EHT Constraint on the Ultralight Scalar Hair of the M87 Supermassive Black Hole
Abstract
1. Introduction
2. The Hair Formation and Hair Instability Timescales
3. The Selected Part of the Domain of Existence
4. The Kerr BH Shadow
4.1. Two Cases for Which the Kerr Shadow Areal Radius Is Exactly Computable
4.2. An Approximation for the Areal Radius of the Kerr Shadow
5. Hairy BHs Shadow in the Considered Domain of Existence
Hairy BH Shadow Approximation for
6. Application to the M87 BH Shadow
7. Final Remarks
- In Equation (1) we considered the resonant mass corresponding to the most efficient superradiant scenario, which in particular assumes a near extremal Kerr BH. If the spin is not near extremal (i.e., ideal to make superradiance as efficient as possible) this changes the ideal value of given in Equation (1) in the text and, most importantly, it reduces the efficiency of the process and increases the timescale—see Figure 6 of [18]. As the dimensionless spin of the Kerr BH varies from to , the timescale at maximal efficiency can vary by almost four orders of magnitude. This still allows the formation of scalar hair in less than 1% of a Hubble time in the M87 case: for maximal efficiency the time scale was years for the M87 mass. This variation in the most efficient could push down slightly, but not significantly, the lower end value of the interesting mass range given in Equation (3).
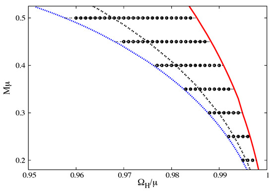
- Although we have considered that the most interesting mass interval in the context of our analysis is given by Equation (3), the analysis of hairy BH solutions was performed in a different mass range, cf. Figure 1. This was justified in Section 3 and we believe the main conclusions are not substantially affected by this choice of sample.
- Our work assumes the scalar hair around M87 is truly stationary, described by a minimally coupled massive, complex scalar field and forms from superradiance. If other mechanisms can form hairier BHs, or for other sorts of BHs with scalar hair (even if only approximately stationary), our conclusions do not apply, as, for example, in the scenario discussed in [47,55].
- In this paper we have used a single number (the shadow aerial radius) to set constraints. Other shadow measures could also be introduced (e.g., shadow deviation from a circle). However, due to the precision of the EHT measurement, such quantities would be too poorly constrained, at the moment. Such an analysis will be certainly interesting when more precise observations become possible.
- We have assumed that the M87 BH spin makes an angle of with the line of sight, as suggested from the jet [43] and also assumed by the EHT analysis.
- We have assumed that there is an offset of about 10% between the size of the photon ring and the emission ring observed by the EHT. For Kerr this is justified by numerical GRMHD simulations—see also [56,57] for a discussion on this point. Since the hairy BHs in the region of interest are not very hairy, it is conceivable this offset is of a similar order.
- The gas data [20] was included in our discussion for completeness, as it was in the EHT paper VI [16]. However, this data is under tension even with the Kerr hypothesis, as discussed in detail in [16]. If the gas observations were to hold, they would have major implications concerning the Kerr paradigm. The conclusion that could be extracted here from this data is not different from the EHT paper: it is in tension with the models that were considered (including Kerr).
Author Contributions
Funding
Conflicts of Interest
References
- Kerr, R.P. Gravitational field of a spinning mass as an example of algebraically special metrics. Phys. Rev. Lett. 1963, 11, 237–238. [Google Scholar] [CrossRef]
- Suárez, A.; Robles, V.H.; Matos, T. A Review on the Scalar Field/Bose-Einstein Condensate Dark Matter Model. Astrophys. Space Sci. Proc. 2014, 38, 107–142. [Google Scholar]
- Hui, L.; Ostriker, J.P.; Tremaine, S.; Witten, E. Ultralight scalars as cosmological dark matter. Phys. Rev. 2017, D95, 043541. [Google Scholar] [CrossRef]
- Visinelli, L.; Vagnozzi, S. Cosmological window onto the string axiverse and the supersymmetry breaking scale. Phys. Rev. 2019, D99, 063517. [Google Scholar] [CrossRef]
- Peccei, R.D.; Quinn, H.R. CP Conservation in the Presence of Instantons. Phys. Rev. Lett. 1977, 38, 1440–1443. [Google Scholar] [CrossRef]
- Arvanitaki, A.; Dimopoulos, S.; Dubovsky, S.; Kaloper, N.; March-Russell, J. String Axiverse. Phys. Rev. 2010, D81, 123530. [Google Scholar] [CrossRef]
- Press, W.H.; Teukolsky, S.A. Floating Orbits, Superradiant Scattering and the Black-hole Bomb. Nature 1972, 238, 211–212. [Google Scholar] [CrossRef]
- Brito, R.; Cardoso, V.; Pani, P. Superradiance. Lect. Notes Phys. 2015, 906, 1–237. [Google Scholar]
- Arvanitaki, A.; Dubovsky, S. Exploring the String Axiverse with Precision Black Hole Physics. Phys. Rev. 2011, D83, 044026. [Google Scholar] [CrossRef]
- Herdeiro, C.A.R.; Radu, E. Kerr black holes with scalar hair. Phys. Rev. Lett. 2014, 112, 221101. [Google Scholar] [CrossRef]
- Herdeiro, C.; Radu, E. Ergosurfaces for Kerr black holes with scalar hair. Phys. Rev. 2014, D89, 124018. [Google Scholar] [CrossRef]
- Ganchev, B.; Santos, J.E. Scalar Hairy Black Holes in Four Dimensions are Unstable. Phys. Rev. Lett. 2018, 120, 171101. [Google Scholar] [CrossRef] [PubMed]
- Degollado, J.C.; Herdeiro, C.A.R.; Radu, E. Effective stability against superradiance of Kerr black holes with synchronised hair. Phys. Lett. 2018, B781, 651–655. [Google Scholar] [CrossRef]
- Akiyama, K.; Alberdi, A.; Alef, W.; Asada, K.; Azulay, R.; Baczko, A.-K.; Ball, D.; Baloković, M.; Barrett, J.; Bintley, D.; et al. [The Event Horizon Telescope Collaboration]. First M87 Event Horizon Telescope Results. I. The Shadow of the Supermassive Black Hole. Astrophys. J. 2019, 875, L1. [Google Scholar]
- Akiyama, K.; Alberdi, A.; Alef, W.; Asada, K.; Azulay, R.; Baczko, A.-K.; Ball, D.; Baloković, M.; Barrett, J.; Bintley, D.; et al. [The Event Horizon Telescope Collaboration]. First M87 Event Horizon Telescope Results. V. Physical Origin of the Asymmetric Ring. Astrophys. J. 2019, 875, L5. [Google Scholar]
- Akiyama, K.; Alberdi, A.; Alef, W.; Asada, K.; Azulay, R.; Baczko, A.-K.; Ball, D.; Baloković, M.; Barrett, J.; Bintley, D.; et al. [The Event Horizon Telescope Collaboration]. First M87 Event Horizon Telescope Results. VI. The Shadow and Mass of the Central Black Hole. Astrophys. J. 2019, 875, L6. [Google Scholar]
- Cunha, P.V.P.; Herdeiro, C.A.R.; Radu, E.; Runarsson, H.F. Shadows of Kerr black holes with scalar hair. Phys. Rev. Lett. 2015, 115, 211102. [Google Scholar] [CrossRef]
- Dolan, S.R. Instability of the massive Klein-Gordon field on the Kerr spacetime. Phys. Rev. 2007, D76, 084001. [Google Scholar] [CrossRef]
- Gebhardt, K.; Adams, J.; Richstone, D.; Lauer, T.R.; Faber, S.M.; Gultekin, K.; Murphy, J.; Tremaine, S. The Black-Hole Mass in M87 from Gemini/NIFS Adaptive Optics Observations. Astrophys. J. 2011, 729, 119. [Google Scholar] [CrossRef]
- Walsh, J.L.; Barth, A.J.; Ho, L.C.; Sarzi, M. The M87 Black Hole Mass from Gas-dynamical Models of Space Telescope Imaging Spectrograph Observations. Astrophys. J. 2013, 770, 86. [Google Scholar] [CrossRef]
- Nokhrina, E.E.; Gurvits, L.I.; Beskin, V.S.; Nakamura, M.; Asada, K.; Hada, K. M87 black hole mass and spin estimate through the position of the jet boundary shape break. Mon. Not. Roy. Astron. Soc. 2019, 489, 1197–1205. [Google Scholar] [CrossRef]
- Tamburini, F.; Thidé, B.; Valle, M.D. Measurement of the spin of the M87 black hole from its observed twisted light. arXiv 2019, arXiv:1904.07923. [Google Scholar]
- Detweiler, S.L. Klein-Gordon equation and rotating black holes. Phys. Rev. 1980, D22, 2323–2326. [Google Scholar] [CrossRef]
- Zouros, T.J.M.; Eardley, D.M. Instabilities of massive scalar perturbations of a rotating black hole. Annals Phys. 1979, 118, 139–155. [Google Scholar] [CrossRef]
- Volonteri, M.; Haardt, F.; Madau, P. The Assembly and merging history of supermassive black holes in hierarchical models of galaxy formation. Astrophys. J. 2003, 582, 559–573. [Google Scholar] [CrossRef]
- East, W.E.; Pretorius, F. Superradiant Instability and Backreaction of Massive Vector Fields around Kerr Black Holes. Phys. Rev. Lett. 2017, 119, 041101. [Google Scholar] [CrossRef]
- Herdeiro, C.A.R.; Radu, E. Dynamical Formation of Kerr Black Holes with Synchronized Hair: An Analytic Model. Phys. Rev. Lett. 2017, 119, 261101. [Google Scholar] [CrossRef]
- Herdeiro, C.; Radu, E.; Runarsson, H. Kerr black holes with Proca hair. Class. Quant. Grav. 2016, 33, 154001. [Google Scholar] [CrossRef]
- Brito, R.; Cardoso, V.; Pani, P. Black holes as particle detectors: Evolution of superradiant instabilities. Class. Quant. Grav. 2015, 32, 134001. [Google Scholar] [CrossRef]
- Herdeiro, C.; Radu, E. Construction and physical properties of Kerr black holes with scalar hair. Class. Quant. Grav. 2015, 32, 144001. [Google Scholar] [CrossRef]
- Cunha, P.V.P.; Grover, J.; Herdeiro, C.; Radu, E.; Runarsson, H.; Wittig, A. Chaotic lensing around boson stars and Kerr black holes with scalar hair. Phys. Rev. 2016, D94, 104023. [Google Scholar] [CrossRef]
- Vincent, F.H.; Gourgoulhon, E.; Herdeiro, C.; Radu, E. Astrophysical imaging of Kerr black holes with scalar hair. Phys. Rev. 2016, D94, 084045. [Google Scholar] [CrossRef]
- Delgado, J.F.M.; Herdeiro, C.A.R.; Radu, E. Violations of the Kerr and Reissner-Nordström bounds: Horizon versus asymptotic quantities. Phys. Rev. 2016, D94, 024006. [Google Scholar] [CrossRef]
- Synge, J.L. The Escape of Photons from Gravitationally Intense Stars. Mon. Not. Roy. Astron. Soc. 1966, 131, 463–466. [Google Scholar] [CrossRef]
- Bardeen, J.M. Timelike and Null Geodesies in the Kerr Metric. In Black Holes; Witt, C., Witt, B., Eds.; CRC Press: Boca Raton, FL, USA, 1973; p. 215. [Google Scholar]
- Luminet, J.P. Image of a spherical black hole with thin accretion disk. Astron. Astrophys. 1979, 75, 228–235. [Google Scholar]
- Luminet, J.P. An Illustrated History of Black Hole Imaging: Personal Recollections (1972–2002). arXiv 2019, arXiv:1902.11196. [Google Scholar]
- Falcke, H.; Melia, F.; Agol, E. Viewing the shadow of the black hole at the galactic center. Astrophys. J. 2000, 528, L13. [Google Scholar] [CrossRef]
- Cunha, P.V.P.; Herdeiro, C.A.R. Shadows and strong gravitational lensing: A brief review. Gen. Rel. Grav. 2018, 50, 42. [Google Scholar] [CrossRef]
- Cunha, P.V.P.; Herdeiro, C.A.R.; Radu, E.; Runarsson, H.F. Shadows of Kerr black holes with and without scalar hair. Int. J. Mod. Phys. 2016, D25, 1641021. [Google Scholar] [CrossRef]
- Grenzebach, A.; Perlick, V.; Lämmerzahl, C. Photon Regions and Shadows of Accelerated Black Holes. Int. J. Mod. Phys. 2015, D24, 1542024. [Google Scholar] [CrossRef]
- Teo, E. Spherical photon orbits around a kerr black hole. Gen. Relativ. Gravit. 2003, 35, 1909–1926. [Google Scholar] [CrossRef]
- Walker, R.C.; Hardee, P.E.; Davies, F.B.; Ly, C.; Junor, W. The Structure and Dynamics of the Subparsec Jet in M87 Based on 50 VLBA Observations over 17 Years at 43 GHz. Astrophys. J. 2018, 855, 128. [Google Scholar] [CrossRef]
- Abbott, B.P.; Abbott, R.; Abbott, T.D.; Abernathy, M.R.; Acernese, F.; Ackley, K.; Adams, C.; Adams, T.; Addesso, P.; Adhikari, R.X.; et al. [LIGO Scientific Collaboration and Virgo Collaboration]. Observation of Gravitational Waves from a Binary Black Hole Merger. Phys. Rev. Lett. 2016, 116, 061102. [Google Scholar] [CrossRef] [PubMed]
- Abbott, B.P.; Abbott, R.; Abbott, T.D.; Abraham, S.; Acernese, F.; Ackley, K.; Adams, C.; Adhikari, R.X.; Adya, V.B.; Affeldt, C.; et al. [LIGO Scientific Collaboration and Virgo Collaboration]. GWTC-1: A Gravitational-Wave Transient Catalog of Compact Binary Mergers Observed by LIGO and Virgo during the First and Second Observing Runs. Phys. Rev. 2019, X9, 031040. [Google Scholar] [CrossRef]
- Davoudiasl, H.; Denton, P.B. Ultralight Boson Dark Matter and Event Horizon Telescope Observations of M87. Phys. Rev. Lett. 2019, 123, 021102. [Google Scholar] [CrossRef]
- Hui, L.; Kabat, D.; Li, X.; Santoni, L.; Wong, S.S.C. Black Hole Hair from Scalar Dark Matter. J. Cosmol. Astropart. Phys. 2019, 1906, 038. [Google Scholar] [CrossRef]
- Chen, Y.; Shu, J.; Xue, X.; Yuan, Q.; Zhao, Y. Probing Axions with Event Horizon Telescope Polarimetric Measurements. arXiv 2019, arXiv:1905.02213. [Google Scholar]
- Bar, N.; Blum, K.; Lacroix, T.; Panci, P. Looking for ultralight dark matter near supermassive black holes. J. Cosmol. Astropart. Phys. 2019, 1907, 045. [Google Scholar] [CrossRef]
- Roy, R.; Yajnik, U.A. Evolution of black hole shadow in the presence of ultralight bosons. arXiv 2019, arXiv:1906.03190. [Google Scholar]
- Bambi, C.; Freese, K.; Vagnozzi, S.; Visinelli, L. Testing the rotational nature of the supermassive object M87* from the circularity and size of its first image. Phys. Rev. 2019, D100, 044057. [Google Scholar] [CrossRef]
- Tian, S.X.; Zhu, Z.-H. Testing the Schwarzschild metric in a strong field region with the Event Horizon Telescope. Phys. Rev. 2019, D100, 064011. [Google Scholar] [CrossRef]
- Vagnozzi, S.; Visinelli, L. Hunting for extra dimensions in the shadow of M87*. Phys. Rev. 2019, D100, 024020. [Google Scholar] [CrossRef]
- Contreras, E.; Rincón, A.; Panotopoulos, G.; Bargueño, P.; Koch, B. Black hole shadow of a rotating scale–dependent black hole. arXiv 2019, arXiv:1906.06990. [Google Scholar]
- Clough, K.; Ferreira, P.G.; Lagos, M. Growth of massive scalar hair around a Schwarzschild black hole. Phys. Rev. 2019, D100, 063014. [Google Scholar] [CrossRef]
- Narayan, R.; Johnson, M.D.; Gammie, C.F. The Shadow of a Spherically Accreting Black Hole. Astrophys. J. 2019, 885, L33. [Google Scholar] [CrossRef]
- Gralla, S.E.; Holz, D.E.; Wald, R.M. Black Hole Shadows, Photon Rings, and Lensing Rings. Phys. Rev. 2019, D100, 024018. [Google Scholar] [CrossRef]
| 1. | For the considerations in this section this approximate value suffices. More accurate values will be considered in Section 6. This value is suggested from stellar dynamics [19] and favoured by the EHT observations [14]. A value half of this is suggested by gas dynamics [20]. The spin of the M87 BH is largely unknown, with different claims in the literature, see e.g., [21,22]. |
| 2. | The synchronization condition is an equilibrium requirement on the existence of these hairy BH solutions (i.e., within the valid domain in Figure 1), and it is not directly used in the rest of the analysis. |
| 3. | The shadow in the image domain is rescaled with respect to its angular size by a factor , see Equation (12). |
| 4. | Other possible measures for the shadow size can be found in the literature, e.g., see [41]. |
| 5. | This error was determined through a direct comparison of the approximate formula with the corresponding Kerr values. Recall that the Kerr shadow edge is known analytically and determining the shadow areal radius amounts to solving, numerically, the area integral. Thus the Kerr shadow areal radius, albeit obtained numerically, is computed with a precision considerably better than 0.8%. |




© 2019 by the authors. Licensee MDPI, Basel, Switzerland. This article is an open access article distributed under the terms and conditions of the Creative Commons Attribution (CC BY) license (http://creativecommons.org/licenses/by/4.0/).
Share and Cite
Cunha, P.V.P.; Herdeiro, C.A.R.; Radu, E. EHT Constraint on the Ultralight Scalar Hair of the M87 Supermassive Black Hole. Universe 2019, 5, 220. https://doi.org/10.3390/universe5120220
Cunha PVP, Herdeiro CAR, Radu E. EHT Constraint on the Ultralight Scalar Hair of the M87 Supermassive Black Hole. Universe. 2019; 5(12):220. https://doi.org/10.3390/universe5120220
Chicago/Turabian StyleCunha, Pedro V. P., Carlos A. R. Herdeiro, and Eugen Radu. 2019. "EHT Constraint on the Ultralight Scalar Hair of the M87 Supermassive Black Hole" Universe 5, no. 12: 220. https://doi.org/10.3390/universe5120220
APA StyleCunha, P. V. P., Herdeiro, C. A. R., & Radu, E. (2019). EHT Constraint on the Ultralight Scalar Hair of the M87 Supermassive Black Hole. Universe, 5(12), 220. https://doi.org/10.3390/universe5120220

