Next Article in Journal
Does Lorentz Relativistic Mass Make Dark Energy Superfluous?
Next Article in Special Issue
Tidal Effects and Clock Comparison Experiments
Previous Article in Journal
Longitudinal Variations in Equatorial Ionospheric TEC from GPS, Global Ionosphere Map and International Reference Ionosphere-2016 during the Descending and Minimum Phases of Solar Cycle 24
Previous Article in Special Issue
Dynamics of Charged Particles Moving around Kerr Black Hole with Inductive Charge and External Magnetic Field
 
 
Font Type:
Arial Georgia Verdana
Font Size:
Aa Aa Aa
Line Spacing:
Column Width:
Background:
Article

Tidal Deformability of Neutron Stars in Unimodular Gravity

Department of Physics and Center for Astrophysics, Shanghai Normal University, Shanghai 200234, China
*
Author to whom correspondence should be addressed.
These authors contributed equally to this work.
Universe 2022, 8(11), 576; https://doi.org/10.3390/universe8110576
Submission received: 30 September 2022 / Revised: 27 October 2022 / Accepted: 31 October 2022 / Published: 2 November 2022
(This article belongs to the Special Issue Tidal Effects in General Relativity)

Abstract

Unimodular gravity is a modified theory with respect to general relativity by an extra condition that the determinant of the metric is fixed. Especially, if the energy-momentum tensor is not imposed to be conserved separately, a new geometric structure will appear with potential observational signatures. In this paper, we study the tidal deformability of a compact star in unimodular gravity under the assumption of a non-conserved energy-momentum tensor. Both the electric-type and magnetic-type quadrupole tidal Love numbers are calculated for neutron stars using the polytrope model. It is found that the electric-type tidal Love numbers are monotonically increasing, but the magnetic-type ones are decreasing, with the increase in the non-conservation parameter. Compared with the observational data from the detected gravitational-wave events, a small negative non-conservation parameter is favored.

1. Introduction

The tidal deformability, or equivalently the tidal Love number (TLN), characterizes the degree of the response of a body to an external tidal force [1]. The observations of gravitational waves from the coalescing neutron star and neutron-star-black-hole binaries can measure the tidal deformability of neutron stars [2,3], which enable us not only to reveal important information regarding their internal structure and the equation of state (EOS) of high-dense nuclear matter but also to test the property of gravity in a strong field regime [4]. Therefore, it is interesting to quantify the effects from gravity on the TLNs in different gravitational theories. The theory of TLNs in general relativity (GR) has been developed elegantly [5,6,7]. The TLNs of neutron stars, black holes, and other compact objects in modified theories of gravity have been studied in a few cases in the past years (see, for example, Refs. [8,9,10]). In Ref. [11], Meng and Liu calculate the TLNs of neutron stars in Rastall gravity and find that they are significantly smaller than those in GR.
Unimodular gravity (UG) is another alternative formulation of the gravitational theory initiated by Einstein himself, shortly after the birth of GR [12]. The basic idea behind UG is that the determinant of the metric of spacetime is kept fixed instead of being a dynamical variable. This constraint reduces the symmetry of the diffeomorphism group to the group of unimodular general coordinate transformations. As a consequence, the equations governing the dynamics of spacetime are the traceless Einstein equations. Thus, the vacuum energy in UG has no direct gravitational effect, and the cosmological constant becomes simply an integration constant of the dynamics. Due to this property, Weinberg pointed out that UG could be used to deal with the cosmological constant problem [13].
The above form of UG works under an important hypothesis that the energy-momentum tensor is covariantly conserved. It turns out that if the conservation of the energy-momentum tensor is imposed, at least in the classical level, UG corresponds to GR with an additional integration constant associated to the cosmological term [14]1 (see, for a recent review, [16]). However, it should be kept in mind that the conservation of the energy-momentum tensor is not automatic in UG but is introduced as an additional assumption. If the energy-momentum tensor does not obey the usual conservation laws, the correspondence with GR is broken in the presence of matter.
UG with or without the hypothesis of conservation of the energy-momentum tensor has been extensively investigated in the literature [17,18,19,20,21], particularly in the context of cosmology [22,23,24,25,26] and in the quantization problem of gravity [27,28,29]. Recently, the evolution of gravitational waves in UG without the conservation of the energy-momentum tensor is considered, and the differernce compared to the usual signatures in GR is shown [30]. In view of the extensive interest of UG in the community of gravitation, it is of importance to seriously investigate the stellar dynamics in UG.
The stellar dynamics in UG under the assumption of non-conserved energy-momentum are considered in [31], and it is found that modifications due to the non-conservation of energy-momentum lead to sizeable effects that could be constrained with observational data. Therefore, it is of interest to investigate the effect of the violation of the classical energy-momentum conservation on the tidal deformability of compact stars in UG. In the present paper, we want to calculate the tidal Love numbers of a neutron star in the fully relativistic polytrope model within the framework of UG.
The rest of the paper is organized as follows: in Section 2, we briefly review the theoretical framework of UG. Section 3 is dedicated to the study of static, spherically symmetric solutions of the modified Tolman–Oppenheimer–Volkoff (TOV) equation under an assumption of the non-conservation of energy-momentum to account for stars described by a polytropic EOS. In Section 4, we study the static linearized perturbations of the neutron star and introduce the definition of TLNs. Then, we perform a numerical analysis and explore the relationship between the TLNs and the non-conservation parameter, obtaining modifications that could provide constraints on the non-conservation of energy-momentum. Finally, in Section 5 we present our conclusions and provide a discussion. In this paper, we work in geometric units c = G = 1 , unless otherwise noted.

2. Unimodular Gravity: Action and Field Equations

As is pointed out in the introduction, UG is an alternative theory of gravity, which can be viewed as GR with a so-called unimodular condition2
g = 1 .
By introducing a Lagrange undetermined multiplier λ into the Einstein–Hilbert action, UG would be defined by the following action:
S = 1 16 π g R + λ g 1 + S M ,
where S M denotes the action for some matter fields. The variation of λ recovers the unimodular condition (1), and the variation with respect to g μ ν yields
R μ ν 1 2 g μ ν R 1 2 g μ ν λ = 8 π T μ ν ,
where
T μ ν 2 g δ S M δ g μ ν
is the energy-momentum tensor of the matter field as usual. The trace of Equation (3) gives the Lagrange multiplier, which reads
λ = 1 2 8 π T + R .
Substituting this result back into Equation (3) leads to the trace-free version of the Einstein field equations, which will be used later
R μ ν 1 4 g μ ν R = 8 π T μ ν 1 4 g μ ν T .
If the covariant conservation law of the energy-momentum tensor μ T μ ν = 0 is assumed, then the Bianchi identities, i.e., the vanishing divergence of the Einstein tensor μ G μ ν = 0 , imply that
8 π T + R = 4 Λ ,
where Λ is a constant of integration. Inserting it in Equation (6), we obtain
G μ ν + Λ g μ ν = 8 π T μ ν ,
which means that UG is equivalent to GR with the cosmological constant appearing as an arbitrary integration constant, once the energy-momentum tensor conservation is imposed.
Thus, in order to find the deviation of the stellar dynamics and the tidal response from those in GR, we attempt to break the conservation of T μ ν in the following sections.

3. Neutron Stars in UG

To calculate the tidal Love numbers, we first need to get a neutron star solution in UG. To this end, let us consider a static, spherically symmetric star solution, the metric of which in the spherical coordinates t , r , θ , φ can be written as
g μ ν 0 d x μ d x ν = e 2 α r d t 2 + e 2 β r d r 2 + r 2 d θ 2 + r 2 sin 2 θ d φ 2 ,
where both α and β are only functions of radial coordinate r. Obviously, the metric above does not satisfy the unimodular condition (1); however, we can perform a coordinate transformation
d r = e α r + β r r 2 d y , x = cos θ ,
and rewrite the Equation (9) in the unimodular coordinate system { t , y , x , φ } as
g μ ν 0 d x μ d x ν = e 2 α y d t 2 + e 2 α y r 4 y d y 2 + r 2 y 1 x 2 d x 2 + r 2 y ( 1 x 2 ) d φ 2 ,
where the Equation (1) is satisfied explicitly. In fact, it can be proved that the physical results are the same in both systems [31]. Therefore, we still work in the standard spherical coordinates.
Furthermore, the matter within the star takes an isotropic perfect fluid described by the energy-momentum tensor
T μ ν 0 = ρ r + p r U μ U ν + p r g μ ν 0 ,
where ρ and p are the energy density and pressure measured by a comoving observer, respectively, while U μ = e α , 0 , 0 , 0 is the 4-velocity.
Outside the star, there is no matter. Then, from Equations (6) and (9) it follows that the vacuum solution in UG has the Schwarzschild–de Sitter form
e 2 α = e 2 β = 1 + c 1 r + c 2 r 2
with two integration constants c 1 and c 2 . Clearly, c 2 plays the role of cosmological constant, which can be neglected for our purpose. Therefore, the Schwarzschild solution in UG is obtained with c 1 = 2 M and M the mass of the star.
Inside the star, feeding back Equations (9) and (12) into UG field Equation (6), we obtain that
m = m r r 2 m f + 4 π r 2 ρ + p ,
f = 4 π r 3 ρ + p 1 + r f 2 m r 2 r 2 m 2 f 2 ,
where the primes denote derivatives with respect to the radial coordinate r. Here, the mass function m is introduced by
e 2 β = 1 2 m r r 1 ,
and f α .
Two significant facts should be illustrated at this point. First, it is known that, in GR, the stellar structure and spacetime geometry are built by three independent differential equations, in which the θ θ -component is equivalent to the conservation μ T μ r = 0 ; however, here in UG, there are only two independent equations, namely, Equations (14) and (15); due to the constraints of the unimodular condition (1) on the metric or the traceless property of the equations of motion (6), the conservation of energy is not essential, at least from a purely theoretical point of view. Second, unlike in GR, one cannot eliminate all the second derivatives both of α and β from the field Equation (6) under the ansatz (9) and (12) by some algebraic manipulations; this is why we bring in function f here.
As mentioned above, the only two independent equations are not enough to determine the four dependent variables m, f, ρ and p. In order to close the system, following Ref. [31], we assume that the non-conservation behavior of energy-momentum tensor takes the following form:
μ T μ ν = k ρ δ ν r
where k is a constant. When k is set to be zero, we hope that the GR solutions could be recovered. In Ref. [31], Astorga–Moreno et al. showed that a positive k may lead to larger star compactness than the GR ones. After some straightforward computations, Equation (17) becomes
p = ρ + p f + k ρ ,
which is the modified TOV equation, or the equation of hydrostatic equilibrium in UG, except that f cannot be written explicitly. In addition, one needs an EOS to supplement the system of equations, i.e., to specify a relation between density and pressure, p = p ρ . A simple but somewhat realistic model describing the EOS for nuclear matter is known as a polytrope model, which is given by
p = κ ρ Γ ,
where κ is a constant and the exponent Γ is the so-called adiabatic index, associated with the polytropic index n via Γ = 1 + 1 / n .
Now, we can solve this system numerically to get an equilibrium configuration of the star with Newtonian mass M, as long as a set of initial conditions at the center of the star are specified appropriately. To do so, let us consider the Taylor series expansion of the functions m, ρ , and f near r = 0 , and fix the value of ρ 0 with k = 0 to be the same as in the GR solution, such that the contribution of cosmological constant is eliminated. Next, just integrate Equations (14), (15), (18) and (19) outward in the domain 0 < r < R , where R is the surface of the star determined by the condition p = 0 .

4. Static Linearized Perturbations and TLNs

Suppose we have a neutron star immersed in an external tidal field, which, for example, arises from its companion in a binary system. Consequently, the original spherical body is deformed by the tidal force and develops some mass multipole moments in response to the tidal field. Tidal Love numbers characterize the deformability of the stellar objects, the bigger TLNs, and the bigger deformation.
In short, the spacetime geometry is perturbed by the external tidal field, and we can write
g μ ν = g μ ν 0 + h μ ν ,
where g μ ν 0 is the background metric defined by Equation (9) in the previous section, whereas h μ ν is a small perturbation owing to the tidal field, satisfying | h μ ν | | g μ ν 0 | . In the Regge–Wheeler gauge, according to the parity of the spherical harmonics under the rotation on 2-sphere S 2 , the perturbation metric h μ ν can be decomposed into even and odd parts according to parity under the rotation in ( θ , ϕ ) -plane [4,6]
h μ ν = h μ ν even + h μ ν odd ,
with
h μ ν even = e 2 α H 0 r H 1 r 0 0 H 1 r e 2 β H 2 r 0 0 0 0 r 2 K r 0 0 0 0 r 2 sin 2 θ K r Y l m θ , φ ,
h μ ν odd = 0 0 h 0 r S θ l m θ , φ h 0 r S φ l m θ , φ 0 0 h 1 r S θ l m θ , φ h 1 r S φ l m θ , φ h 0 r S θ l m θ , φ h 1 r S θ l m θ , φ 0 0 h 0 r S φ l m θ , φ h 1 r S φ l m θ , φ 0 0 .
Here, Y l m is the scalar spherical harmonics, and S θ l m φ Y l m / sin θ and S φ l m sin θ θ Y l m are two axial vector spherical harmonics. All the functions in h μ ν are independent of time t, which means that the tidal field is assumed to be stationary for our purpose. Actually, this is a typical scenario occuring in the inspiral stage of the binary system.
Substituting (20) into the left hand side of Equation (6) and keeping only up to the first order terms in h μ ν , one reaches the linearized UG equations
δ R μ ν 1 4 δ μ ν δ R = 8 π δ T μ ν 1 4 δ μ ν δ T ,
where
δ T μ ν = diag δ ρ r , δ p r , δ p r , δ p r Y l m θ , φ
is the corresponding fluctuations of matter field to the background (12).
Henceforth, we shall focus our attention on the lowest quadrupolar order l = 2 in perturbations because it dominates the tidal deformation of the stars. Because of the spherical symmetry of the system, we set the magnetic quantum number m = 0 without a loss of generality. For a non-rotating object, the even-parity sector decouples completely from the odd-parity sector in the linear level and vice versa. We therefore can discuss them individually; the former and the latter are related to the TLNs of electric-type and magnetic-type, respectively.

4.1. Even-Parity Sector

In this circumstance, the linearized Equation (24), along with Equation (22), yield in turn: H 1 = 0 , H 2 = H 0 , K = H 0 2 H 0 α , and
K = 1 2 e 2 β r 2 H 0 α + H 0 1 3 e 2 β + r α + r β + 2 r 2 α 2 .
Using these results, we finally obtain a single 2-order homogeneous differential equation for H 0 H as
H + P r H + Q r H = 0 ,
where the coefficients are
P = 1 + e 2 β + r 2 f + 2 r 1 + 2 r f f 2 π r ρ + p e 2 β r 2 f
and
Q = 2 1 + 2 r 2 f + 2 r f 1 + r f r 2 4 e 2 β π 1 + 1 c s 2 p f + 1 + 4 π r 3 ρ + p f r 2 ,
where c s 2 = d p / d ρ is the speed of sound in the fluid.
Outside the star, we have ρ = p = 0 , m = M , and f = M / r r 2 M , so Equation (27) reduces to
H + 2 r M r r 2 M H 2 2 M 2 6 M r + 3 r 2 r 2 r 2 M 2 H = 0 .
The general solution to the above equation is found to be
H = a 1 P 2 ( 2 ) r M 1 + a 2 Q 2 ( 2 ) r M 1 ,
where functions P 2 ( 2 ) and Q 2 ( 2 ) are two independent associated Legendre functions with degree 2 and order 2. Here, two combination coefficients a 1 and a 2 are evaluated by integrating Equation (27) inside the star and matching it to the exterior solution at the surface R.
Eventually, the asymptotic behaviour of the solution (31) at infinity r determines the quadrupolar electric-type TLNs; thus,
k 2 E 4 15 C 5 a 2 a 1 = 8 5 C 5 1 2 C 2 2 C y 1 + 2 y { 2 C 4 C 4 y + 1 + 2 C 3 3 y 2 + 2 C 2 13 11 y + 3 C 5 y 8 + 6 3 y + 3 1 2 C 2 2 C y 1 + 2 y ln ( 1 2 C ) } 1 ,
where C M / R stands for the compactness of the star, and y R H R / H R . For a comparison with observations, it is convenient to introduce the dimensionless tidal deformability
Λ 2 k 2 E 3 C 5 .
In Figure 1, we plot the dimensionless tidal deformability Λ of a star made from the interacting Fermi gas (corresponding to the adiabatic index Γ = 2 ) as a function of the star mass M for different value of dimensionless non-conservation parameter k ˜ = 1.73 × 10 6 cm k , where k is defined in Equation (17) and the numerical factor is a typical length scale for the interacting Fermi gas system. Furthermore, we compare them with the 90 % confidence upper bounds on Λ for GW170817 [32] (blue box) and GW190425 [33] (green and red boxes for the primary and secondary components) and the 90 % confidence intervals on the masses of the observed neutron stars [34]. Clearly, both the mass and tidal deformability of the star are heavily influenced by the non-conservation of energy-momentum tensor. The star mass and the tidal deformability are both monotonically increasing with the increase in the value of parameter k. Compared with the observations of gravitational wave, a negative k is favored.

4.2. Odd-Parity Sector

For odd-parity perturbations (23), from Equation (24) we find h 1 = 0 and h 0 h satisfying the following equation
h 4 π r ρ + p e 2 β h 2 f + 2 f 2 4 π r f ρ + p e 2 β + 3 e 2 β r 2 h = 0 .
Outside the star, the above equation reduces to
h + 2 2 M 3 r r 2 r 2 M h = 0 ,
and the general solution of this simple equation can be expressed as
h = b 1 r 2 M 2 2 F 1 1 , 4 , 4 ; r 2 M + b 2 2 M r 2 2 F 1 1 , 4 , 6 ; 2 M r ,
where b 1 and b 2 are two undetermined constants, and 2 F 1 denotes the hypergeometric function. Similarly, the quadrupolar magnetic-type TLNs now reads
k 2 M 32 3 C 5 b 2 b 1 = 8 5 C 5 2 C z 2 z + 3 2 C 2 C 3 z + 1 + 2 C 2 z + 3 C z 1 3 z + 9 + 3 2 C z 2 z + 3 ln 1 2 C } 1 ,
with z R h R / h R .
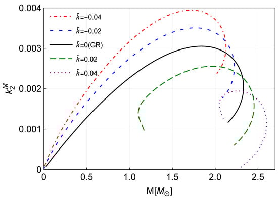
In Figure 2, the magnetic-type quadrupolar TLNs k 2 M are plotted as a function of the star mass M for the cases with different values of the parameter k ˜ . The EOS of the matter is chosen to be the same as in Figure 1. It is shown that for the same mass M, k 2 M is monotonically decreased with the increase in the value of parameter k.

5. Conclusions and Discussions

In this work, we have computed the TLNs of a spherically symmetric neutron star in the fully relativistic polytrope model within the framework of UG with non-conserved energy-momentum tensor. We show that the non-conservation of the energy-momentum tensor has a remarkable influence on the tidal deformability of the neutron star. For the case with the positive covariant divergence of the energy-momentum tensor, the electric-type TLNs of the star are increased relative to those in GR, whereas the magnetic-type ones are decreased. On the contrary, the tidal deformabilities of the star become smaller than those in GR for the same star mass, when the energy-momentum tensor of matter has negative covariant divergence. Furthermore, we compare our results with the observational data from detected gravitatonal-wave events GW170817 and GW190425 and find that a negative non-conservation parameter, which indicates a negative covariant divergence of energy-momentum tensor of matter, seems to be more favored.
It is well-known that different EOS can lead to significant differences in the macroscopic quantities of neutron stars, such as mass, radii, and deformability. Therefore, it is worthwhile to investigate the tidal deformability of the neutron star with more realistic EOS (see, e.g., [35,36,37]) within the framework of UG. Our conclusions drawn above may have to be changed, due to the degeneracy between the modification of gravity and the EOS of nuclear matter in the neutron stars.
One the other hand, our results provide new evidence of the degeneracy, just as in Ref. [11], where another kind of the non-conservation of energy-momemtum tensor is introduced. Note that the electric-type and magnetic-type TLNs show exactly the opposite behavior (that is, if the electric-type TLNs are depressed, the magnetic-type TLNs are raised) in the present work; however, in [11], both of the two types of TLNs are depressed. Given that the electric-type TLNs are favored to be lowered for the star in the polytrope model by the current gravitational wave observations, it is expected that the next-generation detectors are able to distinguish the different behaviors of the magnetic-type TLNs shown in this work and Ref. [11].
Finally, it should be pointed out that we have only assumed a special kind of violation of conservation of the energy-momentum tensor as Equation (17) in this paper. It would be interesting to investigate the tidal deformabilities of the neutron stars with other forms of non-conservation of the energy-momentum tensor within the framework of UG. In particular, the Newtonian limit of Equation (17) contains some anomalies. It implies that some screening mechanisms are essential as a supplement to the modified theory [38,39,40], such that the effect caused by Equation (17) can be suppressed in weak gravitational fields and pass stringent solar system tests of gravity. We leave these issues for future work.

Author Contributions

Conceptualization, D.-J.L.; Formal analysis, R.-X.Y., F.X. and D.-J.L.; methodology, R.-X.Y., F.X. and D.-J.L.; numerical computation, R.-X.Y. and F.X.; writing—original draft, R.-X.Y. and D.-J.L.; writing—review and editing, R.-X.Y., F.X. and D.-J.L. All authors have read and agreed to the published version of the manuscript.

Funding

This work is supported by the innovation programme of Shanghai Normal University under Grant No. KF202147.

Institutional Review Board Statement

Not applicable.

Informed Consent Statement

Not applicable.

Data Availability Statement

Not applicable.

Acknowledgments

The authors are indebted to Xing-Hua Jin for helpful discussions.

Conflicts of Interest

The authors declare no conflict of interest.

Notes

1
Actually, even imposing the conservation of the energy-momentum tensor, some new features may appear at perturbative level, see Ref. [15].
2
This constraint reduces the full diffeomorphism group of spacetime to transverse diffeomorphisms subgroup satisfying g μ ν δ g μ ν = 0 .

References

  1. Poisson, E.; Will, C.M. Gravity: Newtonian, Post-Newtonian, Relativistic; Cambridge University Press: New York, NY, USA, 2014. [Google Scholar]
  2. Flanagan, E.E.; Hinderer, T. Constraining neutron star tidal Love numbers with gravitational wave detectors. Phys. Rev. D 2008, 77, 021502. [Google Scholar] [CrossRef]
  3. Hinderer, T.; Lackey, B.D.; Lang, R.N.; Read, J.S. Tidal deformability of neutron stars with realistic equations of state and their gravitational wave signatures in binary inspiral. Phys. Rev. D 2010, 81, 123016. [Google Scholar] [CrossRef]
  4. Cardoso, V.; Franzin, E.; Maselli, A.; Pani, P.; Raposo, G. Testing strong-field gravity with tidal Love numbers. Phys. Rev. D 2017, 95, 084014, Erratum: Phys. Rev. D 2017, 95, 089901. [Google Scholar] [CrossRef]
  5. Hinderer, T. Tidal Love numbers of neutron stars. Astrophys. J. 2008, 677, 1216–1220. [Google Scholar] [CrossRef]
  6. Binnington, T.; Poisson, E. Relativistic theory of tidal Love numbers. Phys. Rev. D 2009, 80, 084018. [Google Scholar] [CrossRef]
  7. Damour, T.; Nagar, A. Relativistic tidal properties of neutron stars. Phys. Rev. D 2009, 80, 084035. [Google Scholar] [CrossRef]
  8. Yagi, K.; Yunes, N. I-Love-Q Relations in Neutron Stars and their Applications to Astrophysics, Gravitational Waves and Fundamental Physics. Phys. Rev. D 2013, 88, 023009. [Google Scholar] [CrossRef]
  9. Yazadjiev, S.S.; Doneva, D.D.; Kokkotas, K.D. Tidal Love numbers of neutron stars in f(R) gravity. Eur. Phys. J. C 2018, 78, 818. [Google Scholar] [CrossRef]
  10. Silva, H.O.; Holgado, A.M.; Cárdenas-Avendaño, A.; Yunes, N. Astrophysical and theoretical physics implications from multimessenger neutron star observations. Phys. Rev. Lett. 2021, 126, 181101. [Google Scholar] [CrossRef]
  11. Meng, L.; Liu, D.J. Tidal Love numbers of neutron stars in Rastall gravity. Astrophys. Space Sci. 2021, 366, 105. [Google Scholar] [CrossRef]
  12. Einstein, A. Do Gravitational Fields Play an Essential Role in the Structure of Elementary Particles of Matter. In The Principle of Relativity: A Collection of Original Papers on the Special and General Theory of Relativity; Frances, A., Davis, A.E., Eds.; Dover Publications, Inc.: New York, NY, USA, 1952; p. 198. [Google Scholar]
  13. Weinberg, S. The Cosmological Constant Problem. Rev. Mod. Phys. 1989, 61, 1–23. [Google Scholar] [CrossRef]
  14. Abbassi, A.H.; Abbassi, A.M. Density-metric unimodular gravity: Vacuum spherical symmetry. Class. Quantum Gravity 2008, 25, 175018. [Google Scholar] [CrossRef]
  15. Gao, C.; Brandenberger, R.H.; Cai, Y.; Chen, P. Cosmological Perturbations in Unimodular Gravity. JCAP 2014, 09, 021. [Google Scholar] [CrossRef]
  16. Carballo-Rubio, R.; Garay, L.J.; García-Moreno, G. Unimodular Gravity vs General Relativity: A Status Report. arXiv 2022, arXiv:2207.08499. [Google Scholar]
  17. Finkelstein, D.R.; Galiautdinov, A.A.; Baugh, J.E. Unimodular relativity and cosmological constant. J. Math. Phys. 2001, 42, 340–346. [Google Scholar] [CrossRef]
  18. Perez, A.; Sudarsky, D.; Bjorken, J.D. A microscopic model for an emergent cosmological constant. Int. J. Mod. Phys. D 2018, 27, 1846002. [Google Scholar] [CrossRef]
  19. Moraes, P.H.R.S.; Agrawal, A.S.; Mishra, B. Unimodular Gravity Traversable Wormholes. arXiv 2022, arXiv:2201.08392. [Google Scholar]
  20. Nakayama, Y. Geometrical Trinity of Unimodular Gravity. arXiv 2022, arXiv:2209.09462. [Google Scholar]
  21. Almeida, A.M.R.; Fabris, J.C.; Daouda, M.H.; Kerner, R.; Velten, H.; Hipólito-Ricaldi, W.S. Brans–Dicke Unimodular Gravity. Universe 2022, 8, 429. [Google Scholar] [CrossRef]
  22. Shaposhnikov, M.; Zenhausern, D. Scale invariance, unimodular gravity and dark energy. Phys. Lett. B 2009, 671, 187–192. [Google Scholar] [CrossRef]
  23. Jain, P.; Jaiswal, A.; Karmakar, P.; Kashyap, G.; Singh, N.K. Cosmological implications of unimodular gravity. JCAP 2012, 11, 003. [Google Scholar] [CrossRef]
  24. García-Aspeitia, M.A.; Martínez-Robles, C.; Hernández-Almada, A.; Magaña, J.; Motta, V. Cosmic acceleration in unimodular gravity. Phys. Rev. D 2019, 99, 123525. [Google Scholar] [CrossRef]
  25. Leon, G. Inflation and the cosmological (not-so) constant in unimodular gravity. Class. Quantum Gravity 2022, 39, 075008. [Google Scholar] [CrossRef]
  26. Fabris, J.C.; Alvarenga, M.H.; Hamani-Daouda, M.; Velten, H. Nonconservative unimodular gravity: A viable cosmological scenario? Eur. Phys. J. C 2022, 82, 522. [Google Scholar] [CrossRef]
  27. Unruh, W.G. A Unimodular Theory of Canonical Quantum Gravity. Phys. Rev. D 1989, 40, 1048. [Google Scholar] [CrossRef]
  28. Smolin, L. Unimodular loop quantum gravity and the problems of time. Phys. Rev. D 2011, 84, 044047. [Google Scholar] [CrossRef]
  29. Yamashita, S. Hamiltonian analysis of unimodular gravity and its quantization in the connection representation. Phys. Rev. D 2020, 101, 086007. [Google Scholar] [CrossRef]
  30. Fabris, J.C.; Alvarenga, M.H.; Hamani-Daouda, M.; Velten, H. Nonconservative Unimodular Gravity: Gravitational Waves. Symmetry 2022, 14, 87. [Google Scholar] [CrossRef]
  31. Astorga-Moreno, J.A.; Chagoya, J.; Flores-Urbina, J.C.; Garcia-Aspeitia, M.A. Compact objects in unimodular gravity. JCAP 2019, 9, 005. [Google Scholar] [CrossRef]
  32. Abbott, B.P.; Abbott, R.; Abbott, T.D.; Acernese, F.; Ackley, K.; Adams, C.; Adams, T.; Addesso, P.; Adhikari, R.X.; Adya, V.B.; et al. GW170817: Observation of Gravitational Waves from a Binary Neutron Star Inspiral. Phys. Rev. Lett. 2017, 119, 161101. [Google Scholar] [CrossRef]
  33. Abbott, B.P.; Abbott, R.; Abbott, T.D.; Abraham, S.; Acernese, F.; Ackley, K.; Adams, C.; Adhikari, R.X.; Adya, V.B.; Affeldt, C.; et al. GW190425: Observation of a Compact Binary Coalescence with Total Mass ∼3.4M. Astrophys. J. Lett. 2020, 892, L3. [Google Scholar] [CrossRef]
  34. Collier, M.; Croon, D.; Leane, R.K. Tidal Love Numbers of Novel and Admixed Celestial Objects. arXiv 2022, arXiv:2205.15337. [Google Scholar]
  35. Friedman, B.; Pandharipande, V.R. Hot and cold, nuclear and neutron matter. Nucl. Phys. A 1981, 361, 502–520. [Google Scholar] [CrossRef]
  36. Douchin, F.; Haensel, P. A unified equation of state of dense matter and neutron star structure. Astron. Astrophys. 2001, 380, 151. [Google Scholar] [CrossRef]
  37. Read, J.S.; Lackey, B.D.; Owen, B.J.; Friedman, J.L. Constraints on a phenomenologically parametrized neutron-star equation of state. Phys. Rev. D 2009, 79, 124032. [Google Scholar] [CrossRef]
  38. Vainshtein, A.I. To the problem of nonvanishing gravitation mass. Phys. Lett. B 1972, 39, 393–394. [Google Scholar] [CrossRef]
  39. Khoury, J.; Weltman, A. Chameleon cosmology. Phys. Rev. D 2004, 69, 044026. [Google Scholar] [CrossRef]
  40. Brax, P. Screening mechanisms in modified gravity. Class. Quantum Gravity 2013, 30, 214005. [Google Scholar] [CrossRef]
Figure 1. The relationship between dimensionless tidal deformability and the mass of a star with adiabatic index Γ = 2 for different values of dimensionless non-conservation parameter k ˜ . As a comparison, the constraints from gravitational wave observations on the star are presented. The blue shaded box is drawn based on the 90 % confidence upper bound and the 90 % confidence interval on the masses of the observed neutron stars from observations given by GW170817. Meanwhile, the green and red boxes represent the same bounds for the primary and secondary components with the low-spin priors in GW190425, respectively.
Figure 1. The relationship between dimensionless tidal deformability and the mass of a star with adiabatic index Γ = 2 for different values of dimensionless non-conservation parameter k ˜ . As a comparison, the constraints from gravitational wave observations on the star are presented. The blue shaded box is drawn based on the 90 % confidence upper bound and the 90 % confidence interval on the masses of the observed neutron stars from observations given by GW170817. Meanwhile, the green and red boxes represent the same bounds for the primary and secondary components with the low-spin priors in GW190425, respectively.
Universe 08 00576 g001
Figure 2. The magnetic-type quadrupolar TLNs k 2 M as a function of the mass of the neutron star M for different values of the parameter k ˜ , where we choose the adiabatic index Γ = 2 .
Figure 2. The magnetic-type quadrupolar TLNs k 2 M as a function of the mass of the neutron star M for different values of the parameter k ˜ , where we choose the adiabatic index Γ = 2 .
Universe 08 00576 g002
Publisher’s Note: MDPI stays neutral with regard to jurisdictional claims in published maps and institutional affiliations.

Share and Cite

MDPI and ACS Style

Yang, R.-X.; Xie, F.; Liu, D.-J. Tidal Deformability of Neutron Stars in Unimodular Gravity. Universe 2022, 8, 576. https://doi.org/10.3390/universe8110576

AMA Style

Yang R-X, Xie F, Liu D-J. Tidal Deformability of Neutron Stars in Unimodular Gravity. Universe. 2022; 8(11):576. https://doi.org/10.3390/universe8110576

Chicago/Turabian Style

Yang, Rui-Xin, Fei Xie, and Dao-Jun Liu. 2022. "Tidal Deformability of Neutron Stars in Unimodular Gravity" Universe 8, no. 11: 576. https://doi.org/10.3390/universe8110576

APA Style

Yang, R.-X., Xie, F., & Liu, D.-J. (2022). Tidal Deformability of Neutron Stars in Unimodular Gravity. Universe, 8(11), 576. https://doi.org/10.3390/universe8110576

Note that from the first issue of 2016, this journal uses article numbers instead of page numbers. See further details here.

Article Metrics

Back to TopTop