Abstract
We investigate the squeezing of primordial gravitational waves (PGWs) in terms of quantum discord. We construct a classical state of PGWs without quantum discord and compare it with the Bunch–Davies vacuum. Then it is shown that the oscillatory behavior of the angular-power spectrum of the cosmic microwave background (CMB) fluctuations induced by PGWs can be the signature of the quantum discord of PGWs. In addition, we discuss the effect of quantum decoherence on the entanglement and the quantum discord of PGWs for super-horizon modes. For the state of PGWs with decoherence effect, we examine the decoherence condition and the correlation condition introduced by C. Kiefer et al. (Class. Quantum Grav. 24 (2007) 1699). We show that the decoherence condition is not sufficient for the separability of PGWs and the correlation condition implies that the PGWs in the matter-dominated era have quantum discord.
1. Introduction
In modern cosmology, the early stage of the universe is described by inflation models. The theory of inflation predicts primordial quantum fluctuations as the origin of the structure of our universe and primordial gravitational waves (PGWs). PGWs can be the evidence of inflation, and its quantum feature is expected to give the information of quantum gravity. It is predicted that PGWs generated in the inflation era have the squeezed distribution [1,2]. If their statistical feature is observed then it can support inflation. The detection of the squeezing effect of PGWs by ground- and space-based gravitational interferometers was discussed by B. Allen, E. E. Flanagan and M. A. Papa [3]. According to their analysis, the detector with a very narrow band is required to detect the squeezing effect. The estimated bandwidth is around the present Hubble parameter, and it is difficult to detect the squeezed property of PGWs practically. On the other hand, S. Bose and L. P. Grishchuk [4] considered the indirect observations of squeezing feature of PGWs by CMB fluctuations. They showed that the squeezing effect appears as the oscillatory behavior of the angular-power spectrum of the CMB temperature fluctuations induced by PGWs. This oscillation caused by PGWs is different from the baryon acoustic oscillation induced mainly by primordial density fluctuations. The contribution of PGWs to the acoustic oscillation is very small.
To characterize quantum features of primordial fluctuations, the notion of quantum correlations is often applied. In particular, quantum entanglement of primordial fluctuations in the cosmological background was investigated [5,6,7,8,9,10]. In previous works [7,10], it was shown that the entanglement of primordial fluctuations remains during inflation. Although quantum entanglement is adopted to characterize the nonlocal properties of quantum mechanics, it describes only a part of quantum correlations. Quantum discord is a kind of quantum correlations [11,12] and is robust against quantum decoherence. In the cosmological context, quantum discord was investigated in several works [6,13,14,15,16].
In this paper, we examine the squeezed nature of PGWs in terms of quantum correlations. In the field of quantum information, it is known that the squeezing of states is related to quantum correlations. The oscillatory behavior of PGWs originated from the squeezing can be the evidence of quantum correlation. To clarify the relation between the oscillatory behavior and quantum correlations, we introduce a classical state of PGWs under several assumptions. The meaning of classicality is defined based on the absence of quantum discord. The constructed classical state tells us that the oscillatory feature of PGWs is associated with quantum discord. We compute the angular-power spectrum of the CMB temperature fluctuations caused by PGWs and find that there is no oscillatory behaviors for the classical state of PGWs unlike the Bunch–Davies vacuum. Our analysis provides the meaning of the oscillatory behavior in terms of quantum correlations. We can regard it as the signature of quantum discord of PGWs.
Furthermore, we investigate how the quantum correlation of PGWs is affected by the quantum decoherence for super-horizon modes. Under the assumption that sub-horizon modes of PGWs does not decohere, the decoherence condition and the correlation condition are computed. The decoherence condition implies the loss of coherence of the Bunch–Davies vacuum, and the correlation condition means the sufficient squeezing of the Wigner function for a considering mode in the phase space. Through the calculation, we show that the decoherence condition for the super-horizon modes does not mean the separability of the decohered state of PGWs. We further find that the correlation condition leads to the survival of the quantum discord of PGWs in the matter-dominated era.
This paper is organized as follows. In Section 2, we review the linear theory of a tensor perturbation of the Friedmann-Lemaitre-Robertson-Walker (FLRW) metric and the oscillatory feature of the correlation function of the tensor field. In Section 3, we construct a classical state of PGWs and clarify the connection between the oscillatory behavior of the angular-power spectrum and the quantum discord of PGWs. In Section 4, we evaluate the decoherence and the correlation conditions for the decohered state of PGWs and discuss the relation to the quantum correlations of PGWs in the matter era. Section 5 is devoted to a summary of the paper. We use the natural unit through this paper.
2. Quantum Tensor Perturbation in Inflation, Radiation and Matter Era
In this section, we demonstrate the oscillatory behavior of the correlation function of PGWs. We consider a tensor perturbation of the spatially flat FLRW metric. The perturbed metric of the spacetime is
where is the conformal time and represents the tensor perturbation with (). We assume that the universe has instantaneous transitions at and for its expansion law. The scale factor a is given as
Each form of the scale factor represents the expansion law in the inflation, radiation and matter era. The inflationary universe is assumed to be the de Sitter spacetime with the Hubble parameter . The perturbed Einstein–Hilbert action up to the second order of is
where prime denotes the derivative of the conformal time and is the reduced Planck mass . In the following, we use the rescaled perturbation and its conjugate momentum
Since the background spacetime is invariant under spatial rotations and translations, the tensor perturbation can be decomposed as
where denote the labels of the polarization and the polarization tensor with is chosen as
Equation (7) corresponds to the traceless and transverse conditions and Equation (8) is the normalization condition. The representation of the parity transformation for the polarization tensor is fixed by Equation (9). The reality condition of the tensor perturbation with (9) implies that the variables and satisfy
From the perturbed action (3), the mode equation is
where . To quantize the tensor perturbation, we impose the canonical commutation relations
We denote the solution of the equation of motion (11) as and define the function . We fix the normalization of the mode function as
and expand the canonical variables and as follows:
where is the annihilation operator satisfying
The equation of the mode function is solved for each epoch, and junction conditions at and yield the full solution of the tensor perturbation in the FLRW universe. We adopt the following mode function for the inflation era
and assume that the initial quantum state of PGWs is the Bunch–Davies vacuum defined by
With the junction conditions, we find the full solution of the mode function as
where and are the positive frequency mode solutions in the radiation- and matter-dominated era and the coefficients and are fixed by the junction conditions. In particular, the mode function is given as
From the solution , the function is obtained as
where the functions and are given by the definition of the function . The explicit formulas of and are
The normalizations of , and are chosen so that Equation (14) is satisfied for each pair and . The Bogolyubov coefficients and satisfy the normalization conditions
The coefficients and are determined by the junction conditions at :
The explicit formulas of the functions and the coefficients are not needed in the following analysis. This is because we are interested in the super-horizon mode at the end of inflation and the sub-horizon mode at the radiation-matter equality time, i.e.,
The sub-horizon condition implies that the solution in the matter era can be approximated using that of the radiation era.
Let us demonstrate the oscillatory behavior of the correlation function of PGWs. To make a clear connection between the oscillatory behavior and quantum correlations, we introduce
The operator for a sub-horizon mode is equivalent to the annihilation operator defined by the positive frequency mode in each era. In fact, in the radiation or the matter era , the operator for the sub-horizon mode is approximated as
where is given by
The operator are the annihilation operator defined by the positive frequency mode after inflation ( is also the positive frequency mode in the matter era for ). Hence the operator for the sub-horizon mode has the same role as . The correlation function for the field amplitude is
where we used and introduced and by
The function represents the mean particle number and characterizes the quantum coherence of the Bunch–Davies vacuum. The functions and completely determine the quantum property of the Bunch–Davies vacuum. We evaluate the correlation function in the matter era. For the target range of the wave number (28), the functions and for the sub-horizon mode are computed as
where the second approximation in Equation (36) follows from . The behavior of the correlation function of in the matter-dominated era is obtained as
where the cosine term comes from , and the correlation function oscillates in time. In terms of the Fock space defined by , the Bunch–Davies vacuum can be expressed as
where the state is defined by and . The function , which characterizes the coherence between the modes and , leads to the squeezing and rotation of the Wigner function in the phase space. From Equation (20), the wave function of the Bunch–Davies vacuum for a single mode and a polarization is
where we omitted the labels and , and the superscript R denotes the real part. The Wigner function of the density matrix is given by
where the superscript I denotes the imaginary part. Figure 1 schematically represents the behavior of the Wigner function .
Figure 1.
The behavior of the Wigner ellipse of the Bunch–Davis vacuum in the phase space . Left panel: the initial vacuum at the past infinity. Middle panel: the squeezed Wigner ellipse at the end of inflation. Right panel: the squeezed and rotated ellipse after the inflation.
In Figure 1, the left panel represents the initial vacuum state at the past infinity and the middle panel represents the squeezed vacuum by the inflationary expansion. The right panel shows the Wigner ellipse after the end of inflation for a sub-horizon mode. The Wigner function is further squeezed until the horizon re-entry. After that the Wigner ellipse rotates during the radiation and matter era. (Its thickness is around in the right panel of Figure 1; however, it can be ignored in (37). The oscillation of the correlation function corresponds to the rotation of the Wigner ellipse in the phase space.
To understand the oscillatory feature from the viewpoint of quantum superpositions, we have introduced the two modes and by defining the annihilation operator (29). On the other hand, we have used the Wigner function of the single mode for the real (or imaginary) part of the field to explain the squeezing feature of the state. These two treatments are connected by the following relation
where because of the relation . The correlation function of is
and contains the function characterizing the quantum coherence for the modes and .
3. Relation between the Oscillatory Behavior and Quantum Discord
In this section, we clarify the relation between the oscillatory behavior of the CMB angular-power spectrum caused by PGWs and quantum discord. For this purpose, we introduce the notion of the classically correlated state. A given bipartite state is called classically correlated [11,17] if the state has the following form
where is a joint probability () and characterizes the classical correlation between A and B. The vectors and of each system A and B satisfy the orthonormal conditions
The particular feature of classically correlated states is that there is a rank-1 projective measurement for the subsystem A or B such that the states are not disturbed [11] in the following sense:
where and are rank-1 projective operators satisfying and . This property is not required for separable states (non-entangled states) [18] defined by
where is a probability, and and are density operators. This is because and () do not have to commute each other generally, and hence separable states can be disturbed by a projective measurement for the subsystem A. It is obvious that the classically correlated states are included in the separable states by the definitions of each state.
Next we introduce quantum discord [11] as a measure of quantum correlations. Quantum discord is the difference between the mutual information of a given bipartite state and its generalization with a projective measurement. The mutual information is
where and are the von Neumann entropy of the density operators , and , respectively. For example, . The mutual information characterizes the total correlation of the bipartite state . Using the conditional entropy , the mutual information is rewritten as
This second expression leads to the notion of quantum discord. As a generalization of the conditional entropy with a projective measurement, we can consider
where and is the von Neumann entropy of the density operator given by
The von Neumann entropy is equivalent to the conditional entropy after the projective measurement on the system A. Quantum discord of a bipartite state is the minimum of difference between the two mutual informations:
where we maximize over all possible projective measurements on the system A. In general, is not the same as . In Ref. [11], it was shown that for a given bipartite state if and only if the state is classically correlated. The quantities and are good indicators of the quantumness of the correlation associated with a given state.
Now, we construct a classical model (zero quantum discord state) of PGWs. Firstly, we impose the following three assumptions on the classical model:
Assumption A1.
The mode obeys the linearized Einstein equation.
Assumption A2.
The initial state is a Gaussian state.
Assumption A3.
The initial state is invariant under spatial translations and rotations.
These assumptions are accepted in the standard treatment of the linear quantum fluctuations in the FLRW universe. We denote the classical model (state) of PGWs as . By the Assumption 1, the evolution of the Heisenberg operators is determined and hence we only have to fix the initial condition of the state to identify the classical model. From the Assumptions 2 and 3, the state has the following expectation values for and defined by (31) :
where and are free functions characterizing the initial state. Because of the translational invariance, the expectation value of the annihilation operator with nonzero modes vanishes. From the assumption of being Gaussian state, the functions and completely determine the form of the state .
To fix the two functions and , we further impose the following two assumptions:
Assumption A4.
The bipartite state with modesanddefined by the annihilation and creation operatorsandis a classically correlated state (zero discord state).
Assumption A5.
The classical model provides the same correlation function of PGWs at the present time as that of PGWs with the initial Bunch–Davies vacuum.
From Assumptions 2–4, we can find that the state is classically correlated if and only if the function vanishes. Let us show this statement. For simplicity, we omit the index of the polarization and denote the state with the mode and as . When the function vanishes, the Gaussian state is a product state, which corresponds to a classically correlated state with the weight in Equation (44). Conversely, if the state is classically correlated, then the state is represented by a product state
where and are density operators for each mode. In general, a given classically correlated state can have correlation, but classically correlated Gaussian states are product states [19,20]. The Appendix A is devoted to a simple proof of this property. Then the expectation value of is given by
because the one-point function of the annihilation operator vanishes by the translation invariance (53). Hence the function must vanish. As characterizes the coherence of (see Equation (55)), the following statement holds: the quantum discord exists if and only if the quantum coherence for the modes and exists.
We emphasize that the condition for the classical state cannot be derived from the separability. To judge whether a given bipartite state is entangled or not, the positive partial transposed (PPT) criterion is useful [21,22]; if a bipartite state is separable then the following inequality holds
where is the transposition for the subsystem B and the inequality means that has no negative eigenvalues. For the Gaussian bipartite state defined by and , it is known that the PPT criterion is the necessary and sufficient condition for the separability [23,24,25]. The inequality (58) for the state is given by
The derivation of the inequality (59) is shown in the Appendix B. We can admit the non-entangled model of PGWs with nonzero (non-zero discord). Such a model has the following expectation value for the sub-horizon modes (),
and shows the oscillatory behavior of the correlation function. Hence we cannot distinguish whether the model has quantum entanglement (between and modes) by just observing the oscillatory behavior.
The function is determined by the Assumption 5. Using the approximated form of the annihilation operator for the sub-horizon scale (30), we obtain the correlation function of the state for as
where is the conformal time of the present day. The Assumption 5 requires that the correlation function of the variables should be equal to that given by the Bunch–Davies vacuum (37). For and the function can be fixed as
where we used Equation (37) at the present time .
Here we compare our analysis with the previous work in [4]. They considered squeezed and non-squeezed models of PGWs. Both of these models assume the Bunch–Davies vacuum as the initial state of PGWs. The squeezed model corresponds to PGWs treated in the previous section. The non-squeezed one is constructed by assuming the following form of the mode function in the matter-dominated era
which has only the positive frequency mode. This means that there is no particle production and any squeezing effects. In [4], the specification (63) of the mode function was called the traveling wave condition, which corresponds to the classically correlated assumption in our analysis. The amplitude of the mode (63) is determined by the same procedure as our Assumption 5, which was called the fair comparison in [4]. For the sub-horizon mode at the present time , the amplitude was given by without the cosine term in [4]. The disregard of the cosine term is valid in the calculation of the angular-power spectrum. We will explain the details of this statement later (after Equation (73)).
Let us compare the two models of PGWs by the angular-power spectrum of CMB temperature fluctuations. The temperature fluctuations caused by the tensor perturbation is
where is the unit vector describing the direction of CMB photons’ propagation and the CMB photons are emitted at the conformal time . The angular-power spectrum is defined by
where is the Legendre polynomial of degree ℓ and the bracket means the expectation value for a state. The angular-power spectrum for each multipole ℓ is characterized by the redshift factor of the end of inflation , matter-radiation equality , the last scattering surface and the amplitude of PGWs given by . We suppose that the redshift factors are
where is estimated for the GUT scale GeV, the present Hubble GeV and the e-folding to solve the horizon and flatness problem. In the following, we focus on the target frequency . By the condition , we can use the mode solution in the radiation era for the CMB power spectrum. Then we obtain the following formulas of the angular-power spectrum for and
where are the Bogolyubov coefficients (27). The function is defined by
where is the spherical Bessel function and is the positive frequency mode in the radiation era (Equation (25)). As the leading order contribution for , we obtain
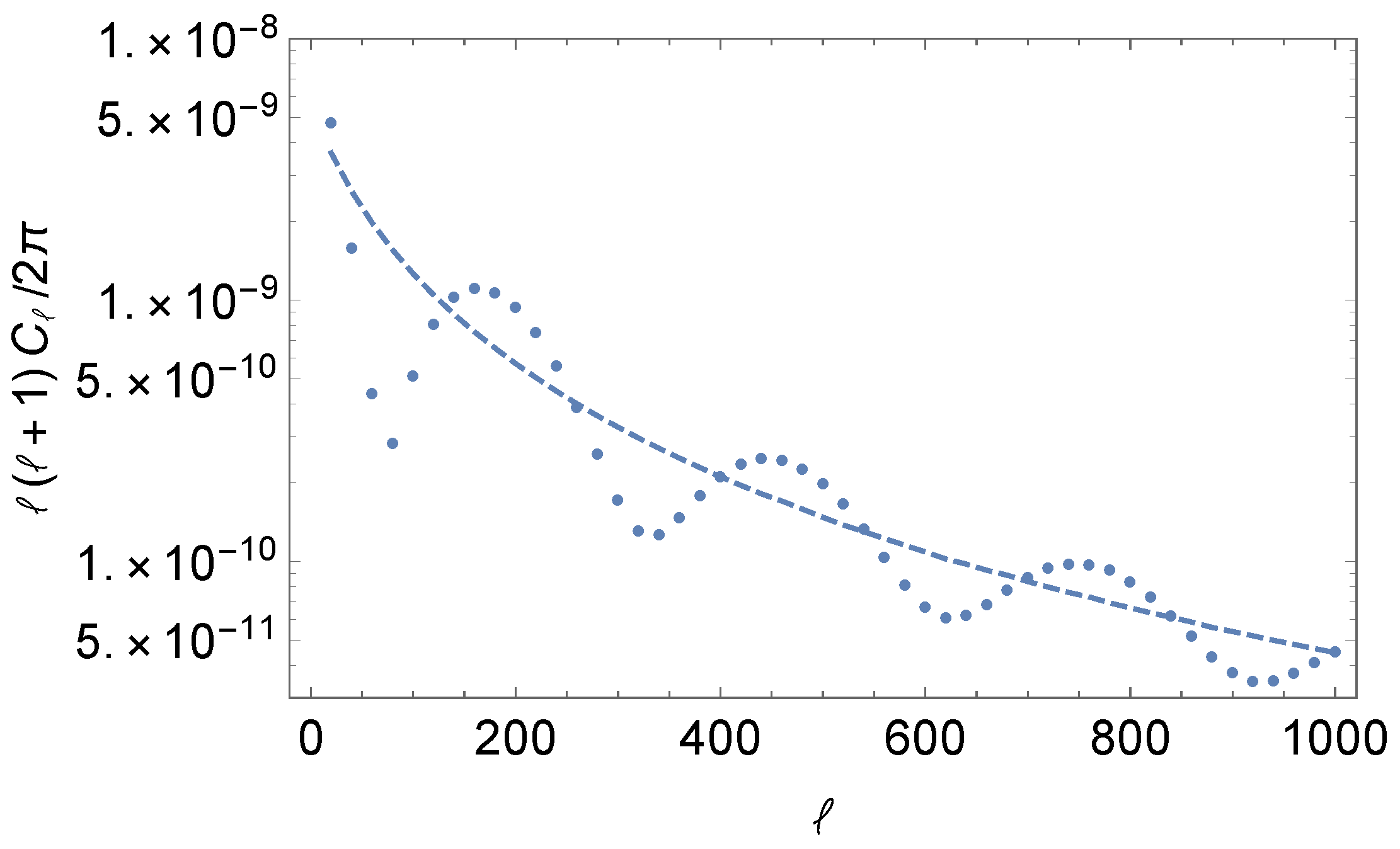
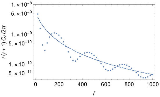
where the formula of (62) was substituted into (70) and the approximations and were used in the first line of (72) and (73). In the second approximation of Equation (73), we used the fact that the cosine term does not contribute to the q-integral because the present time is much larger than and the cosine term oscillates rapidly in the integration.
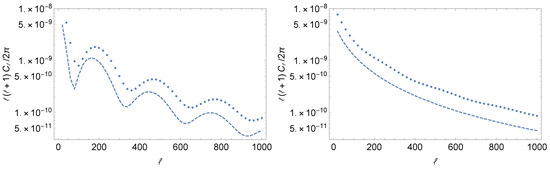
Figure 2 presents the angular-power spectrum and given by (72) and (73). shows oscillation, on the other hand, decreases monotonically as the multipole ℓ increases. The oscillation is attributed to the phase factor of contained in the last two terms of Equation (72). From the redshift factors given by (66)–(68), the typical value of the phase is estimated as follows:
where we have used . The oscillation begins from (the corresponding phase is ) and the period of the oscillation is about 100 up to a numerical factor, which is observed in Figure 2.
Figure 2.
The behavior of the angular-power spectrum of CMB temperature fluctuations (dotted line) and (dashed line). shows the oscillatory behavior and does not have such a behavior.
Let us discuss how a model with free functions and defined in Equations (54) and (55) shows the oscillatory feature. The formula of the angular-power spectrum for is written by these functions as
where and is given by (71). The second term of the integrand in (75) is crucial for the oscillatory feature. If the condition holds then the second term is negligible. Choosing as Equation (62), we can get the almost same angular-power spectrum as that for the classical state. Also if the phase changes rapidly and takes various values in the q-integral, then the second term is neglected again by the Riemann–Lebesgue lemma. The PGWs superposed with many phases (the function controls the coherence of PGWs) contribute to the power spectrum, and the oscillation is reduced as a result. For the two situations or rapidly changing phase , the oscillation degrades sufficiently even if the state has nonzero , i.e., nonzero discord. Therefore we can only conclude that the CMB power spectrum computed from the classical state has no oscillation. The converse statement that the absence of the oscillation means zero quantum discord does not necessarily hold.
The whole analysis is based on the free theory of the tensor perturbation, and the nonlinear interaction with other fields is not included. Since such nonlinear interactions can induce quantum decoherence generally, there is the possibility of loss of the quantum feature for PGWs. We discuss the decoherence effect for the tensor perturbation in the next section.
4. Decoherence for Super-Horizon Modes and Quantum Correlations
Quantum decoherence is the loss of quantum superposition and induced by the interaction with an environment. In cosmological situations, quantum decoherence plays a crucial role to explain quantum-to-classical transition of primordial fluctuations. In [26], the authors discussed the decoherence for primordial fluctuations with the super-horizon modes and introduced the two conditions: the decoherence condition and the correlation condition. In this section, we clarify the meaning of these two conditions in terms of quantum correlations.
To get a clear intuition of the decoherence effect, we construct a decohered Gaussian state of PGWs. We consider the total system with the full Hamiltonian
where and are the free Hamiltonian of the tensor perturbation and the other fields , respectively. The operator is the interaction between the tensor perturbation and the other fields. We assume that the initial state of the total system at is given by the product state
where is the Bunch–Davies vacuum of the tensor field and is the initial state of the other fields. The wave functional of the total system is
where the time evolution operator is expressed by using the time ordering as
We give the decohered state by assuming the following form of the reduced density matrix of :
with and are
where is the normalization and is given by (39). A phenomenological positive function represents decoherence effect. The function depends on the structure of interaction with other fields . The decoherence factor is invariant under spatial rotations and translations, which preserves the same symmetry imposed in the linear theory of PGWs. As becomes large, the off-diagonal components decays exponentially. This behavior expresses quantum decoherence. The form of the decoherence factor respects the facts that the field operator (growing mode) is the pointer observable [27] in cosmology. For super-horizon modes, in the Heisenberg picture, the field becomes constant in time and its conjugate momentum decays rapidly. Thus, the field operator effectively commutes with the interaction Hamiltonian. Such an operator commuting with the interaction Hamiltonian is called a pointer observable. The density matrix of the system approaches diagonal form with respect to the basis of the pointer observable (pointer basis) by decoherence effect. In [26,28,29], for the super-horizon mode (), the decoherence factor was derived using the quantum master equations with the Lindblad form [30,31]. Also the decoherence factor were computed from nonlinear interactions for primordial fluctuations in [16,32,33].
In [26], the authors focused on the Wigner function of the density matrix of the decohered state and discussed its shape in the phase space. The density matrix for a fixed mode and polarization is
where is the wave function of the Bunch–Davies given in (39). The real part characterizes the quantum superposition with respect to the field basis y. Such a superposition is suppressed by the decoherence factor if the parameter satisfies the inequality
The decoherence degrades the superposition of the field amplitudes and makes the width of the Wigner function large in the direction of the conjugate momentum as follows. The Wigner function of the density matrix is
For a large , the Gaussian width for the conjugate momentum becomes large, and then Wigner ellipse approaches a circle. To observe the oscillation of the angular-power spectrum, the Wigner function should be squeezed even if decoherence occurs. In terms of the length of the major axis a and the minor axis b of the Wigner ellipse, the condition of squeezing [26] is expressed as
The word “correlation” does not mean quantum correlations but the correlation between the real (or imaginary) part of the field variable and its conjugate momentum.
In the following, we clarify the relation among the quantum correlations of PGWs at the matter era and the above conditions (84) and (87). For this purpose we consider the scenario that the decoherence due to the interaction halts just before the second horizon crossing of PGWs and the state of PGWs evolves unitarily after that. In this scenario, the decohered state of PGWs (83) is prepared at the conformal time which satisfies
where is a model parameter. The whole evolution of PGWs in our setting is presented in Figure 3.
Figure 3.
The assumption for the evolution of PGWs. Quantum decoherence continues until and then the PGW evolves unitarily.
We examine the decoherence condition (84) and the correlation condition (87) at . To observe the decohered but squeezed state of PGWs, these conditions should be satisfied at the horizon crossing . For a super-horizon mode at , , the decoherence condition is estimated as
and the correlation condition is given as
where is the Bogolyubov coefficient given in (27).
Let us investigate the entanglement and quantum discord of PGWs in the matter era. For , we have the two-point function
where and are the tensor field in the Heisenberg and interaction picture, respectively and is given by
The concrete expression of the interaction Hamiltonian is not needed because the reduced density matrix of the tensor field (80) is given at . In Equation (91), we assumed that the interaction continues until , i.e., for . The field operator can be written by the linear combination of and at as
where and are defined by
From the form of the density matrix at (80), the correlation functions of the tensor field at the time in the interaction picture can be computed as follows:
The derivation of these equations is presented in the Appendix C. Substituting Equation (93) into the correlator (91) and using the Formulas (96)–(98), we obtain the correlator (91) for the different time and as
We can also calculate the other two-point functions and . The conjugate momentum is given by the following linear combination of and :
where and are defined by
Through a similar procedure, we can derive the other correlators as
From Equations (99), (103) and (104), the correlators of and at are given by
where we introduced the following quantities
We focus on the target wave mode (28) and examine the PPT criterion in the matter era . The decohered state is the bipartite state with the mode and defined by the annihilation operators and . For the sub-horizon mode, the operator is the counterpart of due to the relation (Equation (30)). Using Equations (107) and (108), we can rewrite the PPT criterion (59) as
For , this inequality is evaluated up to the numerical factor as
where we used the approximated Formulas (35) and (36) and
for a sub-horizon scale .
For the target frequency , the tensor fields have the large occupation number , and the PPT criterion (110) implies the decoherence condition (89)
Hence the decoherence condition (89) is not sufficient to eliminate the entanglement of PGWs. Next we evaluate the degree of quantum coherence to examine the quantum discord of PGWs. For the target wave number , we can approximate the function as
where we applied the approximated Formulas (35), (36) and (111) again. If the phenomenological parameter satisfies the correlation condition (90), then the decoherence effect is negligible in (113). In this case, the quantum coherence of the Bunch–Davies vacuum survives. Because the decohered state is a Gaussian state, the nonzero implies quantum discord in the matter-dominated era. Hence the correlation condition given in [26] means that the PGWs have a chance to keep the quantum discord in the matter-dominated era.
Let us demonstrate the behavior of the angular-power spectrum for the decohered state. By the Formula (104), the angular-power spectrum for the decohered state is given by
where the impact of the decoherence on the angular-power spectrum is represented as
with
In principle, the function can be determined by assuming nonlinear interactions with other fields. Since a macroscopic system easily decoheres, we can expect that the value of increases for the larger system. For simplicity we assume that per mode is proportional to the number density , i.e.,
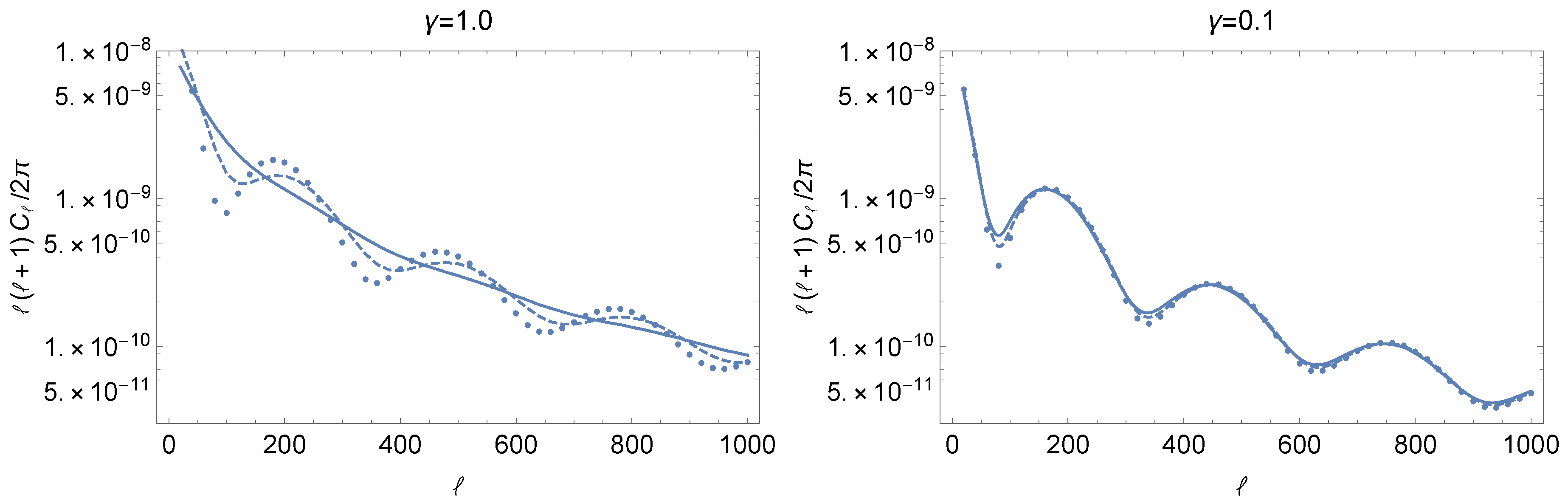
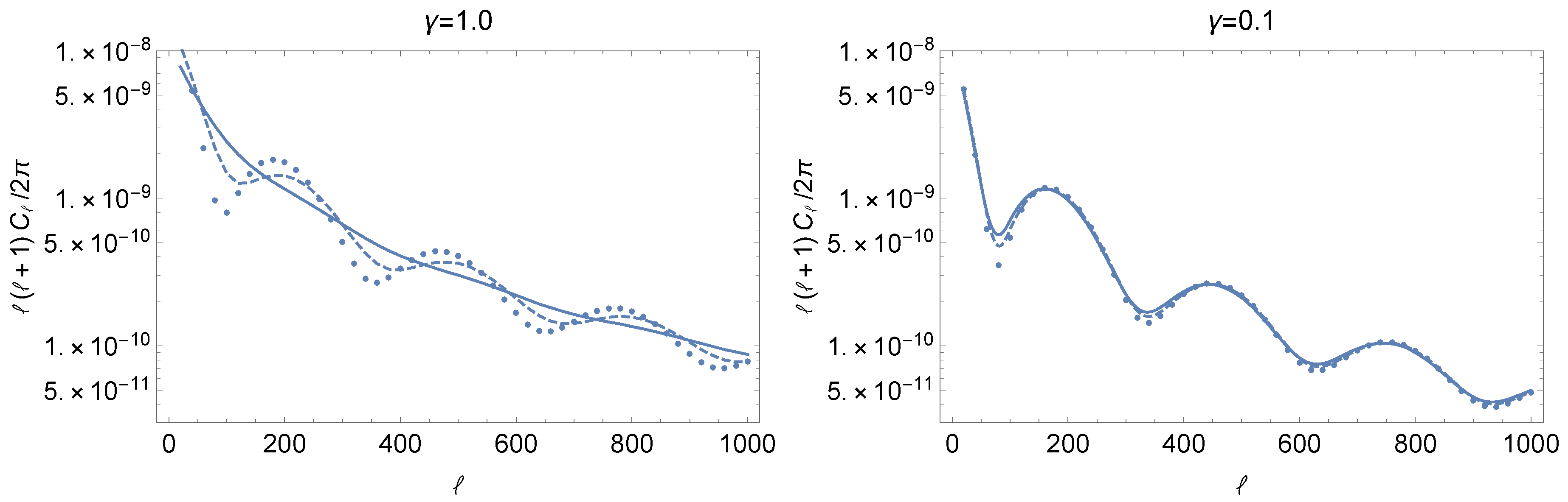
where is a dimensionless positive constant. For , the correlation condition (90) is violated. In Figure 4, we present the behavior of for and with . As have already mentioned, the decoherence changes the ellipse of the Wigner function to a circle and hence the observable oscillation is reduced. However, in the left panel of Figure 4 for , we still observe the oscillation after the decoherence for the super-horizon mode even if the correlation condition (90) is violated. This is because the Wigner function of PGWs with the super-horizon mode is squeezed until the horizon crossing after the decoherence (see Figure 5).
Figure 4.
The anguler power spectrum of CMB fluctuations by PGWs with the decoherence effect (left panel: and right panel: ). The different curves correspond to (dotted line), (dashed line) and (solid line).
Figure 5.
For the super-horizon mode, the Wigner function is squeezed until the mode re-enters the horizon after decoherence.
We observe that the oscillation vanishes for . In this case, the Wigner ellipse becomes a circle and its shape does not change after the decoherence because of no squeezing effect for the sub-horizon modes. In the right panel of Figure 4, we show the behavior of for . The oscillation does not vanish since the quantum discord of PGWs survives for (in other words, the correlation condition is satisfied).
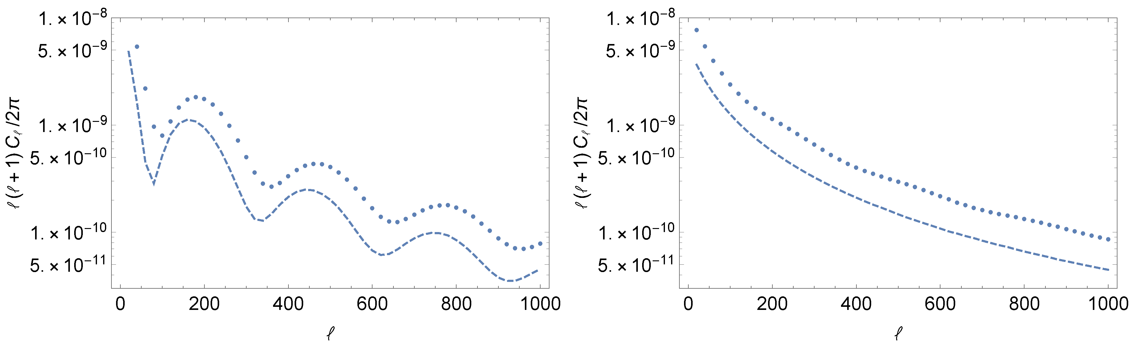
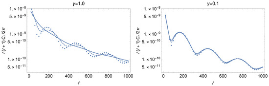
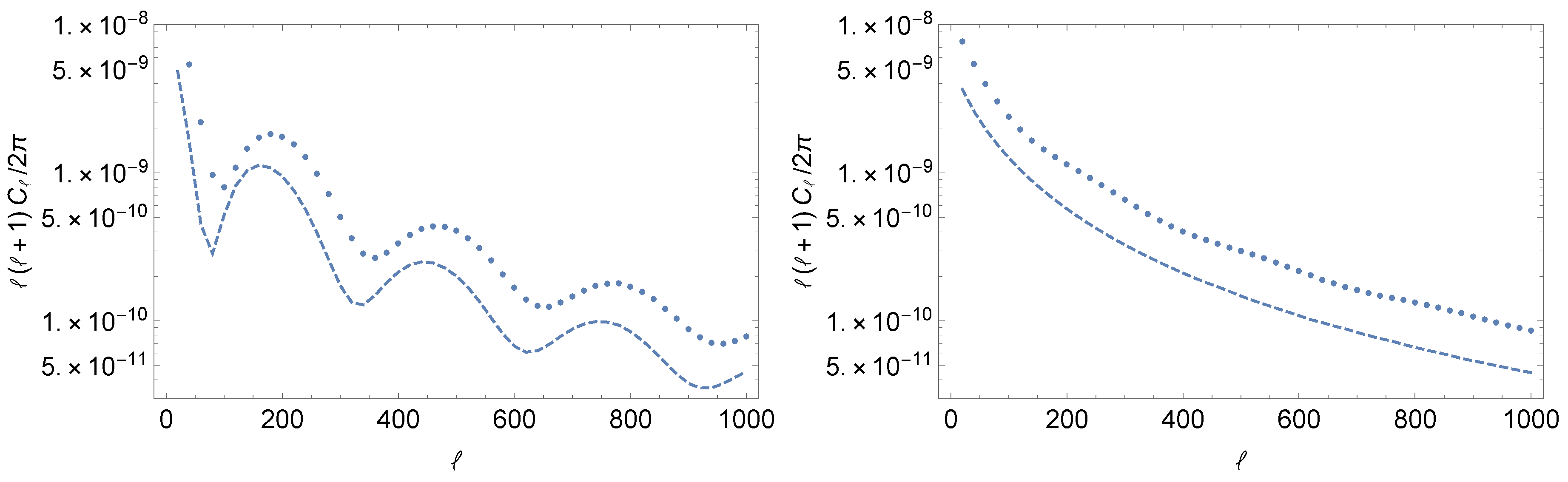
In Figure 6, we compare the angular-power spectrum for the Bunch–Davies vacuum and the classical state with the decoherence effect (). The left panel presents the behaviors of and with which show oscillation. The right panel shows the behaviors of and with . The oscillations are reduced by the decoherence effect. In this case, is almost . For and , has the same amplitude and almost opposite phase as . That is can be evaluated by using the mode function . Thus, we find that
and .
Figure 6.
Left panel: (dashed line) and (dotted line) with . Right panel: (dashed line) and (dotted line) with .
In Figure 7, we summarize the relation among the entanglement, the quantum discord of PGWs, the decoherence condition and the correlation condition for super-horizon modes. As we mentioned after Equation (59), the oscillation of the angular-power spectrum implies the quantum discord of PGWs but does not guarantees the existence of entanglement.
Figure 7.
The relation among the quantum correlations of PGWs, the decoherence condition and the correlation condition. In the left side region of the red vertical line, the decoherence condition is satisfied. In the right side region of the blue vertical line, the correlation condition is satisfied.
For the decohered state, we can choose the parameter both satisfying the PPT criterion and the correlation condition. Thus, it is also confirmed that the entanglement of PGWs is not required to obtain the oscillatory behavior of the angular-power spectrum of CMB fluctuations.
5. Summary
Focusing on quantum correlations, we examined the oscillation of the angular-power spectrum of CMB fluctuations induced by PGWs. This oscillatory feature is different from the observed acoustic oscillation. The dominant contribution of the acoustic oscillation is due to primordial density perturbations not PGWs. However, the oscillation caused by PGWs is related to the quantum discord of PGWs. We demonstrate that the constructed classical state of PGWs without quantum discord has no oscillatory feature for the angular-power spectrum of the CMB temperature fluctuations. For PGWs with quantum origin, the oscillation of the CMB power spectrum can be interpreted as the signature of the quantum discord of the PGWs.
We also investigated the decoherence effect for super-horizon modes on the squeezing property of PGWs. In particular, we discussed the decoherence condition and the correlation condition [26] in terms of quantum correlations. Through the comparison of the PPT criterion and the decoherence condition, we found that the decoherece condition is not sufficient for the separability of the PGWs state in the matter-dominated era. Also we showed that the correlation condition implies the quantum discord of PGWs in the matter-dominated era. This argument is obvious because the correlation condition ensures the squeezed Wigner function if there is no decoherence after the horizon crossing. What we have done here is to furnish the meaning of the correlation condition in terms of quantum discord. We expect that the oscillatory feature of PGWs gives a hint for the question whether PGWs are quantum or not in our observable universe.
Author Contributions
Both authors contributed equally to this work. All authors have read and agreed to the published version of the manuscript.
Funding
JSPS KAKENHI Grant Number 19K03866.
Acknowledgments
Y.N. was supported in part by the JSPS KAKENHI Grant Number 19K03866.
Conflicts of Interest
The authors declare no conflict of interest.
Appendix A. Proof of the Equation (56)
To show that the state satisfying the Assumptions 2–4 in the Section 3 requires , we consider a two-mode continuous variable state defined by two annihilation operators and . Then we can prove the following lemma: a two-mode classically correlated Gaussian state satisfies where the parameters are displacement of each system. By the assumption of classically correlated (Equation (44)), the state is represented as . Tracing out the system B, we have where . Since the state is Gaussian, is a Gaussian state with the displacement . By the orthonormal property of , the vectors are eigenvectors of the state . From the Williamson theorem [34], we can identify the state vector with a state . Here is the displacement operator of the system A. The parameter does not depend on the label i, and is an N-particle state defined by an annihilation operator , whose label N corresponds to the label i up to the ordering. Furthermore, the Williamson theorem implies that there is the unitary operator generated by the symplectic transformation such that where and are the parameters of the symplectic transformation. The above statement holds for the system B. Hence we find the following equation
where we identified with . is the displacement operator for the system B and is an M-particle state of the system B. The Equation (A1) implies that the Gaussian state is a product state.
Appendix B. Derivation of the Inequality (59)
We consider a two-mode Gaussian state , whose modes are defined by the annihilation operators and . We introduce the vector . The covariance matrix of the state is defined by the Hermitian matrix where is the anti-commutator. The explicit form of the matrix C is
where and the omitted components are determined by the Hermiticity. The covariance matrix satisfies the following uncertainty relation: for any ,
that is where the matrix is given by . The partial transpose operation for the subsystem B is represented by and [24]. We denote the partial transposed matrix as . Then the inequality for the PPT criterion is . The state of interest has only the two expectation values
Then the covariance matrix C and its partial transposed matrix are computed as
From this formula of , we easily get the PPT criterion as .
Appendix C. Derivation of the Equations (96)–(98)
We compute the two-point functions of the decohered state (80). For convenience, we use the Schrödinger picture to calculate them:
where and are the field operators and its conjugate momentum in the Schrödinger picture and is the evolution operator given by (79). The correlation function at the time is
Similarly the other correlation functions and are computed as
and
where we used the functional representation of the conjugate momentum .
References
- Grischuk, L.P.; Sidorov, Y.V. On the quantum state of relic gravitons. Class. Quantum. Grav. 1989, 6, L161. [Google Scholar] [CrossRef]
- Grischuk, L.P.; Sidorov, Y.V. Squeezed quantum stffates of relic gravitons and primordial density fluctuations. Phys. Rev. D 1990, 42, 3413–3421. [Google Scholar] [CrossRef]
- Allen, B.; Flanagan, E.E.; Papa, M.A. Is the squeezing of relic gravitational waves produced by inflation detectable? Phys. Rev. D 2000, 61, 024024. [Google Scholar] [CrossRef]
- Bose, S.; Grishchuk, L.P. Observational determination of squeezing in relic gravitational waves and primordial density perturbations. Phys. Rev. D 2002, 66, 043529. [Google Scholar] [CrossRef]
- Nambu, Y. Entanglement of quantum fluctuations in the inflationary universe. Phys. Rev. D 2008, 78, 044023. [Google Scholar] [CrossRef]
- Nambu, Y.; Ohsumi, Y. Classical and quantum correlations of scalar field in the inflationary universe. Phys. Rev. D 2011, 84, 044028. [Google Scholar] [CrossRef]
- Maldacena, J. Entanglement entropy in de Sitter space. J. High Energy Phys. 2013, 02, 38. [Google Scholar] [CrossRef]
- Kanno, S. Impact of quantum entanglement on spectrum of cosmological fluctuations. J. Cosmol. Astropart. Phys. 2014, 2014, 029. [Google Scholar] [CrossRef]
- Kanno, S.; Shock, J.P.; Soda, J. Entanglement negativity in the multiverse. J. Cosmol. Astropart. Phys. 2015, 2015, 015. [Google Scholar] [CrossRef]
- Matsumura, A.; Nambu, Y. Large scale quantum entanglement in de Sitter spacetime. Phys. Rev. D 2018, 98, 025004. [Google Scholar] [CrossRef]
- Ollivier, H.; Zurek, W.H. Quantum Discord: A Measure of the Quantumness of Correlations. Phys. Rev. Lett. 2001, 88, 017901. [Google Scholar] [CrossRef] [PubMed]
- Henderson, L.; Vedral, V. Classical, quantum and total correlations. J. Phys. A 2001, 34, 6899. [Google Scholar] [CrossRef]
- Lim, E.A. Quantum information of cosmological correlations. Phys. Rev. D 2015, 91, 083522. [Google Scholar] [CrossRef]
- Martin, J.; Vennin, V. Quantum discord of cosmic inflation: Can we show that CMB anisotropies are of quantum-mechanical origin? Phys. Rev. D 2016, 93, 023505. [Google Scholar] [CrossRef]
- Kanno, S.; Shock, J.P.; Soda, J. Quantum discord in de Sitter space. Phys. Rev. D 2016, 94, 125014. [Google Scholar] [CrossRef]
- Hollowood, T.J.; McDonald, J.I. Decoherence, discord, and the quantum master equation for cosmological perturbations. Phys. Rev. D 2017, 95, 103521. [Google Scholar] [CrossRef]
- Oppenheim, J.; Horodecki, M.; Horodecki, P.; Horodecki, R. Thermodynamical Approach to Quantifying Quantum Correlations. Phys. Rev. Lett. 2002, 89, 180402. [Google Scholar] [CrossRef]
- Werner, R.F. Quantum states with Einstein-Podolsky-Rosen correlations admitting a hidden-variable model. Phys. Rev. A 1989, 40, 4277. [Google Scholar] [CrossRef]
- Giorda, P.; Paris, M.G.A. Gaussian Quantum Discord. Phys. Rev. Lett. 2010, 105, 020503. [Google Scholar] [CrossRef]
- Adesso, G.; Datta, A. Quantum versus Classical Correlations in Gaussian States. Phys. Rev. Lett. 2010, 105, 030501. [Google Scholar] [CrossRef]
- Peres, A. Separability Criterion for Density Matrices. Phys. Rev. Lett. 1996, 77, 1413. [Google Scholar] [CrossRef] [PubMed]
- Horodecki, M.; Horodecki, R.; Horodecki, P. Separability of mixed states: Necessary and sufficient conditions. Phys. Lett. A 1996, 223, 1–8. [Google Scholar] [CrossRef]
- Giedke, G.; Kraus, B.; Lewenstein, M.; Cirac, J.I. Entanglement Criteria for All Bipartite Gaussian States. Phys. Rev. Lett. 2001, 87, 167904. [Google Scholar] [CrossRef] [PubMed]
- Simon, R. Peres-Horodecki Separability Criterion for Continuous Variable Systems. Phys. Rev. Lett. 2000, 84, 2729. [Google Scholar] [CrossRef] [PubMed]
- Fujikawa, K. Separability criteria for continuous-variable systems. Phys. Rev. A 2009, 80, 012315. [Google Scholar] [CrossRef]
- Kiefer, C.; Lohmar, I.; Polarski, D.; Starobinsky, A.A. Pointer states for primordial fluctuations in inflationary cosmology. Class. Quantum Grav. 2007, 24, 1699–1718. [Google Scholar] [CrossRef]
- Zurek, W.H. Pointer basis of quantum apparatus: Into what mixture does the wave packet collapse? Phys. Rev. D 1981, 24, 1516. [Google Scholar] [CrossRef]
- Burgess, C.P.; Holman, R.; Hoover, D. Decoherence of inflationary primordial fluctuations. Phys. Rev. D 2008, 77, 063534. [Google Scholar] [CrossRef]
- Burgess, C.P.; Holman, R.; Tasinato, G.; Williams, M. EFT beyond the horizon: Stochastic inflation and how primordial quantum fluctuations go classical. J. High Energy Phys. 2015, 03, 090. [Google Scholar] [CrossRef]
- Breuer, H.P.; Petruccione, F. The Theory of Open Quantum Systems; Oxford University Press: Oxford, MS, USA, 2007. [Google Scholar]
- Lindblad, G. On the generators of quantum dynamical semigroups. Commun. Math. Phys. 1976, 48, 119. [Google Scholar] [CrossRef]
- Boyanovsky, D. Effective field theory during inflation. II. Stochastic dynamics and power spectrum suppression. Phys. Rev. D 2016, 93, 043501. [Google Scholar] [CrossRef]
- Nelson, E. Quantum decoherence during inflation from gravitational nonlinearities. J. Cosmol. Astropart. Phys. 2016, 03, 022. [Google Scholar] [CrossRef]
- Williamson, J. On the Algebraic Problem Concerning the Normal Forms of Linear Dynamical Systems. Am. J. Math. 1936, 58, 141–163. [Google Scholar] [CrossRef]
© 2020 by the authors. Licensee MDPI, Basel, Switzerland. This article is an open access article distributed under the terms and conditions of the Creative Commons Attribution (CC BY) license (http://creativecommons.org/licenses/by/4.0/).






