GRB 181110A: Constraining the Jet Structure, Circumburst Medium and the Initial Lorentz Factor
Abstract
:1. Introduction
2. Observations and Data
3. Analysis
3.1. Afterglow Light Curve Modeling
3.2. Spectral Analysis
3.2.1. Prompt Emission Spectral Analysis
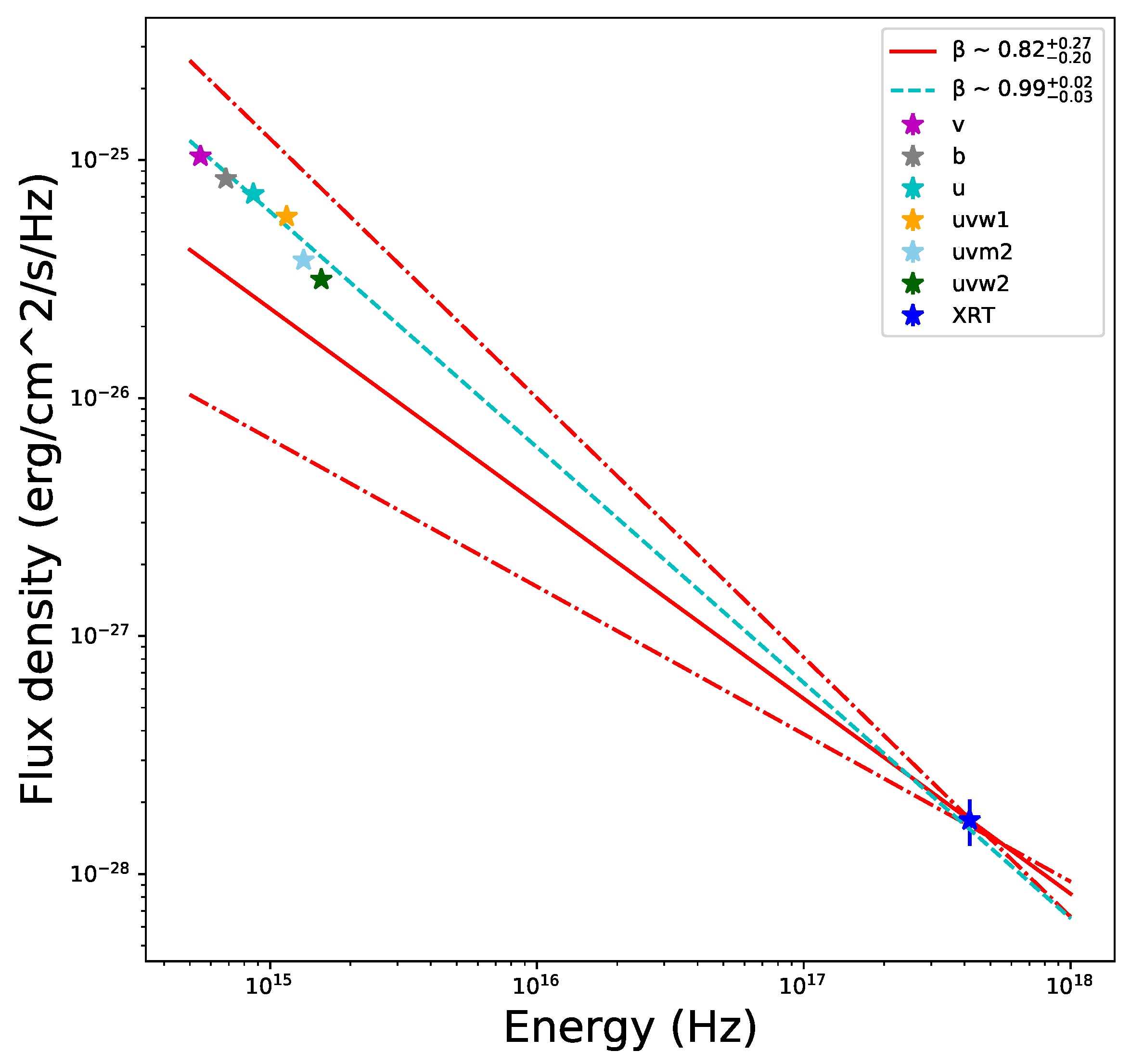
3.2.2. Afterglow SED Fitting
3.3. Afterglowpy Modeling
4. Discussion
4.1. Constraint on the Medium Profile and Jet Structure
4.2. Determination of
4.3. GRB 181110A in a Statistical Context
5. Summary
Author Contributions
Funding
Data Availability Statement
Conflicts of Interest
| 1 | https://heasarc.gsfc.nasa.gov/cgi-bin/W3Browse/swift.pl (accessed on 8 April 2022) |
| 2 | https://www.swift.ac.uk/burst_analyser/00871316/ (accessed on 8 April 2022) |
| 3 | https://heasarc.gsfc.nasa.gov/xanadu/xspec (accessed on 8 April 2022) |
| 4 | https://www.swift.ac.uk/burst_analyser/00871316/(accessed on 8 April 2022) |
References
- Rees, M.J.; Mészáros, P. Relativistic fireballs—Energy conversion and time-scales. Mon. Not. R. Astron. Soc. 2007, 258, 41–43. [Google Scholar] [CrossRef] [Green Version]
- Mészáros, P.; Rees, M.J. Relativistic Fireballs and Their Impact on External Matter: Models for Cosmological Gamma-Ray Bursts. Astrophys. J. 1993, 405, 278–284. [Google Scholar] [CrossRef]
- Piran, T. Gamma-ray bursts and the fireball model. Phys. Rep. 1999, 314, 575–667. [Google Scholar] [CrossRef] [Green Version]
- Mészáros, P. Theories of Gamma-Ray Bursts. Annu. Rev. Astron. Astrophys. 2002, 314, 137–169. [Google Scholar] [CrossRef] [Green Version]
- Zhang, B.; Mészáros, P. Gamma-Ray Bursts: Progress, problems & prospects. Int. J. Mod. Phys. 2004, 19, 2385–2472. [Google Scholar]
- Ruderman, M. Theories of gamma-ray bursts. In Proceedings of the Seventh Texas Symposium on Relativistic Astrophysics, Dallas, TX, USA, 16–20 December 1974. [Google Scholar]
- Piran, T.; Shemi, A.; Narayan, R. Hydrodynamics of Relativistic Fireballs. Mon. Not. R. Astron. Soc. 1993, 263, 861–867. [Google Scholar] [CrossRef] [Green Version]
- Panaitescu, A.; Kumar, P. Analytic Light Curves of Gamma-Ray Burst Afterglows: Homogeneous versus Wind External Media. Astrophys. J. 2000, 543, 66–76. [Google Scholar] [CrossRef] [Green Version]
- Molinari, E.; Vergani, S.D.; Malesani, D.; Covino, S.; d’Avanzo, P.; Chincarini, G.; Zerbi, F.M.; Antonelli, L.A.; Conconi, P.; Testa, V.; et al. REM observations of GRB 060418 and GRB 060607A: The onset of the afterglow and the initial fireball Lorentz factor determination. Astron. Astrophys. 2007, 469, L13–L16. [Google Scholar] [CrossRef] [Green Version]
- Sari, R.; Piran, T. Predictions for the Very Early Afterglow and the Optical Flash. Astrophys. J. 1999, 520, 641–649. [Google Scholar] [CrossRef] [Green Version]
- Xue, R.R.; Fan, Y.Z.; Wei, D.M. The initial Lorentz factors of fireballs inferred from the early X-ray data of SWIFT GRBs. Astron. Astrophys. 2009, 498, 671–676. [Google Scholar] [CrossRef]
- Liang, E.W.; Yi, S.X.; Zhang, J. Constraining Gamma-ray Burst Initial Lorentz Factor with the Afterglow Onset Feature and Discovery of a Tight Γ0-E γ,iso Correlation. Astrophys. J. 2010, 725, 2209–2224. [Google Scholar] [CrossRef] [Green Version]
- Burrows, D.N.; Hill, J.E.; Nousek, J.A.; Kennea, J.; Wells, A.; Osborne, J.P.; Abbey, A.F.; Beardmore, A.; Mukerjee, K.; Short, A.D.T.; et al. The Swift X-Ray Telescope. Space Sci. Rev. 2005, 120, 165–195. [Google Scholar] [CrossRef]
- Roming, P.W.A.; Kennedy, T.E.; Mason, K.O.; Nousek, J.A.; Ahr, L.; Bingham, R.E.; Broos, P.S.; Carter, M.J.; Hancock, B.K.; Huckle, H.E.; et al. The Swift Ultra-Violet/Optical Telescope. Space Sci. Rev. 2005, 120, 95–142. [Google Scholar] [CrossRef] [Green Version]
- Bennett, C.L.; Larson, D.R.; Weiland, J.L.; Hinshaw, G. The 1% Concordance Hubble Constant. Astrophys. J. 2014, 794, 135. [Google Scholar] [CrossRef]
- Evans, P.A.; Page, K.L.; Sakamoto, T. GRB 181110A: Swift Detection of a Burst with an Optical Counterpart; GRB Coordinates Network, Circular Service, No. 23413, #1; NASA: Washington, DC, USA, 2018. [Google Scholar]
- Lien, A.Y.; Barthelmy, S.D.; Cummings, J.R.; Evans, P.A.; Krimm, H.A.; Markwardt, C.B.; Palmer, D.M.; Sakamoto, T.; Stamatikos, M.; Ukwatta, T.N. GRB 181110A, Swift-BAT Refined Analysis; GRB Coordinates Network, Circular Service, No. 23420, #1; NASA: Washington, DC, USA, 2018. [Google Scholar]
- Goad, M.R.; Osborne, J.P.; Beardmore, A.P.; Evans, P.A. GRB 181110A: Enhanced Swift-XRT Position; GRB Coordinates Network, Circular Service, No. 23417, #1; NASA: Washington, DC, USA, 2018. [Google Scholar]
- Kuin, N.P.M.; Evans, P.A. GRB 181110A: Swift/UVOT Detection; GRB Coordinates Network, Circular Service, No. 23419, #1; NASA: Washington, DC, USA, 2018. [Google Scholar]
- Perley, D.A.; Malesani, D.B.; Fynbo, J.P.U.; Heintz, K.E.; Kann, D.A.; D’Elia, V.; Izzo, L.; Tanvir, N.R. GRB 181110A: VLT/X-Shooter Redshift; GRB Coordinates Network, Circular Service, No. 23421, #1; NASA: Washington, DC, USA, 2018. [Google Scholar]
- Beuermann, K.; Hessman, F.V.; Reinsch, K.; Nicklas, H.; Vreeswijk, P.M.; Galama, T.J.; Rol, E.; Van Paradijs, J.; Kouveliotou, C.; Frontera, F.; et al. VLT observations of GRB 990510 and its environment. Astron. Astrophys. 1999, 352, L26–L30. [Google Scholar]
- Kann, D.A.; Schady, P.; Olivares, E.F.; Klose, S.; Rossi, A.; Perley, D.A.; Zhang, B.; Kruhler, T.; Greiner, J.; Guelbenzu, A.N.; et al. The optical/NIR afterglow of GRB 111209A: Complex yet not unprecedented. Astron. Astrophys. 2018, 617, A122. [Google Scholar] [CrossRef]
- Foreman-Mackey, D.; Hogg, D.W.; Lang, D.; Goodman, J. emcee: The MCMC Hammer. Publ. Astron. Soc. Pac. 2013, 125, 306. [Google Scholar] [CrossRef] [Green Version]
- Scargle, J.D.; Norris, J.P.; Jackson, B.; Chiang, J. Studies in Astronomical Time Series Analysis. VI. Bayesian Block Representations. Astrophys. J. 2013, 764, 167. [Google Scholar] [CrossRef] [Green Version]
- Schlafly, E.F.; Finkbeiner, D.P. Measuring Reddening with Sloan Digital Sky Survey Stellar Spectra and Recalibrating SFD. Astrophys. J. 2011, 737, 103. [Google Scholar] [CrossRef]
- Evans, P.A.; Beardmore, A.P.; Page, K.L.; Osborne, J.P.; O’Brien, P.T.; Willingale, R.; Starling, R.L.C.; Burrows, D.N.; Godet, O.; Vetere, L.; et al. Methods and results of an automatic analysis of a complete sample of Swift-XRT observations of GRBs. Mon. Not. R. Astron. Soc. 2009, 397, 1177–1201. [Google Scholar] [CrossRef] [Green Version]
- Fitzpatrick, E.L.; Massa, D. An Analysis of the Shapes of Ultraviolet Extinction Curves. III. an Atlas of Ultraviolet Extinction Curves. Astrophys. J. Suppl. Ser. 1990, 72, 163. [Google Scholar] [CrossRef]
- Gordon, K.D.; Clayton, G.C.; Misselt, K.A.; Landolt, A.U. A Quantitative Comparison of the Small Magellanic Cloud, Large Magellanic Cloud, and Milky Way Ultraviolet to Near-Infrared Extinction Curves. Astrophys. J. 2003, 594, 279–293. [Google Scholar] [CrossRef]
- Li, A.; Liang, S.L.; Kann, D.A.; Wei, D.M.; Klose, S.; Wang, Y.J. On Dust Extinction of Gamma-Ray Burst Host Galaxies. Astrophys. J. 2008, 685, 1046–1051. [Google Scholar] [CrossRef] [Green Version]
- Evans, P.A.; Page, K.L.; Sakamoto, T. The Swift Burst Analyser. I. BAT and XRT spectral and flux evolution of gamma ray bursts. Astron. Astrophys. 2010, 519, A102. [Google Scholar] [CrossRef] [Green Version]
- Ryan, G.; Van Eerten, H.; Piro, L.; Troja, E. Gamma-ray burst afterglows in the multimessenger era: Numerical models and closure relations. Astrophys. J. 2020, 896, 166. [Google Scholar] [CrossRef]
- Mészáros, P.; Rees, M.J.; Wijers, R.A.M.J. Viewing Angle and Environment Effects in Gamma-Ray Bursts: Sources of Afterglow Diversity. Astrophys. J. 1998, 499, 301. [Google Scholar] [CrossRef]
- Dai, Z.G.; Gou, L.J. Gamma-Ray Burst Afterglows from Anisotropic Jets. Astrophys. J. 2001, 552, 72–80. [Google Scholar] [CrossRef]
- Rossi, E.; Lazzati, D.; Rees, M.J. Afterglow light curves, viewing angle and the jet structure of γ-ray bursts. Mon. Not. R. Astron. Soc. 2002, 332, 945–950. [Google Scholar] [CrossRef] [Green Version]
- Zhang, B.; Mészáros, P. Gamma-Ray Burst Beaming: A Universal Configuration with a Standard Energy Reservoir? Astrophys. J. 2002, 571, 876–879. [Google Scholar] [CrossRef] [Green Version]
- Kumar, P.; Granot, J. The Evolution of a Structured Relativistic Jet and Gamma-Ray Burst Afterglow Light Curves. Astrophys. J. 2003, 591, 1075–1085. [Google Scholar] [CrossRef]
- Gao, H.; Lei, W.H.; Zou, Y.C.; Wu, X.F.; Zhang, B. A complete reference of the analytical synchrotron external shock models of gamma-ray bursts. New Astron. Rev. 2013, 57, 141–190. [Google Scholar] [CrossRef] [Green Version]
- Jin, Z.P.; Fan, Y.Z. GRB 060418 and 060607A: The medium surrounding the progenitor and the weak reverse shock emission. Mon. Not. R. Astron. Soc. 2007, 378, 1043–1048. [Google Scholar] [CrossRef] [Green Version]
- Sari, R. Hydrodynamics of Gamma-Ray Burst Afterglow. Astrophys. J. 1997, 489, L37–L40. [Google Scholar] [CrossRef] [Green Version]
- Mészáros, P. Gamma-ray bursts. Rep. Prog. Phys. 2006, 69, 2259–2321. [Google Scholar] [CrossRef]
- Racusin, J.L.; Oates, S.R.; Schady, P.; Burrows, D.N.; De Pasquale, M.; Donato, D.; Gehrels, N.; Koch, S.; McEnery, J.; Piran, T.; et al. Fermi and Swift Gamma-ray Burst Afterglow Population Studies. Astrophys. J. 2011, 738, 138. [Google Scholar] [CrossRef] [Green Version]
- Liang, E.W.; Li, L.; Gao, H.; Zhang, B.; Liang, Y.F.; Wu, X.F.; Yi, S.X.; Dai, Z.G.; Tang, Q.W.; Chen, J.M.; et al. Comprehensive Study of Gamma-Ray Burst Optical Emission. II. Afterglow Onset and Late Re-brightening Components. Astrophys. J. 2013, 774, 13. [Google Scholar] [CrossRef]
- Liang, E.W.; Lin, T.T.; Lü, J.; Lu, R.J.; Zhang, J.; Zhang, B. A Tight Liso-Ep,z-Gamma0 Correlation of Gamma-Ray Bursts. Astrophys. J. 2015, 813, 116. [Google Scholar] [CrossRef] [Green Version]
- Amati, L.; Frontera, F.; Tavani, M.; Antonelli, A.; Costa, E.; Feroci, M.; Guidorzi, C.; Heise, J.; Masetti, N.; Montanari, E.; et al. Intrinsic spectra and energetics of BeppoSAX Gamma-Ray Bursts with known redshifts. Astron. Astrophys. 2002, 390, 81–89. [Google Scholar] [CrossRef]
- Zhang, B.; Zhang, B.B.; Virgili, F.J.; Liang, E.W.; Kann, D.A.; Wu, X.F.; Proga, D.; Lv, H.J.; Toma, K.; Meszaros, P.; et al. Discerning the Physical Origins of Cosmological Gamma-ray Bursts Based on Multiple Observational Criteria: The Cases of z = 6.7 GRB 080913, z = 8.2 GRB 090423, and Some Short/Hard GRBs. Astrophys. J. 2009, 703, 1696–1724. [Google Scholar] [CrossRef] [Green Version]
- Zhang, B.B.; Zhang, B.; Sun, H.; Lei, W.H.; Gao, H.; Li, Y.; Shao, L.; Zhao, Y.; Hu, Y.D.; Lü, H.J.; et al. A peculiar low-luminosity short gamma-ray burst from a double neutron star merger progenitor. Nat. Commun. 2018, 9, 447. [Google Scholar] [CrossRef] [Green Version]








| (s) | (s) | |||
|---|---|---|---|---|
| Time Interval | CPL | PL | |||
|---|---|---|---|---|---|
| (s) | (keV) | Red. | |||
| −39.21∼−8.71 | ... | ... | −1.33 ± 0.10 | 3.02 ± 0.45 | 1.08 |
| −8.71∼2.28 | ... | ... | −1.70 ± 0.07 | 7.32 ± 0.63 | 0.87 |
| 2.28∼9.28 | −1.06 ± 0.24 | 80.02 ± 38.25 | ... | 12.17 ± 7.29 | 0.83 |
| 9.28∼10.28 | −0.76 ± 0.47 | 74.39 ± 51.74 | ... | 15.85 ± 12.62 | 1.07 |
| 10.28∼13.28 | −1.37 ± 0.25 | 111.61 ± 102.43 | ... | 18.42 ± 17.30 | 1.09 |
| 13.28∼20.28 | −1.55 ± 0.24 | 58.70 ± 48.94 | ... | 11.43 ± 7.61 | 1.07 |
| 20.28∼23.38 | −1.36 ± 0.36 | 42.03 ± 32.97 | ... | 11.95 ± 10.62 | 0.83 |
| 23.38∼26.28 | −1.50 ± 0.26 | 73.83 ±67.34 | ... | 16.80 ± 16.28 | 0.75 |
| 26.28∼29.58 | ... | ... | −1.99 ± 0.09 | 11.05 ± 1.21 | 0.73 |
| 29.58∼32.06 | −1.64 ± 0.26 | 58.26 ± 61.75 | ... | 18.81 ± 16.95 | 0.58 |
| 32.06∼42.64 | −1.77 ± 0.30 | 20.71 ± 29.25 | ... | 7.67 ± 5.92 | 1.04 |
| 42.64∼52.19 | ... | ... | −2.53 ± 0.11 | 4.90 ± 0.77 | 0.79 |
| 52.19∼54.36 | ... | ... | −2.24 ± 0.12 | 9.35 ± 1.95 | 0.96 |
| 54.36∼59.76 | ... | ... | −2.33 ± 0.10 | 7.91 ± 1.00 | 1.05 |
| 59.76∼69.06 | ... | ... | −2.08 ± 0.11 | 4.75 ± 0.72 | 1.09 |
| 69.06∼89.76 | ... | ... | −2.29 ± 0.14 | 2.39 ± 0.54 | 1.04 |
| 89.76∼91.53 | ... | ... | −2.39 ± 0.19 | 5.27 ± 2.61 | 0.86 |
| 91.53∼94.31 | −0.61 ± 0.61 | 26.30 ± 14.56 | ... | 8.45 ± 7.43 | 0.95 |
| 94.31∼99.16 | ... | ... | −2.80 ± 0.27 | 2.55 ± 1.74 | 1.28 |
| Top-Hat | Gaussian | Power-Law | |
|---|---|---|---|
| b | |||
| p | |||
Publisher’s Note: MDPI stays neutral with regard to jurisdictional claims in published maps and institutional affiliations. |
© 2022 by the authors. Licensee MDPI, Basel, Switzerland. This article is an open access article distributed under the terms and conditions of the Creative Commons Attribution (CC BY) license (https://creativecommons.org/licenses/by/4.0/).
Share and Cite
Han, S.; Li, X.; Jiang, L.; Jin, Z.; He, H.; Wang, Y.; Wei, D. GRB 181110A: Constraining the Jet Structure, Circumburst Medium and the Initial Lorentz Factor. Universe 2022, 8, 248. https://doi.org/10.3390/universe8040248
Han S, Li X, Jiang L, Jin Z, He H, Wang Y, Wei D. GRB 181110A: Constraining the Jet Structure, Circumburst Medium and the Initial Lorentz Factor. Universe. 2022; 8(4):248. https://doi.org/10.3390/universe8040248
Chicago/Turabian StyleHan, Song, Xinyu Li, Luyao Jiang, Zhiping Jin, Haoning He, Yuanzhu Wang, and Daming Wei. 2022. "GRB 181110A: Constraining the Jet Structure, Circumburst Medium and the Initial Lorentz Factor" Universe 8, no. 4: 248. https://doi.org/10.3390/universe8040248
APA StyleHan, S., Li, X., Jiang, L., Jin, Z., He, H., Wang, Y., & Wei, D. (2022). GRB 181110A: Constraining the Jet Structure, Circumburst Medium and the Initial Lorentz Factor. Universe, 8(4), 248. https://doi.org/10.3390/universe8040248

