An Unsupervised Machine Learning Method for Electron–Proton Discrimination of the DAMPE Experiment
Abstract
1. Introduction
2. The PCA Method
- (1)
- Selecting the data with good reconstruction.
- (2)
- Constructing characteristic variables carrying shower morphology information.
- (3)
- Finding the eigenvector and transformation matrix.
- (4)
- Transforming the original data into the new space and finding the first three principal components.
- (5)
- Rotating the previous three-dimensional space to obtain the final component to discriminate electrons from protons.
3. Electron-Proton Separation
3.1. Data Selection
- The events should meet the High Energy Trigger (HET) [11] condition to ensure a good shower development at the beginning of the BGO caloriment.
- The radial spread of the shower development, defined as the Root Mean Square (RMS) of the distances between the hit BGO bars and the shower axis, , should be smaller than 40 mm. The is energy deposited in j-th BGO bar, and is the distance between the corresponding BGO bar and track of the particle. This cut could eliminate a large fraction of nuclei because the hadronic shower is typically wider than the electromagnetic one.
- The max energy bar of the BGO should not be on the edge of the detector.
- The max energy ratio of each layer, e.g., the ratio of the max energy of a single BGO bar over the total energy of that layer, should be less than 0.35. The cut can eliminate those particles coming from the side of the detector.
- The reconstructed track should pass through the top and bottom surfaces of the BGO.
- Events with PSD charge should be smaller than 2 to remove heavy nuclei.
3.2. Construction of Characteristic Variables
3.3. Finding the Principal Components
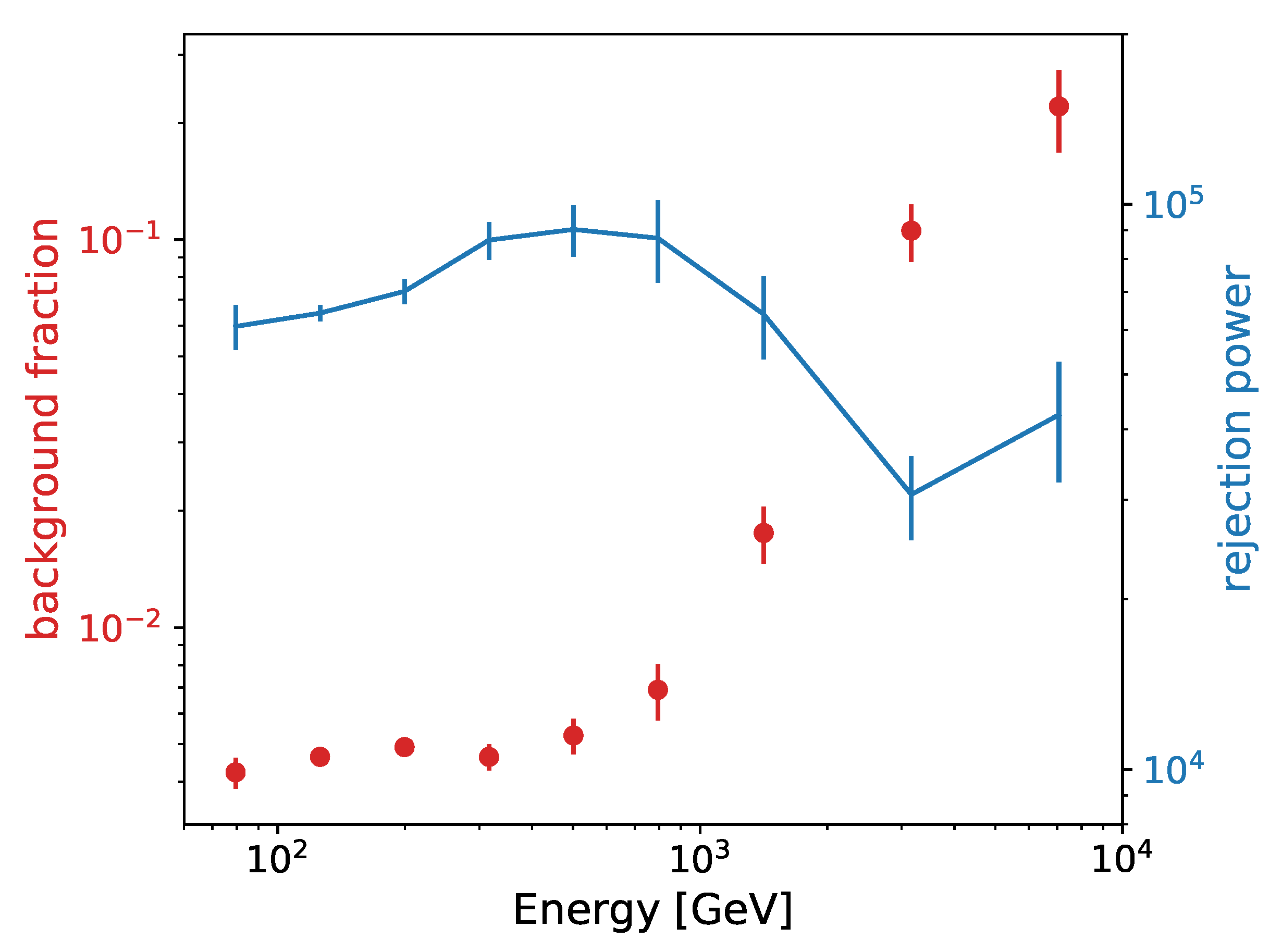
4. Results
5. Conclusions
Author Contributions
Funding
Institutional Review Board Statement
Informed Consent Statement
Data Availability Statement
Acknowledgments
Conflicts of Interest
Abbreviations
| DAMPE | Dark Matter Particle Explorer |
| CR | Cosmic Rays |
| PSD | Plastic Scintillator Detector |
| STK | Silicon Tungsten tracKer-converter |
| BGO | |
| NUD | NeUtron Detector |
| PCA | Principal Component Analysis |
| MC | Monte Carlo |
| HET | High Energy Trigger |
| RMS | Root Mean Square |
| 1 | (Throughout this paper, we use electrons to represent electrons and positrons without discriminating them unless specified otherwise.) |
| 2 | (note that heavier nuclei can be highly suppressed by the charge measurement, leaving protons as the main background) |
References
- Atoyan, A.M.; Aharonian, F.A.; Völk, H.J. Electrons and positrons in the galactic cosmic rays. Phys. Rev. D 1995, 52, 3265–3275. [Google Scholar] [CrossRef] [PubMed]
- Yuan, Q.; Feng, L. Dark Matter Particle Explorer observations of high-energy cosmic ray electrons plus positrons and their physical implications. Sci. China Phys. Mech. Astron. 2018, 61, 101002. [Google Scholar] [CrossRef]
- Feng, J.L. Dark Matter Candidates from Particle Physics and Methods of Detection. Annu. Rev. Astron. Astrophys. 2010, 48, 495–545. [Google Scholar] [CrossRef]
- Bertone, G.; Hooper, D.; Silk, J. Particle dark matter: Evidence, candidates and constraints. Phys. Rept. 2005, 405, 279–390. [Google Scholar] [CrossRef]
- DuVernois, M.A.; Barwick, S.W.; Beatty, J.J.; Bhattacharyya, A.; Bower, C.R.; Chaput, C.J.; Coutu, S.; de Nolfo, G.A.; Lowder, D.M.; McKee, S.; et al. Cosmic-Ray Electrons and Positrons from 1 to 100 GeV: Measurements with HEAT and Their Interpretation. Astrophys. J. 2001, 559, 296–303. [Google Scholar] [CrossRef]
- Torii, S.; Tamura, T.; Tateyama, N.; Yoshida, K.; Nishimura, J.; Yamagami, T.; Murakami, H.; Kobayashi, T.; Komori, Y.; Kasahara, K.; et al. The Energy Spectrum of Cosmic-Ray Electrons from 10 to 100 GeV Observed with a Highly Granulated Imaging Calorimeter. Astrophys. J. 2001, 559, 973–984. [Google Scholar] [CrossRef]
- Chang, J.; Adams, J.H.; Ahn, H.S.; Bashindzhagyan, G.L.; Christl, M.; Ganel, O.; Guzik, T.G.; Isbert, J.; Kim, K.C.; Kuznetsov, E.N.; et al. An excess of cosmic ray electrons at energies of 300–800 GeV. Nature 2008, 456, 362–365. [Google Scholar] [CrossRef]
- Aguilar, M.; Aisa, D.; Alpat, B.; Alvino, A.; Ambrosi, G.; Andeen, K.; Arruda, L.; Attig, N.; Azzarello, P.; Bachlechner, A.; et al. Precision Measurement of the (e++e−) Flux in Primary Cosmic Rays from 0.5 GeV to 1 TeV with the Alpha Magnetic Spectrometer on the International Space Station. Phys. Rev. Lett. 2014, 113, 221102. [Google Scholar] [CrossRef]
- Cummings, A.C.; Stone, E.C.; Heikkila, B.C.; Lal, N.; Webber, W.R.; Jóhannesson, G.; Moskalenko, I.V.; Orlando, E.; Porter, T.A. Galactic Cosmic Rays in the Local Interstellar Medium: Voyager 1 Observations and Model Results. Astrophys. J. 2016, 831, 18. [Google Scholar] [CrossRef]
- Abdollahi, S.; Ackermann, M.; Ajello, M.; Atwood, W.B.; Baldini, L.; Barbiellini, G.; Bastieri, D.; Bellazzini, R.; Bloom, E.D.; Bonino, R.; et al. Cosmic-ray electron-positron spectrum from 7 GeV to 2 TeV with the Fermi Large Area Telescope. Phys. Rev. D 2017, 95, 082007. [Google Scholar] [CrossRef]
- Ambrosi, G.; An, Q.; Asfandiyarov, R.; Azzarello, P.; Bernardini, P.; Bertucci, B.; Cai, M.S.; Chang, J.; Chen, D.Y.; Chen, H.F.; et al. Direct detection of a break in the teraelectronvolt cosmic-ray spectrum of electrons and positrons. Nature 2017, 552, 63–66. [Google Scholar] [CrossRef]
- Adriani, O.; Akaike, Y.; Asano, K.; Asaoka, Y.; Bagliesi, M.G.; Bigongiari, G.; Binns, W.R.; Bonechi, S.; Bongi, M.; Brogi, P.; et al. Energy Spectrum of Cosmic-Ray Electron and Positron from 10 GeV to 3 TeV Observed with the Calorimetric Electron Telescope on the International Space Station. Phys. Rev. Lett. 2017, 119, 181101. [Google Scholar] [CrossRef] [PubMed]
- Aharonian, F.; Akhperjanian, A.G.; Barres de Almeida, U.; Bazer-Bachi, A.R.; Becherini, Y.; Behera, B.; Benbow, W.; Bernlöhr, K.; Boisson, C.; Bochow, A.; et al. Energy Spectrum of Cosmic-Ray Electrons at TeV Energies. Phys. Rev. Lett. 2008, 101, 261104. [Google Scholar] [CrossRef]
- Aharonian, F.; Akhperjanian, A.G.; Anton, G.; Barres de Almeida, U.; Bazer-Bachi, A.R.; Becherini, Y.; Behera, B.; Bernlöhr, K.; Bochow, A.; Boisson, C.; et al. Probing the ATIC peak in the cosmic-ray electron spectrum with H.E.S.S. Astron. Astrophys. 2009, 508, 561–564. [Google Scholar] [CrossRef]
- Borla Tridon, D. Measurement of the cosmic electron spectrum with the MAGIC telescopes. Int. Cosm. Ray Conf. 2011, 6, 47. [Google Scholar] [CrossRef]
- Staszak, D. A Cosmic-ray Electron Spectrum with VERITAS. Int. Cosm. Ray Conf. 2015, 34, 411. [Google Scholar]
- Chang, J. Dark Matter Particle Explorer: The First Chinese Cosmic Ray and Hard Gamma-ray Detector in Space. Chin. J. Space Sci. 2014, 34, 550. [Google Scholar] [CrossRef]
- Chang, J.; Ambrosi, G.; An, Q.; Asfandiyarov, R.; Azzarello, P.; Bernardini, P.; Bertucci, B.; Cai, M.S.; Caragiulo, M.; Chen, D.Y.; et al. The DArk Matter Particle Explorer mission. Astropart. Phys. 2017, 95, 6–24. [Google Scholar] [CrossRef]
- Yu, Y.; Sun, Z.; Su, H.; Yang, Y.; Liu, J.; Kong, J.; Xiao, G.; Ma, X.; Zhou, Y.; Zhao, H.; et al. The plastic scintillator detector for DAMPE. Astropart. Phys. 2017, 94, 1–10. [Google Scholar] [CrossRef]
- Dong, T.; Zhang, Y.; Ma, P.; Zhang, Y.; Bernardini, P.; Ding, M.; Guo, D.; Lei, S.; Li, X.; De Mitri, I.; et al. Charge measurement of cosmic ray nuclei with the plastic scintillator detector of DAMPE. Astropart. Phys. 2019, 105, 31–36. [Google Scholar] [CrossRef]
- Azzarello, P.; Ambrosi, G.; Asfandiyarov, R.; Bernardini, P.; Bertucci, B.; Bolognini, A.; Cadoux, F.; Caprai, M.; De Mitri, I.; Domenjoz, M.; et al. The DAMPE silicon-tungsten tracker. Nucl. Instrum. Methods Phys. Res. A 2016, 831, 378–384. [Google Scholar] [CrossRef]
- Zhang, Z.; Zhang, Y.; Dong, J.; Wen, S.; Feng, C.; Wang, C.; Wei, Y.; Wang, X.; Xu, Z.; Liu, S. Design of a high dynamic range photomultiplier base board for the BGO ECAL of DAMPE. Nucl. Instrum. Methods Phys. Res. A 2015, 780, 21–26. [Google Scholar] [CrossRef]
- He, M.; Ma, T.; Chang, J.; Zhang, Y.; Huang, Y.Y.; Zang, J.J.; Wu, J.; Dong, T.K. GEANT4 Simulation of Neutron Detector for DAMPE. Acta Astron. Sin. 2016, 57, 1–8. [Google Scholar]
- Tykhonov, A.; Ambrosi, G.; Asfandiyarov, R.; Azzarello, P.; Bernardini, P.; Bertucci, B.; Bolognini, A.; Cadoux, F.; D’Amone, A.; De Benedittis, A.; et al. In-flight performance of the DAMPE silicon tracker. Nucl. Instrum. Methods Phys. Res. A 2019, 924, 309–315. [Google Scholar] [CrossRef]
- Ambrosi, G.; An, Q.; Asfandiyarov, R.; Azzarello, P.; Bernardini, P.; Cai, M.S.; Caragiulo, M.; Chang, J.; Chen, D.Y.; Chen, H.F.; et al. The on-orbit calibration of DArk Matter Particle Explorer. Astropart. Phys. 2019, 106, 18–34. [Google Scholar] [CrossRef]
- An, Q.; Asfandiyarov, R.; Azzarello, P.; Bernardini, P.; Bi, X.J.; Cai, M.S.; Chang, J. Measurement of the cosmic ray proton spectrum from 40 GeV to 100 TeV with the DAMPE satellite. Sci. Adv. 2019, 5, eaax3793. [Google Scholar] [CrossRef]
- Alemanno, F.; An, Q.; Azzarello, P.; Barbato, F.C.T.; Bernardini, P.; Bi, X.J.; Cai, M.S.; Catanzani, E.; Chang, J.; Chen, D.Y.; et al. Measurement of the Cosmic Ray Helium Energy Spectrum from 70 GeV to 80 TeV with the DAMPE Space Mission. Phys. Rev. Lett. 2021, 126, 201102. [Google Scholar] [CrossRef]
- Alemanno, F.; An, Q.; Azzarello, P.; Barbato, F.C.T.; Bernardini, P.; Bi, X.; Cai, M.; Casilli, E.; Catanzani, E.; Chang, J.; et al. Observations of Forbush Decreases of Cosmic-Ray Electrons and Positrons with the Dark Matter Particle Explorer. Astrophys. J. Lett. 2021, 920, L43. [Google Scholar] [CrossRef]
- Alemanno, F.; An, Q.; Azzarello, P.; Carla Tiziana Barbato, F.; Bernardini, P.; Bi, X.J.; Cai, M.S.; Casilli, E.; Catanzani, E.; Chang, J.; et al. Search for gamma-ray spectral lines with the DArk Matter Particle Explorer. Sci. Bull. 2022, 67, 679–684. [Google Scholar] [CrossRef]
- Droz, D.; Tykhonov, A.; Wu, X.; Alemanno, F.; Ambrosi, G.; Catanzani, E.; Santo, M.D.; Kyratzis, D.; Zimmer, S. A neural network classifier for electron identification on the DAMPE experiment. J. Instrum. 2021, 16, P07036. [Google Scholar] [CrossRef]
- Zhao, H.; Peng, W.X.; Wang, H.Y.; Qiao, R.; Guo, D.Y.; Xiao, H.; Wang, Z.M. A machine learning method to separate cosmic ray electrons from protons from 10 to 100 GeV using DAMPE data. Res. Astron. Astrophys. 2018, 18, 071. [Google Scholar] [CrossRef]
- Francis, P.J.; Wills, B.J. Introduction to Principal Components Analysis. In Quasars and Cosmology; Astronomical Society of the Pacific Conference Series; Ferland, G., Baldwin, J., Eds.; World Scientific Publishing: Singapore, 1999; Volume 162, p. 363. [Google Scholar]
- James, G.M.; Hastie, T.J.; Sugar, C.A. Principal component models for sparse functional data. Biometrika 2000, 87, 587–602. [Google Scholar] [CrossRef]
- Schölkopf, B.; Smola, A.; Müller, K.R. Nonlinear Component Analysis as a Kernel Eigenvalue Problem. Neural Comput. 1998, 10, 1299–1319. [Google Scholar] [CrossRef]
- Ulfarsson, M.O.; Solo, V. Sparse Variable PCA Using Geodesic Steepest Descent. IEEE Trans. Signal Process. 2008, 56, 5823–5832. [Google Scholar] [CrossRef]
- Halko, N.; Martinsson, P.G.; Tropp, J.A. Finding Structure with Randomness: Probabilistic Algorithms for Constructing Approximate Matrix Decompositions. SIAM Rev. 2011, 53, 217–288. [Google Scholar] [CrossRef]
- Martinsson, P.G.; Rokhlin, V.; Tygert, M. A randomized algorithm for the decomposition of matrices. Appl. Comput. Harmon. Anal. 2011, 30, 47–68. [Google Scholar] [CrossRef]
- Minka, T.P. Automatic Choice of Dimensionality for PCA, Advances in Neural Information Processing Systems. 2001, pp. 598–604. Available online: https://proceedings.neurips.cc/paper/2000/file/7503cfacd12053d309b6bed5c89de212-Paper.pdf (accessed on 29 September 2022).
- Yue, C.; Zang, J.J.; Dong, T.K.; Li, X.; Zhang, Z.Y.; Zimmer, S.; Jiang, W.; Zhang, Y.L.; Wei, D.M. A parameterized energy correction method for electromagnetic showers in BGO-ECAL of DAMPE. Nucl. Instrum. Methods Phys. Res. A 2017, 851, 11–16. [Google Scholar] [CrossRef]





| 0.3539 | 0.4676 | |
| 0.9451 | 1.535 | |
| 0.9551 | 1.723 | |
| 1.2974 | 0.2088 | |
| 0.06981 | 0.06027 | |
| 1.054 | 0.7731 | |
| 1.946 | 0.5759 | |
| 0.8407 | 0.07682 | 0.3755 |
| 1.280 | 1.109 | |
| 1.414 | 1.695 | |
| 1.509 | 0.2808 | |
| 1.987 | 0.4533 | |
| 1.890 | 1.241 | |
| 0.7533 | 1.745 |
Publisher’s Note: MDPI stays neutral with regard to jurisdictional claims in published maps and institutional affiliations. |
© 2022 by the authors. Licensee MDPI, Basel, Switzerland. This article is an open access article distributed under the terms and conditions of the Creative Commons Attribution (CC BY) license (https://creativecommons.org/licenses/by/4.0/).
Share and Cite
Xu, Z.; Li, X.; Cui, M.; Yue, C.; Jiang, W.; Li, W.; Yuan, Q. An Unsupervised Machine Learning Method for Electron–Proton Discrimination of the DAMPE Experiment. Universe 2022, 8, 570. https://doi.org/10.3390/universe8110570
Xu Z, Li X, Cui M, Yue C, Jiang W, Li W, Yuan Q. An Unsupervised Machine Learning Method for Electron–Proton Discrimination of the DAMPE Experiment. Universe. 2022; 8(11):570. https://doi.org/10.3390/universe8110570
Chicago/Turabian StyleXu, Zhihui, Xiang Li, Mingyang Cui, Chuan Yue, Wei Jiang, Wenhao Li, and Qiang Yuan. 2022. "An Unsupervised Machine Learning Method for Electron–Proton Discrimination of the DAMPE Experiment" Universe 8, no. 11: 570. https://doi.org/10.3390/universe8110570
APA StyleXu, Z., Li, X., Cui, M., Yue, C., Jiang, W., Li, W., & Yuan, Q. (2022). An Unsupervised Machine Learning Method for Electron–Proton Discrimination of the DAMPE Experiment. Universe, 8(11), 570. https://doi.org/10.3390/universe8110570

