Studying Asymptotic Giant Branch Stars in the JWST Era
Abstract
1. Introduction
2. AGB Evolution and Dust Production
2.1. The Surface Chemistry of AGB Stars
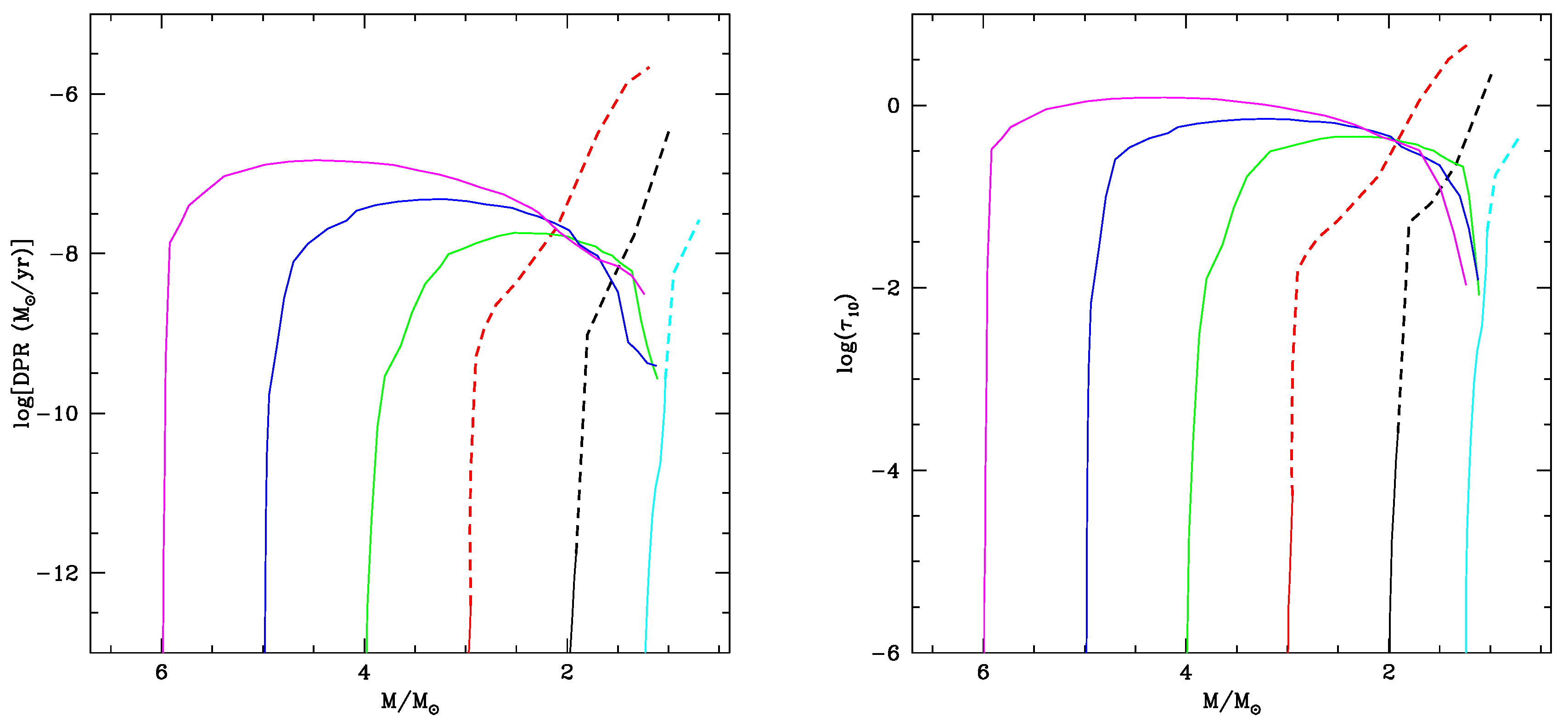
2.2. AGB Stars as Dust Manufacturers
2.3. Change in the Spectral Energy Distribution
3. Studying AGB Stars in the Mid-Infrared with JWST
3.1. Oxygen-Rich AGB Stars in the LMC
3.2. Carbon Stars in the LMC
3.3. Drawing the Origin of AGB Stars through a JWST CMD
4. Conclusions
Author Contributions
Funding
Conflicts of Interest
References
- Romano, D.; Karakas, A.I.; Tosi, M.; Matteucci, F. Quantifying the uncertainties of chemical evolution studies. II. Stellar yields. Astron. Astrophys. 2010, 522, A32. [Google Scholar] [CrossRef]
- Ferrarotti, A.; Gail, H.P. Composition and quantities of dust produced by AGB-stars and returned to the interstellar medium. Astron. Astrophys. 2006, 447, 553–576. [Google Scholar] [CrossRef]
- Nanni, A.; Bressan, A.; Marigo, P.; Girardi, L. Evolution of thermally pulsing asymptotic giant branch stars—II. Dust production at varying metallicity. Mon. Not. R. Astron. Soc. 2013, 434, 2390–2417. [Google Scholar] [CrossRef]
- Ventura, P.; Cirscienzo, M.D.; Schneider, R.; Carini, R.; Valiante, R.; D’Antona, F.; Gallerani, S.; Maiolino, R. Tornambé, A. Dust formation around AGB and SAGB stars: A trend with metallicity? Mon. Not. R. Astron. Soc. 2012, 424, 2345–2357. [Google Scholar] [CrossRef]
- Ventura, P.; Dell’Agli, F.; Schneider, R.; Criscienzo, M.D.; Rossi, C.; Franca, F.L.; Gallerani, S.; Valiante, R. Dust from asymptotic giant branch stars: Relevant factors and modelling uncertainties. Mon. Not. R. Astron. Soc. 2014, 439, 977–989. [Google Scholar] [CrossRef]
- Ventura, P.; Zeppieri, A.; Mazzitelli, I.; D’Antona, F. Full spectrum of turbulence convective mixing: I. theoretical main sequences and turn-off for 0.6–15 Msun. Astron. Astrophys. 1998, 334, 953–968. [Google Scholar]
- Harris, J.; Zaritsky, D. The Star Formation History of the Large Magellanic Cloud. Astron. J. 2009, 139, 1243–1260. [Google Scholar] [CrossRef]
- Nenkova, M.; Ivezic, Z.; Elitzur, M. DUSTY: A Publicly Available Code for Continuum Radiative Transfer in Astrophysical Environments. Lunar Planet. Inst. 1999, 969, 20. [Google Scholar]
- Marigo, P. Asymptotic Giant Branch evolution at varying surface C/O ratio: Effects of changes in molecular opacities. Astron. Astrophys. 2002, 387, 507–519. [Google Scholar] [CrossRef]
- Marigo, P. Post Main Sequence Evolution of Single Stars. Annu. Rev. Astron. Astrophys. 1974, 12, 215–256. Available online: https://www.overleaf.com/project/5f7c492065e4fb0001e9d3f8 (accessed on 19 November 2020).
- Ventura, P.; Marigo, P. Asymptotic giant branch stars at low metallicity: The challenging interplay between the mass-loss and molecular opacities. Mon. Not. R. Astron. Soc. 2010, 408, 2476–2486. [Google Scholar] [CrossRef]
- Ventura, P.; Marigo, P. Evolution and chemical yields of AGB stars: Effects of low-temperature opacities. Mon. Not. R. Astron. Soc. 2009, 399, L54–L58. [Google Scholar] [CrossRef]
- Bloecker, T.; Schöenberner, D. A 7M⊙ AGB model sequence not complying with the core mass-luminosity relation. Astron. Astrophys. 1991, 244, L43–L46. [Google Scholar]
- Dell’Agli, F.; Garcia-Hernandez, D.A.; Ventura, P.; Mészáros, S.Z.; Masseron, T.; Fernández-Trincado, J.G.; Tang, B.; Shetrone, M.; Zamora, O.; Lucatello, S. A view of the H-band light-element chemical patterns in globular clusters under the AGB self-enrichment scenario. Mon. Not. R. Astron. Soc. 2018, 475, 3098–3116. [Google Scholar] [CrossRef]
- Marini, E.; Dell’Agli, F.; Criscienzo, M.; García-Hernández, D.A.; Ventura, P.; Groenewegen, M.A.T.; Mattsson, L.; Kamath, D.; Puccetti, S.; Tailo, M. Characterization of M-stars in the LMC in the JWST era. Mon. Not. R. Astron. Soc. 2020, 340, 2996–3013. [Google Scholar] [CrossRef]
- Dell’Agli, F.; Ventura, P.; Schneider, R.; Criscienzo, M.; García-Hernández, D.A.; Rossi, C.; Brocatoet, E. Asymptotic giant branch stars in the Large Magellanic Cloud: Evolution of dust in circumstellar envelopes. Mon. Not. R. Astron. Soc. 2015, 447, 2992–3015. [Google Scholar] [CrossRef]
- Thompson, G.D.; Corman, A.B.; Speck, A.K.; Dijkstra, C. Challenging the Carbon Star Dust Condensation Sequence: Anarchist C Stars. Astrophys. J. 2006, 652, 1654–1673. [Google Scholar] [CrossRef][Green Version]
- Sloan, G.C.; Lagadec, E.; Zijlstra, A.A.; Kraemer, K.E.; Weis, A.P.; Matsuura, M.; Volk, K.; Duley, K.K.; Cami, J. Carbon-rich Dust Past the Asymptotic Giant Branch: Aliphatics, Aromatics, and Fullerenes in the Magellanic Clouds. Astrophys. J. 2014, 791, 28–57. [Google Scholar] [CrossRef]
- Meixner, M.; Gordon, K.D.; Indebetouw, R.; Hora, L.J.; Whitney, B.; Blum, R.; Reach, W.; Bernard, J.P.; Meade, M.; Babler, B. Spitzer Survey of the Large Magellanic Cloud: Surveying the Agents of a Galaxy’s Evolution (SAGE). I. Overview and initial results. Astron. J. 2006, 132, 2268–2288. [Google Scholar] [CrossRef]
- Kraemer, K.E.; Sloan, G.C.; Wood, P.R.; Jones, O.C. Characterizing the Population of Bright Infrared Sources in the Small Magellanic Cloud. Astrophys. J. 2017, 834, 185–204. [Google Scholar] [CrossRef]
- Groenewegen, M.A.T.; Sloan, G.C. Luminosities and mass-loss rates of Local Group AGB stars and red supergiants. Astron. Astrophys. 2018, 609, A114. [Google Scholar] [CrossRef]
- Jones, O.C.; Meixner, M.; Justtanont, K.; Glasse, A. Probing the Dusty Stellar Populations of the Local Volume Galaxies with JWST/MIRI. Astrophys. J. 2017, 841, 15–28. [Google Scholar] [CrossRef]
- Marini, E.; Dell’Agli, F.; Criscienzo, M.D.; Puccetti, S. Discovery of Stars Surrounded by Iron Dust in the Large Magellanic Cloud. Astrophys. J. 2019, 871, L16–L20. [Google Scholar] [CrossRef]
- Marini, E.; Dell’Agli, F.; Criscienzo, M.D.; Groenewegen, M.A.T.; Puccetti, P.; Ventura, P.; Villaver, E. Do evolved stars in the LMC show dual dust chemistry? Mon. Not. R. Astron. Soc. 2019, 488, L85–L89. [Google Scholar] [CrossRef]
- Sloan, G.C.; Kraemer, K.E.; McDonald, I.; Groenewegen, M.A.T.; Wood, P.R.; Zijlstra, A.A.; Lagadec, E.; Boyer, M.L.; Kemper, F.; Matsuura, M. The Infrared Spectral Properties of Magellanic Carbon Stars. Astrophys. J. 2016, 826, 44–64. [Google Scholar] [CrossRef]





Publisher’s Note: MDPI stays neutral with regard to jurisdictional claims in published maps and institutional affiliations. |
© 2020 by the authors. Licensee MDPI, Basel, Switzerland. This article is an open access article distributed under the terms and conditions of the Creative Commons Attribution (CC BY) license (http://creativecommons.org/licenses/by/4.0/).
Share and Cite
Ventura, P.; Marini, E.; Tosi, S.; Dell’Agli, F. Studying Asymptotic Giant Branch Stars in the JWST Era. Universe 2020, 6, 223. https://doi.org/10.3390/universe6120223
Ventura P, Marini E, Tosi S, Dell’Agli F. Studying Asymptotic Giant Branch Stars in the JWST Era. Universe. 2020; 6(12):223. https://doi.org/10.3390/universe6120223
Chicago/Turabian StyleVentura, Paolo, Ester Marini, Silvia Tosi, and Flavia Dell’Agli. 2020. "Studying Asymptotic Giant Branch Stars in the JWST Era" Universe 6, no. 12: 223. https://doi.org/10.3390/universe6120223
APA StyleVentura, P., Marini, E., Tosi, S., & Dell’Agli, F. (2020). Studying Asymptotic Giant Branch Stars in the JWST Era. Universe, 6(12), 223. https://doi.org/10.3390/universe6120223
