Mining for Gluon Saturation at Colliders
Abstract
1. Introduction
2. Color Glass Condensate Effective Field Theory
2.1. Separation of Degrees of Freedom: Sources and Fields
- Compute the quantum expectation value/path integral in the presence of sources drawn from .
- Average over all possible configurations given by an appropriate gauge invariant weight functional .
2.2. High Energy Scattering: Light-like Wilson Lines and Correlators
2.3. From DIS to Proton–Nucleus (pA) Collisions
2.4. Quantum Evolution
3. Experimental Signatures to Date
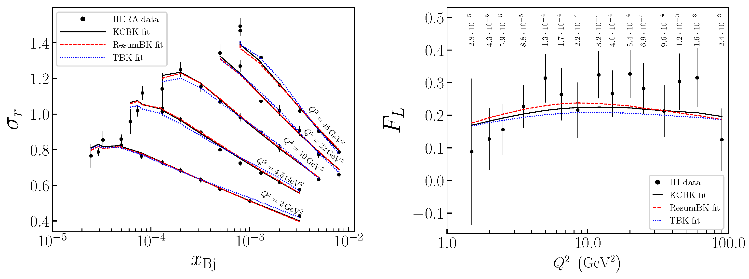
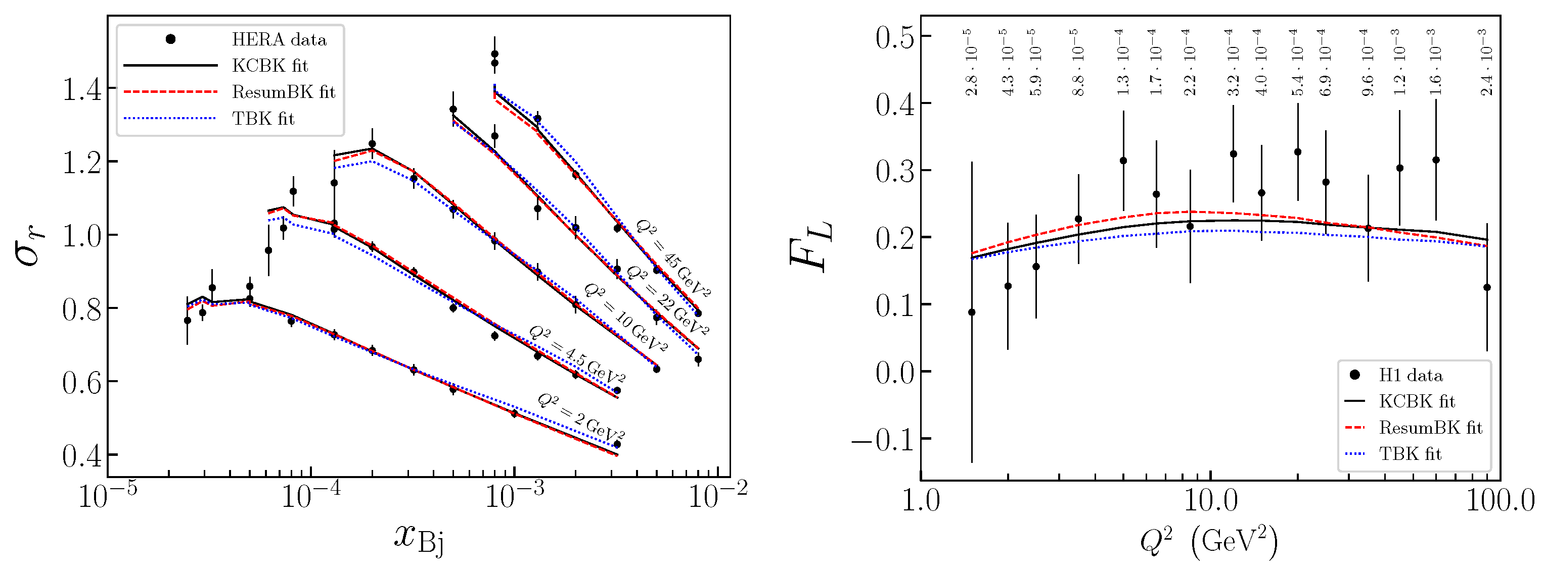
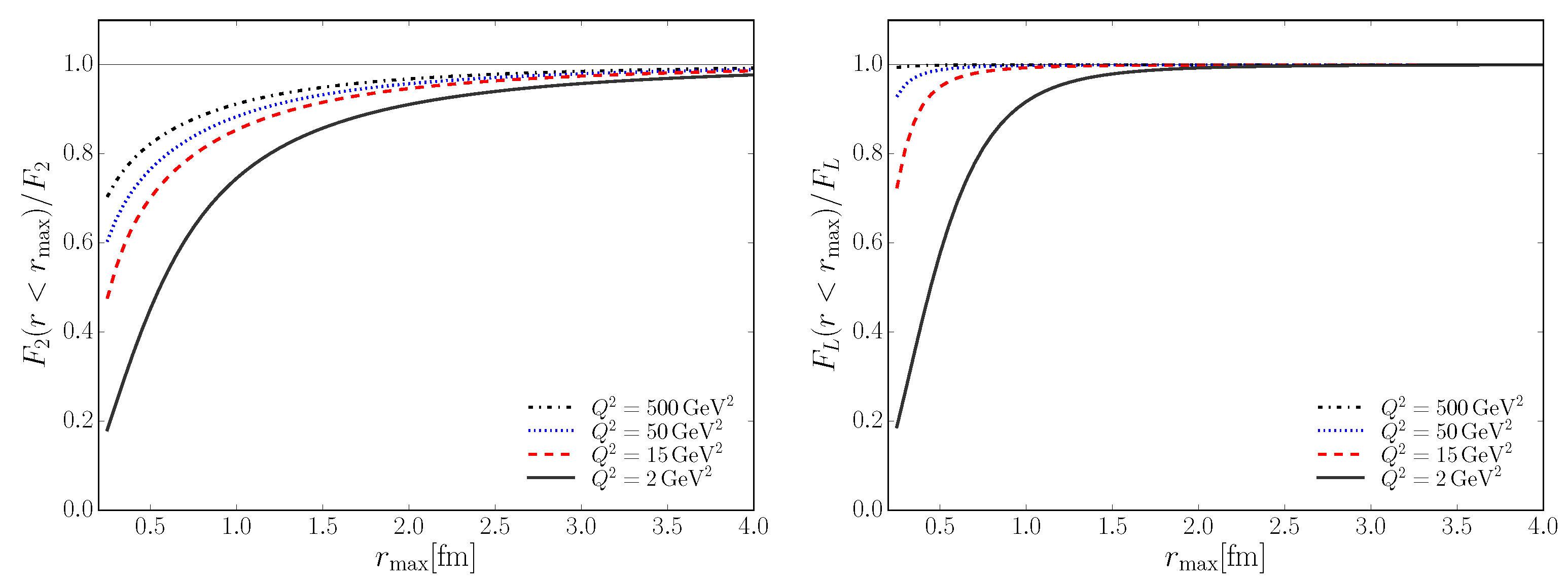
3.1. Structure Functions
Competing Mechanisms in Structure Functions
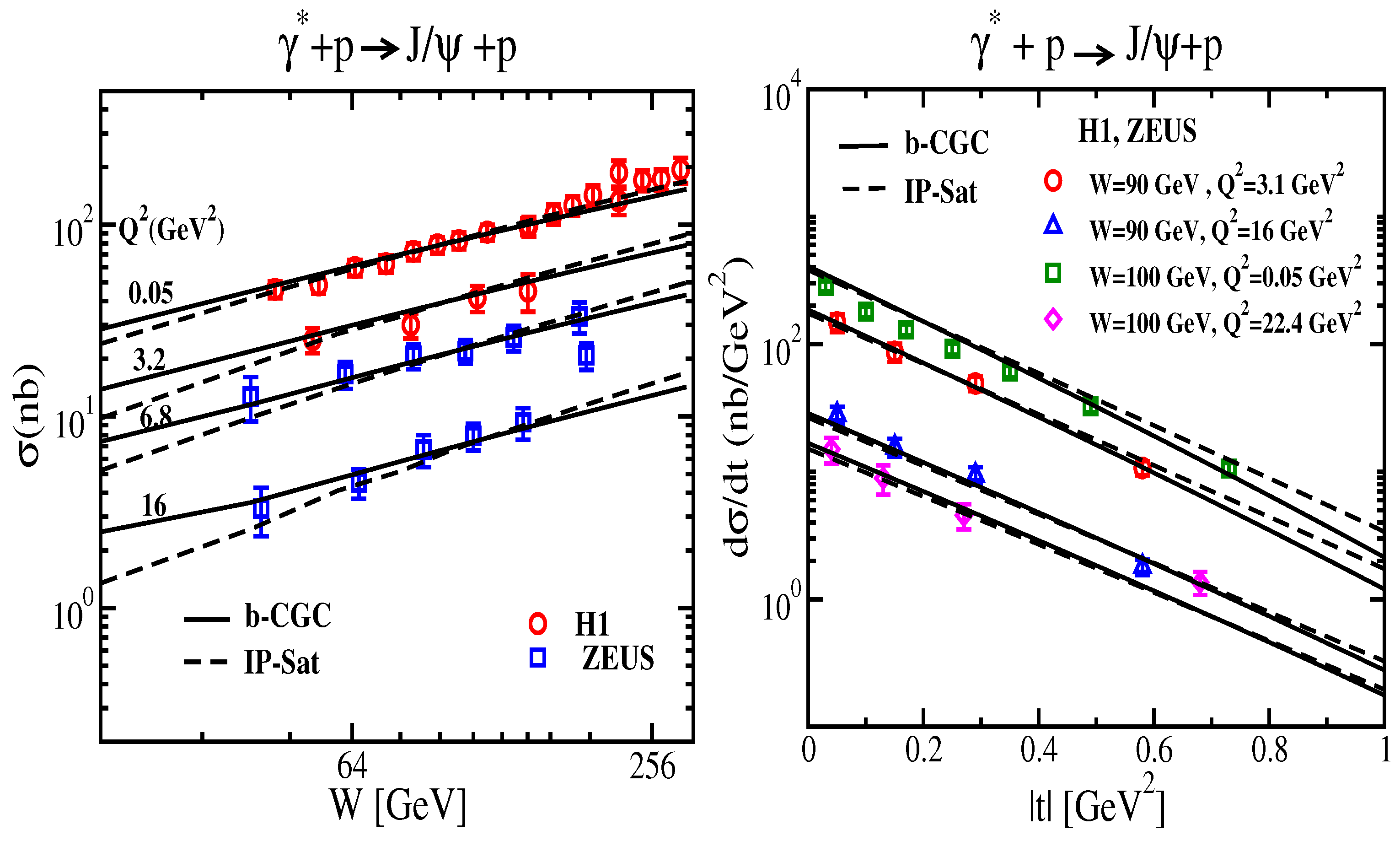
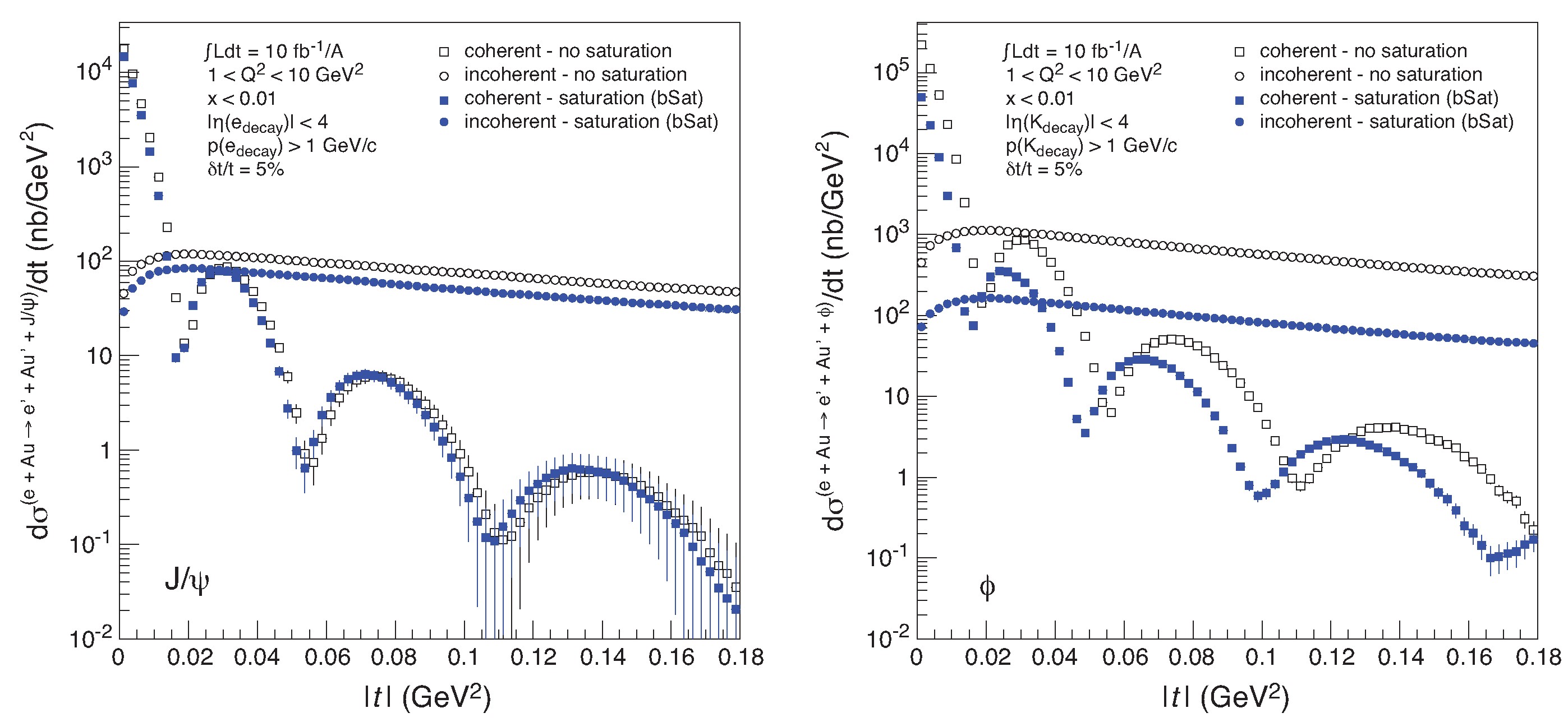
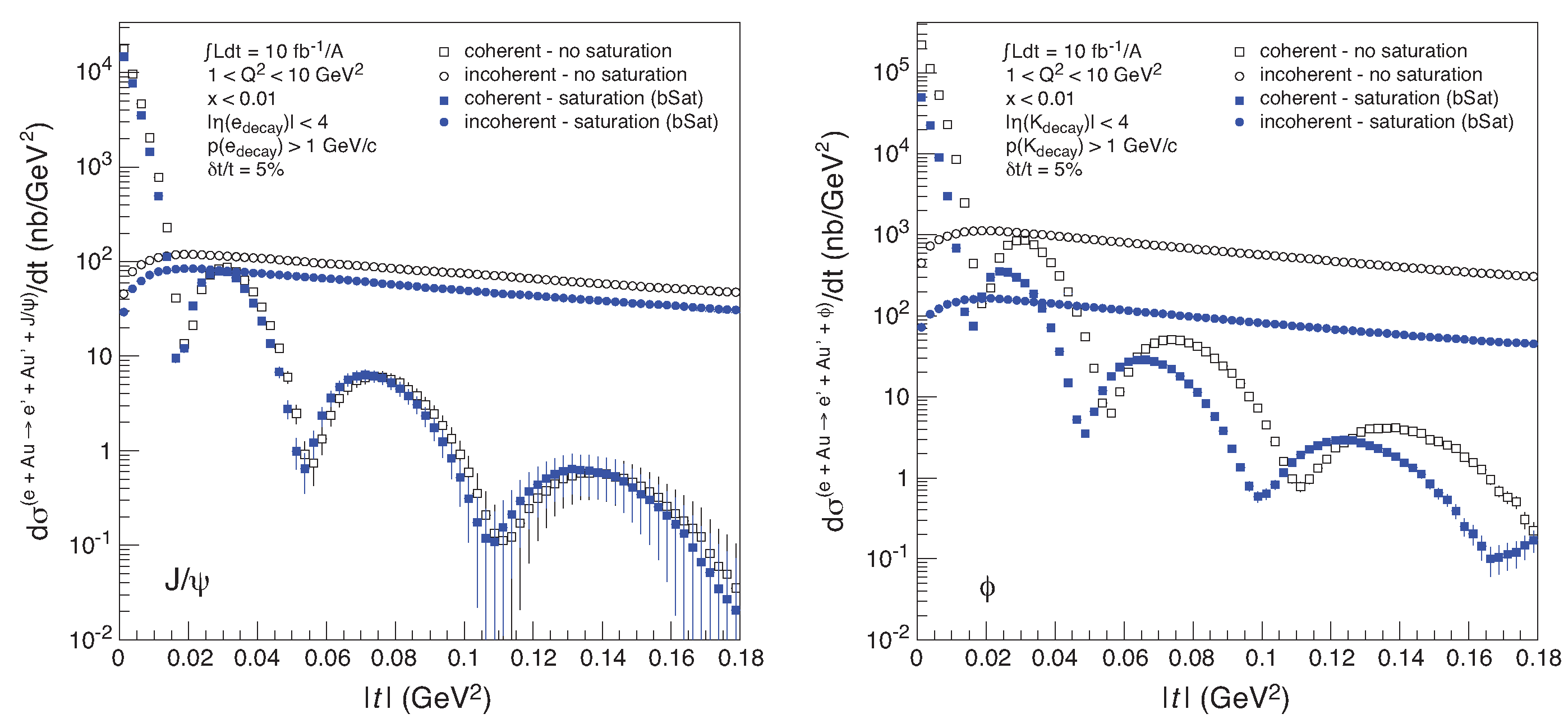
3.2. Diffractive Reactions
Competing Mechanisms and Systematic Uncertainties
3.3. Semi-Inclusive Reactions
3.3.1. Single Inclusive Production
3.3.2. Competing Mechanisms in Single Inclusive Production
3.3.3. Double Inclusive Production
3.3.4. Competing Mechanisms in Double Inclusive Production
3.4. High Multiplicity and Small Systems
A Final Note on Competing Mechanisms
4. A New Generation of High Energy DIS Colliders
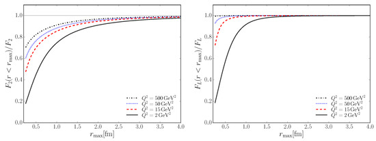
4.1. Structure Functions
4.2. Diffractive Measurements
4.3. Semi-Inclusive Measurements
5. Discussion and Concluding Remarks
5.1. Theoretical Advances
5.2. Experimental Requirements
- Accurate description of physics- and machine-induced backgrounds. This requires an effort of open-sourced, cross-collaboration simulation packages that include theory, phenomenology studies as well as up-to-date machine background knowledge. Two principal machine backgrounds that we can learn from past experiments are synchrotron radiation and beam–gas interactions. Synchrotron radiation occurs when the trajectory of a charged particle is bent, synchrotron photons are emitted tangential to the particle’s path. More concretely, these backgrounds can affect tracking detectors and calorimeters by depositing energy leading to detector hits. Ultimately this can also lead to a large number of ghost tracks and large detector occupancy effects. Beam–gas interactions on the other hand occur when proton or ion beam particles collide with residual gas. Ion beam interactions with gas cause beam particle losses and halo, which can reach the detectors. Addition of these backgrounds in future simulations is needed for detector design or AI-based data training techniques; as such these should be included in the next generation of DIS experiments [296].
- Improved jet tagging capabilities which can disentangle jets that come from quarks, gluons, gluon-dense vs. saturated gluon signatures. Jet tagging refers to the reconstruction of streams of particles coming from the collision or displaced vertices with the flexibility of a loose event selection requirement. The classification of jets depends on the kinematic variables such as transverse momentum (), pseudorapidity (rapidity) (y), azimuthal angle , number of tracks, and energy (E). We remind the reader that jets can be contaminated by many soft processes that are not correlated to the jet. We often rely on classification/regression tasks which give us an approximation of the background. A potential AI application which should build upon existing experiments and further developed could be to extract and study list of features using kinematic variables from simulations. The list of features could be used to form jet images or graphs in plane which will be used as an input of various AI-related algorithms to classify jet events from background events [299].
- Precisely identify particles: open and hidden charm mesons, direct photons, electrons all while minimizing biases. While standard cut and slice techniques have done a excellent job when the detectors are adequate and production cross sections are large, many rare resonances or small cross sections have suffered from these same methods and have yet reached statistical significance. While machine learning techniques are currently implemented for identification of rare particles in certain physics cases of nuclear experiments at accelerators, AI is at its infancy and has not replaced or considerably complemented standard particle identification methods at high-energy nuclear experiments. Applying Machine Learning algorithms can give advantages in the signal to background ratios as strict cuts and slices on the variables are minimized or eliminated altogether. This, however, requires a dedicated computing effort to go beyond the standard ML methods used so far.
Funding
Institutional Review Board Statement
Informed Consent Statement
Acknowledgments
Conflicts of Interest
| 1 | This is an oversimplified view point, as the small-x evolution will not only change the value of but also the functional form of the dipole. In the most general case, the saturation scale will also depend on the impact parameter as more color charge densities are expected in the center of the nucleus than in its periphery, modulo fluctuations. |
| 2 | Unfortunately, the GBW model fails to describe other observables such as single hadron inclusive spectra in pA due to its exponential tail, rather than the expected power law behavior. |
| 3 | The factor of A in Equation (31) arises from an overall area, and from the scaling of the saturation momentum. |
| 4 | Note that the partons in the dilute projectile (in this case the deuteron) involved in the forward production carry large momentum fraction x close to the kinematic limit . |
| 5 | At the LHC one has to include the gluon initiated channels as well. |
| 6 | More massive vector mesons probe shorter distances where saturation effects are suppressed. |
| 7 | In electron–nucleus collisions there are no initial state interactions in the gauge links, in the language of TMDs, as the exchange photon is colorless. This is in contrast to proton–nucleus collisions, where the collinear quark or gluon to the proton carry color and thus initial interactions in the gauge links are present [12,32,198]. |
References
- Gross, D.J.; Wilczek, F. Ultraviolet Behavior of Nonabelian Gauge Theories. Phys. Rev. Lett. 1973, 30, 1343–1346. [Google Scholar] [CrossRef]
- Politzer, H.D. Reliable Perturbative Results for Strong Interactions? Phys. Rev. Lett. 1973, 30, 1346–1349. [Google Scholar] [CrossRef]
- Hanada, M.; Jevicki, A.; Peng, C.; Wintergerst, N. Anatomy of Deconfinement. J. High Energy Phys. 2019, 12, 167. [Google Scholar] [CrossRef]
- Bjorken, J.D. Asymptotic Sum Rules at Infinite Momentum. Phys. Rev. 1969, 179, 1547–1553. [Google Scholar] [CrossRef]
- Bjorken, J.D.; Paschos, E.A. Inelastic Electron Proton and gamma Proton Scattering, and the Structure of the Nucleon. Phys. Rev. 1969, 185, 1975–1982. [Google Scholar] [CrossRef]
- Feynman, R.P. Very high-energy collisions of hadrons. Phys. Rev. Lett. 1969, 23, 1415–1417. [Google Scholar] [CrossRef]
- Gribov, V.N.; Lipatov, L.N. Deep inelastic e p scattering in perturbation theory. Sov. J. Nucl. Phys. 1972, 15, 438–450. [Google Scholar]
- Lipatov, L.N. The parton model and perturbation theory. Sov. J. Nucl. Phys. 1975, 20, 94–102. [Google Scholar]
- Altarelli, G.; Parisi, G. Asymptotic Freedom in Parton Language. Nucl. Phys. 1977, B126, 298–318. [Google Scholar] [CrossRef]
- Dokshitzer, Y.L. Calculation of the Structure Functions for Deep Inelastic Scattering and e+ e- Annihilation by Perturbation Theory in Quantum Chromodynamics. Sov. Phys. JETP 1977, 46, 641–653. [Google Scholar]
- Collins, J.C.; Soper, D.E. Parton Distribution and Decay Functions. Nucl. Phys. 1982, B194, 445–492. [Google Scholar] [CrossRef]
- Mulders, P.J.; Rodrigues, J. Transverse momentum dependence in gluon distribution and fragmentation functions. Phys. Rev. D 2001, 63, 094021. [Google Scholar] [CrossRef]
- Meissner, S.; Metz, A.; Goeke, K. Relations between generalized and transverse momentum dependent parton distributions. Phys. Rev. D 2007, 76, 034002. [Google Scholar] [CrossRef]
- Ji, X.D. Gauge-Invariant Decomposition of Nucleon Spin. Phys. Rev. Lett. 1997, 78, 610–613. [Google Scholar] [CrossRef]
- Radyushkin, A. Nonforward parton distributions. Phys. Rev. D 1997, 56, 5524–5557. [Google Scholar] [CrossRef]
- Müller, D.; Robaschik, D.; Geyer, B.; Dittes, F.M.; Hořejši, J. Wave functions, evolution equations and evolution kernels from light ray operators of QCD. Fortsch. Phys. 1994, 42, 101–141. [Google Scholar] [CrossRef]
- Gribov, L.; Levin, E.; Ryskin, M. Semihard Processes in QCD. Phys. Rept. 1983, 100, 1–150. [Google Scholar] [CrossRef]
- Mueller, A.H.; Qiu, J.W. Gluon Recombination and Shadowing at Small Values of x. Nucl. Phys. B 1986, 268, 427–452. [Google Scholar] [CrossRef]
- McLerran, L.D.; Venugopalan, R. Computing quark and gluon distribution functions for very large nuclei. Phys. Rev. D 1994, 49, 2233–2241. [Google Scholar] [CrossRef]
- McLerran, L.D.; Venugopalan, R. Gluon distribution functions for very large nuclei at small transverse momentum. Phys. Rev. D 1994, 49, 3352–3355. [Google Scholar] [CrossRef]
- McLerran, L.D.; Venugopalan, R. Green’s functions in the color field of a large nucleus. Phys. Rev. D 1994, 50, 2225–2233. [Google Scholar] [CrossRef] [PubMed]
- Ayala, A.; Jalilian-Marian, J.; McLerran, L.D.; Venugopalan, R. The Gluon propagator in nonAbelian Weizsacker-Williams fields. Phys. Rev. D 1995, 52, 2935–2943. [Google Scholar] [CrossRef] [PubMed]
- Ayala, A.; Jalilian-Marian, J.; McLerran, L.D.; Venugopalan, R. Quantum corrections to the Weizsacker-Williams gluon distribution function at small x. Phys. Rev. D 1996, 53, 458–475. [Google Scholar] [CrossRef] [PubMed]
- Iancu, E.; Venugopalan, R. The Color glass condensate and high-energy scattering in QCD. In Quark-Gluon Plasma 4; Hwa, R.C., Wang, X.N., Eds.; World Scientific: Singapore, 2003. [Google Scholar] [CrossRef]
- Gelis, F.; Iancu, E.; Jalilian-Marian, J.; Venugopalan, R. The Color Glass Condensate. Ann. Rev. Nucl. Part. Sci. 2010, 60, 463–489. [Google Scholar] [CrossRef]
- Kovchegov, Y.V.; Levin, E. Quantum chromodynamics at high energy. Camb. Monogr. Part. Phys. Nucl. Phys. Cosmol. 2012, 33, 1–350. [Google Scholar] [CrossRef]
- Albacete, J.L.; Marquet, C. Gluon saturation and initial conditions for relativistic heavy ion collisions. Prog. Part. Nucl. Phys. 2014, 76, 1–42. [Google Scholar] [CrossRef]
- Blaizot, J.P. High gluon densities in heavy ion collisions. Rep. Prog. Phys. 2017, 80, 032301. [Google Scholar] [CrossRef] [PubMed]
- Jeon, S.; Venugopalan, R. Random walks of partons in SU(N(c)) and classical representations of color charges in QCD at small x. Phys. Rev. D 2004, 70, 105012. [Google Scholar] [CrossRef]
- Gotsman, E.; Levin, E.; Maor, U. CGC/saturation approach for soft interactions at high energy: A two channel model. Eur. Phys. J. C 2015, 75, 179. [Google Scholar] [CrossRef]
- Gelis, F.; Jalilian-Marian, J. From DIS to proton nucleus collisions in the color glass condensate model. Phys. Rev. D 2003, 67, 074019. [Google Scholar] [CrossRef]
- Dominguez, F.; Marquet, C.; Xiao, B.W.; Yuan, F. Universality of Unintegrated Gluon Distributions at small x. Phys. Rev. D 2011, 83, 105005. [Google Scholar] [CrossRef]
- Balitsky, I. Operator expansion for high-energy scattering. Nucl. Phys. B 1996, 463, 99–160. [Google Scholar] [CrossRef]
- Kovchegov, Y.V. Small x F(2) structure function of a nucleus including multiple pomeron exchanges. Phys. Rev. D 1999, 60, 034008. [Google Scholar] [CrossRef]
- Lipatov, L.N. Reggeization of the Vector Meson and the Vacuum Singularity in Nonabelian Gauge Theories. Sov. J. Nucl. Phys. 1976, 23, 338–345. [Google Scholar]
- Kuraev, E.A.; Lipatov, L.N.; Fadin, V.S. The Pomeranchuk Singularity in Nonabelian Gauge Theories. Sov. Phys. JETP 1977, 45, 199–204. [Google Scholar]
- Balitsky, I.I.; Lipatov, L.N. The Pomeranchuk Singularity in Quantum Chromodynamics. Sov. J. Nucl. Phys. 1978, 28, 822–829. [Google Scholar]
- Jalilian-Marian, J.; Kovner, A.; McLerran, L.D.; Weigert, H. The Intrinsic glue distribution at very small x. Phys. Rev. D 1997, 55, 5414–5428. [Google Scholar] [CrossRef]
- Jalilian-Marian, J.; Kovner, A.; Weigert, H. The Wilson renormalization group for low x physics: Gluon evolution at finite parton density. Phys. Rev. D 1998, 59, 014015. [Google Scholar] [CrossRef]
- Kovner, A.; Milhano, J.G.; Weigert, H. Relating different approaches to nonlinear QCD evolution at finite gluon density. Phys. Rev. D 2000, 62, 114005. [Google Scholar] [CrossRef]
- Iancu, E.; Leonidov, A.; McLerran, L.D. Nonlinear gluon evolution in the color glass condensate. 1. Nucl. Phys. A 2001, 692, 583–645. [Google Scholar] [CrossRef]
- Iancu, E.; Leonidov, A.; McLerran, L.D. The Renormalization group equation for the color glass condensate. Phys. Lett. B 2001, 510, 133–144. [Google Scholar] [CrossRef]
- Ferreiro, E.; Iancu, E.; Leonidov, A.; McLerran, L. Nonlinear gluon evolution in the color glass condensate. 2. Nucl. Phys. A 2002, 703, 489–538. [Google Scholar] [CrossRef]
- Weigert, H. Unitarity at small Bjorken x. Nucl. Phys. A 2002, 703, 823–860. [Google Scholar] [CrossRef]
- Derrick, M.; Krakauer, D.; Magill, S.; Musgrave, B.; Repond, J.; Repond, S.; Stanek, R.; Talaga, R.L.; Thron, J.; Arzarello, F.; et al. Measurement of the proton structure function F2 in e p scattering at HERA. Phys. Lett. B 1993, 316, 412–426. [Google Scholar] [CrossRef]
- Ball, R.D.; Bertone, V.; Bonvini, M.; Marzani, S.; Rojo, J.; Rottoli, L. Parton distributions with small-x resummation: Evidence for BFKL dynamics in HERA data. Eur. Phys. J. C 2018, 78, 321. [Google Scholar] [CrossRef]
- Hentschinski, M.; Sabio Vera, A.; Salas, C. F2 and FL at small x using a collinearly improved BFKL resummation. Phys. Rev. D 2013, 87, 076005. [Google Scholar] [CrossRef]
- Golec-Biernat, K.J.; Wusthoff, M. Saturation effects in deep inelastic scattering at low Q**2 and its implications on diffraction. Phys. Rev. D 1998, 59, 014017. [Google Scholar] [CrossRef]
- Stasto, A.M.; Golec-Biernat, K.J.; Kwiecinski, J. Geometric scaling for the total gamma* p cross-section in the low x region. Phys. Rev. Lett. 2001, 86, 596–599. [Google Scholar] [CrossRef]
- Kowalski, H.; Lappi, T.; Venugopalan, R. Nuclear enhancement of universal dynamics of high parton densities. Phys. Rev. Lett. 2008, 100, 022303. [Google Scholar] [CrossRef] [PubMed]
- Kowalski, H.; Teaney, D. An Impact parameter dipole saturation model. Phys. Rev. D 2003, 68, 114005. [Google Scholar] [CrossRef]
- Watt, G.; Kowalski, H. Impact parameter dependent colour glass condensate dipole model. Phys. Rev. D 2008, 78, 014016. [Google Scholar] [CrossRef]
- Rezaeian, A.H.; Siddikov, M.; Van de Klundert, M.; Venugopalan, R. Analysis of combined HERA data in the Impact-Parameter dependent Saturation model. Phys. Rev. D 2013, 87, 034002. [Google Scholar] [CrossRef]
- Rezaeian, A.H.; Schmidt, I. Impact-parameter dependent Color Glass Condensate dipole model and new combined HERA data. Phys. Rev. D 2013, 88, 074016. [Google Scholar] [CrossRef]
- Berger, J.; Stasto, A.M. Small x nonlinear evolution with impact parameter and the structure function data. Phys. Rev. D 2011, 84, 094022. [Google Scholar] [CrossRef]
- Bendova, D.; Cepila, J.; Contreras, J.G.; Matas, M. Solution to the Balitsky-Kovchegov equation with the collinearly improved kernel including impact-parameter dependence. Phys. Rev. D 2019, 100, 054015. [Google Scholar] [CrossRef]
- Albacete, J.L.; Armesto, N.; Milhano, J.G.; Quiroga-Arias, P.; Salgado, C.A. AAMQS: A non-linear QCD analysis of new HERA data at small-x including heavy quarks. Eur. Phys. J. C 2011, 71, 1705. [Google Scholar] [CrossRef]
- Albacete, J.L. Resummation of double collinear logs in BK evolution versus HERA data. Nucl. Phys. A 2017, 957, 71–84. [Google Scholar] [CrossRef]
- Iancu, E.; Madrigal, J.D.; Mueller, A.H.; Soyez, G.; Triantafyllopoulos, D.N. Collinearly-improved BK evolution meets the HERA data. Phys. Lett. B 2015, 750, 643–652. [Google Scholar] [CrossRef]
- Ducloué, B.; Iancu, E.; Soyez, G.; Triantafyllopoulos, D.N. HERA data and collinearly-improved BK dynamics. Phys. Lett. B 2020, 803, 135305. [Google Scholar] [CrossRef]
- Beuf, G.; Hänninen, H.; Lappi, T.; Mäntysaari, H. Color Glass Condensate at next-to-leading order meets HERA data. Phys. Rev. D 2020, 102, 074028. [Google Scholar] [CrossRef]
- Beuf, G.; Lappi, T.; Paatelainen, R. Massive quarks in NLO dipole factorization for DIS: Longitudinal photon. arXiv 2021, arXiv:2103.14549. [Google Scholar]
- Mäntysaari, H.; Zurita, P. In depth analysis of the combined HERA data in the dipole models with and without saturation. Phys. Rev. D 2018, 98, 036002. [Google Scholar] [CrossRef]
- Mäntysaari, H.; Schenke, B. Confronting impact parameter dependent JIMWLK evolution with HERA data. Phys. Rev. D 2018, 98, 034013. [Google Scholar] [CrossRef]
- Golec-Biernat, K.J.; Wusthoff, M. Saturation in diffractive deep inelastic scattering. Phys. Rev. D 1999, 60, 114023. [Google Scholar] [CrossRef]
- Bartels, J.; Golec-Biernat, K.J.; Kowalski, H. A modification of the saturation model: DGLAP evolution. Phys. Rev. D 2002, 66, 014001. [Google Scholar] [CrossRef]
- Marquet, C. A Unified description of diffractive deep inelastic scattering with saturation. Phys. Rev. D 2007, 76, 094017. [Google Scholar] [CrossRef]
- Kowalski, H.; Lappi, T.; Marquet, C.; Venugopalan, R. Nuclear enhancement and suppression of diffractive structure functions at high energies. Phys. Rev. C 2008, 78, 045201. [Google Scholar] [CrossRef]
- Kowalski, H.; Motyka, L.; Watt, G. Exclusive diffractive processes at HERA within the dipole picture. Phys. Rev. D 2006, 74, 074016. [Google Scholar] [CrossRef]
- Goncalves, V.P.; Moreira, B.D.; Navarra, F.S. Investigation of diffractive photoproduction of J/Ψ in hadronic collisions. Phys. Rev. C 2014, 90, 015203. [Google Scholar] [CrossRef]
- Schlichting, S.; Schenke, B. The shape of the proton at high energies. Phys. Lett. B 2014, 739, 313–319. [Google Scholar] [CrossRef]
- Armesto, N.; Rezaeian, A.H. Exclusive vector meson production at high energies and gluon saturation. Phys. Rev. D 2014, 90, 054003. [Google Scholar] [CrossRef]
- Gonçalves, V.P.; Moreira, B.D.; Navarra, F.S. Exclusive Υ photoproduction in hadronic collisions at CERN LHC energies. Phys. Lett. B 2015, 742, 172–177. [Google Scholar] [CrossRef]
- Arroyo Garcia, A.; Hentschinski, M.; Kutak, K. QCD evolution based evidence for the onset of gluon saturation in exclusive photo-production of vector mesons. Phys. Lett. B 2019, 795, 569–575. [Google Scholar] [CrossRef]
- Klein, S.R.; Nystrand, J.; Seger, J.; Gorbunov, Y.; Butterworth, J. STARlight: A Monte Carlo simulation program for ultra-peripheral collisions of relativistic ions. Comput. Phys. Commun. 2017, 212, 258–268. [Google Scholar] [CrossRef]
- Lappi, T. Ultraperipheral collisions and low-x physics. In Proceedings of the 28th International Workshop on Deep Inelastic Scattering and Related Subjects, Brooklyn, NY, USA, 23–27 March 2020. [Google Scholar]
- Acharya, S. et al. [ALICE Collaboration] First measurement of the |t|-dependence of coherent J/ψ photonuclear production. Phys. Lett. B 2021, 817, 136280. [Google Scholar] [CrossRef]
- Bendova, D.; Cepila, J.; Contreras, J.G.; Matas, M. Photonuclear J/ψ production at the LHC: Proton-based versus nuclear dipole scattering amplitudes. Phys. Lett. B 2021, 817, 136306. [Google Scholar] [CrossRef]
- Guzey, V.; Strikman, M.; Zhalov, M. Accessing transverse nucleon and gluon distributions in heavy nuclei using coherent vector meson photoproduction at high energies in ion ultraperipheral collisions. Phys. Rev. C 2017, 95, 025204. [Google Scholar] [CrossRef]
- Frankfurt, L.; Miller, G.A.; Strikman, M. Evidence for color fluctuations in hadrons from coherent nuclear diffraction. Phys. Rev. Lett. 1993, 71, 2859–2862. [Google Scholar] [CrossRef] [PubMed]
- Frankfurt, L.; Strikman, M.; Treleani, D.; Weiss, C. Evidence for color fluctuations in the nucleon in high-energy scattering. Phys. Rev. Lett. 2008, 101, 202003. [Google Scholar] [CrossRef]
- Dominguez, F.; Marquet, C.; Wu, B. On multiple scatterings of mesons in hot and cold QCD matter. Nucl. Phys. A 2009, 823, 99–119. [Google Scholar] [CrossRef]
- Lappi, T.; Mäntysaari, H. Incoherent diffractive J/ψ production in high energy nuclear DIS. Phys. Rev. C 2011, 83, 065202. [Google Scholar] [CrossRef]
- Mäntysaari, H.; Schenke, B. Evidence of strong proton shape fluctuations from incoherent diffraction. Phys. Rev. Lett. 2016, 117, 052301. [Google Scholar] [CrossRef] [PubMed]
- Mäntysaari, H.; Schenke, B. Revealing proton shape fluctuations with incoherent diffraction at high energy. Phys. Rev. D 2016, 94, 034042. [Google Scholar] [CrossRef]
- Mäntysaari, H.; Schenke, B. Probing subnucleon scale fluctuations in ultraperipheral heavy ion collisions. Phys. Lett. B 2017, 772, 832–838. [Google Scholar] [CrossRef]
- Cepila, J.; Contreras, J.; Tapia Takaki, J.D. Energy dependence of dissociative J/ψ photoproduction as a signature of gluon saturation at the LHC. Phys. Lett. B 2017, 766, 186–191. [Google Scholar] [CrossRef]
- Cepila, J.; Contreras, J.; Krelina, M.; Tapia Takaki, J. Mass dependence of vector meson photoproduction off protons and nuclei within the energy-dependent hot-spot model. Nucl. Phys. B 2018, 934, 330–340. [Google Scholar] [CrossRef]
- Mäntysaari, H. Review of proton and nuclear shape fluctuations at high energy. Rep. Prog. Phys. 2020, 83, 082201. [Google Scholar] [CrossRef]
- Altinoluk, T.; Armesto, N.; Beuf, G.; Rezaeian, A.H. Diffractive Dijet Production in Deep Inelastic Scattering and Photon-Hadron Collisions in the Color Glass Condensate. Phys. Lett. B 2016, 758, 373–383. [Google Scholar] [CrossRef]
- Mäntysaari, H.; Mueller, N.; Schenke, B. Diffractive Dijet Production and Wigner Distributions from the Color Glass Condensate. Phys. Rev. D 2019, 99, 074004. [Google Scholar] [CrossRef]
- Salazar, F.; Schenke, B. Diffractive dijet production in impact parameter dependent saturation models. Phys. Rev. D 2019, 100, 034007. [Google Scholar] [CrossRef]
- Shi, Y.; Wang, L.; Wei, S.Y.; Xiao, B.W.; Zheng, L. Exploring collective phenomena at the electron-ion collider. Phys. Rev. D 2021, 103, 054017. [Google Scholar] [CrossRef]
- Boer, D.; Setyadi, C. GTMD model predictions for diffractive dijet production at EIC. arXiv 2021, arXiv:2106.15148. [Google Scholar]
- Aad, G. et al. [ATLAS Collaboration] Two-particle azimuthal correlations in photonuclear ultraperipheral Pb+Pb collisions at 5.02 TeV with ATLAS. Phys. Rev. C 2021, 104, 014903. [Google Scholar] [CrossRef]
- Gonçalves, V.P.; Machado, M.V.T.; Moreira, B.D.; Navarra, F.S.; dos Santos, G.S. Color dipole predictions for the exclusive vector meson photoproduction in pp, pPb, and PbPb collisions at run 2 LHC energies. Phys. Rev. D 2017, 96, 094027. [Google Scholar] [CrossRef]
- Lappi, T.; Mäntysaari, H.; Penttala, J. Relativistic corrections to the vector meson light front wave function. Phys. Rev. D 2020, 102, 054020. [Google Scholar] [CrossRef]
- Frankfurt, L.; Guzey, V.; Strikman, M. Leading Twist Nuclear Shadowing Phenomena in Hard Processes with Nuclei. Phys. Rep. 2012, 512, 255–393. [Google Scholar] [CrossRef]
- Guzey, V.; Kryshen, E.; Strikman, M.; Zhalov, M. Evidence for nuclear gluon shadowing from the ALICE measurements of PbPb ultraperipheral exclusive J/ψ production. Phys. Lett. B 2013, 726, 290–295. [Google Scholar] [CrossRef]
- Guzey, V.; Zhalov, M. Exclusive J/ψ production in ultraperipheral collisions at the LHC: Constrains on the gluon distributions in the proton and nuclei. J. High Energy Phys. 2013, 10, 207. [Google Scholar] [CrossRef]
- Guzey, V.; Kryshen, E.; Zhalov, M. Coherent photoproduction of vector mesons in ultraperipheral heavy ion collisions: Update for run 2 at the CERN Large Hadron Collider. Phys. Rev. C 2016, 93, 055206. [Google Scholar] [CrossRef]
- Guzey, V.; Klasen, M. Diffractive dijet photoproduction in ultraperipheral collisions at the LHC in next-to-leading order QCD. J. High Energy Phys. 2016, 4, 158. [Google Scholar] [CrossRef]
- Kharzeev, D.; Levin, E.; McLerran, L. Jet azimuthal correlations and parton saturation in the color glass condensate. Nucl. Phys. A 2005, 748, 627–640. [Google Scholar] [CrossRef]
- Kovchegov, Y.V.; Mueller, A.H. Gluon production in current nucleus and nucleon - nucleus collisions in a quasiclassical approximation. Nucl. Phys. B 1998, 529, 451–479. [Google Scholar] [CrossRef]
- Dumitru, A.; Jalilian-Marian, J. Scattering of gluons from the color glass condensate. Phys. Lett. B 2002, 547, 15–20. [Google Scholar] [CrossRef]
- Kovner, A.; Wiedemann, U.A. Eikonal evolution and gluon radiation. Phys. Rev. D 2001, 64, 114002. [Google Scholar] [CrossRef]
- Dumitru, A.; Jalilian-Marian, J. Forward quark jets from protons shattering the colored glass. Phys. Rev. Lett. 2002, 89, 022301. [Google Scholar] [CrossRef] [PubMed]
- Kharzeev, D.; Levin, E.; McLerran, L. Parton saturation and N(part) scaling of semihard processes in QCD. Phys. Lett. B 2003, 561, 93–101. [Google Scholar] [CrossRef]
- Kharzeev, D.; Kovchegov, Y.V.; Tuchin, K. Cronin effect and high p(T) suppression in pA collisions. Phys. Rev. D 2003, 68, 094013. [Google Scholar] [CrossRef]
- Arsene, I. et al. [BRAHMS Collaboration] On the evolution of the nuclear modification factors with rapidity and centrality in d + Au collisions at s(NN)**(1/2) = 200-GeV. Phys. Rev. Lett. 2004, 93, 242303. [Google Scholar] [CrossRef]
- Cronin, J.W.; Frisch, H.J.; Shochet, M.J.; Boymond, J.P.; Mermod, R.; Piroue, P.A.; Sumner, R.L. Production of hadrons with large transverse momentum at 200, 300, and 400 GeV. Phys. Rev. D 1975, 11, 3105–3123. [Google Scholar] [CrossRef]
- Albacete, J.L.; Armesto, N.; Kovner, A.; Salgado, C.A.; Wiedemann, U.A. Energy dependence of the Cronin effect from nonlinear QCD evolution. Phys. Rev. Lett. 2004, 92, 082001. [Google Scholar] [CrossRef] [PubMed]
- Kharzeev, D.; Kovchegov, Y.V.; Tuchin, K. Nuclear modification factor in d+Au collisions: Onset of suppression in the color glass condensate. Phys. Lett. B 2004, 599, 23–31. [Google Scholar] [CrossRef]
- Rezaeian, A.H. CGC predictions for p+A collisions at the LHC and signature of QCD saturation. Phys. Lett. B 2013, 718, 1058–1069. [Google Scholar] [CrossRef]
- Albacete, J.L.; Dumitru, A.; Fujii, H.; Nara, Y. CGC predictions for p + Pb collisions at the LHC. Nucl. Phys. A 2013, 897, 1–27. [Google Scholar] [CrossRef][Green Version]
- Lappi, T.; Mäntysaari, H. Single inclusive particle production at high energy from HERA data to proton-nucleus collisions. Phys. Rev. D 2013, 88, 114020. [Google Scholar] [CrossRef]
- Ducloué, B.; Lappi, T.; Mäntysaari, H. Forward J/ψ and D meson nuclear suppression at the LHC. Nucl. Part. Phys. Proc. 2017, 289–290, 309–312. [Google Scholar] [CrossRef]
- Mäntysaari, H.; Paukkunen, H. Saturation and forward jets in proton-lead collisions at the LHC. Phys. Rev. D 2019, 100, 114029. [Google Scholar] [CrossRef]
- Acharya, S. et al. [ALICE Collaboration] Neutral pion and η meson production in p-Pb collisions at = 5.02 TeV. Eur. Phys. J. C 2018, 78, 624. [Google Scholar] [CrossRef]
- Eskola, K.J.; Helenius, I.; Paakkinen, P.; Paukkunen, H. A QCD analysis of LHCb D-meson data in p+Pb collisions. J. High Energy Phys. 2020, 5, 037. [Google Scholar] [CrossRef]
- Gelis, F.; Jalilian-Marian, J. Photon production in high-energy proton nucleus collisions. Phys. Rev. D 2002, 66, 014021. [Google Scholar] [CrossRef]
- Jalilian-Marian, J. Photon + hadron production in high energy deuteron (proton)-nucleus collisions. Nucl. Phys. A 2006, 770, 210–220. [Google Scholar] [CrossRef][Green Version]
- Helenius, I.; Eskola, K.J.; Paukkunen, H. Probing the small-x nuclear gluon distributions with isolated photons at forward rapidities in p+Pb collisions at the LHC. J. High Energy Phys. 2014, 9, 138. [Google Scholar] [CrossRef]
- Jalilian-Marian, J.; Rezaeian, A.H. Prompt photon production and photon-hadron correlations at RHIC and the LHC from the Color Glass Condensate. Phys. Rev. D 2012, 86, 034016. [Google Scholar] [CrossRef]
- Benic, S.; Fukushima, K.; Garcia-Montero, O.; Venugopalan, R. Probing gluon saturation with next-to-leading order photon production at central rapidities in proton-nucleus collisions. J. High Energy Phys. 2017, 1, 115. [Google Scholar] [CrossRef]
- Ducloue, B.; Lappi, T.; Mäntysaari, H. Isolated photon production in proton-nucleus collisions at forward rapidity. Phys. Rev. D 2018, 97, 054023. [Google Scholar] [CrossRef]
- Golec-Biernat, K.; Motyka, L.; Stebel, T. Prompt photon production in proton collisions as a probe of parton scattering in high energy limit. Phys. Rev. D 2021, 103, 034013. [Google Scholar] [CrossRef]
- Sampaio dos Santos, G.; Gil da Silveira, G.; Machado, M.V.T. Prompt photon production in high-energy pA collisions at forward rapidity. Phys. Rev. C 2020, 102, 054901. [Google Scholar] [CrossRef]
- Acharya, S. et al. [ALICE Collaboration] Direct photon production at low transverse momentum in proton-proton collisions at = 2.76 and 8 TeV. Phys. Rev. C 2019, 99, 024912. [Google Scholar] [CrossRef]
- Letter of Intent: A Forward Calorimeter (FoCal) in the ALICE Experiment. Available online: https://cds.cern.ch/record/2719928 (accessed on 20 August 2021).
- Boettcher, T. Direct photon production at LHCb. Nucl. Phys. A 2019, 982, 251–254. [Google Scholar] [CrossRef]
- Watanabe, K. Quarkonium production at collider energies in Small-x formalism. Few Body Syst. 2017, 58, 134. [Google Scholar] [CrossRef]
- Kharzeev, D.; Tuchin, K. Signatures of the color glass condensate in J/psi production off nuclear targets. Nucl. Phys. A 2006, 770, 40–56. [Google Scholar] [CrossRef][Green Version]
- Kharzeev, D.; Thews, R.L. Quarkonium formation time in a model independent approach. Phys. Rev. C 1999, 60, 041901. [Google Scholar] [CrossRef]
- Bodwin, G.T.; Braaten, E.; Lepage, G.P. Rigorous QCD analysis of inclusive annihilation and production of heavy quarkonium. Phys. Rev. D 1995, 51, 1125–1171. [Google Scholar] [CrossRef] [PubMed]
- Ma, Y.Q.; Wang, K.; Chao, K.T. A complete NLO calculation of the J/ψ and ψ′ production at hadron colliders. Phys. Rev. D 2011, 84, 114001. [Google Scholar] [CrossRef]
- Ma, Y.Q.; Venugopalan, R. Comprehensive Description of J/ψ Production in Proton-Proton Collisions at Collider Energies. Phys. Rev. Lett. 2014, 113, 192301. [Google Scholar] [CrossRef]
- Butenschoen, M.; Kniehl, B.A. Reconciling J/ψ production at HERA, RHIC, Tevatron, and LHC with NRQCD factorization at next-to-leading order. Phys. Rev. Lett. 2011, 106, 022003. [Google Scholar] [CrossRef]
- Acharya, S. et al. [ALCE Collaboration] Energy dependence of forward-rapidity J/ψ and ψ(2S) production in pp collisions at the LHC. Eur. Phys. J. C 2017, 77, 392. [Google Scholar] [CrossRef]
- Bodwin, G.T.; Braaten, E.; Lee, J. Comparison of the color-evaporation model and the NRQCD factorization approach in charmonium production. Phys. Rev. D 2005, 72, 014004. [Google Scholar] [CrossRef]
- Adam, J. et al. [STAR Collaboration] Measurements of the transverse-momentum-dependent cross sections of J/ψ production at mid-rapidity in proton+proton collisions at = 510 and 500 GeV with the STAR detector. Phys. Rev. D 2019, 100, 052009. [Google Scholar] [CrossRef]
- Eskola, K.J.; Paukkunen, H.; Salgado, C.A. EPS09: A New Generation of NLO and LO Nuclear Parton Distribution Functions. J. High Energy Phys. 2009, 4, 065. [Google Scholar] [CrossRef]
- Accardi, A.; Gyulassy, M. Cronin effect versus geometrical shadowing in d + Au collisions at RHIC. Phys. Lett. B 2004, 586, 244–253. [Google Scholar] [CrossRef][Green Version]
- Kopeliovich, B.Z.; Nemchik, J.; Potashnikova, I.K.; Johnson, M.B.; Schmidt, I. Breakdown of QCD factorization at large Feynman x. Phys. Rev. C 2005, 72, 054606. [Google Scholar] [CrossRef]
- Armesto, N. Small collision systems: Theory overview on cold nuclear matter effects. Eur. Phys. J. Web Conf. 2018, 171, 11001. [Google Scholar] [CrossRef]
- Marquet, C. Forward inclusive dijet production and azimuthal correlations in p(A) collisions. Nucl. Phys. A 2007, 796, 41–60. [Google Scholar] [CrossRef]
- Albacete, J.L.; Marquet, C. Azimuthal correlations of forward di-hadrons in d+Au collisions at RHIC in the Color Glass Condensate. Phys. Rev. Lett. 2010, 105, 162301. [Google Scholar] [CrossRef] [PubMed]
- Lappi, T.; Mäntysaari, H. Forward dihadron correlations in deuteron-gold collisions with the Gaussian approximation of JIMWLK. Nucl. Phys. A 2013, 908, 51–72. [Google Scholar] [CrossRef]
- Strikman, M.; Vogelsang, W. Multiple parton interactions and forward double pion production in pp and dA scattering. Phys. Rev. D 2011, 83, 034029. [Google Scholar] [CrossRef]
- Chu, X. Di-Hadron Correlations in p+p, p+Au and p+Al Collisions at STAR. Initial Stages 2021. Available online: http://cds.cern.ch/record/2749297 (accessed on 20 August 2021).
- Adare, A. et al. [PHENIX Collaboration] Suppression of back-to-back hadron pairs at forward rapidity in d+Au Collisions at = 200 GeV. Phys. Rev. Lett. 2011, 107, 172301. [Google Scholar] [CrossRef]
- Lappi, T.; Mantysaari, H. Forward dihadron correlations in the Gaussian approximation of JIMWLK. Nucl. Phys. A 2013, 910–911, 498–501. [Google Scholar] [CrossRef]
- Mueller, A.H.; Xiao, B.W.; Yuan, F. Sudakov double logarithms resummation in hard processes in the small-x saturation formalism. Phys. Rev. D 2013, 88, 114010. [Google Scholar] [CrossRef]
- Albacete, J.L.; Giacalone, G.; Marquet, C.; Matas, M. Forward dihadron back-to-back correlations in pA collisions. Phys. Rev. D 2019, 99, 014002. [Google Scholar] [CrossRef]
- Stasto, A.; Wei, S.Y.; Xiao, B.W.; Yuan, F. On the Dihadron Angular Correlations in Forward pA collisions. Phys. Lett. B 2018, 784, 301–306. [Google Scholar] [CrossRef]
- Kutak, K.; Sapeta, S. Gluon saturation in dijet production in p-Pb collisions at Large Hadron Collider. Phys. Rev. D 2012, 86, 094043. [Google Scholar] [CrossRef]
- van Hameren, A.; Kotko, P.; Kutak, K.; Marquet, C.; Sapeta, S. Saturation effects in forward-forward dijet production in p+Pb collisions. Phys. Rev. D 2014, 89, 094014. [Google Scholar] [CrossRef]
- van Hameren, A.; Kotko, P.; Kutak, K.; Sapeta, S. Small-x dynamics in forward-central dijet decorrelations at the LHC. Phys. Lett. B 2014, 737, 335–340. [Google Scholar] [CrossRef]
- Kotko, P.; Kutak, K.; Marquet, C.; Petreska, E.; Sapeta, S.; van Hameren, A. Improved TMD factorization for forward dijet production in dilute-dense hadronic collisions. J. High Energy Phys. 2015, 9, 106. [Google Scholar] [CrossRef]
- van Hameren, A.; Kotko, P.; Kutak, K.; Marquet, C.; Petreska, E.; Sapeta, S. Forward di-jet production in p+Pb collisions in the small-x improved TMD factorization framework. J. High Energy Phys. 2016, 12, 034, Erratum in 2019, 2, 158. [Google Scholar] [CrossRef]
- van Hameren, A.; Kotko, P.; Kutak, K.; Sapeta, S. Broadening and saturation effects in dijet azimuthal correlations in p-p and p-Pb collisions at = 5.02 TeV. Phys. Lett. B 2019, 795, 511–515. [Google Scholar] [CrossRef]
- Kotko, P.; Kutak, K.; Sapeta, S.; Stasto, A.M.; Strikman, M. Estimating nonlinear effects in forward dijet production in ultra-peripheral heavy ion collisions at the LHC. Eur. Phys. J. C 2017, 77, 353. [Google Scholar] [CrossRef]
- Rezaeian, A.H. Semi-inclusive photon-hadron production in pp and pA collisions at RHIC and LHC. Phys. Rev. D 2012, 86, 094016. [Google Scholar] [CrossRef]
- Rezaeian, A.H. Photon-jet ridge at RHIC and the LHC. Phys. Rev. D 2016, 93, 094030. [Google Scholar] [CrossRef]
- Benic, S.; Dumitru, A. Prompt photon—Jet angular correlations at central rapidities in p+A collisions. Phys. Rev. D 2018, 97, 014012. [Google Scholar] [CrossRef]
- Goncalves, V.P.; Lima, Y.; Pasechnik, R.; Šumbera, M. Isolated photon production and pion-photon correlations in high-energy pp and pA collisions. Phys. Rev. D 2020, 101, 094019. [Google Scholar] [CrossRef]
- Mueller, A.H.; Xiao, B.W.; Yuan, F. Sudakov Resummation in Small-x Saturation Formalism. Phys. Rev. Lett. 2013, 110, 082301. [Google Scholar] [CrossRef] [PubMed]
- Kang, Z.B.; Vitev, I.; Xing, H. Dihadron momentum imbalance and correlations in d+Au collisions. Phys. Rev. D 2012, 85, 054024. [Google Scholar] [CrossRef]
- Xing, H.; Kang, Z.B.; Vitev, I.; Wang, E. Transverse momentum imbalance of back-to-back particle production in p+A and e+A collisions. Phys. Rev. D 2012, 86, 094010. [Google Scholar] [CrossRef]
- Armesto, N.; Gülhan, D.C.; Milhano, J.G. Kinematic bias on centrality selection of jet events in pPb collisions at the LHC. Phys. Lett. B 2015, 747, 441–445. [Google Scholar] [CrossRef]
- Acharya, S. et al. [ALICE Collaboration] Constraints on jet quenching in p-Pb collisions at = 5.02 TeV measured by the event-activity dependence of semi-inclusive hadron-jet distributions. Phys. Lett. B 2018, 783, 95–113. [Google Scholar] [CrossRef]
- Connors, M.; Nattrass, C.; Reed, R.; Salur, S. Jet measurements in heavy ion physics. Rev. Mod. Phys. 2018, 90, 025005. [Google Scholar] [CrossRef]
- Albacete, J.L.; Arleo, F.; Barnaföldi, G.G.; Bíró, G.; Enterria, D.D.; Ducloué, B.; Eskola, K.J.; Ferreiro, E.G.; Gyulassy, M.; Harangozó, S.M.; et al. Predictions for Cold Nuclear Matter Effects in p+Pb Collisions at =8.16 TeV. Nucl. Phys. A 2018, 972, 18–85. [Google Scholar] [CrossRef]
- Aamodt, K. et al. [The ALICE Collaboration] Charged-particle multiplicity measurement in proton-proton collisions at = 7 TeV with ALICE at LHC. Eur. Phys. J. C 2010, 68, 345–354. [Google Scholar] [CrossRef]
- Chatrchyan, S. et al. [The CMS Collaboration] Study of the Inclusive Production of Charged Pions, Kaons, and Protons in pp Collisions at = 0.9, 2.76, and 7 TeV. Eur. Phys. J. C 2012, 72, 2164. [Google Scholar] [CrossRef]
- Schenke, B.; Tribedy, P.; Venugopalan, R. Fluctuating Glasma initial conditions and flow in heavy ion collisions. Phys. Rev. Lett. 2012, 108, 252301. [Google Scholar] [CrossRef] [PubMed]
- Schenke, B.; Schlichting, S.; Tribedy, P.; Venugopalan, R. Mass ordering of spectra from fragmentation of saturated gluon states in high multiplicity proton-proton collisions. Phys. Rev. Lett. 2016, 117, 162301. [Google Scholar] [CrossRef] [PubMed]
- Khatun, A. J/ψ production as a function of charged-particle multiplicity in pp collisions at = 5.02 TeV with ALICE. Springer Proc. Phys. 2021, 261, 599–603. [Google Scholar] [CrossRef]
- Abelev, B. et al. [ALICE Collaboration] J/ψ Production as a Function of Charged Particle Multiplicity in pp Collisions at = 7 TeV. Phys. Lett. B 2012, 712, 165–175. [Google Scholar] [CrossRef]
- Thakur, D. J/ψ production as a function of charged-particle multiplicity with ALICE at the LHC. In Conference on Flavor Physics and CP Violation; Springer: Cham, Switzerland, 2018; pp. 217–221. [Google Scholar] [CrossRef]
- Acharya, S. et al. [ALICE Collaboration] Multiplicity dependence of J/ψ production at midrapidity in pp collisions at = 13 TeV. Phys. Lett. B 2020, 810, 135758. [Google Scholar] [CrossRef]
- Levin, E.; Schmidt, I.; Siddikov, M. Multiplicity dependence of quarkonia production in the CGC approach. Eur. Phys. J. C 2020, 80, 560. [Google Scholar] [CrossRef]
- Department of Energy (USA). U.S. Department of Energy Selects Brookhaven National Laboratory to Host Major New Nuclear Physics Facility. Available online: https://www.energy.gov/articles/us-department-energy-selects-brookhaven-national-laboratory-host-major-new-nuclear-physics (accessed on 22 April 2020).
- Boer, D.; Diehl, M.; Milner, R.; Venugopalan, R.; Vogelsang, W.; Accardi, A.; Aschenauer, E.; Burkardt, M.; Ent, R.; Guzey, V.; et al. Gluons and the quark sea at high energies: Distributions, polarization, tomography. arXiv 2011, arXiv:1108.1713. [Google Scholar]
- Accardi, A.; Albacete, J.L.; Anselmino, M.; Armesto, N.; Aschenauer, E.C.; Bacchetta, A.; Boer, D.; Brooks, W.K.; Burton, T.; Chang, N.-B.; et al. Electron Ion Collider: The Next QCD Frontier: Understanding the glue that binds us all. Eur. Phys. J. A 2016, 52, 268. [Google Scholar] [CrossRef]
- Aschenauer, E.C.; Fazio, S.; Lee, J.H.; Mäntysaari, H.; Page, B.S.; Schenke, B.; Ullrich, T.; Venugopalan, R.; Zurita, P. The electron–ion collider: Assessing the energy dependence of key measurements. Rep. Prog. Phys. 2019, 82, 024301. [Google Scholar] [CrossRef]
- Abdul Khalek, R.; Accardi, A.; Adam, J.; Adamiak, D.; Akers, W.; Albaladejo, M.; Al-bataineh, A.; Alexeev, M.G.; Ameli, F.; Antonioli, P.; et al. Science Requirements and Detector Concepts for the Electron-Ion Collider: EIC Yellow Report. arXiv 2021, arXiv:2103.05419. [Google Scholar]
- Agostini, P.; Aksakal, H.; Alan, H.; Alekhin, S.; Allport, P.P.; Andari, N.; Andre, K.D.J.; Angal-Kalinin, D.; Antusch, S.; Aperio Bella, L.; et al. The Large Hadron-Electron Collider at the HL-LHC. arXiv 2020, arXiv:2007.14491. [Google Scholar]
- Goncalves, V.P.; Martins, D.E.; Sena, C.R. Exclusive vector meson production in electron—Ion collisions at the EIC, LHeC and FCC–eh. Nucl. Phys. A 2020, 1004, 122055. [Google Scholar] [CrossRef]
- Bartels, J.; Golec-Biernat, K.; Motyka, L. Twist expansion of the nucleon structure functions, F(2) and F(L), in the DGLAP improved saturation model. Phys. Rev. D 2010, 81, 054017. [Google Scholar] [CrossRef]
- Marquet, C.; Moldes, M.R.; Zurita, P. Unveiling saturation effects from nuclear structure function measurements at the EIC. Phys. Lett. B 2017, 772, 607–614. [Google Scholar] [CrossRef]
- Toll, T.; Ullrich, T. Exclusive diffractive processes in electron-ion collisions. Phys. Rev. C 2013, 87, 024913. [Google Scholar] [CrossRef]
- Toll, T.; Ullrich, T. The dipole model Monte Carlo generator Sartre 1. Comput. Phys. Commun. 2014, 185, 1835–1853. [Google Scholar] [CrossRef]
- Miller, G.A.; Sievert, M.D.; Venugopalan, R. Probing short-range nucleon-nucleon interactions with an Electron-Ion Collider. Phys. Rev. C 2016, 93, 045202. [Google Scholar] [CrossRef]
- Mäntysaari, H.; Schenke, B. Accessing the gluonic structure of light nuclei at a future electron-ion collider. Phys. Rev. C 2020, 101, 015203. [Google Scholar] [CrossRef]
- Tu, Z.; Jentsch, A.; Baker, M.; Zheng, L.; Lee, J.H.; Venugopalan, R.; Hen, O.; Higinbotham, D.; Aschenauer, E.C.; Ullrich, T. Probing short-range correlations in the deuteron via incoherent diffractive J/ψ production with spectator tagging at the EIC. Phys. Lett. B 2020, 811, 135877. [Google Scholar] [CrossRef]
- Kolbé, I.; Roy, K.; Salazar, F.; Schenke, B.; Venugopalan, R. Inclusive prompt photon-jet correlations as a probe of gluon saturation in electron-nucleus scattering at small x. J. High Energy Phys. 2021, 1, 52. [Google Scholar] [CrossRef]
- Petreska, E. TMD gluon distributions at small x in the CGC theory. Int. J. Mod. Phys. E 2018, 27, 1830003. [Google Scholar] [CrossRef]
- Zheng, L.; Aschenauer, E.C.; Lee, J.H.; Xiao, B.W. Probing Gluon Saturation through Dihadron Correlations at an Electron-Ion Collider. Phys. Rev. D 2014, 89, 074037. [Google Scholar] [CrossRef]
- van Hameren, A.; Kotko, P.; Kutak, K.; Sapeta, S.; Żarów, E. Probing gluon number density with electron-dijet correlations at EIC. Eur. Phys. J. C 2021, 81, 741. [Google Scholar] [CrossRef]
- Altinoluk, T.; Boussarie, R.; Kotko, P. Interplay of the CGC and TMD frameworks to all orders in kinematic twist. J. High Energy Phys. 2019, 5, 156. [Google Scholar] [CrossRef]
- Altinoluk, T.; Marquet, C.; Taels, P. Low-x improved TMD approach to the lepto- and hadroproduction of a heavy-quark pair. arXiv 2021, arXiv:2103.14495v1. [Google Scholar]
- Boussarie, R.; Mäntysaari, H.; Salazar, F.; Schenke, B. The importance of kinematic twists and genuine saturation effects in dijet production at the Electron-Ion Collider. arXiv 2021, arXiv:2106.11301. [Google Scholar]
- Marquet, C.; Xiao, B.W.; Yuan, F. Semi-inclusive Deep Inelastic Scattering at small x. Phys. Lett. B 2009, 682, 207–211. [Google Scholar] [CrossRef]
- Iancu, E.; Mueller, A.H.; Triantafyllopoulos, D.N.; Wei, S.Y. Saturation effects in SIDIS at very forward rapidities. J. High Energy Phys. 2021, 2021, 196. [Google Scholar] [CrossRef]
- Kovchegov, Y.V.; Weigert, H. Triumvirate of Running Couplings in Small-x Evolution. Nucl. Phys. 2007, A784, 188–226. [Google Scholar] [CrossRef]
- Balitsky, I. Quark contribution to the small-x evolution of color dipole. Phys. Rev. D 2007, 75, 014001. [Google Scholar] [CrossRef]
- Albacete, J.L.; Kovchegov, Y.V. Solving high energy evolution equation including running coupling corrections. Phys. Rev. D 2007, 75, 125021. [Google Scholar] [CrossRef]
- Lappi, T.; Mäntysaari, H. On the running coupling in the JIMWLK equation. Eur. Phys. J. C 2013, 73, 2307. [Google Scholar] [CrossRef]
- Balitsky, I.; Chirilli, G.A. Next-to-leading order evolution of color dipoles. Phys. Rev. D 2008, 77, 014019. [Google Scholar] [CrossRef]
- Balitsky, I.; Chirilli, G.A. Rapidity evolution of Wilson lines at the next-to-leading order. Phys. Rev. D 2013, 88, 111501. [Google Scholar] [CrossRef]
- Kovner, A.; Lublinsky, M.; Mulian, Y. Jalilian-Marian, Iancu, McLerran, Weigert, Leonidov, Kovner evolution at next to leading order. Phys. Rev. D 2014, 89, 061704. [Google Scholar] [CrossRef]
- Kovner, A.; Lublinsky, M.; Mulian, Y. NLO JIMWLK evolution unabridged. J. High Energy Phys. 2014, 8, 114. [Google Scholar] [CrossRef]
- Lublinsky, M.; Mulian, Y. High Energy QCD at NLO: From light-cone wave function to JIMWLK evolution. J. High Energy Phys. 2017, 5, 097. [Google Scholar] [CrossRef]
- Lappi, T.; Mäntysaari, H. Direct numerical solution of the coordinate space Balitsky-Kovchegov equation at next to leading order. Phys. Rev. D 2015, 91, 074016. [Google Scholar] [CrossRef]
- Beuf, G. Improving the kinematics for low-x QCD evolution equations in coordinate space. Phys. Rev. D 2014, 89, 074039. [Google Scholar] [CrossRef]
- Iancu, E.; Madrigal, J.; Mueller, A.; Soyez, G.; Triantafyllopoulos, D. Resumming double logarithms in the QCD evolution of color dipoles. Phys. Lett. B 2015, 744, 293–302. [Google Scholar] [CrossRef]
- Ducloué, B.; Iancu, E.; Mueller, A.; Soyez, G.; Triantafyllopoulos, D. Non-linear evolution in QCD at high-energy beyond leading order. J. High Energy Phys. 2019, 4, 081. [Google Scholar] [CrossRef]
- Lappi, T.; Mäntysaari, H. Next-to-leading order Balitsky-Kovchegov equation with resummation. Phys. Rev. D 2016, 93, 094004. [Google Scholar] [CrossRef]
- Korcyl, P. Numerical package for solving the JIMWLK evolution equation in C++. arXiv 2020, arXiv:2009.02045. [Google Scholar]
- Cali, S.; Cichy, K.; Korcyl, P.; Kotko, P.; Kutak, K.; Marquet, C. On systematic effects in the numerical solutions of the JIMWLK equation. arXiv 2021, arXiv:2104.14254. [Google Scholar]
- Hatta, Y.; Iancu, E. Collinearly improved JIMWLK evolution in Langevin form. J. High Energy Phys. 2016, 8, 083. [Google Scholar] [CrossRef]
- Balitsky, I.; Chirilli, G.A. Photon impact factor and kT-factorization for DIS in the next-to-leading order. Phys. Rev. D 2013, 87, 014013. [Google Scholar] [CrossRef]
- Beuf, G. NLO corrections for the dipole factorization of DIS structure functions at low x. Phys. Rev. D 2012, 85, 034039. [Google Scholar] [CrossRef]
- Beuf, G. Dipole factorization for DIS at NLO: Loop correction to the light-front wave functions. Phys. Rev. D 2016, 94, 054016. [Google Scholar] [CrossRef]
- Beuf, G. Dipole factorization for DIS at NLO: Combining the and contributions. Phys. Rev. D 2017, 96, 074033. [Google Scholar] [CrossRef]
- Lappi, T.; Paatelainen, R. The one loop gluon emission light cone wave function. Ann. Phys. 2017, 379, 34–66. [Google Scholar] [CrossRef]
- Hänninen, H.; Lappi, T.; Paatelainen, R. One-loop corrections to light cone wave functions: The dipole picture DIS cross section. Ann. Phys. 2018, 393, 358–412. [Google Scholar] [CrossRef]
- Ducloué, B.; Hänninen, H.; Lappi, T.; Zhu, Y. Deep inelastic scattering in the dipole picture at next-to-leading order. Phys. Rev. D 2017, 96, 094017. [Google Scholar] [CrossRef]
- Boussarie, R.; Grabovsky, A.V.; Ivanov, D.Y.; Szymanowski, L.; Wallon, S. Next-to-Leading Order Computation of Exclusive Diffractive Light Vector Meson Production in a Saturation Framework. Phys. Rev. Lett. 2017, 119, 072002. [Google Scholar] [CrossRef] [PubMed]
- Boussarie, R.; Grabovsky, A.V.; Szymanowski, L.; Wallon, S. On the one loop γ(∗)→ impact factor and the exclusive diffractive cross sections for the production of two or three jets. J. High Energy Phys. 2016, 11, 149. [Google Scholar] [CrossRef]
- Boussarie, R.; Grabovsky, A.V.; Szymanowski, L.; Wallon, S. Towards a complete next-to-logarithmic description of forward exclusive diffractive dijet electroproduction at HERA: Real corrections. Phys. Rev. D 2019, 100, 074020. [Google Scholar] [CrossRef]
- Mäntysaari, H.; Penttala, J. Exclusive heavy vector meson production at next-to-leading order in the dipole picture. arXiv 2021, arXiv:2104.02349. [Google Scholar]
- Roy, K.; Venugopalan, R. NLO impact factor for inclusive photon+dijet production in e+A DIS at small x. Phys. Rev. D 2020, 101, 034028. [Google Scholar] [CrossRef]
- Chirilli, G.A.; Xiao, B.W.; Yuan, F. One-loop Factorization for Inclusive Hadron Production in pA Collisions in the Saturation Formalism. Phys. Rev. Lett. 2012, 108, 122301. [Google Scholar] [CrossRef]
- Chirilli, G.A.; Xiao, B.W.; Yuan, F. Inclusive Hadron Productions in pA Collisions. Phys. Rev. D 2012, 86, 054005. [Google Scholar] [CrossRef]
- Altinoluk, T.; Armesto, N.; Beuf, G.; Kovner, A.; Lublinsky, M. Single-inclusive particle production in proton-nucleus collisions at next-to-leading order in the hybrid formalism. Phys. Rev. D 2015, 91, 094016. [Google Scholar] [CrossRef]
- Ducloué, B.; Lappi, T.; Zhu, Y. Single inclusive forward hadron production at next-to-leading order. Phys. Rev. D 2016, 93, 114016. [Google Scholar] [CrossRef]
- Iancu, E.; Mulian, Y. Forward dijets in proton-nucleus collisions at next-to-leading order: The real corrections. J. High Energy Phys. 2021, 3, 005. [Google Scholar] [CrossRef]
- Caucal, P.; Salazar, F.; Venugopalan, R. Dijet impact factor in DIS at next-to-leading order in the Color Glass Condensate. arXiv 2021, arXiv:2108.06347. [Google Scholar]
- Stasto, A.M.; Xiao, B.W.; Zaslavsky, D. Towards the Test of Saturation Physics Beyond Leading Logarithm. Phys. Rev. Lett. 2014, 112, 012302. [Google Scholar] [CrossRef] [PubMed]
- Ducloué, B.; Lappi, T.; Zhu, Y. Implementation of NLO high energy factorization in single inclusive forward hadron production. Phys. Rev. D 2017, 95, 114007. [Google Scholar] [CrossRef]
- Ducloué, B.; Iancu, E.; Lappi, T.; Mueller, A.H.; Soyez, G.; Triantafyllopoulos, D.N.; Zhu, Y. Use of a running coupling in the NLO calculation of forward hadron production. Phys. Rev. D 2018, 97, 054020. [Google Scholar] [CrossRef]
- Liu, H.Y.; Kang, Z.B.; Liu, X. Threshold resummation for hadron production in the small-x region. Phys. Rev. D 2020, 102, 051502. [Google Scholar] [CrossRef]
- Dumitru, A.; Jalilian-Marian, J.; Lappi, T.; Schenke, B.; Venugopalan, R. Renormalization group evolution of multi-gluon correlators in high energy QCD. Phys. Lett. B 2011, 706, 219–224. [Google Scholar] [CrossRef]
- Iancu, E.; Triantafyllopoulos, D.N. JIMWLK evolution in the Gaussian approximation. J. High Energy Phys. 2012, 4, 025. [Google Scholar] [CrossRef]
- Dumitru, A.; Petreska, E. Initial conditions for dipole evolution beyond the McLerran-Venugopalan model. Nucl. Phys. A 2012, 879, 59–76. [Google Scholar] [CrossRef]
- Dumitru, A.; Jalilian-Marian, J.; Petreska, E. Two-gluon correlations and initial conditions for small-x evolution. Phys. Rev. D 2011, 84, 014018. [Google Scholar] [CrossRef]
- Giannini, A.V.; Nara, Y. Non-perturbative renormalization of the average color charge and multi-point correlators of color charge from a non-Gaussian small-x action. Nucl. Phys. A 2021, 1010, 122178. [Google Scholar] [CrossRef]
- Dumitru, A.; Miller, G.A.; Venugopalan, R. Extracting many-body color charge correlators in the proton from exclusive DIS at large Bjorken x. Phys. Rev. D 2018, 98, 094004. [Google Scholar] [CrossRef]
- Dumitru, A.; Skokov, V.; Stebel, T. Subfemtometer scale color charge correlations in the proton. Phys. Rev. D 2020, 101, 054004. [Google Scholar] [CrossRef]
- Dumitru, A.; Paatelainen, R. Sub-femtometer scale color charge fluctuations in a proton made of three quarks and a gluon. Phys. Rev. D 2021, 103, 034026. [Google Scholar] [CrossRef]
- Dumitru, A.; Mäntysaari, H.; Paatelainen, R. Color charge correlations in the proton at NLO: Beyond geometry based intuition. arXiv 2021, arXiv:2103.11682. [Google Scholar]
- Altinoluk, T.; Boussarie, R. Low x physics as an infinite twist (G)TMD framework: Unravelling the origins of saturation. J. High Energy Phys. 2019, 10, 208. [Google Scholar] [CrossRef]
- Boussarie, R.; Mehtar-Tani, Y. Gauge invariance of transverse momentum dependent distributions at small x. Phys. Rev. D 2021, 103, 094012. [Google Scholar] [CrossRef]
- Fujii, H.; Marquet, C.; Watanabe, K. Comparison of improved TMD and CGC frameworks in forward quark dijet production. J. High Energy Phys. 2020, 12, 181. [Google Scholar] [CrossRef]
- Kovchegov, Y.V.; Pitonyak, D.; Sievert, M.D. Helicity Evolution at Small-x. J. High Energy Phys. 2016, 1, 072, Erratum in 2016, 10, 148. [Google Scholar] [CrossRef]
- Kovchegov, Y.V.; Pitonyak, D.; Sievert, M.D. Small-x asymptotics of the quark helicity distribution. Phys. Rev. Lett. 2017, 118, 052001. [Google Scholar] [CrossRef] [PubMed]
- Kovchegov, Y.V.; Pitonyak, D.; Sievert, M.D. Helicity Evolution at Small x: Flavor Singlet and Non-Singlet Observables. Phys. Rev. D 2017, 95, 014033. [Google Scholar] [CrossRef]
- Kovchegov, Y.V.; Pitonyak, D.; Sievert, M.D. Small-x Asymptotics of the Quark Helicity Distribution: Analytic Results. Phys. Lett. B 2017, 772, 136–140. [Google Scholar] [CrossRef]
- Kovchegov, Y.V.; Pitonyak, D.; Sievert, M.D. Small-x Asymptotics of the Gluon Helicity Distribution. J. High Energy Phys. 2017, 10, 198. [Google Scholar] [CrossRef]
- Kovchegov, Y.V.; Sievert, M.D. Small-x Helicity Evolution: An Operator Treatment. Phys. Rev. D 2019, 99, 054032. [Google Scholar] [CrossRef]
- Kovchegov, Y.V.; Tawabutr, Y. Helicity at Small x: Oscillations Generated by Bringing Back the Quarks. J. High Energy Phys. 2020, 8, 014. [Google Scholar] [CrossRef]
- Adamiak, D.; Kovchegov, Y.V.; Melnitchouk, W.; Pitonyak, D.; Sato, N.; Sievert, M.D. First analysis of world polarized DIS data with small-x helicity evolution. arXiv 2021, arXiv:2102.06159. [Google Scholar]
- Cougoulic, F.; Kovchegov, Y.V. Helicity-dependent generalization of the JIMWLK evolution. Phys. Rev. D 2019, 100, 114020. [Google Scholar] [CrossRef]
- Cougoulic, F.; Kovchegov, Y.V. Helicity-dependent extension of the McLerran Venugopalan model. Nucl. Phys. A 2020, 1004, 122051. [Google Scholar] [CrossRef]
- Altinoluk, T.; Armesto, N.; Beuf, G.; Martinez, M.; Salgado, C.A. Next-to-eikonal corrections in the CGC: Gluon production and spin asymmetries in pA collisions. J. High Energy Phys. 2014, 7, 068. [Google Scholar] [CrossRef]
- Altinoluk, T.; Armesto, N.; Beuf, G.; Moscoso, A. Next-to-next-to-eikonal corrections in the CGC. J. High Energy Phys. 2016, 1, 114. [Google Scholar] [CrossRef]
- Altinoluk, T.; Dumitru, A. Particle production in high-energy collisions beyond the shockwave limit. Phys. Rev. D 2016, 94, 074032. [Google Scholar] [CrossRef]
- Agostini, P.; Altinoluk, T.; Armesto, N. Non-eikonal corrections to multi-particle production in the Color Glass Condensate. Eur. Phys. J. C 2019, 79, 600. [Google Scholar] [CrossRef]
- Agostini, P.; Altinoluk, T.; Armesto, N. Effect of non-eikonal corrections on azimuthal asymmetries in the Color Glass Condensate. Eur. Phys. J. C 2019, 79, 790. [Google Scholar] [CrossRef]
- Altinoluk, T.; Beuf, G.; Czajka, A.; Tymowska, A. Quarks at next-to-eikonal accuracy in the CGC I: Forward quark-nucleus scattering. arXiv 2020, arXiv:2012.03886. [Google Scholar]
- Armesto, N.; McLerran, L.; Pajares, C. Long Range Forward-Backward Correlations and the Color Glass Condensate. Nucl. Phys. A 2007, 781, 201–208. [Google Scholar] [CrossRef][Green Version]
- Dumitru, A.; Gelis, F.; McLerran, L.; Venugopalan, R. Glasma flux tubes and the near side ridge phenomenon at RHIC. Nucl. Phys. A 2008, 810, 91–108. [Google Scholar] [CrossRef]
- Dumitru, A.; Dusling, K.; Gelis, F.; Jalilian-Marian, J.; Lappi, T.; Venugopalan, R. The Ridge in proton-proton collisions at the LHC. Phys. Lett. B 2011, 697, 21–25. [Google Scholar] [CrossRef]
- Kovchegov, Y.V.; Wertepny, D.E. Long-Range Rapidity Correlations in Heavy-Light Ion Collisions. Nucl. Phys. A 2013, 906, 50–83. [Google Scholar] [CrossRef]
- Kovchegov, Y.V.; Wertepny, D.E. Two-Gluon Correlations in Heavy-Light Ion Collisions: Energy and Geometry Dependence, IR Divergences, and kT-Factorization. Nucl. Phys. A 2014, 925, 254–295. [Google Scholar] [CrossRef][Green Version]
- Altinoluk, T.; Armesto, N.; Beuf, G.; Kovner, A.; Lublinsky, M. Bose enhancement and the ridge. Phys. Lett. B 2015, 751, 448–452. [Google Scholar] [CrossRef]
- Altinoluk, T.; Armesto, N.; Wertepny, D.E. Correlations and the ridge in the Color Glass Condensate beyond the glasma graph approximation. J. High Energy Phys. 2018, 5, 207. [Google Scholar] [CrossRef]
- Altinoluk, T.; Armesto, N.; Kovner, A.; Lublinsky, M. Double and triple inclusive gluon production at mid rapidity: Quantum interference in p-A scattering. Eur. Phys. J. C 2018, 78, 702. [Google Scholar] [CrossRef] [PubMed]
- Altinoluk, T.; Armesto, N. Particle correlations from the initial state. Eur. Phys. J. A 2020, 56, 215. [Google Scholar] [CrossRef]
- Krasnitz, A.; Nara, Y.; Venugopalan, R. Classical gluodynamics of high-energy nuclear collisions: An Erratumn and an update. Nucl. Phys. A 2003, 727, 427–436. [Google Scholar] [CrossRef]
- Lappi, T. Production of gluons in the classical field model for heavy ion collisions. Phys. Rev. C 2003, 67, 054903. [Google Scholar] [CrossRef]
- Blaizot, J.P.; Lappi, T.; Mehtar-Tani, Y. On the gluon spectrum in the glasma. Nucl. Phys. A 2010, 846, 63–82. [Google Scholar] [CrossRef][Green Version]
- Schenke, B.; Schlichting, S.; Venugopalan, R. Azimuthal anisotropies in p+Pb collisions from classical Yang–Mills dynamics. Phys. Lett. B 2015, 747, 76–82. [Google Scholar] [CrossRef]
- Schlichting, S.; Skokov, V. Saturation corrections to dilute-dense particle production and azimuthal correlations in the Color Glass Condensate. Phys. Lett. B 2020, 806, 135511. [Google Scholar] [CrossRef]
- Chirilli, G.A.; Kovchegov, Y.V.; Wertepny, D.E. Classical Gluon Production Amplitude for Nucleus-Nucleus Collisions: First Saturation Correction in the Projectile. J. High Energy Phys. 2015, 3, 015. [Google Scholar] [CrossRef]
- Kovchegov, Y.V.; Skokov, V.V. How classical gluon fields generate odd azimuthal harmonics for the two-gluon correlation function in high-energy collisions. Phys. Rev. D 2018, 97, 094021. [Google Scholar] [CrossRef]
- Li, M.; Skokov, V.V. First Saturation Correction in High Energy Proton-Nucleus Collisions: II. Single Inclusive Semi-Hard Gluon Production. arXiv 2021, arXiv:2104.01879. [Google Scholar]
- Li, M.; Skokov, V.V. First Saturation Correction in High Energy Proton-Nucleus Collisions: I. Time evolution of classical Yang-Mills fields beyond leading order. arXiv 2021, arXiv:2102.01594. [Google Scholar]
- Hoffmann, A. The Physics of Synchrotron Radiation; Cambridge Monographs on Particle Physics; Cambridge University Press: Cambridge, UK, 2004. [Google Scholar]
- Seidel, M.; Hoffmann, M. Vacuum induced backgrounds in the new HERA interaction regions. In Proceedings of the 9th European Particle Accelerator Conference (EPAC 2004), Lucerne, Switzerland, 5–9 July 2004. [Google Scholar]
- Tanigawa, H. et al. [Belle-II SVD Collaboration] Beam background study for the Belle II Silicon Vertex Detector. Nucl. Instrum. Methods A 2020, 982, 164580. [Google Scholar] [CrossRef]
- Bartel, W.; Foster, B.; Kotz, U.; Kose, R.; Lohrmann, E.; Schroder, V.; Trines, D. Synchrotron Radiation Background at the Hera Interaction Regions. Report of a Working Group. Available online: https://inspirehep.net/literature/220472 (accessed on 20 August 2021).
- Department of Energy (USA). Artificial Intelligence and Technology Office. Available online: https://www.energy.gov/articles/us-department-energy-provide-16-million-machine-learning-and-artificial-intelligence (accessed on 22 April 2020).
- Feickert, M.; Nachman, B. A Living Review of Machine Learning for Particle Physics. arXiv 2021, arXiv:2102.02770. [Google Scholar]
- Kasieczka, G.; Nachman, B.; Shih, D.; Amram, O.; Andreassen, A.; Benkendorfer, K.; Bortolato, B.; Brooijmans, G.; Canelli, F.; Collins, J.K.; et al. The LHC Olympics 2020: A Community Challenge for Anomaly Detection in High Energy Physics. arXiv 2021, arXiv:2101.08320. [Google Scholar]
- Amoroso, S.; Azzurri, P.; Bendavid, J.; Bothmann, E.; Britzger, D.; Brooks, H.; Buckley, A.; Calvetti, M.; Chen, X.; Chiesa, M.; et al. Les Houches 2019: Physics at TeV Colliders: Standard Model Working Group Report. In Proceedings of the 11th Les Houches Workshop on Physics at TeV Colliders, Les Houches, France, 10–28 June 2019. [Google Scholar]
- Guest, D.; Cranmer, K.; Whiteson, D. Deep Learning and its Application to LHC Physics. Ann. Rev. Nucl. Part. Sci. 2018, 68, 161–181. [Google Scholar] [CrossRef]
































Publisher’s Note: MDPI stays neutral with regard to jurisdictional claims in published maps and institutional affiliations. |
© 2021 by the authors. Licensee MDPI, Basel, Switzerland. This article is an open access article distributed under the terms and conditions of the Creative Commons Attribution (CC BY) license (https://creativecommons.org/licenses/by/4.0/).
Share and Cite
Morreale, A.; Salazar, F. Mining for Gluon Saturation at Colliders. Universe 2021, 7, 312. https://doi.org/10.3390/universe7080312
Morreale A, Salazar F. Mining for Gluon Saturation at Colliders. Universe. 2021; 7(8):312. https://doi.org/10.3390/universe7080312
Chicago/Turabian StyleMorreale, Astrid, and Farid Salazar. 2021. "Mining for Gluon Saturation at Colliders" Universe 7, no. 8: 312. https://doi.org/10.3390/universe7080312
APA StyleMorreale, A., & Salazar, F. (2021). Mining for Gluon Saturation at Colliders. Universe, 7(8), 312. https://doi.org/10.3390/universe7080312

