Active Galactic Nuclei as Potential Sources of Ultra-High Energy Cosmic Rays
Abstract
1. Introduction
2. Basic Results of Current UHECR Experiments
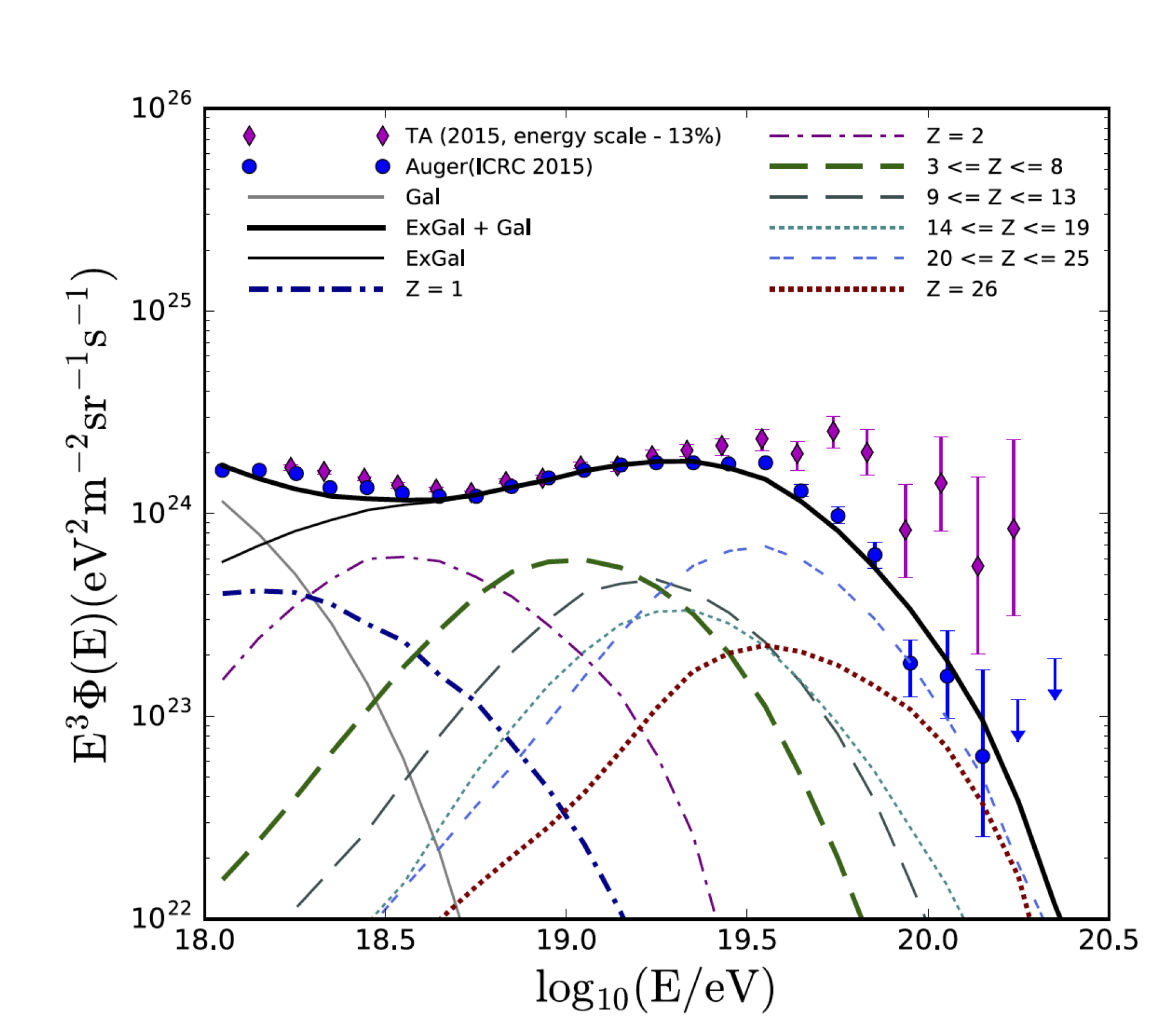
2.1. Energy Spectrum of UHECRs
2.2. Composition of UHECRs
2.3. Anisotropies in the Arrival Direction of UHECRs
3. On Possible Correlations of UHECRs with Matter and Known Sources
3.1. On Correlations with Catalogs
3.2. On Correlation with Matter
3.3. On Correlation with Nearby Radio Galaxies
3.4. An UHECR Echo from the Past?
4. Radio Galaxies as Prime UHECR Candidate Sources
- Cen A: As the closest active galaxy to Earth ( Mpc), Centaurus A (Cen A) is one of the most prominent radio sources in the southern sky. Its inner region harbours a warped, relatively massive dust and gas disk, most likely the product of a past merger activity between a small, gas-rich spiral galaxy and a larger, elliptical one. There are in fact several lines of evidence suggesting that at least one major merger event occurred some – years ago [49]. Over time, Cen A then most likely underwent several phases of AGN activity [50,51]. Its central engine hosts a black hole of mass ≃ (0.3–0.8) [52], and currently emits a (nuclear) bolometric (photon) luminosity of erg/s [53]. At radio frequencies, Cen A is known for its peculiar morphology including a compact radio core, a sub-pc scale jet and counter-jet, a one-sided kpc-scale jet (∼4 kpc in projection), inner radio lobes as well as giant outer lobes with a length of several hundreds of kiloparsec, e.g., [54]. At high photon energies, gamma-ray observations have revealed GeV emission from the giant lobes as well as TeV emission along its large-scale jet, demonstrating the operation of efficient in situ particle acceleration [55,56,57]. VLBI observations indicate that Cen A is a non-blazar source, with its inner jet misaligned by about (12–45) and characterized by moderate bulk flow speeds ≤ c for the radio region probed [58]. EHT observations have revealed asymmetric (spine-sheath type) jet emission on scales of a few hundred Schwarzschild radii [59]. On larger scales (>100 pc), trans-relativistic jet speeds of ∼0.5–0.7 c have been inferred [60,61]. Estimates for the “current” kinetic jet power are in the range ∼– erg/s [56,62,63].
- M87: As the second closest active galaxy ( Mpc [64]), the Virgo Cluster galaxy M87 (NGC 4486) hosts one of the most massive black holes of [65,66]. Classified as low-excitation FR I source, M87 is thought to be currently accreting in a radiatively inefficient (RIAF) mode [67,68]. Common estimates for its total nuclear (disk and jet) bolometric luminosity in fact do not exceed erg/s by much [53,69,70,71]. In the radio, M87 exhibits an extended morphology including a sub-pc scale jet and counter-jet, a one-sided kpc-scale jet (∼2 kpc in projection) that is also seen in X-rays, inner lobes as well as a large-scale halo of size ∼50 kpc [69,70,72,73,74]. The X-ray emission seen in the large-scale jet of M87 provides evidence for the presence of ultra-relativistic electrons and the operation of efficient in situ acceleration [75]. Both, on sub-parsec as well as on kpc scales evidence has been found for a stratified jet structure compatible with a fast spine and a slower sheath [76,77]. There is evidence, including superluminal motion seen at optical and X-ray energies, that on larger scales (>100 pc) the jet still possesses significantly trans-relativistic (0.7 c) speeds [78,79]. Estimates for the kinetic power of the jet in M87 are somewhat uncertain and range from to erg/s [67,71,73,75]. Being at the center of a galaxy cluster, it has been argued that M87 might be repeatedly fed by accretion of satellite galaxies containing intermediate mass black holes [80]. There is evidence that accretion of a smaller galaxy has caused an important modification of its outer halo in the last Gyr [81]. On the other hand, many X-ray features (e.g., cavities) on halo-scale appear to be a result of recurrent AGN activity (on timescales probably down to ∼ yr) [82,83].
- Fornax A: Located at Mpc [84], Fornax A (NGC 1316) is the brightest member of the Fornax Cluster and a prominent merger remnant. In the optical, it resembles an elongated spheroid-type galaxy. In the radio, an S-shaped nuclear radio jet (∼5 kpc in projection) and giant double lobes spanning ∼350 kpc are seen [85]. Fornax A harbours a supermassive black hole of ≃ [86]. Given its peculiar morphology, Fornax A is thought to be shaped by a major merger about 3 Gyr ago, probably followed by some minor mergers of smaller companions [87,88,89]. There is evidence that the extended radio lobes have been formed by multiple episodes of nuclear activity on timescales of several Myr [90]. Characteristic estimates for the current jet power are in the range erg/s [90,91,92]. While Fornax A is commonly classified as an FR I source, different episodes of activity could explain some challenges as to a unique classification, e.g., the phase that shaped the lobes appears to have been more powerful compared with the activity of the central emission [90].
5. Basics Physics Constraints on UHECR Candidate Sources
6. UHECR Acceleration in AGNs: Sites and Mechanisms
6.1. Cosmic-Ray Acceleration in the Magnetospheres of Rotating Supermassive Black Holes
6.2. Shear Particle Acceleration in the Large-Scale Jets of AGNs
- Non-gradual shear particle acceleration in trans-relativistic FR I type jets: Kimura et al. [134] have reproduced the observed UHECR spectrum in a scenario that considers non-gradual shear particle acceleration in large-scale FR I jets, see Figure 15. The reference model assumes that Galactic-type cosmic rays (with, e.g., CR proton densities comparable to our Galaxy) are picked up, re-cycled and re-accelerated to UHE energies in a mildly relativistic jet (, G) surrounded by a narrow shear layer (). Their Monte Carlo simulations suggest that UHECRs escaping the source, possess a rather hard energy spectrum (). The chemical compositions at UHE energies (relative abundance ratio) is somewhat more complex, as different particle species (i) have different injection thresholds into the acceleration process ( TeV). Achievable maximum energy, EeV, are limited by the jet size (by ) and (via in , cf. Equation (8)) dominated by the diffusion process (assumed turbulence properties) in the cocoon. These numbers are in principle compatible with requirements on source energetics for FR I type sources, cf. also Equation (4). Given an FR I number density of – Mpc (cf. footnote 2) for example, an average source luminosity – erg/s would be needed to account for the observed UHECR luminosity erg/(Mpc yr) [20]. Moreover, possible anisotropy constraints are relaxed, partly due to suitable UHECR spectral shapes, as well as a high source number density (multi-FR I source contributions) with heavy composition. The results shown are, however, sensitive to the chosen cocoon properties (i.e., the assumed cocoon size and turbulence scale) and, in particular, dependent on a narrow velocity transition layer (defining the energy threshold for CR injection). Enlarging to satisfy jet stability constraints [125], for example, is likely to affect the outcome. Nevertheless, these simulations illustrate that non-gradual shear acceleration in an ensemble of FR I’s (and not only FR II’s) could in principle play an important role in UHECR acceleration.
- Non-gradual shear particle acceleration in large-scale FR II type jets: Powerful AGN jets can remain significantly relativistic () on large scales, allowing for a substantial particle energy change per cycle if strong flow gradients are experienced over the mean free path of a particle, cf. Equation (7). In fact, given suitable conditions, significant -type boosts are possible across quasi-narrow shears, in which case only a few cycles (“shots”) would be needed to boost Galactic-type cosmic rays to UHE energies (sometimes referred to as “espresso” acceleration, e.g., ref. [133]). In this context, Mbarek & Caprioli [135,146] have recently studied the recycling of energetic cosmic rays in a relativistic () large-scale jet by following their test particle trajectories in a simulated (PLUTO) 3d-MHD jet environment, assuming a homogeneous ambient medium setup, see, e.g., Figure 16.Given the fact that MHD jet simulations generally come with limited resolution (i.e., here of the order , where is the jet radius), a suitable (sub-grid) prescription needs to be designed to explore the effect of unresolved turbulence on the cosmic-ray transport. In the considered example, a gyro-dependent spatial diffusion coefficient , with the Larmor radius, has been employed (with momentum-diffusion being neglected), exploring cases where , with corresponding to Bohm diffusion, and implying no diffusion/scattering. The results show that incorporation of particle scattering (spatial diffusion) generally allows more particles to reach higher energies by probing the jet spine, making acceleration more efficient and resulting in a hardening of the injection spectrum. These features appear akin to what is expected in gradual- and non-gradual shear particle acceleration. To adequately assess the implications, an extension of the simulation framework to more general conditions will be helpful. As of now, comparison appears limited to, e.g., gyro-dependent pitch-angle diffusion, and rather high-power ( erg/s), significantly magnetized () FR II type jets. Nevertheless, these results already illustrate that for sufficiently large mean free paths multiple energy-boosts can occur in the environment of relativistic jets, allowing to push particle energies beyond what, e.g., stochastic or gradual shear acceleration alone might achieve.
- Gradual shear particle acceleration in relativistic AGN jets: On large scales, the shearing layers around relativistic jets are likely to encompass a sizeable fraction of the jet radius, e.g., [125]. Acceleration of electrons in such shearing flows has been proposed to account for the extended X-ray synchrotron emission that requires the maintenance of ultra-relativistic electrons () on kpc-scales, e.g., refs. [123,126]. In order to compete with diffusive escape, efficient shear acceleration typically requires sufficiently relativistic flow speeds, i.e., bulk Lorentz factors of some few [130,138,139]. At mildly relativistic speeds, intrinsic particle spectra become rather soft and sensitive to the underlying shear flow profile [142]. It seems natural to suppose that the underlying shear acceleration mechanism can be operative not only on electrons but also on cosmic rays. In principle, by modelling their multi-wavelength large-scale jet emission, improved constraints on the parameter space of individual sources can be obtained, thereby allowing a more precise classification [126]. Still, for a first orientation, a Hillas type approach (Section 5) may be chosen, requiring the properties of a potential UHECR source to be such as (i) to allow UHECRs to be confined within the shear, (ii) to enable particle acceleration to overcome radiative cooling (e.g., ) and (iii) to operate within the lifetime () of the system. Figure 17 shows an example, adjusted to (mildly relativistic) large-scale AGN jets, assuming a linearly decreasing flow profile with on the jet axis. A shear-width to jet length ratio has been employed.Figure 17 suggests that shear acceleration of protons to energies ∼ eV can in principle be achieved for a quite plausible range of parameters, cf. also refs. [123,126,138,139] The vertical (black) line, for example, denotes the regime for a Cen A type source (G, cf. [57]), where the presence of a shear width of several tens of parsec would be sufficient. However, proton acceleration to ∼ eV in mildly relativistic shearing flows would seem to be less likely (requiring large, extended shears and higher magnetic fields). Since higher energies are possible either, in faster flows or for heavier particles, this would then suggest that current Cen A type (FR I) sources are contributors of heavy UHECRs, while ∼100 EeV protons would have to be associated with an earlier, more powerful (faster jet, FR II type) stage. This could possibly be linked to an evolutionary scenario where during the lifetime of a radio galaxy (at least for some of the nearby), basic characteristics could change FR class from FR II to FR I. In a simple leaky-box approach for gradual shear acceleration, UHECRs escaping their source, can have a relatively hard spectrum, approaching [130]. The spectrum is expected to be more complex, though, if non-gradual shear acceleration becomes operative toward higher energies.
6.3. Shock Acceleration of UHECRs in AGN Jets
7. Conclusions and Perspectives
Funding
Acknowledgments
Conflicts of Interest
| 1 | This so-called GZK horizon is longest ( Mpc) for 100 EeV protons and heavy nuclei (e.g., iron), but can be much shorter for intermediate masses (e.g., Mpc for helium and Mpc for silicon). |
| 2 |
References
- Bell, A.R. Cosmic ray acceleration. Astropart. Phys. 2013, 43, 56–70. [Google Scholar] [CrossRef]
- Blasi, P. The origin of galactic cosmic rays. A&ARv 2013, 21, 70. [Google Scholar] [CrossRef]
- Pierre Auger Collaboration; Aab, A.; Abreu, P.; Aglietta, M.; Samarai, I.A.; Albuquerque, I.F.M.; Allekotte, I.; Almela, A.; Alvarez Castillo, J.; Alvarez-Muñiz, J.; et al. Observation of a large-scale anisotropy in the arrival directions of cosmic rays above 8×1018 eV. Science 2017, 357, 1266–1270. [Google Scholar] [CrossRef]
- Kotera, K.; Olinto, A.V. The Astrophysics of Ultrahigh-Energy Cosmic Rays. ARA&A 2011, 49, 119–153. [Google Scholar] [CrossRef]
- Rieger, F. UHE Cosmic Rays and AGN Jets. High Energy Phenomena in Relativistic Outflows VII. arXiv 2019, arXiv:astro-ph.HE/1911.04171. [Google Scholar]
- Padovani, P. On the two main classes of active galactic nuclei. Nat. Astron. 2017, 1, 194. [Google Scholar] [CrossRef]
- Hillas, A.M. The Origin of Ultra-High-Energy Cosmic Rays. ARA&A 1984, 22, 425–444. [Google Scholar] [CrossRef]
- Array, T.; Abbasi, R.; Abu-Zayyad, T.; Allen, M.; Arai, Y.; Arimura, R.; Barcikowski, E.; Belz, J.; Bergman, D.; Blake, S.; et al. Highlights from the Telescope Array experiment. In Proceedings of the 37th International Cosmic Ray Conference, Berlin, Germany, 12–23 July 2021; p. 12. [Google Scholar]
- Novotný, V.; The Pierre Auger Collaboration; Abreu, P.; Aglietta, M.; Albury, J.M.; Allekotte, I.; Almela, A.; Alvarez-Muniz, J.; Alves Batista, R.; Anastasi, G.A.; et al. Energy spectrum of cosmic rays measured using the Pierre Auger Observatory. In Proceedings of the 37th International Cosmic Ray Conference, Berlin, Germany, 12–23 July 2021; p. 324. [Google Scholar]
- Aloisio, R. Acceleration and propagation of ultra high energy cosmic rays. PTEP 2017, 12A102, 115. [Google Scholar] [CrossRef]
- Kachelriess, M.; Semikoz, D.V. Cosmic Ray Models. arXiv 2019, arXiv:1904.08160. [Google Scholar] [CrossRef]
- Anchordoqui, L.A. Ultra-high-energy cosmic rays. Phys. Rep. 2019, 801, 1–93. [Google Scholar] [CrossRef]
- Kachelriess, M. Extragalactic cosmic rays. In Proceedings of the 37th International Cosmic Ray Conference, Berlin, Germany, 12–23 July 2021; p. 18. [Google Scholar]
- Coleman, A.; Eser, J.; Mayotte, E.; Sarazin, F.; Schröder, F.G.; Soldin, D.; Venters, T.M.; Aloisio, R.; Alvarez-Muñiz, J.; Alves Batista, R.; et al. Ultra-High-Energy Cosmic Rays: The Intersection of the Cosmic and Energy Frontiers. arXiv 2022, arXiv:2205.05845. [Google Scholar] [CrossRef]
- Bird, D.J.; Corbato, S.C.; Dai, H.Y.; Elbert, J.W.; Green, K.D.; Huang, M.A.; Kieda, D.B.; Ko, S.; Larsen, C.G.; Loh, E.C.; et al. Detection of a Cosmic Ray with Measured Energy Well beyond the Expected Spectral Cutoff due to Cosmic Microwave Radiation. ApJ 1995, 441, 144. [Google Scholar] [CrossRef]
- Tsunesada, Y.; Array, T.; Abbasi, R.; Abu-Zayyad, T.; Allen, M.; Arai, Y.; Arimura, R.; Barcikowski, E.; Belz, J.; Bergman, D.; et al. Joint analysis of the energy spectrum of ultra-high-energy cosmic rays as measured at the Pierre Auger Observatory and the Telescope Array. In Proceedings of the 37th International Cosmic Ray Conference, Berlin, Germany, 12–23 July 2021; p. 337. [Google Scholar]
- Greisen, K. End to the Cosmic-Ray Spectrum? PRL 1966, 16, 748–750. [Google Scholar] [CrossRef]
- Zatsepin, G.T.; Kuz’min, V.A. Upper Limit of the Spectrum of Cosmic Rays. Sov. J. Exp. Theor. Phys. Lett. 1966, 4, 78. [Google Scholar]
- Guido, E.; The Pierre Auger Collaboration; Abreu, P.; Aglietta, M.; Albury, J.M.; Allekotte, I.; Almela, A.; Alvarez-Muniz, J.; Alves Batista, R.; Anastasi, G.A.; et al. Combined fit of the energy spectrum and mass composition across the ankle with the data measured at the Pierre Auger Observatory. In Proceedings of the 37th International Cosmic Ray Conference, Berlin, Germany, 12–23 July 2021; p. 311. [Google Scholar]
- Murase, K.; Fukugita, M. Energetics of high-energy cosmic radiations. Phys. Rev. D 2019, 99, 063012. [Google Scholar] [CrossRef]
- Engel, R.; Heck, D.; Pierog, T. Extensive Air Showers and Hadronic Interactions at High Energy. ARNPS 2011, 61, 467–489. [Google Scholar] [CrossRef]
- Ostapchenko, S. High energy cosmic ray interactions and UHECR composition problem. Eur. Phys. J. Web Conf. 2019, 210, 02001. [Google Scholar] [CrossRef][Green Version]
- Alves Batista, R.; Biteau, J.; Bustamante, M.; Dolag, K.; Engel, R.; Fang, K.; Kampert, K.H.; Kostunin, D.; Mostafa, M.; Murase, K.; et al. Open questions in cosmic-ray research at ultrahigh energies. Front. Astron. Space Sci. 2019, 6, 23. [Google Scholar] [CrossRef]
- de Almeida, R.; The Pierre Auger Collaboration; Abreu, P.; Aglietta, M.; Albury, J.M.; Allekotte, I.; Almela, A.; Alvarez-Muniz, J.; Alves Batista, R.; Anastasi, G.A.; et al. Large-scale and multipolar anisotropies of cosmic rays detected at the Pierre Auger Observatory with energies above 4 EeV. In Proceedings of the 37th International Cosmic Ray Conference, Berlin, Germany, 12–23 July 2021; p. 335. [Google Scholar]
- Aab, A.; Abreu, P.; Aglietta, M.; Albuquerque, I.F.M.; Albury, J.M.; Allekotte, I.; Almela, A.; Alvarez Castillo, J.; Alvarez-Muñiz, J.; Anastasi, G.A.; et al. Large-scale Cosmic-Ray Anisotropies above 4 EeV Measured by the Pierre Auger Observatory. ApJ 2018, 868, 4. [Google Scholar] [CrossRef]
- Kim, J.; Ivanov, D.; Kawata, K.; Sagawa, H.; Thomson, G. Hotspot Update, and a new Excess of Events on the Sky Seen by the Telescope Array Experiment. In Proceedings of the 37th International Cosmic Ray Conference, Berlin, Germany, 12–23 July 2021; p. 328. [Google Scholar]
- Tkachev, I.; Fujii, T.; Ivanov, D.; Jui, C.C.H.; Kawata, K.; Kim, J.H.; Kuznetsov, M.Y.; Nonaka, T.; Ogio, S.; Rubtsov, G.I.; et al. Telescope Array anisotropy summary. In Proceedings of the 37th International Cosmic Ray Conference, Berlin, Germany, 12–23 July 2021; p. 392. [Google Scholar]
- Matthews, J.; Telescope Array Collaboration. Highlights from the Telescope Array Experiment. In Proceedings of the 35th International Cosmic Ray Conference (ICRC2017), Busan, Republic of Korea, 12–20 July 2017; Volume 301, p. 1096. [Google Scholar]
- Zirakashvili, V.N.; Ptuskin, V.S.; Rogovaya, S.I. Ultra high energy cosmic rays from past activity of Andromeda galaxy. arXiv 2022, arXiv:2211.04522. [Google Scholar] [CrossRef]
- Biteau, J.; The Pierre Auger Collaboration; Abreu, P.; Aglietta, M.; Albury, J.M.; Allekotte, I.; Almela, A.; Alvarez-Muniz, J.; Alves Batista, R.; Anastasi, G.A.; et al. The ultra-high-energy cosmic-ray sky above 32 EeV viewed from the Pierre Auger Observatory. In Proceedings of the 37th International Cosmic Ray Conference, Berlin, Germany, 12–23 July 2021; p. 307. [Google Scholar]
- The Pierre Auger Collaboration; Abreu, P.; Aglietta, M.; Albury, J.M.; Allekotte, I.; Almeida Cheminant, K.; Almela, A.; Alvarez-Muñiz, J.; Alves Batista, R.; Ammerman Yebra, J.; et al. Arrival Directions of Cosmic Rays above 32 EeV from Phase One of the Pierre Auger Observatory. arXiv 2022, arXiv:2206.13492. [Google Scholar]
- Bell, A.R.; Matthews, J.H. Echoes of the past: Ultra-high-energy cosmic rays accelerated by radio galaxies, scattered by starburst galaxies. MNRAS 2022, 511, 448–456. [Google Scholar] [CrossRef]
- Ding, C.; Globus, N.; Farrar, G.R. The Imprint of Large-scale Structure on the Ultrahigh-energy Cosmic-Ray Sky. ApJL 2021, 913, L13. [Google Scholar] [CrossRef]
- Hoffman, Y.; Carlesi, E.; Pomarède, D.; Tully, R.B.; Courtois, H.M.; Gottlöber, S.; Libeskind, N.I.; Sorce, J.G.; Yepes, G. The quasi-linear nearby Universe. Nat. Astron. 2018, 2, 680–687. [Google Scholar] [CrossRef]
- Allard, D.; Aublin, J.; Baret, B.; Parizot, E. What can be learnt from UHECR anisotropies observations? Paper I: Large-scale anisotropies and composition features. arXiv 2021, arXiv:2110.10761. [Google Scholar]
- de Oliveira, C.; de Souza, V. Magnetically Induced Anisotropies in the Arrival Directions of Ultra-high-energy Cosmic Rays from Nearby Radio Galaxies. ApJ 2022, 925, 42. [Google Scholar] [CrossRef]
- Eichmann, B.; Kachelrieß, M.; Oikonomou, F. Explaining the UHECR spectrum, composition and large-scale anisotropies with radio galaxies. JCAP 2022, 2022, 6. [Google Scholar] [CrossRef]
- Brecher, K.; Burbidge, G.R. Extragalactic Cosmic Rays. ApJ 1972, 174, 253. [Google Scholar] [CrossRef]
- Takahara, F. On the Origin of Highest Energy Cosmic Rays. Prog. Theor. Phys. 1990, 83, 1071–1075. [Google Scholar] [CrossRef]
- Rachen, J.P.; Biermann, P.L. Extragalactic ultra-high energy cosmic rays. I. Contribution from hot spots in FR-II radio galaxies. A&A 1993, 272, 161–175. [Google Scholar]
- Blandford, R.D. Acceleration of Ultra High Energy Cosmic Rays. Phys. Scr. Vol. T 2000, 85, 191–194. [Google Scholar] [CrossRef]
- Rieger, F.M. Cosmic Ray Acceleration in Active Galactic Nuclei - On Centaurus A as a possible UHECR Source. arXiv 2009, arXiv:0911.4004. [Google Scholar]
- Hardcastle, M.J. Which radio galaxies can make the highest energy cosmic rays? MNRAS 2010, 405, 2810–2816. [Google Scholar] [CrossRef]
- Biermann, P.L.; de Souza, V. Centaurus A: The Extragalactic Source of Cosmic Rays with Energies above the Knee. ApJ 2012, 746, 72. [Google Scholar] [CrossRef]
- Matthews, J.H.; Bell, A.R.; Blundell, K.M.; Araudo, A.T. Fornax A, Centaurus A, and other radio galaxies as sources of ultrahigh energy cosmic rays. MNRAS 2018, 479, L76–L80. [Google Scholar] [CrossRef]
- Padovani, P.; Miller, N.; Kellermann, K.I.; Mainieri, V.; Rosati, P.; Tozzi, P. The VLA Survey of Chandra Deep Field South. V. Evolution and Luminosity Functions of Sub-millijansky Radio Sources and the Issue of Radio Emission in Radio-quiet Active Galactic Nuclei. ApJ 2011, 740, 20. [Google Scholar] [CrossRef]
- Prescott, M.; Mauch, T.; Jarvis, M.J.; McAlpine, K.; Smith, D.J.B.; Fine, S.; Johnston, R.; Hardcastle, M.J.; Baldry, I.K.; Brough, S.; et al. Galaxy Furthermore, Mass Assembly (GAMA): The 325 MHz radio luminosity function of AGN and star-forming galaxies. MNRAS 2016, 457, 730–744. [Google Scholar] [CrossRef]
- van Velzen, S.; Falcke, H.; Schellart, P.; Nierstenhöfer, N.; Kampert, K.H. Radio galaxies of the local universe. All-sky catalog, luminosity functions, and clustering. A&A 2012, 544, A18. [Google Scholar] [CrossRef]
- Israel, F.P. Centaurus A—NGC 5128. A&ARv 1998, 8, 237–278. [Google Scholar] [CrossRef]
- Saikia, D.J.; Jamrozy, M. Recurrent activity in Active Galactic Nuclei. Bull. Astron. Soc. India 2009, 37, 63–89. [Google Scholar]
- Struve, C.; Oosterloo, T.A.; Morganti, R.; Saripalli, L. Centaurus A: Morphology and kinematics of the atomic hydrogen. A&A 2010, 515, A67. [Google Scholar] [CrossRef]
- Neumayer, N. The Supermassive Black Hole at the Heart of Centaurus A: Revealed by the Kinematics of Gas and Stars. PASA 2010, 27, 449–456. [Google Scholar] [CrossRef]
- Whysong, D.; Antonucci, R. Thermal Emission as a Test for Hidden Nuclei in Nearby Radio Galaxies. ApJ 2004, 602, 116–122. [Google Scholar] [CrossRef]
- Feain, I.J.; Cornwell, T.J.; Ekers, R.D.; Calabretta, M.R.; Norris, R.P.; Johnston-Hollitt, M.; Ott, J.; Lindley, E.; Gaensler, B.M.; Murphy, T.; et al. The Radio Continuum Structure of Centaurus A at 1.4 GHz. ApJ 2011, 740, 17. [Google Scholar] [CrossRef]
- Abdo, A.A.; Ackermann, M.; Ajello, M.; Atwood, W.B.; Baldini, L.; Ballet, J.; Barbiellini, G.; Bastieri, D.; Baughman, B.M.; Bechtol, K.; et al. Fermi Gamma-Ray Imaging of a Radio Galaxy. Science 2010, 328, 725. [Google Scholar] [CrossRef]
- Yang, R.Z.; Sahakyan, N.; de Ona Wilhelmi, E.; Aharonian, F.; Rieger, F. Deep observation of the giant radio lobes of Centaurus A with the Fermi Large Area Telescope. A&A 2012, 542, A19. [Google Scholar] [CrossRef]
- H. E. S. S. Collaboration; Abdalla, H.; Adam, R.; Aharonian, F.; Ait Benkhali, F.; Angüner, E.O.; Arakawa, M.; Arcaro, C.; Armand, C.; Ashkar, H.; et al. Resolving acceleration to very high energies along the jet of Centaurus A. Nature 2020, 582, 356–359. [Google Scholar] [CrossRef]
- Müller, C.; Kadler, M.; Ojha, R.; Perucho, M.; Großberger, C.; Ros, E.; Wilms, J.; Blanchard, J.; Böck, M.; Carpenter, B.; et al. TANAMI monitoring of Centaurus A: The complex dynamics in the inner parsec of an extragalactic jet. A&A 2014, 569, A115. [Google Scholar] [CrossRef]
- Janssen, M.; Falcke, H.; Kadler, M.; Ros, E.; Wielgus, M.; Akiyama, K.; Baloković, M.; Blackburn, L.; Bouman, K.L.; Chael, A.; et al. Event Horizon Telescope observations of the jet launching and collimation in Centaurus A. Nat. Astron. 2021, 5, 1017–1028. [Google Scholar] [CrossRef]
- Hardcastle, M.J.; Worrall, D.M.; Kraft, R.P.; Forman, W.R.; Jones, C.; Murray, S.S. Radio and X-Ray Observations of the Jet in Centaurus A. ApJ 2003, 593, 169–183. [Google Scholar] [CrossRef]
- Snios, B.; Wykes, S.; Nulsen, P.E.J.; Kraft, R.P.; Meyer, E.T.; Birkinshaw, M.; Worrall, D.M.; Hardcastle, M.J.; Roediger, E.; Forman, W.R.; et al. Variability and Proper Motion of X-Ray Knots in the Jet of Centaurus A. ApJ 2019, 871, 248. [Google Scholar] [CrossRef]
- Wykes, S.; Hardcastle, M.J.; Karakas, A.I.; Vink, J.S. Internal entrainment and the origin of jet-related broad-band emission in Centaurus A. MNRAS 2015, 447, 1001–1013. [Google Scholar] [CrossRef]
- Sun, X.n.; Yang, R.z.; Mckinley, B.; Aharonian, F. Giant lobes of Centaurus A as seen in radio and gamma-ray images obtained with the Fermi-LAT and Planck satellites. A&A 2016, 595, A29. [Google Scholar] [CrossRef]
- Bird, S.; Harris, W.E.; Blakeslee, J.P.; Flynn, C. The inner halo of M 87: A first direct view of the red-giant population. A&A 2010, 524, A71. [Google Scholar] [CrossRef]
- Event Horizon Telescope Collaboration; Akiyama, K.; Alberdi, A.; Alef, W.; Asada, K.; Azulay, R.; Baczko, A.K.; Ball, D.; Baloković, M.; Barrett, J.; et al. First M87 Event Horizon Telescope Results. I. The Shadow of the Supermassive Black Hole. ApJL 2019, 875, L1. [Google Scholar] [CrossRef]
- Broderick, A.E.; Pesce, D.W.; Tiede, P.; Pu, H.Y.; Gold, R.; Anantua, R.; Britzen, S.; Ceccobello, C.; Chatterjee, K.; Chen, Y.; et al. The Photon Ring in M87*. arXiv 2022, arXiv:2208.09004. [Google Scholar] [CrossRef]
- Reynolds, C.S.; Di Matteo, T.; Fabian, A.C.; Hwang, U.; Canizares, C.R. The ‘quiescent’ black hole in M87. MNRAS 1996, 283, L111–L116. [Google Scholar] [CrossRef]
- Event Horizon Telescope Collaboration; Akiyama, K.; Alberdi, A.; Alef, W.; Asada, K.; Azulay, R.; Baczko, A.K.; Ball, D.; Baloković, M.; Barrett, J.; et al. First M87 Event Horizon Telescope Results. V. Physical Origin of the Asymmetric Ring. ApJL 2019, 875, L5. [Google Scholar] [CrossRef]
- Biretta, J.A.; Stern, C.P.; Harris, D.E. The Radio to X-ray Spectrum of the M87 Jet and Nucleus. AJ 1991, 101, 1632. [Google Scholar] [CrossRef]
- Owen, F.N.; Eilek, J.A.; Kassim, N.E. M87 at 90 Centimeters: A Different Picture. ApJ 2000, 543, 611–619. [Google Scholar] [CrossRef]
- Prieto, M.A.; Fernández-Ontiveros, J.A.; Markoff, S.; Espada, D.; González-Martín, O. The central parsecs of M87: Jet emission and an elusive accretion disc. MNRAS 2016, 457, 3801–3816. [Google Scholar] [CrossRef]
- Marshall, H.L.; Miller, B.P.; Davis, D.S.; Perlman, E.S.; Wise, M.; Canizares, C.R.; Harris, D.E. A High-Resolution X-Ray Image of the Jet in M87. ApJ 2002, 564, 683–687. [Google Scholar] [CrossRef]
- de Gasperin, F.; Orrú, E.; Murgia, M.; Merloni, A.; Falcke, H.; Beck, R.; Beswick, R.; Bîrzan, L.; Bonafede, A.; Brüggen, M.; et al. M 87 at metre wavelengths: The LOFAR picture. A&A 2012, 547, A56. [Google Scholar] [CrossRef]
- Walker, R.C.; Hardee, P.E.; Davies, F.B.; Ly, C.; Junor, W. The Structure and Dynamics of the Subparsec Jet in M87 Based on 50 VLBA Observations over 17 Years at 43 GHz. ApJ 2018, 855, 128. [Google Scholar] [CrossRef]
- Sun, X.N.; Yang, R.Z.; Rieger, F.M.; Liu, R.Y.; Aharonian, F. Energy distribution of relativistic electrons in the kiloparsec scale jet of M 87 with Chandra. A&A 2018, 612, A106. [Google Scholar] [CrossRef]
- Perlman, E.S.; Biretta, J.A.; Zhou, F.; Sparks, W.B.; Macchetto, F.D. Optical and Radio Polarimetry of the M87 Jet at 0.2” Resolution. AJ 1999, 117, 2185–2198. [Google Scholar] [CrossRef]
- Mertens, F.; Lobanov, A.P.; Walker, R.C.; Hardee, P.E. Kinematics of the jet in M 87 on scales of 100-1000 Schwarzschild radii. A&A 2016, 595, A54. [Google Scholar] [CrossRef]
- Meyer, E.T.; Sparks, W.B.; Biretta, J.A.; Anderson, J.; Sohn, S.T.; van der Marel, R.P.; Norman, C.; Nakamura, M. Optical Proper Motion Measurements of the M87 Jet: New Results from the Hubble Space Telescope. ApJL 2013, 774, L21. [Google Scholar] [CrossRef]
- Snios, B.; Nulsen, P.E.J.; Kraft, R.P.; Cheung, C.C.; Meyer, E.T.; Forman, W.R.; Jones, C.; Murray, S.S. Detection of Superluminal Motion in the X-Ray Jet of M87. ApJ 2019, 879, 8. [Google Scholar] [CrossRef]
- Safarzadeh, M.; Loeb, A.; Reid, M. Constraining a black hole companion for M87* through imaging by the Event Horizon Telescope. MNRAS 2019, 488, L90–L93. [Google Scholar] [CrossRef]
- Longobardi, A.; Arnaboldi, M.; Gerhard, O.; Mihos, J.C. The build-up of the cD halo of M 87: Evidence for accretion in the last Gyr. A&A 2015, 579, L3. [Google Scholar] [CrossRef]
- Forman, W.; Nulsen, P.; Heinz, S.; Owen, F.; Eilek, J.; Vikhlinin, A.; Markevitch, M.; Kraft, R.; Churazov, E.; Jones, C. Reflections of Active Galactic Nucleus Outbursts in the Gaseous Atmosphere of M87. ApJ 2005, 635, 894–906. [Google Scholar] [CrossRef]
- Forman, W.; Churazov, E.; Jones, C.; Heinz, S.; Kraft, R.; Vikhlinin, A. Partitioning the Outburst Energy of a Low Eddington Accretion Rate AGN at the Center of an Elliptical Galaxy: The Recent 12 Myr History of the Supermassive Black Hole in M87. ApJ 2017, 844, 122. [Google Scholar] [CrossRef]
- Cantiello, M.; Grado, A.; Blakeslee, J.P.; Raimondo, G.; Di Rico, G.; Limatola, L.; Brocato, E.; Della Valle, M.; Gilmozzi, R. The distance to NGC 1316 (Fornax A): Yet another curious case. A&A 2013, 552, A106. [Google Scholar] [CrossRef]
- Geldzahler, B.J.; Fomalont, E.B. Radio observations of the jet in Fornax A. AJ 1984, 89, 1650–1657. [Google Scholar] [CrossRef]
- Nowak, N.; Saglia, R.P.; Thomas, J.; Bender, R.; Davies, R.I.; Gebhardt, K. The supermassive black hole of FornaxA. MNRAS 2008, 391, 1629–1649. [Google Scholar] [CrossRef]
- Mackie, G.; Fabbiano, G. Evolution of Gas and Stars in the Merger Galaxy NGC 1316 (Fornax A). AJ 1998, 115, 514–524. [Google Scholar] [CrossRef]
- Goudfrooij, P.; Mack, J.; Kissler-Patig, M.; Meylan, G.; Minniti, D. Kinematics, ages and metallicities of star clusters in NGC 1316: A 3-Gyr-old merger remnant. MNRAS 2001, 322, 643–657. [Google Scholar] [CrossRef]
- Iodice, E.; Spavone, M.; Capaccioli, M.; Peletier, R.F.; Richtler, T.; Hilker, M.; Mieske, S.; Limatola, L.; Grado, A.; Napolitano, N.R.; et al. The Fornax Deep Survey with VST. II. Fornax A: A Two-phase Assembly Caught in the Act. ApJ 2017, 839, 21. [Google Scholar] [CrossRef]
- Maccagni, F.M.; Murgia, M.; Serra, P.; Govoni, F.; Morokuma-Matsui, K.; Kleiner, D.; Buchner, S.; Józsa, G.I.G.; Kamphuis, P.; Makhathini, S.; et al. The flickering nuclear activity of Fornax A. A&A 2020, 634, A9. [Google Scholar] [CrossRef]
- Balmaverde, B.; Baldi, R.D.; Capetti, A. The accretion mechanism in low-power radio galaxies. A&A 2008, 486, 119–130. [Google Scholar] [CrossRef]
- Russell, H.R.; McNamara, B.R.; Edge, A.C.; Hogan, M.T.; Main, R.A.; Vantyghem, A.N. Radiative efficiency, variability and Bondi accretion on to massive black holes: The transition from radio AGN to quasars in brightest cluster galaxies. MNRAS 2013, 432, 530–553. [Google Scholar] [CrossRef]
- Matthews, J.H.; Bell, A.R.; Araudo, A.T.; Blundell, K.M. Cosmic ray acceleration to ultrahigh energy in radio galaxies. Eur. Phys. J. Web Conf. 2019, 210, 04002. [Google Scholar] [CrossRef][Green Version]
- Biteau, J.; Marafico, S.; Kerfis, Y.; Deligny, O. Cosmographic model of the astroparticle skies. In Proceedings of the 37th International Cosmic Ray Conference, Berlin, Germany, 12–23 July 2021; p. 1012. [Google Scholar] [CrossRef]
- Eichmann, B.; Rachen, J.P.; Merten, L.; van Vliet, A.; Becker Tjus, J. Ultra-high-energy cosmic rays from radio galaxies. JCAP 2018, 2018, 36. [Google Scholar] [CrossRef]
- Wykes, S.; Taylor, A.M.; Bray, J.D.; Hardcastle, M.J.; Hillas, M. UHECR propagation from Centaurus A. Nucl. Part. Phys. Proc. 2018, 297–299, 234–241. [Google Scholar] [CrossRef][Green Version]
- Kobzar, O.; Hnatyk, B.; Marchenko, V.; Sushchov, O. Search for ultra high-energy cosmic rays from radiogalaxy Virgo A. MNRAS 2019, 484, 1790–1799. [Google Scholar] [CrossRef]
- Fraija, N.; Araya, M.; Galván-Gámez, A.; de Diego, J.A. Analysis of Fermi-LAT observations, UHECRs and neutrinos from the radio galaxy Centaurus B. JCAP 2019, 2019, 23. [Google Scholar] [CrossRef]
- Norman, C.A.; Melrose, D.B.; Achterberg, A. The Origin of Cosmic Rays above 1018.5 eV. ApJ 1995, 454, 60. [Google Scholar] [CrossRef]
- Aharonian, F.A.; Belyanin, A.A.; Derishev, E.V.; Kocharovsky, V.V.; Kocharovsky, V.V. Constraints on the extremely high-energy cosmic ray accelerators from classical electrodynamics. Phys. Rev. D 2002, 66, 023005. [Google Scholar] [CrossRef]
- Lemoine, M.; Waxman, E. Anisotropy vs. chemical composition at ultra-high energies. JCAP 2009, 2009, 9. [Google Scholar] [CrossRef]
- Liu, R.Y.; Taylor, A.M.; Lemoine, M.; Wang, X.Y.; Waxman, E. Constraints on the Source of Ultra-high-energy Cosmic Rays Using Anisotropy versus Chemical Composition. ApJ 2013, 776, 88. [Google Scholar] [CrossRef][Green Version]
- Lemoine, M. On Ultra-High Rigidity Cosmic Rays. In Proceedings of the Ultra-High Energy Cosmic Rays (UHECR2016), Paris, France, 8–12 October 2018; p. 011004. [Google Scholar] [CrossRef][Green Version]
- Heckman, T.M.; Thompson, T.A. Galactic Winds and the Role Played by Massive Stars. arXiv 2017, arXiv:1701.09062. [Google Scholar]
- Romero, G.E.; Müller, A.L.; Roth, M. Particle acceleration in the superwinds of starburst galaxies. A&A 2018, 616, A57. [Google Scholar] [CrossRef]
- Zhang, D. A Review of the Theory of Galactic Winds Driven by Stellar Feedback. Galaxies 2018, 6, 114. [Google Scholar] [CrossRef]
- Rieger, F.M.; Bosch-Ramon, V.; Duffy, P. Fermi acceleration in astrophysical jets. Ap&SS 2007, 309, 119–125. [Google Scholar] [CrossRef]
- Lemoine, M. Generalized Fermi acceleration. Phys. Rev. D 2019, 99, 083006. [Google Scholar] [CrossRef]
- Boldt, E.; Ghosh, P. Cosmic rays from remnants of quasars? MNRAS 1999, 307, 491–494. [Google Scholar] [CrossRef][Green Version]
- Levinson, A. Particle Acceleration and Curvature TeV Emission by Rotating, Supermassive Black Holes. Phys. Rev. Lett. 2000, 85, 912–915. [Google Scholar] [CrossRef]
- Neronov, A.Y.; Semikoz, D.V.; Tkachev, I.I. Ultra-high energy cosmic ray production in the polar cap regions of black hole magnetospheres. New J. Phys. 2009, 11, 065015. [Google Scholar] [CrossRef]
- Rieger, F.M. Nonthermal Processes in Black Hole-Jet Magnetospheres. Int. J. Mod. Phys. D 2011, 20, 1547–1596. [Google Scholar] [CrossRef]
- Ptitsyna, K.; Neronov, A. Particle acceleration in the vacuum gaps in black hole magnetospheres. A&A 2016, 593, A8. [Google Scholar] [CrossRef]
- Moncada, R.J.; Colon, R.A.; Guerra, J.J.; O’Dowd, M.J.; Anchordoqui, L.A. Ultrahigh energy cosmic ray nuclei from remnants of dead quasars. J. High Energy Astrophys. 2017, 13, 32–45. [Google Scholar] [CrossRef]
- Katsoulakos, G.; Rieger, F.M. Gap-type Particle Acceleration in the Magnetospheres of Rotating Supermassive Black Holes. ApJ 2020, 895, 99. [Google Scholar] [CrossRef]
- Rieger, F.; Levinson, A. Radio Galaxies at VHE Energies. Galaxies 2018, 6, 116. [Google Scholar] [CrossRef]
- Katsoulakos, G.; Rieger, F.M. Magnetospheric Gamma-Ray Emission in Active Galactic Nuclei. ApJ 2018, 852, 112. [Google Scholar] [CrossRef]
- Levinson, A.; Rieger, F. Variable TeV Emission as a Manifestation of Jet Formation in M87? ApJ 2011, 730, 123. [Google Scholar] [CrossRef]
- Hirotani, K.; Pu, H.Y.; Lin, L.C.C.; Chang, H.K.; Inoue, M.; Kong, A.K.H.; Matsushita, S.; Tam, P.H.T. Lepton Acceleration in the Vicinity of the Event Horizon: High-energy and Very-high-energy Emissions from Rotating Black Holes with Various Masses. ApJ 2016, 833, 142. [Google Scholar] [CrossRef]
- Pedaletti, G.; Wagner, S.J.; Rieger, F.M. Very High Energy γ-ray Emission from Passive Supermassive Black Holes: Constraints for NGC 1399. ApJ 2011, 738, 142. [Google Scholar] [CrossRef][Green Version]
- Georganopoulos, M.; Meyer, E.; Perlman, E. Recent Progress in Understanding the Large Scale Jets of Powerful Quasars. Galaxies 2016, 4, 65. [Google Scholar] [CrossRef]
- Breiding, P.; Meyer, E.T.; Georganopoulos, M.; Keenan, M.E.; DeNigris, N.S.; Hewitt, J. Fermi Non-detections of Four X-Ray Jet Sources and Implications for the IC/CMB Mechanism. ApJ 2017, 849, 95. [Google Scholar] [CrossRef]
- Liu, R.Y.; Rieger, F.M.; Aharonian, F.A. Particle Acceleration in Mildly Relativistic Shearing Flows: The Interplay of Systematic and Stochastic Effects, and the Origin of the Extended High-energy Emission in AGN Jets. ApJ 2017, 842, 39. [Google Scholar] [CrossRef]
- Tavecchio, F. Constraining the shear acceleration model for the X-ray emission of large-scale extragalactic jets. MNRAS 2021, 501, 6199–6207. [Google Scholar] [CrossRef]
- Rieger, F.M.; Duffy, P. Turbulence and Particle Acceleration in Shearing Flows. ApJL 2021, 907, L2. [Google Scholar] [CrossRef]
- Wang, J.S.; Reville, B.; Liu, R.Y.; Rieger, F.M.; Aharonian, F.A. Particle acceleration in shearing flows: The case for large-scale jets. MNRAS 2021, 505, 1334–1341. [Google Scholar] [CrossRef]
- Mizuno, Y. GRMHD Simulations and Modeling for Jet Formation and Acceleration Region in AGNs. Universe 2022, 8, 85. [Google Scholar] [CrossRef]
- Perucho, M. Dissipative Processes and Their Role in the Evolution of Radio Galaxies. Galaxies 2019, 7, 70. [Google Scholar] [CrossRef]
- Kim, J.Y.; Krichbaum, T.P.; Lu, R.S.; Ros, E.; Bach, U.; Bremer, M.; de Vicente, P.; Lindqvist, M.; Zensus, J.A. The limb-brightened jet of M87 down to the 7 Schwarzschild radii scale. A&A 2018, 616, A188. [Google Scholar] [CrossRef]
- Rieger, F.M. An Introduction to Particle Acceleration in Shearing Flows. Galaxies 2019, 7, 3. [Google Scholar] [CrossRef]
- Ostrowski, M. Acceleration of ultra-high energy cosmic ray particles in relativistic jets in extragalactic radio sources. A&A 1998, 335, 134–144. [Google Scholar]
- Ostrowski, M. On possible ‘cosmic ray cocoons’ of relativistic jets. MNRAS 2000, 312, 579–584. [Google Scholar] [CrossRef][Green Version]
- Caprioli, D. “Espresso” Acceleration of Ultra-high-energy Cosmic Rays. ApJL 2015, 811, L38. [Google Scholar] [CrossRef]
- Kimura, S.S.; Murase, K.; Zhang, B.T. Ultrahigh-energy cosmic-ray nuclei from black hole jets: Recycling galactic cosmic rays through shear acceleration. Phys. Rev. D 2018, 97, 023026. [Google Scholar] [CrossRef]
- Mbarek, R.; Caprioli, D. Espresso and Stochastic Acceleration of Ultra-high-energy Cosmic Rays in Relativistic Jets. ApJ 2021, 921, 85. [Google Scholar] [CrossRef]
- Rieger, F.M.; Duffy, P. Shear Acceleration in Relativistic Astrophysical Jets. ApJ 2004, 617, 155–161. [Google Scholar] [CrossRef]
- Rieger, F.M.; Duffy, P. Shear Acceleration in Expanding Flows. ApJ 2016, 833, 34. [Google Scholar] [CrossRef]
- Webb, G.M.; Barghouty, A.F.; Hu, Q.; le Roux, J.A. Particle Acceleration Due to Cosmic-ray Viscosity and Fluid Shear in Astrophysical Jets. ApJ 2018, 855, 31. [Google Scholar] [CrossRef]
- Webb, G.M.; Al-Nussirat, S.; Mostafavi, P.; Barghouty, A.F.; Li, G.; le Roux, J.A.; Zank, G.P. Particle Acceleration by Cosmic Ray Viscosity in Radio-jet Shear Flows. ApJ 2019, 881, 123. [Google Scholar] [CrossRef]
- Webb, G.M.; Mostafavi, P.; Al-Nussirat, S.; Barghouty, A.F.; Li, G.; le Roux, J.A.; Zank, G.P. Cosmic-Ray Acceleration in Radio-jet Shear Flows: Scattering Inside and Outside the Jet. ApJ 2020, 894, 95. [Google Scholar] [CrossRef]
- Merten, L.; Boughelilba, M.; Reimer, A.; Da Vela, P.; Vorobiov, S.; Tavecchio, F.; Bonnoli, G.; Lundquist, J.P.; Righi, C. Scrutinizing FR 0 radio galaxies as ultra-high-energy cosmic ray source candidates. Astropart. Phys. 2021, 128, 102564. [Google Scholar] [CrossRef]
- Rieger, F.M.; Duffy, P. Particle Acceleration in Relativistic Shearing Flows: Energy Spectrum. ApJ 2022, 933, 149. [Google Scholar] [CrossRef]
- Bosch-Ramon, V.; Perucho, M.; Barkov, M.V. Clouds and red giants interacting with the base of AGN jets. A&A 2012, 539, A69. [Google Scholar] [CrossRef]
- Gallant, Y.A.; Achterberg, A. Ultra-high-energy cosmic ray acceleration by relativistic blast waves. MNRAS 1999, 305, L6–L10. [Google Scholar] [CrossRef]
- Rieger, F.M.; Duffy, P. A Microscopic Analysis of Shear Acceleration. ApJ 2006, 652, 1044–1049. [Google Scholar] [CrossRef]
- Mbarek, R.; Caprioli, D. Bottom-up Acceleration of Ultra-high-energy Cosmic Rays in the Jets of Active Galactic Nuclei. ApJ 2019, 886, 8. [Google Scholar] [CrossRef]
- Lemoine, M.; Pelletier, G. On electromagnetic instabilities at ultra-relativistic shock waves. MNRAS 2010, 402, 321–334. [Google Scholar] [CrossRef]
- Sironi, L.; Spitkovsky, A. Particle Acceleration in Relativistic Magnetized Collisionless Electron-Ion Shocks. ApJ 2011, 726, 75. [Google Scholar] [CrossRef]
- Bell, A.R.; Araudo, A.T.; Matthews, J.H.; Blundell, K.M. Cosmic-ray acceleration by relativistic shocks: Limits and estimates. MNRAS 2018, 473, 2364–2371. [Google Scholar] [CrossRef]
- Vanthieghem, A.; Lemoine, M.; Plotnikov, I.; Grassi, A.; Grech, M.; Gremillet, L.; Pelletier, G. Physics and Phenomenology of Weakly Magnetized, Relativistic Astrophysical Shock Waves. Galaxies 2020, 8, 33. [Google Scholar] [CrossRef]
- Matthews, J.H.; Bell, A.R.; Blundell, K.M.; Araudo, A.T. Ultrahigh energy cosmic rays from shocks in the lobes of powerful radio galaxies. MNRAS 2019, 482, 4303–4321. [Google Scholar] [CrossRef]
- Pope, M.H.; Melrose, D.B. Diffusive shock acceleration by multiple shock fronts with differing properties. PASA 1994, 11, 175–179. [Google Scholar] [CrossRef]
- Gieseler, U.D.J.; Jones, T.W. First order Fermi acceleration at multiple oblique shocks. A&A 2000, 357, 1133–1136. [Google Scholar]
- Aab, A.; Abreu, P.; Aglietta, M.; Samarai, I.A.; Albuquerque, I.F.M.; Allekotte, I.; Almela, A.; Alvarez Castillo, J.; Alvarez-Muñiz, J.; Anastasi, G.A.; et al. Combined fit of spectrum and composition data as measured by the Pierre Auger Observatory. JCAP 2017, 2017, 38. [Google Scholar] [CrossRef]
- Perucho, M.; Martí, J.M. A numerical simulation of the evolution and fate of a Fanaroff-Riley type I jet. The case of 3C 31. MNRAS 2007, 382, 526–542. [Google Scholar] [CrossRef]
- Perucho, M.; Martí, J.M.; Quilis, V. Long-term FRII jet evolution: Clues from three-dimensional simulations. MNRAS 2019, 482, 3718–3735. [Google Scholar] [CrossRef]
- Bell, A.R.; Matthews, J.H.; Blundell, K.M.; Araudo, A.T. Cosmic ray acceleration in hydromagnetic flux tubes. MNRAS 2019, 487, 4571–4579. [Google Scholar] [CrossRef]
- Araudo, A.T.; Bell, A.R.; Blundell, K.M.; Matthews, J.H. On the maximum energy of non-thermal particles in the primary hotspot of Cygnus A. MNRAS 2018, 473, 3500–3506. [Google Scholar] [CrossRef]
- Mészáros, P.; Fox, D.B.; Hanna, C.; Murase, K. Multi-messenger astrophysics. Nat. Rev. Phys. 2019, 1, 585–599. [Google Scholar] [CrossRef]


















Publisher’s Note: MDPI stays neutral with regard to jurisdictional claims in published maps and institutional affiliations. |
© 2022 by the author. Licensee MDPI, Basel, Switzerland. This article is an open access article distributed under the terms and conditions of the Creative Commons Attribution (CC BY) license (https://creativecommons.org/licenses/by/4.0/).
Share and Cite
Rieger, F.M. Active Galactic Nuclei as Potential Sources of Ultra-High Energy Cosmic Rays. Universe 2022, 8, 607. https://doi.org/10.3390/universe8110607
Rieger FM. Active Galactic Nuclei as Potential Sources of Ultra-High Energy Cosmic Rays. Universe. 2022; 8(11):607. https://doi.org/10.3390/universe8110607
Chicago/Turabian StyleRieger, Frank M. 2022. "Active Galactic Nuclei as Potential Sources of Ultra-High Energy Cosmic Rays" Universe 8, no. 11: 607. https://doi.org/10.3390/universe8110607
APA StyleRieger, F. M. (2022). Active Galactic Nuclei as Potential Sources of Ultra-High Energy Cosmic Rays. Universe, 8(11), 607. https://doi.org/10.3390/universe8110607

