Foliation-Based Approach to Quantum Gravity and Applications to Astrophysics
Abstract
:1. Introduction
2. Overview of “What Has Been Done Differently”
3. Foliation-Based Quantization
3.1. Einstein Gravity Case
3.2. Einstein–Maxwell Case
3.3. Mathematical Foundations for Reduction
4. Boundary Conditions and Dynamics
4.1. Actively-Transformed Metric
4.2. Dirichlet Boundary Condition
4.3. Neumann Boundary Conditions and Generalization
4.4. Reduced Action and Boundary Dynamics
Static Backgrounds
General Backgrounds
4.5. Ramifications of Boundary Dynamics
4.5.1. Symmetry Aspects of the 3D Theory
BMS Symmetry in the Context of Boundary Dynamics
Noether Charge Non-Conservation
4.5.2. Implications for Black Hole Information
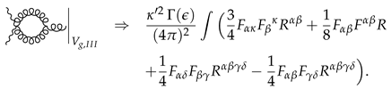
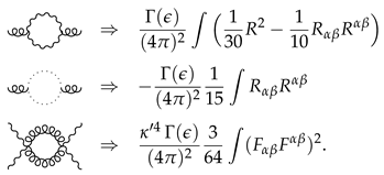
5. One-Loop Renormalization
5.1. Gravity Sector
5.2. Refined BFM-Based Loop Computation Setup
5.3. Flat Space Analysis
5.3.1. Two-Point Diagrams
5.3.2. On Restoring Gauge-Choice Independence
5.4. Renormalization Procedure
5.4.1. Renormalization of Coupling Constants
5.4.2. Renormalization through Metric Field Redefinition
5.5. Beta Function Analysis
6. Future Astrophysical Applications
Funding
Conflicts of Interest
Abbreviations
| LQG | Loop quantum gravity |
| BFM | Background field method |
| ADM | Arnowitt Deser Misner |
| LGT | Large gauge transformation |
| BMS | Bondi Metzner Sachs |
| GHY | Gibbons–Hawking–York |
| AGN | Active galactic nuclei |
References
- DeWitt, B.S. Quantum Field Theory in Curved Space-Time. Phys. Rep. 1975, 19, 295–357. [Google Scholar] [CrossRef]
- ’t Hooft, G.; Veltman, M.J.G. One loop divergencies in the theory of gravitation. Ann. Poincare Phys. Theor. A 1974, 20, 69–94. [Google Scholar]
- Stelle, K.S. Renormalization of Higher Derivative Quantum Gravity. Phys. Rev. D 1977, 16, 953–969. [Google Scholar] [CrossRef]
- Antoniadis, I.; Tomboulis, E.T. Gauge Invariance and Unitarity in Higher Derivative Quantum Gravity. Phys. Rev. D 1986, 33, 2756–2779. [Google Scholar] [CrossRef]
- Weinberg, S. General Relativity, an Einstein Centenary Survey; Hawking, S., Israel, W., Eds.; CUP Archive: Cambridge, UK, 1979. [Google Scholar]
- Reuter, M. Nonperturbative evolution equation for quantum gravity. Phys. Rev. D 1998, 57, 971–985. [Google Scholar] [CrossRef]
- Laiho, J.; Coumbe, D. Evidence for Asymptotic Safety from Lattice Quantum Gravity. Phys. Rev. Lett. 2011, 107, 161301. [Google Scholar] [CrossRef] [PubMed]
- Donoghue, J.F. General relativity as an effective field theory: The leading quantum corrections. Phys. Rev. D 1994, 50, 3874–3888. [Google Scholar] [CrossRef]
- Ashtekar, A. New Variables for Classical and Quantum Gravity. Phys. Rev. Lett. 1986, 57, 2244–2247. [Google Scholar] [CrossRef] [PubMed]
- Thiemann, T. Modern Canonical Quantum General Relativity; Cambridge University Press: Cambridge, UK, 2007; p. 819. [Google Scholar]
- Ambjorn, J.; Goerlich, A.; Jurkiewicz, J.; Loll, R. Nonperturbative Quantum Gravity. Phys. Rep. 2012, 519, 127–212. [Google Scholar] [CrossRef]
- Birrell, N.D.; Davies, P.C.W. Quantum Fields in Curved Space; Cambridge University Press: Cambridge, UK, 1982. [Google Scholar]
- Barvinsky, A.O.; Vilkovisky, G.A. The Generalized Schwinger-Dewitt Technique in Gauge Theories and Quantum Gravity. Phys. Rep. 1985, 119, 1–74. [Google Scholar] [CrossRef]
- Buchbinder, I.L.; Odintsov, S.D.; Shapiro, I.L. Effective Action in Quantum Gravity; IOP Publishing: Bristol, UK, 1992. [Google Scholar]
- Frolov, V.P.; Novikov, I.D. Black Hole Physics: Basic Concepts and New Developments; Springer: Berlin/Heidelberg, Germany, 1998. [Google Scholar]
- Mukhanov, V.F.; Winitzki, S. Introduction to Quantum Effects in Gravity; Cambridge University Press: Cambridge, UK, 2007. [Google Scholar]
- Carlip, S. Quantum gravity: A Progress report. Rept. Prog. Phys. 2001, 64, 885. [Google Scholar] [CrossRef]
- Woodard, R.P. Perturbative Quantum Gravity Comes of Age. Int. J. Mod. Phys. D 2014, 23, 1430020. [Google Scholar] [CrossRef]
- Park, I.Y. Hypersurface foliation approach to renormalization of ADM formulation of gravity. Eur. Phys. J. C 2015, 75, 459. [Google Scholar] [CrossRef]
- Park, I.Y. Mathematical foundation of foliation-based quantization. Adv. Theor. Math. Phys. 2018, 22, 247–260. [Google Scholar] [CrossRef]
- Park, I.Y. Foliation, jet bundle and quantization of Einstein gravity. Front. Phys. 2016, 4, 25. [Google Scholar] [CrossRef]
- Park, I.Y. Fundamental versus solitonic description of D3-branes. Phys. Lett. B 1999, 468, 213–218. [Google Scholar] [CrossRef]
- York, J.W., Jr. Role of conformal three geometry in the dynamics of gravitation. Phys. Rev. Lett. 1972, 28, 1082–1085. [Google Scholar] [CrossRef]
- ’t Hooft, G. Dimensional reduction in quantum gravity. arXiv, 1993; arXiv:gr-qc/9310026. [Google Scholar]
- Park, I.Y. Lagrangian constraints and renormalization of 4D gravity. J. High Energy Phys. 2015, 2015, 053. [Google Scholar] [CrossRef]
- Park, I.Y. 4D covariance of holographic quantization of Einstein gravity. Theor. Math. Phys. 2018, 195, 745–763. [Google Scholar] [CrossRef]
- Vilkovisky, G.A. The Unique Effective Action in Quantum Field Theory. Nucl. Phys. B 1984, 234, 125–137. [Google Scholar] [CrossRef]
- Fradkin, E.S.; Tseytlin, A.A. On the New Definition of Off-shell Effective Action. Nucl. Phys. B 1984, 234, 509–523. [Google Scholar] [CrossRef]
- Huggins, S.R.; Kunstatter, G.; Leivo, H.P.; Toms, D.J. The Vilkovisky-de Witt Effective Action for Quantum Gravity. Nucl. Phys. B 1988, 301, 627–660. [Google Scholar] [CrossRef]
- Toms, D.J. Quantum gravity and charge renormalization. Phys. Rev. D 2007, 76, 045015. [Google Scholar] [CrossRef]
- Odintsov, S.D. The Parametrization Invariant and Gauge Invariant Effective Actions in Quantum Field Theory. Fortsch. Phys. 1990, 38, 371–391. [Google Scholar] [CrossRef]
- Odintsov, S.D. Vilkovisky effective action in quantum gravity with matter. Theor. Math. Phys. 1990, 82, 45–51, [Teor. Mat. Fiz. 1990, 82, 66–74.]. [Google Scholar] [CrossRef]
- Odintsov, S.D.; Shevchenko, I.N. Gauge invariant and gauge fixing independent effective action in one loop quantum gravity. Fortsch. Phys. 1993, 41, 719–736, [Yad. Fiz. 1992, 55, 1136–1145.] [Sov. J. Nucl. Phys. 55]. [Google Scholar]
- Falls, K. Renormalization of Newton’s constant. Phys. Rev. D 2015, 92, 124057. [Google Scholar] [CrossRef]
- Arnowitt, R.L.; Deser, S.; Misner, C.W. The Dynamics of general relativity. Gen. Rel. Grav. 2008, 40, 1997–2027. [Google Scholar] [CrossRef]
- Park, I.Y. Foliation-based quantization and black hole information. Class. Quant. Grav. 2017, 34, 245005. [Google Scholar] [CrossRef]
- Henningson, M.; Skenderis, K. The Holographic Weyl anomaly. J. High Energy Phys. 1998, 1998, 23. [Google Scholar] [CrossRef]
- ’t Hooft, G. An algorithm for the poles at dimension four in the dimensional regularization procedure. Nucl. Phys. B 1973, 62, 444–460. [Google Scholar] [CrossRef]
- Park, I.Y. Strong coupling limit of open strings: Born-Infeld analysis. Phys. Rev. D 2001, 64, 081901. [Google Scholar] [CrossRef]
- Hatefi, E.; Nurmagambetov, A.J.; Park, I.Y. ADM reduction of IIB on Hp,q to dS braneworld. J. High Energy Phys. 2013, 2013, 170. [Google Scholar] [CrossRef]
- Park, I.Y. Holographic quantization of gravity in a black hole background. J. Math. Phys. 2016, 57, 022305. [Google Scholar] [CrossRef]
- Kuchar, K. Ground state functional of the linearized gravitational field. J. Math. Phys. 1970, 11, 3322–3334. [Google Scholar] [CrossRef]
- Gibbons, G.W.; Hawking, S.W.; Perry, M.J. Path Integrals and the Indefiniteness of the Gravitational Action. Nucl. Phys. B 1978, 138, 141–150. [Google Scholar] [CrossRef]
- Mazur, P.O.; Mottola, E. The Gravitational Measure, Solution of the Conformal Factor Problem and Stability of the Ground State of Quantum Gravity. Nucl. Phys. B 1990, 341, 187–212. [Google Scholar] [CrossRef]
- Ortin, T. Gravity and Strings; Cambridge University Press: Cambridge, UK, 2004. [Google Scholar]
- Park, I.Y. Reduction of gravity-matter and dS gravity to hypersurface. Int. J. Geom. Meth. Mod. Phys. 2017, 14, 1750092. [Google Scholar] [CrossRef]
- Poisson, E. A Relativists’ Toolkit; Cambridge University Press: Cambridge, UK, 2004. [Google Scholar]
- Smarr, L.; York, J.W., Jr. Radiation gauge in general relativity. Phys. Rev. D 1978, 17, 1945–1956. [Google Scholar] [CrossRef]
- Witten, E. A Note On Boundary Conditions In Euclidean Gravity. arXiv, 2018; arXiv:1805.11559. [Google Scholar]
- Park, I.Y. Boundary dynamics in gravitational theories. arXiv, 2018; arXiv:1811.03688. [Google Scholar]
- Park, I.Y. One-loop renormalization of a gravity-scalar system. Eur. Phys. J. C 2017, 77, 337. [Google Scholar] [CrossRef]
- Higuchi, A. Quantum linearization instabilities of de Sitter space-time. 1. Class. Quant. Grav. 1991, 8, 1961. [Google Scholar] [CrossRef]
- Cairns, G. A general description of totally geodesic foliations. Tôhoku Math. J. 1986, 38, 37–55. [Google Scholar] [CrossRef]
- Molino, P. Riemannian Foliations; Birkhäuser: Boston, MA, USA, 1988. [Google Scholar]
- Saunders, D.J. The Geometry of Jet Bundles; Cambridge University Press: Cambridge, UK, 1989. [Google Scholar]
- Fatibene, L.; Francaviglia, M. Natural and Gauge Natural Formalism for Classical Field Theorie: A Geometric Perspective Including Spinors and Gauge Theories; Springer: Berlin/Heidelberg, Germany, 2003. [Google Scholar]
- Mangiarotti, L.; Sardanashvily, G. Connections in Classical and Quantum Field Theory; World Scientific: Singapore, 2000. [Google Scholar]
- Cendra, H.; Marsden, J.E.; Ratiu, T.S. Lagrangian Reduction by Stages; Memoirs of the American Mathematical Society: Providence, RI, USA, 2001; Volume 152, p. 108. [Google Scholar]
- Marsden, J.E.; Misiolek, G.; Ortega, J.-P.; Perlmutter, M.; Ratiu, T.S. Hamiltonian Reduction by Stages; Springer: Berlin/Heidelberg, Germany, 2007. [Google Scholar]
- Park, I.Y. Quantum violation of Dirichlet boundary condition. Phys. Lett. B 2017, 765, 260–264. [Google Scholar] [CrossRef]
- James, F.; Park, I.Y. Quantum gravitational effects on boundary. Theor. Math. Phys. 2018, 195, 605. [Google Scholar] [CrossRef]
- Bondi, H.; van der Burg, M.G.J.; Metzner, A.W.K. Gravitational waves in general relativity. 7. Waves from axisymmetric isolated systems. Proc. R. Soc. Lond. A 1962, 269, 21–52. [Google Scholar]
- Sachs, R.K. Gravitational waves in general relativity. 8. Waves in asymptotically flat space-times. Proc. R. Soc. Lond. A 1962, 270, 103–126. [Google Scholar]
- Padmanabhan, T. A short note on the boundary term for the Hilbert action. Mod. Phys. Lett. A 2014, 29, 1450037. [Google Scholar] [CrossRef]
- Krishnan, C.; Raju, A. A Neumann Boundary Term for Gravity. Mod. Phys. Lett. A 2017, 32, 1750077. [Google Scholar] [CrossRef]
- Krishnan, C.; Kumar, K.V.P.; Raju, A. An alternative path integral for quantum gravity. J. High Energy Phys. 2016, 2016, 043. [Google Scholar] [CrossRef]
- Sato, M.; Tsuchiya, A. Born-Infeld action from supergravity. Prog. Theor. Phys. 2003, 109, 687–707. [Google Scholar] [CrossRef]
- Deruelle, N.; Sasaki, M.; Sendouda, Y.; Yamauchi, D. Hamiltonian formulation of f(Riemann) theories of gravity. Prog. Theor. Phys. 2010, 123, 169–185. [Google Scholar] [CrossRef]
- Park, I.Y. ADM reduction of Einstein action and black hole entropy. Fortsch. Phys. 2014, 62, 950–965. [Google Scholar] [CrossRef]
- Park, I.Y. Dimensional reduction to hypersurface of foliation. Fortsch. Phys. 2014, 62, 966–974. [Google Scholar] [CrossRef]
- Haco, S.J.; Hawking, S.W.; Perry, M.J.; Bourjaily, J.L. The Conformal BMS Group. J. High Energy Phys. 2017, 2017, 012. [Google Scholar] [CrossRef]
- Ashtekar, A.; Hansen, R.O. A unified treatment of null and spatial infinity in general relativity. I—Universal structure, asymptotic symmetries, and conserved quantities at spatial infinity. J. Math. Phys. 1978, 19, 1542–1566. [Google Scholar] [CrossRef]
- Padmanabhan, T. Thermodynamical Aspects of Gravity: New insights. Rep. Prog. Phys. 2010, 73, 046901. [Google Scholar] [CrossRef]
- James, F.; Park, I.Y. On the pattern of black hole information release. Int. J. Mod. Phys. A 2014, 29, 1450047. [Google Scholar]
- Freidel, L.; Perez, A.; Pranzetti, D. Loop gravity string. Phys. Rev. D 2017, 95, 106002. [Google Scholar] [CrossRef]
- Strominger, A. Lectures on the Infrared Structure of Gravity and Gauge Theory; Princeton University Press: Princeton, NJ, USA, 2018. [Google Scholar]
- Kallosh, R.E.; Tarasov, O.V.; Tyutin, I.V. One Loop Finiteness Of Quantum Gravity Off Mass Shell. Nucl. Phys. B 1978, 137, 145–163. [Google Scholar] [CrossRef]
- Capper, D.M.; Dulwich, J.J.; Medrano, M.R. The Background Field Method for Quantum Gravity at Two Loops. Nucl. Phys. B 1985, 254, 737–746. [Google Scholar] [CrossRef]
- Antoniadis, I.; Iliopoulos, J.; Tomaras, T.N. One loop effective action around de Sitter space. Nucl. Phys. B 1996, 462, 437–452. [Google Scholar] [CrossRef]
- Deser, S.; van Nieuwenhuizen, P. One Loop Divergences of Quantized Einstein-Maxwell Fields. Phys. Rev. D 1974, 10, 401. [Google Scholar] [CrossRef]
- Sterman, G. An Introduction to Quantum Field Theory; Cambridge University Press: Cambridge, UK, 1993. [Google Scholar]
- Park, I.Y. Renormalization of Einstein-Maxwell theory at one-loop. arXiv, 2018; arXiv:1807.11595. [Google Scholar]
- Weinberg, S. The Quantum Theory of Fields; Cambridge University Press: Cambridge, UK, 1995; Volume II. [Google Scholar]
- Goroff, M.H.; Sagnotti, A. The Ultraviolet Behavior of Einstein Gravity. Nucl. Phys. B 1986, 266, 709–736. [Google Scholar] [CrossRef]
- Toms, D.J. Cosmological constant and quantum gravitational corrections to the running fine structure constant. Phys. Rev. Lett. 2008, 101, 131301. [Google Scholar] [CrossRef] [PubMed]
- Park, I.Y. Quantum-corrected Geometry of Horizon Vicinity. Fortsch. Phys. 2017, 65, 1700038. [Google Scholar] [CrossRef]
- Nurmagambetov, A.J.; Park, I.Y. Quantum-induced trans-Planckian energy near horizon. J. High Energy Phys. 2018, 2018, 167. [Google Scholar] [CrossRef]
- Kawai, H.; Yokokura, Y. A Model of Black Hole Evaporation and 4D Weyl Anomaly. Universe 2017, 3, 51. [Google Scholar] [CrossRef]
- Almheiri, A.; Marolf, D.; Polchinski, J.; Sully, J. Black Holes: Complementarity or Firewalls? J. High Energy Phys. 2013, 2013, 062. [Google Scholar] [CrossRef]
- Braunstein, S.L.; Pirandola, S.; Zyczkowski, K. Better Late than Never: Information Retrieval from Black Holes. Phys. Rev. Lett. 2013, 110, 101301. [Google Scholar] [CrossRef] [PubMed]
- Murata, K.; Kinoshita, S.; Tanahashi, N. Non-equilibrium Condensation Process in a Holographic Superconductor. J. High Energy Phys. 2010, 2010, 050. [Google Scholar] [CrossRef]
- Giddings, S.B. Nonviolent unitarization: Basic postulates to soft quantum structure of black holes. J. High Energy Phys. 2017, 2017, 047. [Google Scholar] [CrossRef]
- Dey, R.; Liberati, S.; Pranzetti, D. The black hole quantum atmosphere. Phys. Lett. B 2017, 774, 308–316. [Google Scholar] [CrossRef]
- Ballentine, L.E. Quantum Mechanics: A Modern Development; World Scientific Publishing: Singapore, 1998. [Google Scholar]
| 1. | More on this in Section 2. |
| 2. | As stressed in [19], the reduced theory is not a genuine 3D theory, but still a 4D theory whose dynamics can be described through the hypersurface. |
| 3. | Such a direct calculation is normally done in non-gravitational theories. However, it appears that the same procedure has not been implemented in a gravitational theory. The reason is presumably that such an attempt would have run into non-covariance, as we will review below. |
| 4. | Although the present scheme of the “holographic quantization" may sound similar to the well-known idea of holographic renormalization [37], the two ideas are not directly related. While in the holographic renormalization one usually studies the renormalization of the composite operators of the boundary theory (assisted by the classical bulk theory), the focus of the present holographic quantization is the renormalizability and renormalization of the bulk theory. |
| 5. | A careful treatment of the boundary term can be found in [41]. |
| 6. | For the perturbative quantization one needs to compute the propagator. However, it was noticed long ago [42,43,44] that the path integral is not well defined due to the trace mode of the fluctuation metric . The problematic trace piece must be gauge-fixed. (The need for gauge-fixing of the trace piece is already revealed at the classical level, as we will note in Section 4.) In fact, the set of the gauge-fixings just mentioned leads to natural gauge-fixing of the trace piece as well. To see this let us consider the first equation of the de Donder gauge in (10), which we quote here for convenience:
Since the lapse function n has been gauge-fixed to its classical value, this equation implies the trace piece of the second fundamental form is also gauge-fixed to its classical value [41,49]:
|
| 7. | As for a curved background such as a Schwarzschild or Kerr black hole, the constraint can be satisfied by choosing the fluctuation part of the vector field to be independent of r. (For this see the analysis in [50]—which is reviewed below.) The leading order part is just the classical field equation. |
| 8. | |
| 9. | |
| 10. | We have essentially checked this before by using the 4D covariant setup in Section 4.1. |
| 11. | As we will show, the direct analysis requires several crucial steps. In retrospect, those steps must have obstructed one’s attempts to calculate directly in the past. |
| 12. | To carry out renormalization, one starts with the renormalized form of the action:
|
| 13. | This is so at two- and higher- loops. At one-loop, the problematic Riemann tensor square term can be expressed in terms of other terms through the topological identity as discussed in Section 2. |
| 14. | The analysis can also be viewed as the computation of the divergences in a curved background; the flat space analysis captures them since the ultraviolet divergence is a short-distance phenomenon. |
| 15. | The linear terms are removed by appropriate counterterms (see, e.g., [81] for the comments on this point). |
| 16. | The first-layer perturbation should be particularly useful for two- and higher-loop analyses. |
| 17. | |
| 18. | These ghost terms correspond to the following transformations of the fluctuation fields [80]:
|
| 19. | The vector coupling constant is often suppressed. |
| 20. | The discussion here is for a flat spacetime, but the divergence will be quite generically produced for an arbitrary background. |
| 21. | For instance, the identities in (194) and (199) often obscure cancellations between the bosonic and fermionic amplitudes in a supersymmetric field theory, making them vanish separately. |
| 22. | Note that in [85] is twice here. |
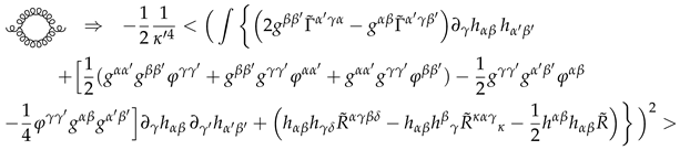
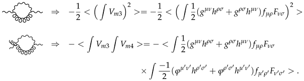
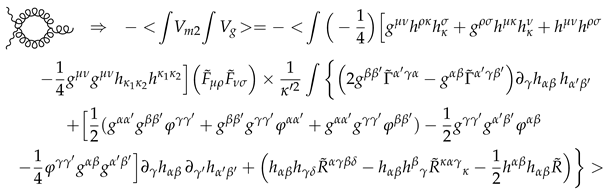
| 23. | In a schematic notation, the formula reads
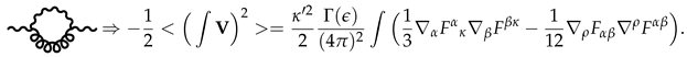
|
| 24. | Incidentally it also turns out that the result (230) remains the same even if one employs the traceful propagator, which should be a coincidence. |
| 25. | The precise forms of the required boundary condition with the corresponding GHY-type terms will not be pursued in the present work. We will assume that such a boundary condition exists, and examine the implications of the series solution given in (243) and (244). |








© 2019 by the author. Licensee MDPI, Basel, Switzerland. This article is an open access article distributed under the terms and conditions of the Creative Commons Attribution (CC BY) license (http://creativecommons.org/licenses/by/4.0/).
Share and Cite
Park, I. Foliation-Based Approach to Quantum Gravity and Applications to Astrophysics. Universe 2019, 5, 71. https://doi.org/10.3390/universe5030071
Park I. Foliation-Based Approach to Quantum Gravity and Applications to Astrophysics. Universe. 2019; 5(3):71. https://doi.org/10.3390/universe5030071
Chicago/Turabian StylePark, Inyong. 2019. "Foliation-Based Approach to Quantum Gravity and Applications to Astrophysics" Universe 5, no. 3: 71. https://doi.org/10.3390/universe5030071
APA StylePark, I. (2019). Foliation-Based Approach to Quantum Gravity and Applications to Astrophysics. Universe, 5(3), 71. https://doi.org/10.3390/universe5030071
