On the Search for the Galactic PeVatrons by Means of Gamma-Ray Astronomy
Abstract
1. Introduction
2. Young Supernova Remnants
3. The Search for the Major Galactic CR Factories
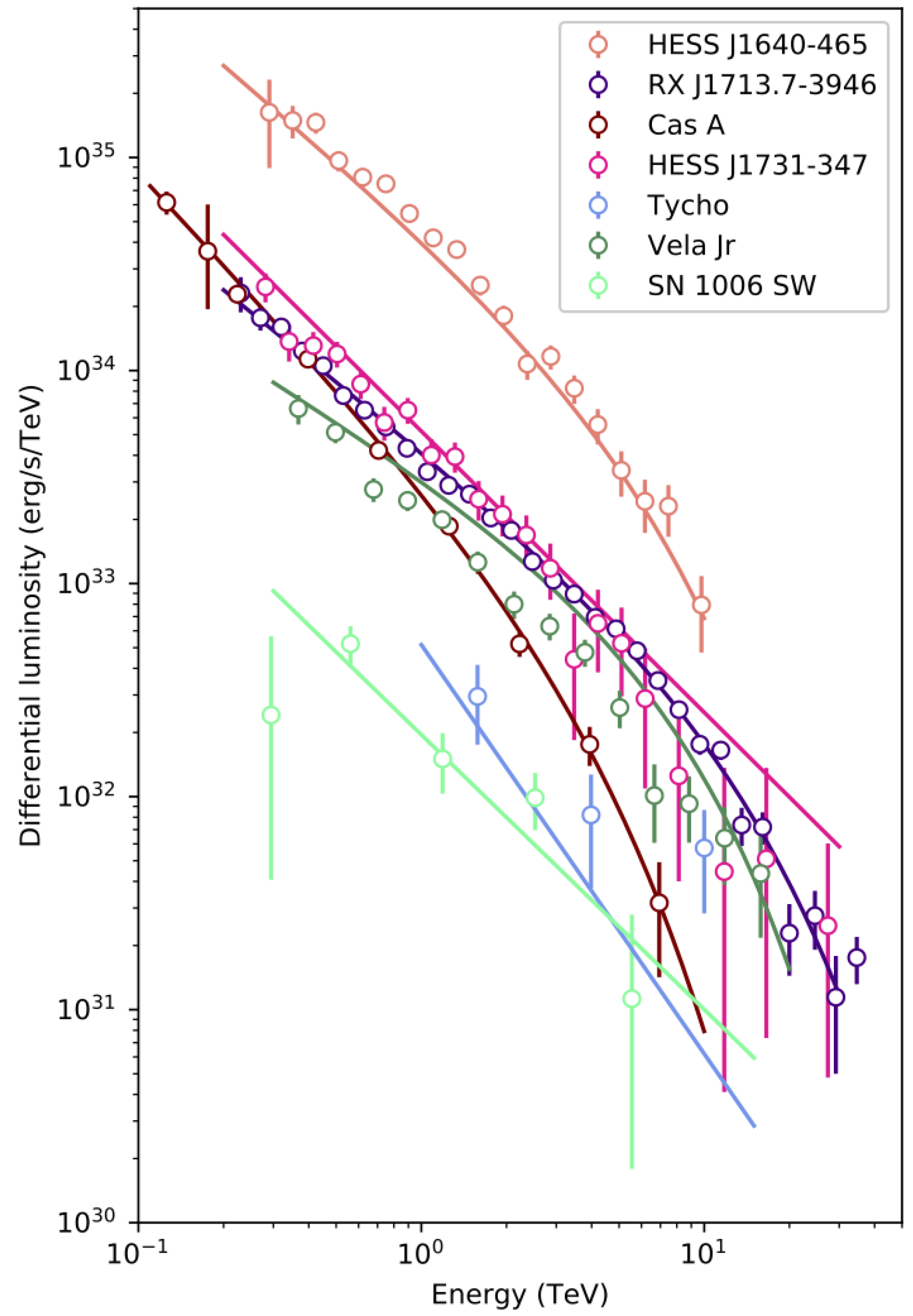
3.1. The Population of Galactic PeVatrons



3.2. Star Forming Systems—The Case of the Cygnus Region
4. Conclusions
Funding
Conflicts of Interest
References
- Hess, V.F. Evidence for a Stellar Origin of the Cosmic Ultra-penetrating Radiation. Nature 1931, 127, 10–11. [Google Scholar] [CrossRef]
- Adriani, O.; Barbarino, G.C.; Bazilevskaya, G.A.; Bellotti, R.; Boezio, M.; Bogomolov, E.A.; Bonechi, L.; Bongi, M.; Bonvicini, V.; Borisov, S.; et al. PAMELA Measurements of Cosmic-Ray Proton and Helium Spectra. Science 2011, 332, 69. [Google Scholar] [CrossRef]
- Aguilar, M.; Aisa, D.; Alpat, B.; Alvino, A.; Ambrosi, G.; Andeen, K.; Arruda, L.; Attig, N.; Azzarello, P.; Bachlechner, A.; et al. Precision Measurement of the Proton Flux in Primary Cosmic Rays from Rigidity 1 GV to 1.8 TV with the Alpha Magnetic Spectrometer on the International Space Station. Phys. Rev. Lett. 2015, 114, 171103. [Google Scholar] [CrossRef]
- Aguilar, M.; Aisa, D.; Alpat, B.; Alvino, A.; Ambrosi, G.; Andeen, K.; Arruda, L.; Attig, N.; Azzarello, P.; Bachlechner, A.; et al. Precision Measurement of the Helium Flux in Primary Cosmic Rays of Rigidities 1.9 GV to 3 TV with the Alpha Magnetic Spectrometer on the International Space Station. Phys. Rev. Lett. 2015, 115, 211101. [Google Scholar] [CrossRef]
- Jones, F.C. Calculated Spectrum of Inverse-Compton-Scattered Photons. Phys. Rev. 1968, 167, 1159–1169. [Google Scholar] [CrossRef]
- Blumenthal, G.R.; Gould, R.J. Bremsstrahlung, Synchrotron Radiation, and Compton Scattering of High-Energy Electrons Traversing Dilute Gases. Rev. Mod. Phys. 1970, 42, 237–271. [Google Scholar] [CrossRef]
- Schlickeiser, R. Astrophysical gamma-ray production by inverse Compton interactions of relativistic electrons. Astrophys. J. 1979, 233, 294–301. [Google Scholar] [CrossRef]
- Aharonian, F.A.; Atoyan, A.M. Compton Scattering of Relativistic Electrons in Compact X-ray Sources. Astrophys. Space Sci. 1981, 79, 321–336. [Google Scholar] [CrossRef]
- Coppi, P.S.; Blandford, R.D. Reaction rates and energy distributions for elementary processes in relativistic pair plasmas. Mon. Not. R. Astron. Soc. 1990, 245, 453. [Google Scholar] [CrossRef]
- Ginzburg, V.L.; Syrovatskii, S.I. The Origin of Cosmic Rays; 1964; Available online: https://books.google.com.hk/books?id=v6s3BQAAQBAJ&printsec=frontcover&hl=zh-CN&source=gbs_ge_summary_r&cad=0#v=onepage&q&f=false (accessed on 14 September 2022).
- Aharonian, F.; Akhperjanian, A.; Barrio, J.; Bernlöhr, K.; Börst, H.; Bojahr, H.; Bolz, O.; Contreras, J.; Cortina, J.; Denninghoff, S.; et al. Evidence for TeV gamma ray emission from Cassiopeia A. Astron. Astrophys. 2001, 370, 112–120. [Google Scholar] [CrossRef]
- Albert, J.; Aliu, E.; Anderhub, H.; Antoranz, P.; Armada, A.; Baixeras, C.; Barrio, J.A.; Bartko, H.; Bastieri, D.; Becker, J.K.; et al. Observation of VHE γ-rays from Cassiopeia A with the MAGIC telescope. Astron. Astrophys. 2007, 474, 937–940. [Google Scholar] [CrossRef]
- Acero, F.; Aharonian, F.; Akhperjanian, A.G.; Anton, G.; Barres de Almeida, U.; Bazer-Bachi, A.R.; Becherini, Y.; Behera, B.; Beilicke, M.; Bernlöhr, K.; et al. First detection of VHE γ-rays from SN 1006 by HESS. Astron. Astrophys. 2010, 516, A62. [Google Scholar] [CrossRef]
- Ahnen, M.L.; Ansoldi, S.; Antonelli, L.A.; Arcaro, C.; Babić, A.; Banerjee, B.; Bangale, P.; Barres de Almeida, U.; Barrio, J.A.; Becerra González, J.; et al. A cut-off in the TeV gamma-ray spectrum of the SNR Cassiopeia A. Mon. Not. R. Astron. Soc. 2017, 472, 2956–2962. [Google Scholar] [CrossRef]
- Acciari, V.A.; Aliu, E.; Arlen, T.; Aune, T.; Beilicke, M.; Benbow, W.; Bradbury, S.M.; Buckley, J.H.; Bugaev, V.; Byrum, K.; et al. Discovery of TeV Gamma-ray Emission from Tycho’s Supernova Remnant. Astrophys. J. Lett. 2011, 730, L20. [Google Scholar] [CrossRef]
- Archambault, S.; Archer, A.; Benbow, W.; Bird, R.; Bourbeau, E.; Buchovecky, M.; Buckley, J.H.; Bugaev, V.; Cerruti, M.; Connolly, M.P.; et al. Gamma-Ray Observations of Tycho’s Supernova Remnant with VERITAS and Fermi. Astrophys. J. 2017, 836, 23. [Google Scholar] [CrossRef]
- Aharonian, F.A.; Akhperjanian, A.G.; Aye, K.M.; Bazer-Bachi, A.R.; Beilicke, M.; Benbow, W.; Berge, D.; Berghaus, P.; Bernlöhr, K.; Bolz, O.; et al. High-energy particle acceleration in the shell of a supernova remnant. Nature 2004, 432, 75–77. [Google Scholar] [CrossRef]
- H. E. S. S. Collaboration; Abdalla, H.; Abramowski, A.; Aharonian, F.; Ait Benkhali, F.; Akhperjanian, A.G.; Andersson, T.; Angüner, E.O.; Arrieta, M.; Aubert, P.; et al. H.E.S.S. observations of RX J1713.7-3946 with improved angular and spectral resolution: Evidence for gamma-ray emission extending beyond the X-ray emitting shell. Astron. Astrophys. 2018, 612, A6. [Google Scholar] [CrossRef]
- Albert, J.; Aliu, E.; Anderhub, H.; Antoranz, P.; Armada, A.; Baixeras, C.; Barrio, J.A.; Bartko, H.; Bastieri, D.; Becker, J.K.; et al. Discovery of Very High Energy Gamma Radiation from IC 443 with the MAGIC Telescope. Astrophys. J. Lett. 2007, 664, L87–L90. [Google Scholar] [CrossRef]
- Acciari, V.A.; Aliu, E.; Arlen, T.; Aune, T.; Bautista, M.; Beilicke, M.; Benbow, W.; Bradbury, S.M.; Buckley, J.H.; Bugaev, V.; et al. Observation of Extended Very High Energy Emission from the Supernova Remnant IC 443 with VERITAS. Astrophys. J. Lett. 2009, 698, L133–L137. [Google Scholar] [CrossRef]
- Aharonian, F.; Akhperjanian, A.G.; Bazer-Bachi, A.R.; Behera, B.; Beilicke, M.; Benbow, W.; Berge, D.; Bernlöhr, K.; Boisson, C.; Bolz, O.; et al. Discovery of very high energy gamma-ray emission coincident with molecular clouds in the W 28 (G6.4-0.1) field. Astron. Astrophys. 2008, 481, 401–410. [Google Scholar] [CrossRef]
- Hinton, J.A.; Hofmann, W. Teraelectronvolt Astronomy. Annu. Rev. Astron. Astrophys. 2009, 47, 523–565. [Google Scholar] [CrossRef]
- Ferrand, G.; Safi-Harb, S. A census of high-energy observations of Galactic supernova remnants. Adv. Space Res. 2012, 49, 1313–1319. [Google Scholar] [CrossRef]
- Uchiyama, Y.; Aharonian, F.A.; Tanaka, T.; Takahashi, T.; Maeda, Y. Extremely fast acceleration of cosmic rays in a supernova remnant. Nature 2007, 449, 576–578. [Google Scholar] [CrossRef]
- Tanaka, T.; Uchiyama, Y.; Aharonian, F.A.; Takahashi, T.; Bamba, A.; Hiraga, J.S.; Kataoka, J.; Kishishita, T.; Kokubun, M.; Mori, K.; et al. Study of Nonthermal Emission from SNR RX J1713.7-3946 with Suzaku. Astrophys. J. 2008, 685, 988–1004. [Google Scholar] [CrossRef]
- Lazendic, J.S.; Slane, P.O.; Gaensler, B.M.; Reynolds, S.P.; Plucinsky, P.P.; Hughes, J.P. A High-Resolution Study of Nonthermal Radio and X-Ray Emission from Supernova Remnant G347.3-0.5. Astrophys. J. 2004, 602, 271–285. [Google Scholar] [CrossRef]
- Montmerle, T.; Cesarsky, C. Gamma-Ray Emission from Snobs. Int. Cosm. Ray Conf. 1979, 1, 191. [Google Scholar]
- Issa, M.R.; Wolfendale, A.W. Gamma rays from the cosmic ray irradiation of local molecular clouds. Nature 1981, 292, 430–433. [Google Scholar] [CrossRef]
- Gabici, S.; Aharonian, F.A.; Blasi, P. Gamma rays from molecular clouds. In The Multi-Messenger Approach to High-Energy Gamma-Ray Sources; Springer: Dordrecht, The Netherlands, 2007; Volume 309, pp. 365–371. [Google Scholar] [CrossRef]
- Aharonian, F.A.; Atoyan, A.M. On the emissivity of π0-decay gamma radiation in the vicinity of accelerators of galactic cosmic rays. Astron. Astrophys. 1996, 309, 917–928. [Google Scholar]
- Aharonian, F.A. Gamma Rays From Molecular Clouds. Space Sci. Rev. 2001, 99, 187–196. [Google Scholar] [CrossRef]
- Casanova, S.; Aharonian, F.A.; Fukui, Y.; Gabici, S.; Jones, D.I.; Kawamura, A.; Onishi, T.; Rowell, G.; Sano, H.; Torii, K.; et al. Molecular Clouds as Cosmic-Ray Barometers. Publ. Astron. Soc. Jpn. 2010, 62, 769. [Google Scholar] [CrossRef]
- Neronov, A.; Malyshev, D.; Semikoz, D.V. Cosmic-ray spectrum in the local Galaxy. Astron. Astrophys. 2017, 606, A22. [Google Scholar] [CrossRef]
- Peron, G.; Aharonian, F.; Casanova, S.; Yang, R.; Zanin, R. Probing the Cosmic-Ray Density in the Inner Galaxy. Astrophys. J. Lett. 2021, 907, L11. [Google Scholar] [CrossRef]
- Baghmanyan, V.; Peron, G.; Casanova, S.; Aharonian, F.; Zanin, R. Evidence of Cosmic-Ray Excess from Local Giant Molecular Clouds. Astrophys. J. Lett. 2020, 901, L4. [Google Scholar] [CrossRef]
- Aharonian, F.; Peron, G.; Yang, R.; Casanova, S.; Zanin, R. Probing the sea of galactic cosmic rays with Fermi-LAT. Phys. Rev. D 2020, 101, 083018. [Google Scholar] [CrossRef]
- Gabici, S.; Aharonian, F.A.; Casanova, S. Broad-band non-thermal emission from molecular clouds illuminated by cosmic rays from nearby supernova remnants. Mon. Not. R. Astron. Soc. 2009, 396, 1629–1639. [Google Scholar] [CrossRef]
- Casanova, S.; Jones, D.I.; Aharonian, F.A.; Fukui, Y.; Gabici, S.; Kawamura, A.; Onishi, T.; Rowell, G.; Sano, H.; Torii, K.; et al. Modeling the Gamma-Ray Emission Produced by Runaway Cosmic Rays in the Environment of RX J1713.7-3946. Publ. Astron. Soc. Jpn. 2010, 62, 1127–1134. [Google Scholar] [CrossRef]
- Peron, G.; Aharonian, F.; Casanova, S.; Zanin, R.; Romoli, C. On the Gamma-Ray Emission of W44 and Its Surroundings. Astrophys. J. Lett. 2020, 896, L23. [Google Scholar] [CrossRef]
- Malkov, M.A.; Diamond, P.H.; Sagdeev, R.Z.; Aharonian, F.A.; Moskalenko, I.V. Analytic Solution for Self-regulated Collective Escape of Cosmic Rays from Their Acceleration Sites. Astrophys. J. 2013, 768, 73. [Google Scholar] [CrossRef]
- Giacinti, G.; Kachelrieß, M.; Semikoz, D.V. Anisotropic cosmic ray diffusion and its implications for gamma-ray astronomy. Phys. Rev. D 2013, 88, 023010. [Google Scholar] [CrossRef]
- Aharonian, F.A. Very High Energy Cosmic Gamma Radiation: A Crucial Window on the Extreme Universe; World Scientific Publishing Co. Pte. Ltd.: Singapore, 2004. Available online: https://books.google.com.hk/books?hl=zh-CN&lr=&id=iALVCgAAQBAJ&oi=fnd&pg=PR5&dq=Very+High+Energy+Cosmic+Gamma+Radiation:+A+CrucialWindow+on+the+Extreme+Universe&ots=t0hXSgioaA&sig=hrW3v_AjNOGE32_sjJ_Ju8D00Po&redir_esc=y#v=onepage&q=Very%20High%20Energy%20Cosmic%20Gamma%20Radiation%3A%20A%20CrucialWindow%20on%20the%20Extreme%20Universe&f=false (accessed on 14 September 2022). [CrossRef]
- Malkov, M.A.; Drury, L.O. Nonlinear theory of diffusive acceleration of particles by shock waves. Rep. Prog. Phys. 2001, 64, 429–481. [Google Scholar] [CrossRef]
- Aharonian, F.; Yang, R.; de Oña Wilhelmi, E. Massive stars as major factories of Galactic cosmic rays. Nat. Astron. 2019, 3, 561–567. [Google Scholar] [CrossRef]
- Casse, M.; Paul, J.A. Local gamma rays and cosmic-ray acceleration by supersonic stellar winds. Astrophys. J. 1980, 237, 236–243. [Google Scholar] [CrossRef]
- Voelk, H.J.; Forman, M. Cosmic rays and gamma-rays from OB stars. Astrophys. J. 1982, 253, 188–198. [Google Scholar] [CrossRef]
- Cesarsky, C.J.; Montmerle, T. Gamma rays from active regions in the galaxy—The possible contribution of stellar winds. Space Sci. Rev. 1983, 36, 173–193. [Google Scholar] [CrossRef]
- Torres, D.F.; Domingo-Santamaría, E.; Romero, G.E. High-Energy Gamma Rays from Stellar Associations. Astrophys. J. Lett. 2004, 601, L75–L78. [Google Scholar] [CrossRef]
- Reimer, A.; Pohl, M.; Reimer, O. Nonthermal High-Energy Emission from Colliding Winds of Massive Stars. Astrophys. J. 2006, 644, 1118–1144. [Google Scholar] [CrossRef]
- Bykov, A.M.; Toptygin, I.N. A Model of Particle Acceleration to High Energies by Multiple Supernova Explosions in OB Associations. Astron. Lett. 2001, 27, 625–633. [Google Scholar] [CrossRef]
- Parizot, E.; Marcowith, A.; van der Swaluw, E.; Bykov, A.M.; Tatischeff, V. Superbubbles and energetic particles in the Galaxy. I. Collective effects of particle acceleration. Astron. Astrophys. 2004, 424, 747–760. [Google Scholar] [CrossRef]
- Higdon, J.C.; Lingenfelter, R.E. OB Associations, Supernova-generated Superbubbles, and the Source of Cosmic Rays. Astrophys. J. 2005, 628, 738–749. [Google Scholar] [CrossRef]
- Atoyan, A.; Buckley, J.; Krawczynski, H. A Gamma-Ray Burst Remnant in Our Galaxy: HESS J1303-631. Astrophys. J. Lett. 2006, 642, L153–L156. [Google Scholar] [CrossRef]
- H. E. S. S. Collaboration; Abramowski, A.; Aharonian, F.; Benkhali, F.A.; Akhperjanian, A.G.; Angüner, E.O.; Backes, M.; Balzer, A.; Becherini, Y.; Tjus, J.B.; et al. Acceleration of petaelectronvolt protons in the Galactic Centre. Nature 2016, 531, 476–479. [Google Scholar] [CrossRef]
- H. E. S. S. Collaboration; Abdalla, H.; Abramowski, A.; Aharonian, F.; Ait Benkhali, F.; Akhperjanian, A.G.; Andersson, T.; Angüner, E.O.; Arakawa, M.; Arrieta, M.; et al. Characterising the VHE diffuse emission in the central 200 parsecs of our Galaxy with H.E.S.S. Astron. Astrophys. 2018, 612, A9. [Google Scholar] [CrossRef]
- Gaggero, D.; Urbano, A.; Valli, M.; Ullio, P. Gamma-ray sky points to radial gradients in cosmic-ray transport. Phys. Rev. D 2015, 91, 083012. [Google Scholar] [CrossRef]
- Gaggero, D.; Grasso, D.; Marinelli, A.; Taoso, M.; Urbano, A.; Ventura, S. The very high energy gamma-ray diffuse emission from the Galactic Center. In Proceedings of the 2017 European Physical Society Conference on High Energy Physics, Venice, Italy, 5–12 July 2017; Volume 314, p. 14. [Google Scholar] [CrossRef][Green Version]
- Abramowski, A.; Aharonian, F.; Ait Benkhali, F.; Akhperjanian, A.G.; Angüner, E.O.; Backes, M.; Balenderan, S.; Balzer, A.; Barnacka, A.; Becherini, Y.; et al. Discovery of the Hard Spectrum VHE γ-Ray Source HESS J1641-463. Astrophys. J. Lett. 2014, 794, L1. [Google Scholar] [CrossRef]
- H. E. S. S. Collaboration; Abdalla, H.; Abramowski, A.; Aharonian, F.; Ait Benkhali, F.; Angüner, E.O.; Arakawa, M.; Arrieta, M.; Aubert, P.; Backes, M.; et al. The H.E.S.S. Galactic plane survey. Astron. Astrophys. 2018, 612, A1. [Google Scholar] [CrossRef]
- Abdalla, H.; Aharonian, F.; Ait Benkhali, F.; Angüner, E.O.; Arcaro, C.; Armand, C.; Armstrong, T.; Ashkar, H.; Backes, M.; Baghmanyan, V.; et al. Evidence of 100 TeV γ-ray emission from HESS J1702-420: A new PeVatron candidate. Astron. Astrophys. 2021, 653, A152. [Google Scholar] [CrossRef]
- Abeysekara, A.U.; Albert, A.; Alfaro, R.; Angeles Camacho, J.R.; Arteaga-Velázquez, J.C.; Arunbabu, K.P.; Avila Rojas, D.; Ayala Solares, H.A.; Baghmanyan, V.; Belmont-Moreno, E.; et al. Multiple Galactic Sources with Emission Above 56 TeV Detected by HAWC. Phys. Rev. Lett. 2020, 124, 021102. [Google Scholar] [CrossRef]
- Albert, A.; Alfaro, R.; Alvarez, C.; Camacho, J.R.A.; Arteaga-Velázquez, J.C.; Arunbabu, K.P.; Avila Rojas, D.; Ayala Solares, H.A.; Baghmanyan, V.; Belmont-Moreno, E.; et al. HAWC J2227+610 and Its Association with G106.3+2.7, a New Potential Galactic PeVatron. Astrophys. J. Lett. 2020, 896, L29. [Google Scholar] [CrossRef]
- Albert, A.; Alfaro, R.; Alvarez, C.; Camacho, J.R.A.; Arteaga-Velázquez, J.C.; Arunbabu, K.P.; Rojas, D.A.; Ayala Solares, H.A.; Baghmanyan, V.; Belmont-Moreno, E.; et al. Evidence of 200 TeV Photons from HAWC J1825-134. Astrophys. J. Lett. 2021, 907, L30. [Google Scholar] [CrossRef]
- Abeysekara, A.U.; Albert, A.; Alfaro, R.; Alvarez, C.; Camacho, J.R.A.; Arteaga-Velázquez, J.C.; Arunbabu, K.P.; Rojas, D.A.; Solares, H.A.A.; Baghmanyan, V.; et al. HAWC observations of the acceleration of very-high-energy cosmic rays in the Cygnus Cocoon. Nat. Astron. 2021, 5, 465–471. [Google Scholar] [CrossRef]
- Cao, Z.; Aharonian, F.A.; An, Q.; Axikegu; Bai, L.X.; Bai, Y.X.; Bao, Y.W.; Bastieri, D.; Bi, X.J.; Bastieri, Y.J.; et al. Ultrahigh-energy photons up to 1.4 petaelectronvolts from 12 γ-ray Galactic sources. Nature 2021, 594, 33–36. [Google Scholar] [CrossRef] [PubMed]
- Moskalenko, I.V.; Porter, T.A.; Strong, A.W. Attenuation of Very High Energy Gamma Rays by the Milky Way Interstellar Radiation Field. Astrophys. J. 2006, 640, L155–L158. [Google Scholar] [CrossRef]
- Zhang, J.L.; Bi, X.J.; Hu, H.B. Very high energy γ ray absorption by the galactic interstellar radiation field. Astron. Astrophys. 2006, 449, 641–643. [Google Scholar] [CrossRef]
- Nayerhoda, A.; Salesa Greus, F.; Casanova, S.; Gaggeroc, D.; Grasso, D.; Marinelli, A. Gamma Ray Diffuse Emission from the GalacticPlane with HAWC Data. In Proceedings of the 36th International Cosmic Ray Conference (ICRC2019), Madison, WI, USA, 24 July–1 August 2019; Volume 36, p. 750. [Google Scholar]
- Amenomori, M.; Bao, Y.W.; Bi, X.J.; Chen, D.; Chen, T.L.; Chen, W.Y.; Chen, X.; Chen, Y.; Cirennima; Cui, S.W.; et al. First Detection of sub-PeV Diffuse Gamma Rays from the Galactic Disk: Evidence for Ubiquitous Galactic Cosmic Rays beyond PeV Energies. Phys. Rev. Lett. 2021, 126, 141101. [Google Scholar] [CrossRef]
- Onishi, T.; Mizuno, N.; Fukui, Y. New View of Molecular Gas Distribution of the Southern Sky: CO Surveys with NANTEN. In The Dense Interstellar Medium in Galaxies; Springer: Berlin/Heidelberg, Germany, 2004. [Google Scholar] [CrossRef]
- Aharonian, F.; Akhperjanian, A.G.; Bazer-Bachi, A.R.; Beilicke, M.; Benbow, W.; Berge, D.; Bernlöhr, K.; Boisson, C.; Bolz, O.; Borrel, V.; et al. A detailed spectral and morphological study of the gamma-ray supernova remnant <ASTROBJ>RX J1713.7-3946</ASTROBJ> with HESS. Astron. Astrophys. 2006, 449, 223–242. [Google Scholar] [CrossRef]
- Abeysekara, A.U.; Albert, A.; Alfaro, R.; Alvarez, C.; Álvarez, J.D.; Arceo, R.; Arteaga-Velázquez, J.C.; Ayala Solares, H.A.; Barber, A.S.; Baughman, B.; et al. The 2HWC HAWC Observatory Gamma-Ray Catalog. Astrophys. J. 2017, 843, 40. [Google Scholar] [CrossRef]
- Vieu, T.; Gabici, S.; Tatischeff, V. Particle acceleration at colliding shock waves. Mon. Not. R. Astron. Soc. 2020, 494, 3166–3176. [Google Scholar] [CrossRef]
- Vieu, T.; Gabici, S.; Tatischeff, V. Non-linear particle reacceleration by multiple shocks. Mon. Not. R. Astron. Soc. 2022, 510, 2529–2537. [Google Scholar] [CrossRef]
- Bykov, A.M.; Marcowith, A.; Amato, E.; Kalyashova, M.E.; Kruijssen, J.M.D.; Waxman, E. High-Energy Particles and Radiation in Star-Forming Regions. Space Sci. Rev. 2020, 216, 42. [Google Scholar] [CrossRef]
- Ferrand, G.; Marcowith, A. On the shape of the spectrum of cosmic rays accelerated inside superbubbles. Astron. Astrophys. 2010, 510, A101. [Google Scholar] [CrossRef][Green Version]
- Vieu, T.; Reville, B.; Aharonian, F. Can superbubbles accelerate ultra-high energy protons? arXiv 2022, arXiv:2207.01432. [Google Scholar]
- Klepach, E.G.; Ptuskin, V.S.; Zirakashvili, V.N. Cosmic ray acceleration by multiple spherical shocks. Astrop. Phys. 2000, 13, 161–172. [Google Scholar] [CrossRef]
- Aharonian, F.; Akhperjanian, A.; Beilicke, M.; Bernlöhr, K.; Börst, H.; Bojahr, H.; Bolz1, O.; Coarasa, T.; Contreras, J.; Cortina, J.; et al. An unidentified TeV source in the vicinity of Cygnus OB2. Astron. Astrophys. 2002, 393, L37–L40. [Google Scholar] [CrossRef]
- Abdo, A.A.; Allen, B.; Berley, D.; Casanova, S.; Chen, C.; Coyne, D.G.; Dingus, B.L.; Ellsworth, R.W.; Fleysher, L.; Fleysher, R.; et al. TeV Gamma-Ray Sources from a Survey of the Galactic Plane with Milagro. Astrophys. J. Lett. 2007, 664, L91–L94. [Google Scholar] [CrossRef]
- Konopelko, A.; Atkins, R.W.; Blaylock, G.; Buckley, J.H.; Butt, Y.; Carter-Lewis, D.A.; Celik, O.; Cogan, P.; Chow, Y.C.K.; Cui, W. Observations of the Unidentified TeV γ-Ray Source TeV J2032+4130 with the Whipple Observatory 10 m Telescope. Astrophys. J. 2007, 658, 1062–1068. [Google Scholar] [CrossRef]
- Albert, J.; Aliu, E.; Anderhub, H.; Antoranz, P.; Baixeras, C.; Barrio, J.A.; Bartko, H.; Bastieri, D.; Becker, J.K.; Bednarek, W.; et al. MAGIC Observations of the Unidentified γ-Ray Source TeV J2032+4130. Astrophys. J. Lett. 2008, 675, L25. [Google Scholar] [CrossRef]
- Abdo, A.A.; Allen, B.T.; Aune, T.; Berley, D.; Chen, C.; Christopher, G.E.; DeYoung, T.; Dingus, B.L.; Ellsworth, R.W.; Gonzalez, M.M.; et al. Milagro Observations of Multi-TeV Emission from Galactic Sources in the Fermi Bright Source List. Astrophys. J. Lett. 2009, 700, L127–L131. [Google Scholar] [CrossRef]
- Bartoli, B.; Bernardini, P.; Bi, X.J.; Bleve, C.; Bolognino, I.; Branchini, P.; Budano, A.; Calabrese Melcarne, A.K.; Camarri, P.; Cao, Z.; et al. Observation of TeV Gamma Rays from the Cygnus Region with the ARGO-YBJ Experiment. Astrophys. J. Lett. 2012, 745, L22. [Google Scholar] [CrossRef]
- Aliu, E.; Aune, T.; Behera, B.; Beilicke, M.; Benbow, W.; Berger, K.; Bird, R.; Buckley, J.H.; Bugaev, V.; Cardenzana, J.V.; et al. Observations of the Unidentified Gamma-Ray Source TeV J2032+4130 by VERITAS. Astrophys. J. 2014, 783, 16. [Google Scholar] [CrossRef]
- Abeysekara, A.U.; Archer, A.; Aune, T.; Benbow, W.; Bird, R.; Brose, R.; Buchovecky, M.; Bugaev, V.; Cui, W.; Daniel, M.K.; et al. A Very High Energy γ-Ray Survey toward the Cygnus Region of the Galaxy. Astrophys. J. 2018, 861, 134. [Google Scholar] [CrossRef]
- Ackermann, M.; Ajello, M.; Allafort, A.; Baldini, L.; Ballet, J.; Barbiellini, G.; Bastieri, D.; Belfiore, A.; Bellazzini, R.; Berenji, B.; et al. A Cocoon of Freshly Accelerated Cosmic Rays Detected by Fermi in the Cygnus Superbubble. Science 2011, 334, 1103. [Google Scholar] [CrossRef] [PubMed]
- Bartoli, B.; Bernardini, P.; Bi, X.J.; Branchini, P.; Budano, A.; Camarri, P.; Cao, Z.; Cardarelli, R.; Catalanotti, S.; Chen, S.Z.; et al. Identification of the TeV Gamma-Ray Source ARGO J2031+4157 with the Cygnus Cocoon. Astrophys. J. 2014, 790, 152. [Google Scholar] [CrossRef]
- Abdollahi, S.; Acero, F.; Ackermann, M.; Ajello, M.; Atwood, W.B.; Axelsson, M.; Baldini, L.; Ballet, J.; Barbiellini, G.; Bastieri, D.; et al. Fermi Large Area Telescope Fourth Source Catalog. Astrophys. J. Suppl. Ser. 2020, 247, 33. [Google Scholar] [CrossRef]
- Casandjian, J.M.; Grenier, I.A. A revised catalogue of EGRET γ-ray sources. Astron. Astrophys. 2008, 489, 849–883. [Google Scholar] [CrossRef]
- Amenomori, M.; Bao, Y.W.; Bi, X.J.; Chen, D.; Chen, T.L.; Chen, W.Y.; Chen, X.; Chen, Y.; Cirennima; Cui, S.W.; et al. First Detection of Photons with Energy beyond 100 TeV from an Astrophysical Source. Phys. Rev. Lett. 2019, 123, 051101. [Google Scholar] [CrossRef]
- Abreu, P.; Albert, A.; Alfaro, R.; Alvarez, C.; Arceo, R.; Assis, P.; Barao, F.; Bazo, J.; Beacom, J.F.; Bellido, J.; et al. The Southern Wide-Field Gamma-Ray Observatory (SWGO): A Next-Generation Ground-Based Survey Instrument for VHE Gamma-Ray Astronomy. arXiv 2019. [Google Scholar] [CrossRef]
- Angüner, E.O.; Cassol, F.; Costantini, H.; Trichard, C.; Verna, G. Cherenkov Telescope Array potential in the search for Galactic PeVatrons. arXiv 2019. [Google Scholar] [CrossRef]
- Aharonian, F.; Casanova, S. Selected Topics in Gamma-Ray Astronomy: Very High Energy Gamma-Rays as Tracers of Galactic Cosmic-Rays. In Multiple Messengers and Challenges in Astroparticle Physics; Aloisio, R., Coccia, E., Vissani, F., Eds.; Springer International Publishing: Cham, Switzerland, 2018; pp. 97–143. [Google Scholar] [CrossRef]







Publisher’s Note: MDPI stays neutral with regard to jurisdictional claims in published maps and institutional affiliations. |
© 2022 by the author. Licensee MDPI, Basel, Switzerland. This article is an open access article distributed under the terms and conditions of the Creative Commons Attribution (CC BY) license (https://creativecommons.org/licenses/by/4.0/).
Share and Cite
Casanova, S. On the Search for the Galactic PeVatrons by Means of Gamma-Ray Astronomy. Universe 2022, 8, 505. https://doi.org/10.3390/universe8100505
Casanova S. On the Search for the Galactic PeVatrons by Means of Gamma-Ray Astronomy. Universe. 2022; 8(10):505. https://doi.org/10.3390/universe8100505
Chicago/Turabian StyleCasanova, Sabrina. 2022. "On the Search for the Galactic PeVatrons by Means of Gamma-Ray Astronomy" Universe 8, no. 10: 505. https://doi.org/10.3390/universe8100505
APA StyleCasanova, S. (2022). On the Search for the Galactic PeVatrons by Means of Gamma-Ray Astronomy. Universe, 8(10), 505. https://doi.org/10.3390/universe8100505

