Black holes in binary systems. Observational appearance. Astron. Astrophys. 1973, 24, 33–51. [Google Scholar]
- Gaskell, C.M. Accretion Disks and the Nature and Origin of AGN Continuum Variability. Nucl. Reg. Host Galaxy Environ. Act. Galaxies 2008, 32, 1–11. [Google Scholar]
- Kishimoto, M.; Antonucci, R.; Blaes, O.; Lawrence, A.; Boisson, C.; Albrecht, M.; Leipski, C. The characteristic blue spectra of accretion disks in quasars as uncovered in the infrared. Nature 2008, 454, 492–494. [Google Scholar] [CrossRef]
- García-Bernete, I.; Ramos Almeida, C.; Alonso-Herrero, A.; Ward, M.J.; Acosta-Pulido, J.A.; Pereira-Santaella, M.; Hernán-Caballero, A.; Asensio Ramos, A.; González-Martín, O.; Levenson, N.A.; et al. Torus model properties of an ultra-hard X-ray selected sample of Seyfert galaxies. Mon. Not. R. Astron. Soc. 2019, 486, 4917–4935. [Google Scholar] [CrossRef]
- Schnülle, K.; Pott, J.-U.; Rix, H.-W.; Peterson, B.M.; De Rosa, G.; Shappee, B. Monitoring the temperature and reverberation delay of the circumnuclear hot dust in NGC 4151. Astron. Astrophys. 2015, 578, A57–A74. [Google Scholar] [CrossRef]
- Osterbrock, D.E.; De Robertis, M.M. Optical spectra of IRAS “warm” galaxies. Publ. Astron. Soc. Pac. 1985, 97, 1129–1141. [Google Scholar] [CrossRef]
- Cutri, R.M.; Nelson, B.O.; Huchra, J.P.; Smith, P.S. The 2MASS Red AGN Survey. Bull. Am. Astron. Soc. 2000, 197, ID 74.08. [Google Scholar] [CrossRef]
- Laurent, O.; Mirabel, I.F.; Charmandaris, V.; Gallais, P.; Madden, S.C.; Sauvage, M.; Vigroux, L.; Cesarsky, C. Mid-infrared diagnostics to distinguish AGNs from starbursts. Astron. Astrophys. 2000, 359, 887–899. [Google Scholar]
- Leipski, C.; Haas, M.; Meusinger, H.; Siebenmorgen, R.; Chini, R.; Scheyda, C.M.; Albrecht, M.; Wilkes, B.J.; Huchra, J.P.; Ott, S.; et al. The ISO-2MASS AGN survey: On the type-1 sources. Astron. Astrophys. 2005, 440, L5–L8. [Google Scholar] [CrossRef][Green Version]
- Lacy, M.; Storrie-Lombardi, L.J.; Sajina, A.; Appleton, P.N.; Armus, L.; Chapman, S.C.; Choi, P.I.; Fadda, D.; Fang, F.; Frayer, D.T.; et al. Obscured and Unobscured Active Galactic Nuclei in the Spitzer Space Telescope First Look Survey. Astrophys. J. Suppl. 2004, 154, 166–169. [Google Scholar] [CrossRef]
- Stern, D.; Eisenhardt, P.; Gorjian, V.; Kochanek, C.S.; Caldwell, N.; Eisenstein, D.; Brodwin, M.; Brown, M.J.I.; Cool, R.; Dey, A.; et al. Mid-Infrared Selection of Active Galaxies. Astrophys. J. 2005, 631, 163–168. [Google Scholar] [CrossRef]
- İkiz, T.; Peletier, R.F.; Barthel, P.D.; Yeşilyaprak, C. Infrared-detected AGNs in the local Universe. Astron. Astrophys. 2020, 640, 68–77. [Google Scholar] [CrossRef]
- Veilleux, S.; Rupke, D.S.N.; Kim, D.-C.; Genzel, R.; Sturm, E.; Lutz, D.; Contursi, A.; Schweitzer, M.; Tacconi, L.J.; Netzer, H.; et al. Spitzer Quasar and Ulirg Evolution Study (QUEST). IV. Comparison of 1 Jy Ultraluminous Infrared Galaxies with Palomar-Green Quasars. Astrophys. J. Suppl. 2009, 182, 628–666. [Google Scholar] [CrossRef]
- Alonso-Herrero, A.; Pérez-González, P.G.; Alexander, D.M.; Rieke, G.H.; Rigopoulou, D.; Le Floc’h, E.; Barmby, P.; Papovich, C.; Rigby, J.R.; Bauer, F.E.; et al. Infrared Power-Law Galaxies in the Chandra Deep Field-South: Active Galactic Nuclei and Ultraluminous Infrared Galaxies. Astrophys. J. 2006, 640, 167–184. [Google Scholar] [CrossRef]
- Donley, J.L.; Rieke, G.H.; Pérez-González, P.G.; Rigby, J.R.; Alonso-Herrero, A. Spitzer Power-Law Active Galactic Nucleus Candidates in the Chandra Deep Field-North. Astrophys. J. 2007, 660, 167–190. [Google Scholar] [CrossRef][Green Version]
- Donley, J.L.; Koekemoer, A.M.; Brusa, M.; Capak, P.; Cardamone, C.N.; Civano, F.; Ilbert, O.; Impey, C.D.; Kartaltepe, J.S.; Miyaji, T.; et al. Identifying Luminous Active Galactic Nuclei in Deep Surveys: Revised IRAC Selection Criteria. Astrophys. J. 2012, 748, 142–163. [Google Scholar] [CrossRef]
- Hickox, R.C.; Jones, C.; Forman, W.R.; Murray, S.S.; Brodwin, M.; Brown, M.J.I.; Eisenhardt, P.R.; Stern, D.; Kochanek, C.S.; Eisenstein, D.; et al. A Large Population of Mid-Infrared-selected, Obscured Active Galaxies in the Boötes Field. Astrophys. J. 2007, 671, 1365–1387. [Google Scholar] [CrossRef]
- Del Moro, A.; Alexander, D.M.; Bauer, F.E.; Daddi, E.; Kocevski, D.D.; McIntosh, D.H.; Stanley, F.; Brandt, W.N.; Elbaz, D.; Harrison, C.M.; et al. Mid-infrared luminous quasars in the GOODS-Herschel fields: A large population of heavily obscured, Compton-thick quasars at z ≈ 2. Mon. Not. R. Astron. Soc. 2016, 456, 2105–2125. [Google Scholar] [CrossRef]
- Assef, R.J.; Stern, D.; Noirot, G.; Jun, H.D.; Cutri, R.M.; Eisenhardt, P.R.M. The WISE AGN Catalog. Astrophys. J. Suppl. 2018, 234, 23–44. [Google Scholar] [CrossRef]
- Asmus, D.; Greenwell, C.L.; Gandhi, P.; Boorman, P.G.; Aird, J.; Alexander, D.M.; Assef, R.J.; Baldi, R.D.; Davies, R.I.; Hönig, S.F.; et al. Local AGN survey (LASr): I. Galaxy sample, infrared colour selection, and predictions for AGN within 100 Mpc. Mon. Not. R. Astron. Soc. 2020, 494, 1784–1816. [Google Scholar] [CrossRef]
- Carroll, C.M.; Hickox, R.C.; Masini, A.; Lanz, L.; Assef, R.J.; Stern, D.; Chen, C.-T.J.; Ananna, T.T. A Large Population of Luminous Active Galactic Nuclei Lacking X-Ray Detections: Evidence for Heavy Obscuration? Astrophys. J. 2021, 908, 185–196. [Google Scholar] [CrossRef]
- Hainline, K.N.; Hickox, R.C.; Carroll, C.M.; Myers, A.D.; DiPompeo, M.A.; Trouille, L. A Spectroscopic Survey of WISE-selected Obscured Quasars with the Southern African Large Telescope. Astrophys. J. 2014, 795, 124–142. [Google Scholar] [CrossRef]
- Hviding, R.E.; Hickox, R.C.; Hainline, K.N.; Carroll, C.M.; DiPompeo, M.A.; Yan, W.; Jones, M.L. Characterizing the WISE-selected heavily obscured quasar population with optical spectroscopy from the Southern African Large Telescope. Mon. Not. R. Astron. Soc. 2018, 474, 1955–1969. [Google Scholar] [CrossRef]
- Jarrett, T.H.; Cohen, M.; Masci, F.; Wright, E.; Stern, D.; Benford, D.; Blain, A.; Carey, S.; Cutri, R.M.; Eisenhardt, P.; et al. The Spitzer-WISE Survey of the Ecliptic Poles. Astrophys. J. 2011, 735, 112–144. [Google Scholar] [CrossRef]
- Mateos, S.; Alonso-Herrero, A.; Carrera, F.J.; Blain, A.; Watson, M.G.; Barcons, X.; Braito, V.; Severgnini, P.; Donley, J.L.; Stern, D. Using the Bright Ultrahard XMM-Newton survey to define an IR selection of luminous AGN based on WISE colours. Mon. Not. R. Astron. Soc. 2012, 426, 3271–3281. [Google Scholar] [CrossRef]
- Secrest, N.J.; Dudik, R.P.; Dorland, B.N.; Zacharias, N.; Makarov, V.; Fey, A.; Frouard, J.; Finch, C. Identification of 1.4 Million Active Galactic Nuclei in the Mid-Infrared using WISE Data. Astrophys. J. Suppl. 2015, 221, 12–21. [Google Scholar] [CrossRef]
- Stern, D.; Assef, R.J.; Benford, D.J.; Blain, A.; Cutri, R.; Dey, A.; Eisenhardt, P.; Griffith, R.L.; Jarrett, T.H.; Lake, S.; et al. Mid-infrared Selection of Active Galactic Nuclei with the Wide-Field Infrared Survey Explorer. I. Characterizing WISE-selected Active Galactic Nuclei in COSMOS. Astrophys. J. 2012, 753, 30–47. [Google Scholar] [CrossRef]
- Hviding, R.E.; Hainline, K.N.; Rieke, M.; Juneau, S.; Lyu, J.; Pucha, R. A New Infrared Criterion for Selecting Active Galactic Nuclei to Lower Luminosities. AJ 2022, 163, 224–248. [Google Scholar] [CrossRef]
- Gandhi, P.; Horst, H.; Smette, A.; Hönig, S.; Comastri, A.; Gilli, R.; Vignali, C.; Duschl, W. Resolving the mid-infrared cores of local Seyferts. Astron. Astrophys. 2009, 502, 457–472. [Google Scholar] [CrossRef]
- Boorman, P.G.; Gandhi, P.; Alexander, D.M.; Annuar, A.; Ballantyne, D.R.; Bauer, F.; Boggs, S.E.; Brandt, W.N.; Brightman, M.; Christensen, F.E.; et al. IC 3639—A New Bona Fide Compton-Thick AGN Unveiled by NuSTAR. Astrophys. J. 2016, 833, 245–262. [Google Scholar] [CrossRef]
- LaMassa, S.M.; Yaqoob, T.; Boorman, P.G.; Tzanavaris, P.; Levenson, N.A.; Gandhi, P.; Ptak, A.F.; Heckman, T.M. NuSTAR Uncovers an Extremely Local Compton-thick AGN in NGC 4968. Astrophys. J. 2019, 887, 173–186. [Google Scholar] [CrossRef]
- Lam, A.; Malkan, M.; Wright, E. Far-infrared dust properties of highly dust-obscured active galactic nuclei from the AKARI and WISE all-sky surveys. PASJ 2019, 71, 9–24. [Google Scholar] [CrossRef]
- Kirkpatrick, A.; Pope, A.; Charmandaris, V.; Daddi, E.; Elbaz, D.; Hwang, H.S.; Pannella, M.; Scott, D.; Altieri, B.; Aussel, H.; et al. GOODS-Herschel: Separating High-redshift Active Galactic Nuclei and Star-forming Galaxies Using Infrared Color Diagnostics. Astrophys. J. 2013, 763, 123–134. [Google Scholar] [CrossRef]
- Kirkpatrick, A.; Alberts, S.; Pope, A.; Barro, G.; Bonato, M.; Kocevski, D.D.; Pérez-González, P.; Rieke, G.H.; Rodríguez-Muñoz, L.; Sajina, A.; et al. The AGN-Star Formation Connection: Future Prospects with JWST. Astrophys. J. 2017, 849, 111–125. [Google Scholar] [CrossRef]
- Messias, H.; Afonso, J.; Salvato, M.; Mobasher, B.; Hopkins, A.M. A New Infrared Color Criterion for the Selection of 0 < z < 7 AGNs: Application to Deep Fields and Implications for JWST Surveys. Astrophys. J. 2012, 754, 120–135. [Google Scholar]
- Satyapal, S.; Abel, N.P.; Secrest, N.J. Star-forming Galaxies as AGN Imposters? A Theoretical Investigation of the Mid-infrared Colors of AGNs and Extreme Starbursts. Astrophys. J. 2018, 858, 38–49. [Google Scholar] [CrossRef]
- Donley, J.L.; Rieke, G.H.; Pŕez-González, P.G.; Barro, G. Spitzer’s Contribution to the AGN Population. Astrophys. J. 2008, 687, 111–132. [Google Scholar] [CrossRef]
- Mendez, A.J.; Coil, A.L.; Aird, J.; Diamond-Stanic, A.M.; Moustakas, J.; Blanton, M.R.; Cool, R.J.; Eisenstein, D.J.; Wong, K.C.; Zhu, G. PRIMUS: Infrared and X-Ray AGN Selection Techniques at 0.2 < z < 1.2. Astrophys. J. 2013, 770, 40–64. [Google Scholar]
- Ananna, T.T.; Treister, E.; Urry, C.M.; Ricci, C.; Kirkpatrick, A.; LaMassa, S.; Buchner, J.; Civano, F.; Tremmel, M.; Marchesi, S. The Accretion History of AGNs. I. Supermassive Black Hole Population Synthesis Model. Astrophys. J. 2019, 871, 240–262. [Google Scholar] [CrossRef]
- Yang, G.; Papovich, C.; Bagley, M.B.; Buat, V.; Burgarella, D.; Dickinson, M.; Elbaz, D.; Finkelstein, S.L.; Fontana, A.; Grogin, N.A.; et al. JWST/MIRI Simulated Imaging: Insights into Obscured Star Formation and AGNs for Distant Galaxies in Deep Surveys. Astrophys. J. 2021, 908, 144–170. [Google Scholar] [CrossRef]
- Stalevski, M.; Ricci, C.; Ueda, Y.; Lira, P.; Fritz, J.; Baes, M. The dust covering factor in active galactic nuclei. Mon. Not. R. Astron. Soc. 2016, 458, 2288–2302. [Google Scholar] [CrossRef]
- Leja, J.; Johnson, B.D.; Conroy, C.; van Dokkum, P.G.; Byler, N. Deriving Physical Properties from Broadband Photometry with Prospector: Description of the Model and a Demonstration of its Accuracy Using 129 Galaxies in the Local Universe. Astrophys. J. 2017, 837, 170–204. [Google Scholar] [CrossRef]
- Rujopakarn, W.; Rieke, G.H.; Eisenstein, D.J.; Juneau, S. Morphology and Size Differences Between Local and High-redshift Luminous Infrared Galaxies. Astrophys. J. 2011, 726, 93–103. [Google Scholar] [CrossRef]
- Rujopakarn, W.; Rieke, G.H.; Weiner, B.J.; érez-González, P.; Rex, M.; Walth, G.L.; Kartaltepe, J.S. Mid-infrared Determination of Total Infrared Luminosity and Star Formation Rates of Local and High-redshift Galaxies. Astrophys. J. 2013, 767, 73–87. [Google Scholar] [CrossRef]
- Shipley, H.V.; Papovich, C.; Rieke, G.H.; Brown, M.J.I.; Moustakas, J. A New Star Formation Rate Calibration from Polycyclic Aromatic Hydrocarbon Emission Features and Application to High-redshift Galaxies. Astrophys. J. 2016, 818, 60–79. [Google Scholar] [CrossRef]
- Hunt, L.K.; Thuan, T.X.; Izotov, Y.I.; Sauvage, M. The Spitzer View of Low-Metallicity Star Formation. III. Fine-Structure Lines, Aromatic Features, and Molecules. Astrophys. J. 2010, 712, 164–187. [Google Scholar] [CrossRef]
- Secrest, N.J.; Satyapal, S. A Low Incidence of Mid-infrared Variability in Dwarf Galaxies. Astrophys. J. 2020, 900, 56–63. [Google Scholar] [CrossRef]
- Kozłowski, S.; Kochanek, C.S.; Ashby, M.L.N.; Assef, R.J.; Brodwin, M.; Eisenhardt, P.R.; Jannuzi, B.T.; Stern, D. Quasar Variability in the Mid-Infrared. Astrophys. J. 2016, 817, 119–132. [Google Scholar] [CrossRef]
- García-González, J.; Alonso-Herrero, A.; Pérez-González, P.G.; Hernán-Caballero, A.; Sarajedini, V.L.; Villar, V. Selection of AGN candidates in the GOODS-South Field through Spitzer/MIPS 24 μm variability. Mon. Not. R. Astron. Soc. 2015, 446, 3199–3223. [Google Scholar] [CrossRef][Green Version]
- Kozłowski, S.; Kochanek, C.S.; Stern, D.; Ashby, M.L.N.; Assef, R.J.; Bock, J.J.; Borys, C.; Brand, K.; Brodwin, M.; Brown, M.J.I.; et al. Mid-infrared Variability from the Spitzer Deep Wide-field Survey. Astrophys. J. 2010, 716, 530–543. [Google Scholar] [CrossRef][Green Version]
- Ward, C.; Gezari, S.; Nugent, P.; Bellm, E.C.; Dekany, R.; Drake, A.; Duev, D.A.; Graham, M.J.; Kasliwal, M.M.; Kool, E.C.; et al. Variability-selected intermediate mass black hole candidates in dwarf galaxies from ZTF and WISE. arXiv 2021, arXiv:2110.13098. [Google Scholar]
- Elmer, E.; Almaini, O.; Merrifield, M.; Hartley, W.G.; Maltby, D.T.; Lawrence, A.; Botti, I.; Hirst, P. Long-term NIR variability in the UKIDSS Ultra Deep Survey: A new probe of AGN activity at high redshift. Mon. Not. R. Astron. Soc. 2020, 493, 3026–3035. [Google Scholar] [CrossRef]
- Sheng, Z.; Wang, T.; Jiang, N.; Yang, C.; Yan, L.; Dou, L.; Peng, B. Mid-infrared Variability of Changing-look AGNs. Astrophys. J. Lett. 2017, 846, L7–L13. [Google Scholar] [CrossRef]
- LaMassa, S.M.; Cales, S.; Moran, E.C.; Myers, A.D.; Richards, G.T.; Eracleous, M.; Heckman, T.M.; Gallo, L.; Urry, C.M. The Discovery of the First “Changing Look” Quasar: New Insights Into the Physics and Phenomenology of Active Galactic Nucleus. Astrophys. J. 2015, 800, 144–153. [Google Scholar] [CrossRef]
- Stern, D.; McKernan, B.; Graham, M.J.; Ford, K.E.S.; Ross, N.P.; Meisner, A.M.; Assef, R.J.; Baloković, M.; Brightman, M.; Dey, A.; et al. A Mid-IR Selected Changing-look Quasar and Physical Scenarios for Abrupt AGN Fading. Astrophys. J. 2018, 864, 27–35. [Google Scholar] [CrossRef]
- Sheng, Z.; Wang, T.; Jiang, N.; Ding, J.; Cai, Z.; Guo, H.; Sun, L.; Dou, L.; Yang, C. Initial Results from a Systematic Search for Changing-look Active Galactic Nuclei Selected via Mid-infrared Variability. Astrophys. J. 2020, 889, 46–54. [Google Scholar] [CrossRef]
- Pouliasis, E. Identification of Active Galactic Nuclei through Different Selection Techniques. Ph.D. Thesis, National and Kapodistrian University of Athens, Athens, Greece, February 2020. [Google Scholar]
- Hagan, J.B.; Rieke, G.H.; Fox, O.D.; Noriega-Crespo, A.; Hines, D.C.; Cracraft, M.; García Marín, M. Cosmic-ray-related Signals from Detectors in Space: The Spitzer/IRAC Si:As IBC Devices. Publ. Astron. Soc. Pac. 2021, 133, 40–70. [Google Scholar] [CrossRef]
- Viaene, S.; Nersesian, A.; Fritz, J.; Verstocken, S.; Baes, M.; Bianchi, S.; Casasola, V.; Cassarà, L.; Clark, C.; Davies, J.; et al. High-resolution, 3D radiative transfer modelling. IV. AGN-powered dust heating in NGC 1068. Astron. Astrophys. 2020, 638, 150–166. [Google Scholar] [CrossRef]
- Hönig, S.F.; Kishimoto, M. Dusty Winds in Active Galactic Nuclei: Reconciling Observations with Models. Astrophys. J. Lett. 2017, 838, 20–25. [Google Scholar] [CrossRef]
- Williamson, D.; Hönig, S.; Venanzi, M. Radiation Hydrodynamics Models of Active Galactic Nuclei: Beyond the Central Parsec. Astrophys. J. 2020, 897, 26–45. [Google Scholar] [CrossRef]
- Maiolino, R.; Mannucci, F. De re metallica: The cosmic chemical evolution of galaxies. ARAA 2019, 27, 3–141. [Google Scholar] [CrossRef]
- Laha, S.; Markowitz, A.G.; Krumpe, M.; Nikutta, R.; Rothschild, R.; Saha, T. The Variable and Non-variable X-ray Absorbers in Compton-thin Type II Active Galactic Nuclei. Astrophys. J. 2020, 897, 55–120. [Google Scholar] [CrossRef]
- Markowitz, A.G.; Krumpe, M.; Nikutta, R. First X-ray-based statistical tests for clumpy-torus models: Eclipse events from 230 years of monitoring of Seyfert AGN. Mon. Not. R. Astron. Soc. 2014, 439, 1403–1458. [Google Scholar] [CrossRef]
- Buchner, J.; Brightman, M.; Nandra, K.; Nikutta, R.; Bauer, F.E. X-ray spectral and eclipsing model of the clumpy obscurer in active galactic nuclei. Astron. Astrophys. 2019, 629, 16–29. [Google Scholar] [CrossRef]
- Poncelet, A.; Perrin, G.; Sol, H. A new analysis of the nucleus of NGC 1068 with MIDI observations. Astron. Astrophys. 2006, 450, 483–494. [Google Scholar] [CrossRef][Green Version]
- Krolik, J.H.; Begelman, M.C. Molecular Tori in Seyfert Galaxies: Feeding the Monster and Hiding It. Astrophys. J. 1988, 329, 702–711. [Google Scholar] [CrossRef]
- Tsuboi, M.; Kitamura, Y.; Uehara, K.; Tsutsumi, T.; Miyawaki, R.; Miyoshi, M.; Miyazaki, A. ALMA view of the circumnuclear disk of the Galactic Center: Tidally disrupted molecular clouds falling to the Galactic Center. PASJ 2018, 70, 85–115. [Google Scholar] [CrossRef]
- Alonso-Herrero, A.; Ramos, A.C.; Mason, R.; Asensio Ramos, A.; Roche, P.F.; Levenson, N.A.; Elitzur, M.; Packham, C.; Rodríguez Espinosa, J.M.; Young, S.; et al. Torus and Active Galactic Nucleus Properties of Nearby Seyfert Galaxies: Results from Fitting Infrared Spectral Energy Distributions and Spectroscopy. Astrophys. J. 2011, 736, 82–111. [Google Scholar] [CrossRef]
- Ramos Almeida, C.; Levenson, N.A.; Rodríguez Espinosa, J.M.; Alonso-Herrero, A.; Asensio Ramos, A.; Radomski, J.T.; Packham, C.; Fisher, R.S.; Telesco, C.M. The Infrared Nuclear Emission of Seyfert Galaxies on Parsec Scales: Testing the Clumpy Torus Models. Astrophys. J. 2009, 702, 1127–1149. [Google Scholar] [CrossRef]
- Ramos Almeida, C.; Levenson, N.A.; Alonso-Herrero, A.; Asensio Ramos, A.; Rodríguez Espinosa, J.M.; Pérez García, A.M.; Packham, C.; Mason, R.; Radomski, J.T.; Díaz-Santos, T. Testing the Unification Model for Active Galactic Nuclei in the Infrared: Are the Obscuring Tori of Type 1 and 2 Seyferts Different? Astrophys. J. 2011, 731, 92–115. [Google Scholar] [CrossRef]
- Hernán-Caballero, A.; Hatziminaoglou, E.; Alonso-Herrero, A.; Mateos, S. The near-to-mid infrared spectrum of quasars. Mon. Not. R. Astron. Soc. 2016, 463, 2064–2078. [Google Scholar] [CrossRef]
- Mor, R.; Netzer, H.; Elitzur, M. Dusty Structure Around Type-I Active Galactic Nuclei: Clumpy Torus Narrow-line Region and Near-nucleus Hot Dust. Astrophys. J. 2009, 705, 298–313. [Google Scholar] [CrossRef]
- Swain, S.; Shalima, P.; Latha, K.V.P.; Swamy, K.B.S. Hot graphite dust in the inner regime of NGC 4151. Mon. Not. R. Astron. Soc. 2021, 503, 5877–5893. [Google Scholar] [CrossRef]
- García-González, J.; Alonso-Herrero, A.; Hönig, S.F.; Hernán-Caballero, A.; Ramos Almeida, C.; Levenson, N.A.; Roche, P.F.; González-Martín, O.; Packham, C.; Kishimoto, M. A mid-infrared statistical investigation of clumpy torus model predictions. Mon. Not. R. Astron. Soc. 2017, 470, 2578–2598. [Google Scholar] [CrossRef]
- Hönig, S.F.; Kishimoto, M. Constraining properties of dusty environments by infrared variability. Astron. Astrophys. 2011, 534, 121–128. [Google Scholar] [CrossRef]
- Nikutta, R.; Lopez-Rodriguez, E.; Ichikawa, K.; Levenson, N.A.; Packham, C.; Hönig, S.F.; Alonso-Herrero, A. Hypercubes of AGN Tori (HYPERCAT). II. Resolving the Torus with Extremely Large Telescopes. Astrophys. J. 2021, 923, 127–143. [Google Scholar] [CrossRef]
- Elitzur, M. The toroidal obscuration of active galactic nuclei. New Astron. Rev. 2008, 52, 274–288. [Google Scholar] [CrossRef]
- Victoria-Ceballos, C.I.; González-Martín, O.; Fritz, J.; Ramos Almeida, C.; López-Rodríguez, E.; García-Burillo, S.; Alonso-Herrero, A.; Martínez-Paredes, M.; Esparza-Arredondo, D.; Osorio-Clavijo, N. The Complex Infrared Dust Continuum Emission of NGC 1068: Ground-based N- and Q-band Spectroscopy and New Radiative Transfer Models. ApJ 2022, 926, 192–211. [Google Scholar] [CrossRef]
- Wada, K. Radiation-driven Fountain and Origin of Torus around Active Galactic Nuclei. Astrophys. J. 2012, 758, 66. [Google Scholar] [CrossRef]
- Namekata, D.; Umemura, M. Sub-parsec-scale dynamics of a dusty gas disc exposed to anisotropic AGN radiation with frequency-dependent radiative transfer. Mon. Not. R. Astron. Soc. 2016, 460, 980–1018. [Google Scholar] [CrossRef]
- Takasao, S.; Shuto, Y.; Wada, K. Spontaneous Formation of Outflows Powered by Rotating Magnetized Accretion Flows in a Galactic Center. Astrophys. J. 2022, 926, 50–70. [Google Scholar] [CrossRef]
- Venanzi, M.; Hönig, S.; Williamson, D. The Role of Infrared Radiation Pressure in Shaping Dusty Winds in AGNs. Astrophys. J. 2020, 900, 174–185. [Google Scholar] [CrossRef]
- Vollmer, B.; Schartmann, M.; Burtscher, L.; Marin, F.; Hönig, S.; Davies, R.; Goosmann, R. Thick turbulent gas disks with magnetocentrifugal winds in active galactic nuclei. Model infrared emission and optical polarization. Astron. Astrophys. 2018, 615, 164–196. [Google Scholar] [CrossRef]
- Stalevski, M.; Tristram, K.R.W.; Asmus, D. Dissecting the active galactic nucleus in Circinus–II. A thin dusty disc and a polar outflow on parsec scales. Mon. Not. R. Astron. Soc. 2019, 484, 3334–3355. [Google Scholar] [CrossRef]
- Wang, J.-M.; Du, P.; Brotherton, M.S.; Hu, C.; Songsheng, Y.-Y.; Li, Y.-R.; Shi, Y.; Zhang, Z.-X. Tidally disrupted dusty clumps as the origin of broad emission lines in active galactic nuclei. Nat. Astron. 2017, 1, 775–783. [Google Scholar] [CrossRef]
- Khrykin, I.; Hennawi, J.F.; Worseck, G.; Davies, F.B. The first measurement of the quasar lifetime distribution. Mon. Not. R. Astron. Soc. 2021, 505, 649–662. [Google Scholar] [CrossRef]
- Hönig, S.F. Redefining the Torus: A Unifying View of AGNs in the Infrared and Submillimeter. Astrophys. J. 2019, 884, 171–183. [Google Scholar] [CrossRef]
- Hopkins, P.F.; Hernquist, L.; Cox, T.J.; Di Matteo, T.; Robertson, B.; Springel, V. A Unified, Merger-driven Model of the Origin of Starbursts, Quasars, the Cosmic X-Ray Background, Supermassive Black Holes, and Galaxy Spheroids. ApJS 2006, 163, 1–49. [Google Scholar] [CrossRef]
- Sanders, D.B.; Soifer, B.T.; Elias, J.H.; Madore, B.F.; Matthews, K.; Neugebauer, G.; Scoville, N.Z. Ultraluminous Infrared Galaxies and the Origin of Quasars. Astrophys. J. 1988, 325, 74. [Google Scholar] [CrossRef]
- Ricci, C.; Privon, G.C.; Pfeifle, R.W.; Armus, L.; Iwasawa, K.; Torres-Albà, N.; Satyapal, S.; Bauer, F.E.; Treister, E.; Ho, L.C.; et al. A hard X-ray view of luminous and ultra-luminous infrared galaxies in GOALS–I. AGN obscuration along the merger sequence. Mon. Not. R. Astron. Soc. 2021, 506, 5935–5950. [Google Scholar] [CrossRef]
- Hopkins, P.F.; Hayward, C.C.; Narayanan, D.; Hernquist, L. The origins of active galactic nuclei obscuration: The ’torus’ as a dynamical, unstable driver of accretion. Mon. Not. R. Astron. Soc. 2012, 420, 320–339. [Google Scholar] [CrossRef]
- Hopkins, P.F.; Torrey, P.; Faucher-Giguère, C.-A.; Quataert, E.; Murray, N. Stellar and quasar feedback in concert: Effects on AGN accretion, obscuration, and outflows. Mon. Not. R. Astron. Soc. 2016, 458, 816–831. [Google Scholar] [CrossRef]
- Trebitsch, M.; Volonteri, M.; Dubois, Y. Black hole obscuration and duty-cycles mediated by AGN feedback in high-redshift galaxies. Mon. Not. R. Astron. Soc. 2019, 487, 819–831. [Google Scholar] [CrossRef]












Publisher’s Note: MDPI stays neutral with regard to jurisdictional claims in published maps and institutional affiliations. |
© 2022 by the authors. Licensee MDPI, Basel, Switzerland. This article is an open access article distributed under the terms and conditions of the Creative Commons Attribution (CC BY) license (https://creativecommons.org/licenses/by/4.0/).
Share and Cite
Lyu, J.; Rieke, G. Infrared Spectral Energy Distribution and Variability of Active Galactic Nuclei: Clues to the Structure of Circumnuclear Material. Universe 2022, 8, 304. https://doi.org/10.3390/universe8060304
Lyu J, Rieke G. Infrared Spectral Energy Distribution and Variability of Active Galactic Nuclei: Clues to the Structure of Circumnuclear Material. Universe. 2022; 8(6):304. https://doi.org/10.3390/universe8060304
Chicago/Turabian StyleLyu, Jianwei, and George Rieke. 2022. "Infrared Spectral Energy Distribution and Variability of Active Galactic Nuclei: Clues to the Structure of Circumnuclear Material" Universe 8, no. 6: 304. https://doi.org/10.3390/universe8060304
APA StyleLyu, J., & Rieke, G. (2022). Infrared Spectral Energy Distribution and Variability of Active Galactic Nuclei: Clues to the Structure of Circumnuclear Material. Universe, 8(6), 304. https://doi.org/10.3390/universe8060304

