Abstract
General nonrelativistic theory has been developed and the expressions obtained for the tangential (dissipative) and radial (conservative) image forces and van der Waals forces (vdW) acting on charged and neutral particles when they move parallel to the axis of a cylinder with circular cross-section, or in the space between coaxial cylinders. Numerical calculations of vdW forces have been performed for metal (Au) and dielectric (Si) materials of cylinders (filaments) and Cs atoms at velocities . A remarkable result is that in the case of metal cylinders (atomic filaments and chains) the dynamic vdW potential can be repulsive for certain values of the velocity–distance parameter and the characteristic atomic frequency. In the case of a Si material, the dynamic vdW potential increases relative to the static one (by modulus) when the velocity–distance parameter changes from zero to and then tends to zero.
1. Introduction
Atom–surface interaction is a long-explored research problem of physics and adjacent areas. A particular case is the van der Waals interaction (vdW) caused by the zero-point and thermal fluctuations of the electromagnetic field and its material sources. The surface curvature is known to affect the spectrum of surface excitations (plasmons) and, accordingly, vdW forces of interaction of particles with the surfaces at distances of 1 to 10 nm [1,2,3,4]. Calculations of the vdW and Casimir–Polder potentials in cylindrical configurations (even in static case) invoke great interest [5,6] due to advances in nanotechnology, since it became possible to measure the Casimir and Casimir–Polder forces with increased precision (see Ref. [7] for a review). However, currently there are practically no relevant studies of nonequilibrium vdW interactions in cylindrical geometry. Dynamic corrections to conservative vdW forces in this case were first considered in [8]. More general calculations of the conservative and dissipative vdW forces acting on particles moving parallel to the generatrix of a cylindrical surface were carried out in [9,10]. In addition to the general theoretical importance associated with nonequilibrium vdW forces in the systems with cylindrical symmetry, studying the electromagnetic and fluctuation-electromagnetic interactions of moving charged and neutral atomic particles with cylindrical surfaces has been given a great impetus since the discovery of carbon nanotubes in 1991 [11], when a lot of theoretical teams started to work on the theoretical modelling and computer simulation of ion channeling through carbon nanotubes and capillary structures [12,13,14,15,16,17,18,19,20,21,22,23,24,25,26,27]. However, the role of the image forces for charged particles and vdW forces for neutral ones is underestimated due to an insufficient knowledge of the role of surface curvature at distances exceeding atomic dimensions. An interesting, but still not fully explored, feature of the image forces [16] and vdW forces [28,29,30,31] of moving particles is their velocity dependence. In particular, a particle moving near a surface, along with an attractive velocity-dependent force (an image force or vdW force in the case of charged and neutral particles, respectively), experiences a tangential dissipative (stopping) force (friction force). Both of these forces affect the particle dynamics. In contrast to the case of plane geometry [28,29,30,31], in systems with cylindrical symmetry, the velocity and curvature effects are much more complex [8,9,10,13]. Meanwhile, in the standard description of the dynamics (channeling) of charged and neutral particles in nanotubes and the capillary systems, only pairwise short-range interaction potentials between the particles and the atoms of walls are used, or continuous potentials obtained by averaging the pair potentials [13,14,15,16,17,18,19,20,21]. At channel diameters of the order of several nanometers and more, the contribution of short-range pair interactions in the main part of the cross section of the channels is close to zero, and the main role will be played by the image forces for charged particles and vdW forces (for neutral ones) with the walls of the channels. Due to this, the development of an adequate theoretical basis required in future profound studies of the channeling of charged (neutral) particles through nanotube and capillary structures is an urgent problem.
In this article, the particles are assumed to move nonrelativistically parallel to the generatrix of a concave/convex cylindrical surface, or in the space between coaxial cylindrical shells. The properties of surface materials are described by a local dielectric permittivity. Within the framework of electromagnetic fluctuation theory, we calculate the tangential (dissipative) and radial (conservative) image and vdW forces acting on particles, and the rate of their heating (for nanoparticles) when (in the general case) the particles and the cylinder walls have different local temperatures. In the limit of an infinitely large radius of cylinders, the results are reduced to those in the case of a flat surface or a plane-parallel gap. Numerical calculations of the radial and tangential vdW forces are carried out in the case of the metal (Au) and dielectric (Si) materials of the cylinders (atomic filaments and chains) and neutral Cs atoms at velocities of ~107 m/s. The role of pair interactions and nonlocal effects is briefly touched upon. An intriguing result following from numerical calculations in Section 6 is that dynamic vdW potentials can be repulsive at high velocities, for certain combinations of resonance wavelengths and distances.
2. General Theory
Following [9,31], we recall the main details of the calculation of the vdW force (both its conservative and dissipative parts) and the heating rate for a neutral particle moving parallel to the generatrix of a cylindrical surface (convex and concave).
The case of a charged particle is also treated as a constituent point of the theory. Though the velocity is nonrelativistic ( and the retardation effects can be neglected, it can reach the values of order (with being the Bohr velocity). Figure 1 shows the cylindrical coordinate systems used and different configurations to be analyzed: convex cylindrical surface (a), cylindrical channel (b), and the case of particle motion between two coaxial cylindrical shells (c). The wall surface material is characterized by a local dielectric constant ε(ω), and the particle is characterized by the dipole polarizability α(ω). We use a cylindrical coordinate system with coordinates , where the axis is parallel to the symmetry axis of the cylinders (cylindrical shells) and their generators. The radial distance is counted off the axes of the cylinders. We further assume that an external charged or neutral particle with density moves along a classical trajectory with constant velocity V localized in the vacuum region outside (Figure 1a), inside (Figure 1b) or between the cylinders (Figure 1c). The instantaneous particle coordinates are . Within the framework of the nonrelativistic approximation V << c, the main task is to find the electric field on a moving particle at the point of its instantaneous location. Since , with being the electric potential, the initial problem reduces to solving the Poisson equation
Figure 1.
Cylindrical configurations and coordinate systems: a particle outside a cylinder (a); inside cylindrical channel (b); between two coaxial cylinders (c). R is the position of the particle in the cross-section of the cylinder and V its velocity, always parallel to the cylinder axis.
2.1. Green’s Functions of Poisson’s Equation
Written in cylindrical coordinates , the Poisson equation takes the form
According to the symmetry of the problem, we expand both parts of (1) into the Fourier integral over the frequency and the wave vector (the direction of k is parallel to the axis) and into a Fourier series over the angle
Substituting (2), (3) into (1) yields
Without the loss of generality, let us consider the case shown in Figure 1a. Then, the solution to (4) should meet the boundary conditions at the surface of the cylinder:
It is worth noting that Equation (4) is valid both inside and outside the cylinder, since the problem is electrostatic.
To proceed further, we first find the Green’s function of Poisson’s Equation (4)
with additional conditions
and Equation (5). Then, the general solution to inhomogeneous Equation (4) that meets boundary conditions (5) and (7) reads
For , Equation (6) is a modified Bessel equation with two linearly independent solutions and We find in Appendix A. Equations (A2), (A4), (A6) and (A7) correspond to cases (a), (b), (c) shown in Figure 1.
2.2. Image Forces on a Moving Charged Particle
The charge density of a moving particle with a charge has the form [32]
Using (9), the Fourier-transformed density is given by
Next, substituting (10) along with (A2), (A4) and (A6) into (8), and leaving only the terms corresponding to the induced potentials of walls, proportional to and yields
Here, and in the similar expressions below (namely, (14), (16), (30)) the upper, middle and lower expressions after the curly brace correspond to cases (a), (b), (c) in Figure 1, namely external configuration (), internal configuration (), and configuration between coaxial cylinders, (). The functions , and are defined in (A3), (A5) and after Equation (A7), .
The induced Fourier-components of the electric field are obtained using Equation (2) and identity
The force on a charged particle is then with the electric field obtained by the direct Fourier-transform using (12) and (11). Substituting Fourier-components (12) into the integral expression for taken with instantaneous coordinates ( of the particle, integrating by frequency and using the analytical properties of , (even real components and odd imaginary ones) one obtains
In (14), the Bessel functions with a prime denote their derivatives with respect to the total argument The force component turns out to be zero, as expected from the symmetry. Equations (13)–(16) completely coincide with [16], where the authors considered the case of a charged particle moving inside a cylindrical channel.
2.3. VdW Forces on a Moving Neutral Particle
In the case of a neutral particle (an atom) with a fluctuating dipole moment , the charge density is with being the polarization vector. Then, the Fourier-transform has the form
where The induced Fourier-component in this case is calculated by subsituting (27) and the induced components of from (A2), (A4), (A6), (A7) into (8). The resulting expressions are as follows.
One can see that Equation (20) is a sum of (18) and (19) taken with the factor . To find vdW forces acting on a particle, we use the expressions [31,33]
with standard definitions of the induced and spontaneous components of the dipole moment and the electric field. Instead of using (21), when calculating the radial (conservative) force component , it is simpler to find first the conservative potential (vdW energy)
Having determined , the radial force is then calculated by .
Consider the first terms in (21) and (23), performing the Fourier-expansions for and :
Substituting (24), (25) into (22), (23) yields
If not specified, the summation by in (25)–(27) and in what follows is carried out from to .
The induced components of the electric field are calculated by inserting (18)–(20) into (19). The appeared correlators of the dipole moment are found using the fluctuation-dissipation relation [34]
For all configurations shown in Figure 1, the correlators in (26), (27) can be written in the form
where is given by
Note that in (31), (32) we assume that . Substituting (29) into (26), (27), integrating by frequency and making use of the transformation of integrals with allowance for the analytical properties of the functions under the integral yields
where ; and in what follows are the imaginary and real parts of polarizability .
To find the contribution from spontaneous field to (21)–(23), we expand into the Fourier integral in frequency and wave vector at the particle location point
and express the induced dipole moment through :
Substituting (35), (37) into (22), (23) yields
Based on the theory of stationary electromagnetic fluctuations [34,35,36], the correlators in (37), (38) are worked out using the fluctuation-dissipation relation (see Appendix B):
Substituting (39) into (37), (38), integrating by , and simplifying yields
Summing (33) with (40) and (34) with (41) results in
Using (43), the radial force is then given by
where denotes the derivative of with respect to its first argument.
Expressions (42)–(44) describe all configurations in Figure 1, when relating (a), (b), (c) to the first, second and third lines in the definition of in (30). Moreover, using (42)–(44), one can also retrieve all known results [31] for friction forces, dynamic vdW forces and interaction potentials in planar configurations. This is shown in Section 3.
2.4. Heating Rate of a Neutral Particle
The heating rate of a nanoparticle is calculated quite similar to vdW forces. The starting equation has the form [31,33]
where the overdots for the dipole moments stand for time derivatives. Further calculations are very similar to those performed in Section 2.3. The resulting expression is simply obtained when substituting for under the integrand in (42):
3. Transition from Cylindrical to Plane-Geometry Surfaces
Using (42)–(44), one can retrieve all known results for planar configurations. We consider, as an example, the friction force . In the coordinates chosen in [31], the relevant plane-geometry result is
In (47), in contrast to (42), the particle moves along the -direction, , is the distance to surface, and is the p-wave reflection factor in the electrostatic limit. Performing the integration over in Equation (47) yields
Equation (48) now has a form very similar to (42). Using (30), (31) and (A3), it is easy to check that
where . Taking the limit , and making use of the asymptotic relations , we see that the factor in (49) reduces to . Finally, making use of the relations [4] (for )
we find
Therefore, Equation (42) reduces to plane-geometry result (47). The identities (50) also hold valid for concave cylindrical surfaces when replacing and . In this case, is defined by the second-line in (30). Using (30), we can also check the result [31] for a particle moving in a plane-parallel gap. In the same way, one can verify the transformation properties of Equations (43) and (44).
4. VdW Energy and Stopping (Friction) Force
For a more detailed study of dynamic effects, we represent (43) in the form
where for , and 1/2 for , and the property is taken into account. Here, is the part of the vdW energy that remains nonzero at regardless of temperature . The behavior of is more complicated. At , taking into account the analytic properties of functions in (53) and making use of the identity , one obtains
where . In the case , Equation (55) coincides with the well-known static results [1,2,3,4,5], whereas one obtains only for . To proceed further, we consider the oscillator model of atomic polarizability
with and being the static polarizability and resonance frequency. Substituting (58) into (56), (57) and simplifying, yields
In the case of a flat surface at , Equations (56) and (59) reduce to [28,29,30]. The plane-geometry equivalent of (60) was first obtained in Ref. [30]. The analysis performed in [30] showed that has a poportional (attractive) correction to the energy at small . At larger velocities, reaches a maximum and then tends to zero. An intriguing fact (in the case of a flat surface) is that can be positive at a certain choice of the atomic frequency and the plasma frequency of the metal, but the resulting potential remains attractive. However, for metallized cylindrical filaments, channels and atomic chains, as we will see in Section 5, the total potential can be repulsive. In contrast to this, for dielectric (nonconducting) surfaces the resulting vdW potential proves to be attractive (as usual).
For and , using the standard transformation of the integration contour to the complex plane for , Equation (53) takes the known form (Equation (22) in [3])
with .
As for the stopping force (42) at , we obtain
Inserting (58) into (62) yields
It is worthwhile noting that function has an exponentially decaying asymptotics at large . Then, according to (63), the force becomes negligibly small at . If (for atoms) and , this implies . The corresponding quantum friction limit [37] for atoms is retrieved when using Equation (61) with a more precise definition of the dressed atomic polarizability [38]. We neglect here corrections with respect to the local equilibrium case and spatial dispersion [39,40,41,42].
The case of the friction force acting on nanoparticles with a linear velocity dependence (at nonzero temperature and ) follows from (42) when expanding and in powers of , retaining the first-order expansion terms:
For , Equation (64) reduces to
The validity of (64), (65) is restricted by the velocities for , , since the characteristic frequency here is . At higher velocities and (or) R, T values, the nonretarded relativistic consideration is required.
5. Interactions with Cylindrical Filaments and Atomic Chains
In the case of configuration shown in Figure 1a, as follows from the general formulas the main contribution to the –integrals comes from the wave vectors . Therefore, for an atom at large distance compared to the radius of the cylinder, we have and we can expand in powers of . Then, taking into account the asymptotics of cylindrical functions for small values of the argument () [43]
where (with 0.577 being the Euler–Mascheroni constant), it is sufficient to retain only the first two terms in the sums by , including and . Using (11) and (66), (67) yields
For other functions and in (49) can be neglected since they contain higher powers of .
In the case of a dielectric filament (except strongly polar ones with large ), one can neglect the term with in (68). Then, the sums in Equations (54)–(65) take the form
Note that in (70)–(72) we use For , making use of the integral table [43]
we obtain from (56) or (61) (in the limit ) the known result [3,44]
The dynamic potentials (59), (60) can be worked out using a single-oscillator model
with parameters chosen to fit the UV range of the spectrum when calculating potentials (59), (60), and the IR range when calculating friction forces (64) and (65).
When computing the interaction of an atom with a cylindrical metal filament, the contributions from (68) and (69) are essentially different since we should retain the whole denominator in (68).
In the static case (, using the plasma limit of the Drude permittivity with allowance for the condition (here taking into account only the term in (59), and changing the order of integration (with the integration being the first), one obtains
This is exactly the well-known result (Equation (43) in [44]) obtained in the electrostatic approximation, using another method. The distance dependence in (76) is a surprising feature of the vdW interaction caused by the nonadditivity and plasmon spectra of a conducting filament. In the limit of high temperatures, retaining in (61) the term with , we retrieve another result of [44]
For a metal filament, dynamic potentials (59), (60) can be simplified further. The resulting expression we cast in the form
The contributions are defined by Equations (A16)–(A19) in Appendix C. The terms correspond to terms in (59), and –to the similar ones in (60). The static result (76) follows from (A16).
When calculating stopping force by means of (63), we use the Drude model . As shown in in Appendix C, Equation (63) takes the form
with and defined in (A21) and (A22).
We now pass to the interactions of an atom with atomic chains. For dielectric chains with atomic spacing the transition is very simple, using the limit of rarified medium , where , is the polarizability of an atom of the string and . Substituting these relations into (68), (69) yields
Using (79) and (57) with parameters and of the atomic chain, and and of the projectile atom, Equations (60), (61) and (63) take the form
where is defined by (A15), , , , and one should take the principal value of the integral in (82).
For a metal string, the rarefied-gas approximation is not valid due to remaining cooperative effects, giving rise to certain effective parameters of a one-dimensional plasma. Therefore, to describe the interactions between a projectile atom and a metallized atomic chain, a more adequate way is to use (78) and (79) with and the appropriate plasma parameters of the atomic chain. In the case of undamped plasmons the expressions (A21) and (A22) can be simplified further and (79) reduced to (using
where , (see Appendix C). The second term in (84) is nearly times (or more) less than the first one, since (usually) (note that decays exponentially fast at ). The more gentle dependence on the first term in (84), is a result of one-dimensional plasmon dispersion, similar to (76) [44].
6. Numerical Analysis
Due to the plethora of new analytical results obtained above, we will restrict ourselves by demonstrating only a few numerical examples (Figure 2, Figure 3, Figure 4, Figure 5 and Figure 6) of the dynamic vdW potentials and stopping forces, namely the interactions of neutral atoms (in particular, Cs) with metal and dielectric filaments and atomic chains of Au, Si, and interactions with the walls of a capillary metallized with gold.
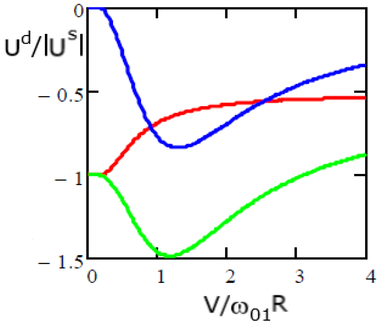
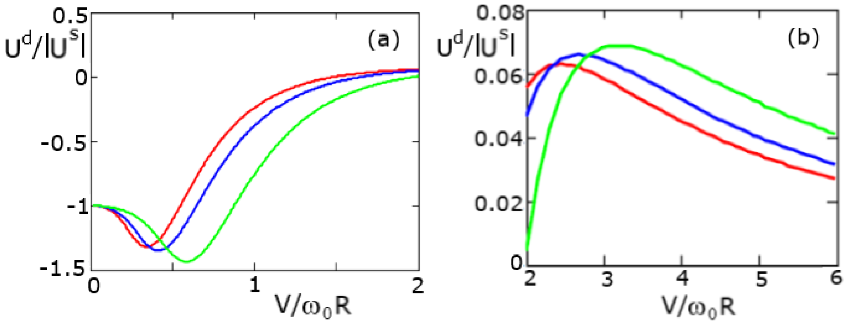
Figure 2.
Comparison of the dynamic and static vdW potentials (Equation (78) with (A16)–(A19)) for an atom moving parallel to a metal filament at and . The temperature is assumed. Figure (b) is an extension of (a) to greater values of .
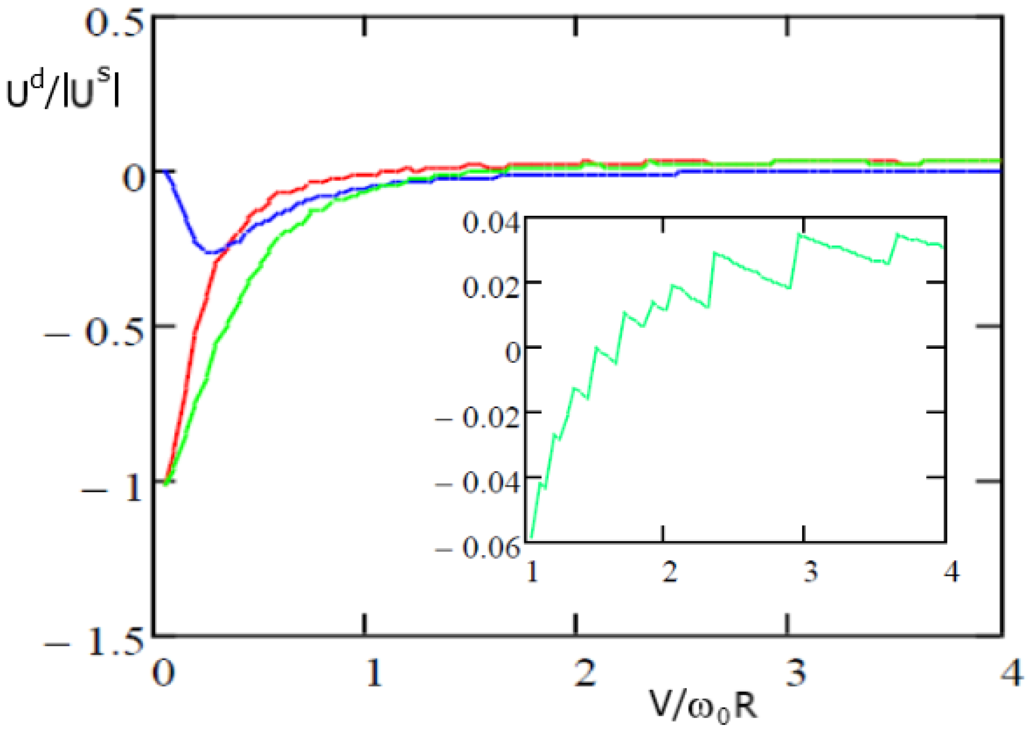
Figure 3.
Dynamic vdW potential (Equation (78) with (A16)–(A19)) for the Cs atom moving parallel to a metal chain of Au atoms as a function of separation . Figure (b) is an extension of (a). The red and blue lines correspond to velocities of and . The dotted lines show the continuous velocity-independent string potential in the Moliere approximation for the Cs—Au interaction potential [45]. The temperature is assumed.
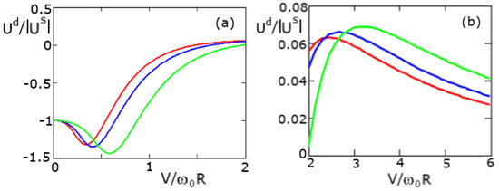
Figure 4.
Dynamic vdW potential (Equations (81) and (82) of a Cs atom with a chain of Si atoms, normalized to its absolute value for an atom at rest, plotted as a function of parameter at . We used the values
and for Cs and Si atoms, respectively, and interatomic spacing for the chain of Si atoms.
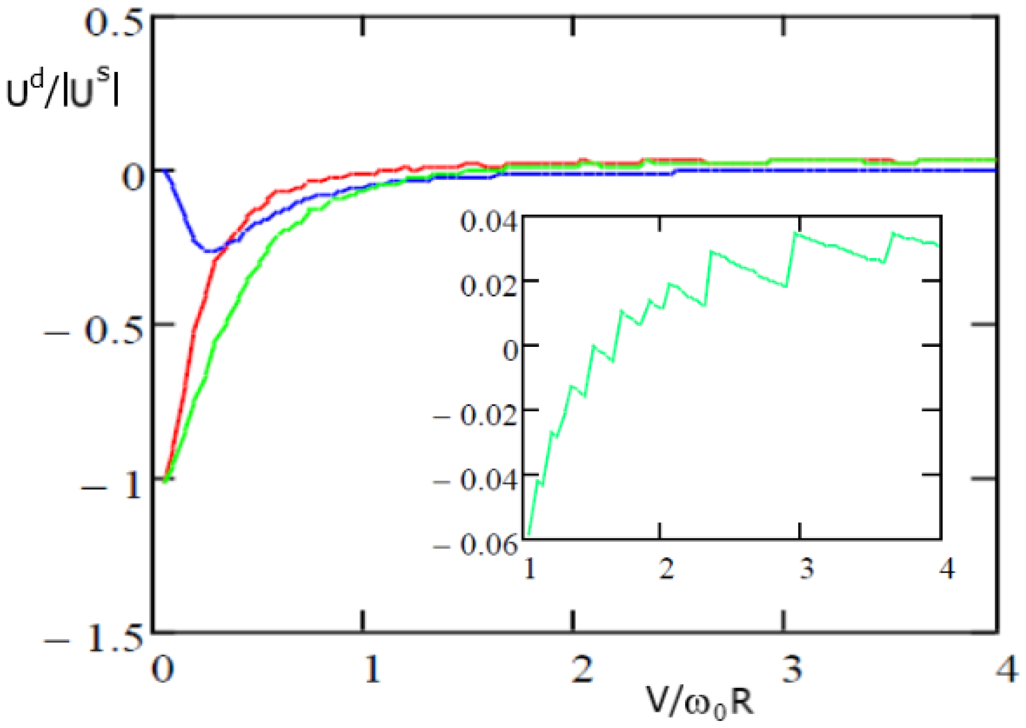
Figure 5.
Comparison of the dynamic and static vdW potentials for the Cs atom moving inside a capillary with Au metallized walls (. The red and blue lines correspond to Equations (58) and (59), green line and inset show the resulting potential. A fixed value was used.
Figure 6.
The stopping force of a Cs atom moving inside a capillary of 5 nm radius with Au metallized walls, plotted as a function of the distance from the capillary axis. The red, blue and green lines correspond to velocities of and . The temperature is assumed.
Figure 2 shows the ratio between the dynamic vdW potential and the modulus of the static potential shown as a function of the reduced velocity–distance parameter for an atom in parallel motion to a metal filament, is the characteristic atomic frequency, is the metal plasma frequency. The calculations were carried out using Equation (78) with and (red, blue and green lines). The static potentials in Figure 2 and in Figure 4 and Figure 5 were computed by the corresponding formulas for assuming . It should be noted that in this velocity range, the calculations of are nearly independent on the choice of . The nonzero value of simplifies calculating the integral in (78) by using (A19). For , the result is the same, but one should take the principal value of this integral.
The remarkable finding is that the dynamic vdW potential can be positive (repulsive) (panel (b)), though the coupling constant is an order (or more) less than that of the static potential . At moderate velocity–distance parameters , the dynamic potential is attractive, and the coupling constant is 1.5 times higher than the static one.
Figure 3 plots the dynamic vdW potential for a Cs atom as a function of distance to a metal chain of Au atoms (Equation (78) with parameters corresponding to gold. For a comparison, shown is the string continuous potential in the Moliere approximation for the Cs-Au interatomic potential (dashed green), with and being the charges of the nuclei (55 and 79 for Cs and Au). Here, is the screening function and nm–the screening length [45]. The red and blue lines correspond to velocities of and . For the Cs atom, we used in (57) the values and . Parameters and are the same as in Figure 2. The peak structure of the red and blue curves at is likely due to the violation of the used approximation . Figure 3 also demonstrates the repulsive dynamic vdW potential. In the range , the vdW interaction increases in absolute value relative to the static one (Figure 2a). This is similar to the case of a flat surface [30], but the repulsive effect was not found there. The observed feature is the pure result of the cylindrical symmetry and conductive properties of the metal filaments and atomic chains. Mathematically, the repulsion appears due to the negative contribution to the integral (A14) from the term in the numerator, which is proportional to . This leads to a change in sign in (59) and is enhanced by an increase (in absolute value) of the negative contribution to the interaction resulting from (6).
It is worthwhile noting that repulsive Casimir and Casimir–Polder forces known in so far were obtained only in static configurations of two parallel semi-infinite dielectric plates if they are separated by a dielectric fluid that is intermediate between those of the dielectric plates [46].
On the contrary, the interactions of the Cs atom with the dielectric filament and the chain (the Si chain was chosen as an example) turn out to be attractive (as in the static case). This can be seen from Figure 4 showing the ratio between the dynamic potential and the absolute values of the static potential for the Cs atom and the atomic chain of Si. The red and blue lines and their sum (green) were calculated using Equations (81) and (82). Both the and contributions have the negative sign, but the coupling constant of the main distance dependence increases in the range ( here means the atomic frequency of Cs).
The repulsive vdW interaction also manifests itself in the case of the motion of Cs atoms inside a capillary with Au metallized walls. The results are plotted in Figure 5 with the same color convention as in Figure 4: the red and blue lines correspond to the contributions and , calculated by Equations (58) and (59). The green line and the inset show the resulting potential. All parameters for the Cs atom and gold are the same as those used when plotting Figure 3. The change in the sign of the vdW potential in this case occurs close to the value . The toothlike structure results from the contributions of multiple harmonics in the sums of (58) and (59).
Finally, we calculated the stopping force (Equation (63)) for the Cs atom in a capillary with Au metallized walls (Figure 6).
The peak structure in Figure 6 is caused by the excitation of plasmons. This is similar to the case of the excitation of plasmons by charged particles in cylindrical channels [16].
The numerical examples presented here are illustrative, and additional analysis is required to clarify many of the subtle points of the vdW dynamic interactions that are beyond the scope of this article. Among them are the presence of many multiple resonances of the dielectric response, the transition region from the vdW to the short-range interactions with atoms of walls, the nonlocality of the dielectric permittivity, which increases at small separations, etc.
7. Conclusions
In this paper, we refined some points and developed further the nonrelativistic theory of vdW interactions; namely, we calculated the attractive potential and stopping (friction) forces between neutral ground-state atoms and cylindrical surfaces of different configurations. As a constituent part of the theory, the electromagnetic image forces for the charged particles in the systems under consideration were also calculated. The transition from the case of a cylindrical surface to a flat surface is demonstrated and the obtained expressions for image forces and vdW forces and potentials are shown to completely coincide with all known results in plane and cylindrical geometries. The formulas describing the configurations with convex, concave cylindrical surfaces and two coaxial cylinders with a particle between them are represented in a universal form. A new remarkable result is that the dynamic vdW potential can be positive (repulsive) in the case of metallized atomic chains, filaments and capillaries, providing a steering effect for the channeled neutral atoms.
Funding
This research received no external funding.
Acknowledgments
This article is dedicated to the blessed memory of Arthur A. Kyasov, who made a fundamental contribution at the initial stage of formulating ideas that were further developed in this research, to whom I owe happy decades of dense friendship and fruitful cooperation.
Conflicts of Interest
The author declare no conflict of interest with any parties.
Abbreviations
The following abbreviation is used in the manuscript.
vdW van der Waals.
Appendix A
In the case of a particle outside cylinder, we seek in the form
with being the constants. Having determined them using (A1), (5) and (7), one obtains
Here, , , and arguments in and in , (see below and in the main text) are omitted for brevity, or is retained when writing , . In the case when the particle is inside the cylindrical channel, the Green’s function is calculated similar to (A1). The resulting expressions are
In (A2), (A4), the terms including and correspond to the induced potential of the cylinder walls, whereas the other terms–to the “bare” electric potential of a point charge .
In the case when the particle is between two coaxial cylinders with inner and outer radii and the Green’s function is given by
- (i)
- :
- (ii)
Here, , and , are defined in (A3) and (A5) taking and , respectively (see Figure 1c). Using (8), (A2), (A4), (A6) and (A7) it is easy to consider particular cases.
Appendix B
Within the theory of stationary electromagnetic fluctuations [34,35,36], as applied to our case, the correlator of spontaneous electric fields generated by a dielectric medium, is
where is the retarded Green’s function of a photon (assuming that the medium is homogeneous, isotropic and nonmagnetic), and the summation over is implied in (A8) (. At fixed values of and we have [35]
where is the Fourier-transform of the induced potential produced by the point electric dipole located at point . To find this potential, one should replace the quantities ( in (18)–(20) by the above components. Using (20) to obtain and substituting the result into (A9) yields
where For other configurations shown in Figure 1, one should take either ., (Figure 1a), or , (Figure 1b). Substituting (A10)–(A12) taken at into (A8), we find a unified fluctuation-dissipation relation, which is valid for all considered cases
where is defined in (30).
Appendix C
We use the plasma model to calculate (59) and Drude model to calculate (60), introducing the parametrization , , , . Changing the order of integration in (58) with allowance for (68) and (69), the integration by in (59) is carried out, yielding the integral of the form
Working out integral (A14) by making use of a partial fraction expansion explicitly yields
Using (A15), (71) and (72) and the previously used parametrization, the expressions for and in (78) take the form
where . The numerical coefficient 1.123 stems from in (67). With the same notation, expressions for and in (78) reduce to
where are defined in Equations (71) and (72) and reads
Using the same parametrization in (63), expressions for and in (79) take the form
References
- Schmeits, M.; Lucas, M. Physical adsorption and surface plasmons. Surf. Sci. 1977, 64, 176–196. [Google Scholar] [CrossRef]
- Schmeits, M.; Lucas, M. Physical adsorption and surface plasmons. Prog. Surf. Sci. 1983, 14, 1–51. [Google Scholar] [CrossRef]
- Nabutovskii, V.M.; Belosludov, V.R.; Korotkikh, A.M. Interaction potential between small neutral particle and spherical or cylindrical surfaces. Zh. Eksp. Teor. Fiz. 1979, 77, 700–706. [Google Scholar]
- Marvin, A.M.; Toigo, F. VdW interaction between a point particle and a metallic surface. 1. Theory. Phys. Rev. A 1982, 25, 782–802. [Google Scholar] [CrossRef]
- Eberlein, C.; Zietal, R. Force on a neutral atom near conducting microstructures. Phys. Rev. A 2007, 75, 32516. [Google Scholar] [CrossRef]
- Bezerra, V.B.; de Mello, B.; Klimchitskaya, G.L.; Mostepanenko, V.M.; Saharian, A.A. Exact Casimir-Polder potential between a particle and an ideal metal cylindrical shell and the proximity force approximation. Eur. Phys. J. C 2011, 71, 1614. [Google Scholar] [CrossRef]
- Bordag, M.; Klimchitskaya, G.L.; Mohideen, U.; Mostepanenko, V.M. Advances in the Casimir Effect; Oxford University Press: Oxford, UK, 2009. [Google Scholar]
- Kyasov, A.A.; Dedkov, G.V. Electromagnetic interactions of moving particles with cylindrical surfaces. Surf. Sci. 2001, 491, 124. [Google Scholar] [CrossRef]
- Dedkov, G.V.; Kyasov, A.A. Nonrelativistic theory of electromagnetic forces on particles and nanoprobes moving near a surface. Phys. Low-Dim. Struct. 2003, 1/2, 1–86. [Google Scholar]
- Kyasov, A.A. Fluctuation-Electromagnetic Interaction of Moving Particles with Surfaces. Ph.D. Thesis, Kabardino-Balkarian State University, Nalchik, Russia, 2004. (In Russian). [Google Scholar]
- Iijima, S. Helical microtubules of graphitic carbon. Nature 1991, 354, 56–58. [Google Scholar] [CrossRef]
- Klimov, V.V.; Letokhov, V.S. Hard X-ray radiation emitted by a charged particle moving in a carbon nanotube. Phys. Lett. A 1996, 222, 424–428. [Google Scholar] [CrossRef]
- Dedkov, G.V. Fullerene nanotubes can be used when transporting gamma-quanta, neutrons, ion beams and radiation from relativistic particles. Nucl. Instr. Meth. Phys. Res. 1998, 143, 584–590. [Google Scholar] [CrossRef]
- Gevorgian, L.A.; Ispirian, K.A.; Ispirian, R.K. High-energy particle channeling in nanotubes. Nucl. Instr. Meth. Phys. Res. 1998, 145, 155–159. [Google Scholar] [CrossRef]
- Zhevago, N.K.; Glebov, V.I. Channeling of fast charged and neutral particles in nanotubes. Phys. Lett. A 1998, 250, 360–368. [Google Scholar] [CrossRef]
- Arista, N.R.; Fuentes, M.A. Interaction of charged particles with surface plasmons in cylindrical channels in solids. Phys. Rev. B 2001, 63, 165401. [Google Scholar] [CrossRef]
- Biryukov, V.M.; Bellucci, S. Nanotube diameter optimal for channeling of of high-energy particle beam. Phys. Lett. B 2002, 542, 111–115. [Google Scholar] [CrossRef]
- Greenenko, A.A.; Shul’ga, N.F. Fast ion passing through straight and bent nanotubes. Nucl. Instr. Meth. Phys. Res. B 2003, 205, 767–772. [Google Scholar] [CrossRef]
- Krasheninnikov, A.A.; Nordlund, K. Multiwalled carbon nanotubes as apertures and conduits for energetic ions. Phys. Rev. B 2005, 71, 245408. [Google Scholar] [CrossRef]
- Mowbray, D.J.; Chung, S.; Miškovič, Z.L. Dynamic interactions of fast ions with carbon nanotubes. Nucl. Instr. Meth. Phys. Res. B 2005, 230, 142. [Google Scholar] [CrossRef]
- Artru, X.; Fomin, S.P.; Shul’ga, N.F.; Ispirian, K.A.; Zhevago, N.K. Carbon nanotubes and fullerites in high-energy and X-ray physics. Phys. Rep. 2005, 412, 89. [Google Scholar] [CrossRef]
- Borka, D.; Petrovič, S.; Neškovič, N. Influence of the dynamical image potential on the rainbows in ion channeling through short carbon nanotubes. Nucl. Instr. Meth. Phys. Res. B 2006, 73, 62902. [Google Scholar] [CrossRef]
- Mišcovič, Z.L. Ion Channeling through carbon nanotubes. Radiat. Eff. Defects Solids 2007, 162, 185–205. [Google Scholar] [CrossRef]
- Borka, D.; Mowbray, D.J.; Miškcovič, Z.L.; Petrovič, S.; Nescovič, N. Donut and dynamic polarization effects in proton channeling through nanotubes. New. J. Phys. 2010, 12, 43021. [Google Scholar] [CrossRef]
- Stolterfoht, N. Simulation and analysis of ion guiding through a nanocapillary in insulating polymers. Phys. Rev. A 2013, 87, 12902. [Google Scholar] [CrossRef]
- Stepanov, A.V.; Filippov, G.M. Channeling of low energy atomic particles in carbon nanotubes with heterojunctions. Nucl. Instr. Meth. Phys. Res. 2017, 402, 263. [Google Scholar] [CrossRef]
- Borka, D.; Borka, V.I. Channeling of protons through radial deformed double wall carbon nanotubes. Atoms 2019, 7, 88. [Google Scholar] [CrossRef]
- Ferrell, T.L.; Ritchie, R.H. Dynamical and geometrical effects on the physisorption of atoms. Phys. Rev. A 1980, 21, 1305. [Google Scholar] [CrossRef]
- Annett, J.F.; Echenique, P.M. VdW interaction between an atom and a surface at finite separations. Phys. Rev. B 1986, 34, 6853–6859. [Google Scholar] [CrossRef]
- Dedkov, G.V.; Kyasov, A.A. Dynamical atom-surface interaction. Surf. Sci. 2011, 605, 1077–1081. [Google Scholar] [CrossRef]
- Dedkov, G.V.; Kyasov, A.A. Fluctuation-electromagnetic interaction under dynamic and thermal nonequilibrium conditions. Physics-Uspekhi 2017, 60, 1–27. [Google Scholar] [CrossRef]
- Jackson, J.D. Classical Electrodynamics; Wiley: New York, NY, USA, 1975. [Google Scholar]
- Buhmann, S.Y. Dispersion Forces II. Many-Body Effects, Excited Atoms, Finite Temperature and QUANTUM Friction; Springer Tracts in Modern Physics Volume 248; Springer: Berlin/Heidelberg, Germany, 2012. [Google Scholar]
- Landau, L.D.; Lifshitz, E.M. Statistical Physics Part I; Pergamon: Oxford, UK, 1980. [Google Scholar]
- Lifshitz, E.M.; Pitaevskii, L.P. Statistical Physics Part II; Pergamon: Oxford, UK, 1980. [Google Scholar]
- Barash, Y.S. Van der Waals Forces; Nauka: Moscow, Russia, 1988. (In Russian) [Google Scholar]
- Pendry, J.B. Shearing the vacuum-quantum friction. J. Phys. C 1997, 9, 10301–10320. [Google Scholar] [CrossRef]
- Høye, J.S.; Brevik, I.; Milton, K.A. Casimir friction between polarizable particle and half-space with radiation damping at zero temperature. J. Phys. A 2015, 48, 365004. [Google Scholar] [CrossRef]
- Intravaia, F.; Behunin, R.O.; Henkel, C.; Busch, K.; Dalvit, D.A.R. Failure of local thermal equilibrium in quantum friction. Phys. Rev. Lett. 2016, 117, 100402. [Google Scholar] [CrossRef]
- Intravaia, F.; Oelschläger, M.; Reiche, D.; Dalvit, D.A.R.; Busch, K. Quantum rolling friction. Phys. Rev. Lett. 2019, 123, 120401. [Google Scholar] [CrossRef] [PubMed]
- Reiche, D.; Busch, K.; Intravaia, F. Nonadditive enhancement of nonequilibrium atom-surface interactions. Phys. Rev. Lett. 2020, 124, 193603. [Google Scholar] [CrossRef] [PubMed]
- Reiche, D.; Dalvit, D.A.R.; Busch, K.; Intravaia, F. Spatial dispersion in atom-surface quantum friction. Phys. Rev. B 2017, 95, 155448. [Google Scholar] [CrossRef]
- Abramovitz, M.; Stegun, I.A. Handbook of Mathematical Functions; Dover: New York, NY, USA, 1972. [Google Scholar]
- Barash, Y.S.; Kyasov, A.A. Interaction potential for two filaments and for an atom interacting with a filament. Sov. Phys. JETP 1989, 68, 39–45. [Google Scholar]
- Gemmell, D.S. Channeling and related effects in the motion of charged particlesthrough crystals. Rev. Mod. Phys. 1974, 46, 129–236. [Google Scholar] [CrossRef]
- Milton, K.A.; Abalo, E.K.; Parashar, P.; Pourtolami, N.; Brevik, I.; Ellingsen, S.A. Repulsive Casimir and Casimir-Polder forces. J. Phys. A 2012, 45, 374006. [Google Scholar] [CrossRef]
Publisher’s Note: MDPI stays neutral with regard to jurisdictional claims in published maps and institutional affiliations. |
© 2021 by the author. Licensee MDPI, Basel, Switzerland. This article is an open access article distributed under the terms and conditions of the Creative Commons Attribution (CC BY) license (https://creativecommons.org/licenses/by/4.0/).





