Investigating the Poor Match among Different Precessing Gravitational Waveforms
Abstract
1. Introduction
2. Comparison of Gravitational Waveforms
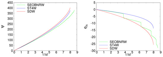
2.1. Method and Waveforms
2.2. Spin Aligned Case
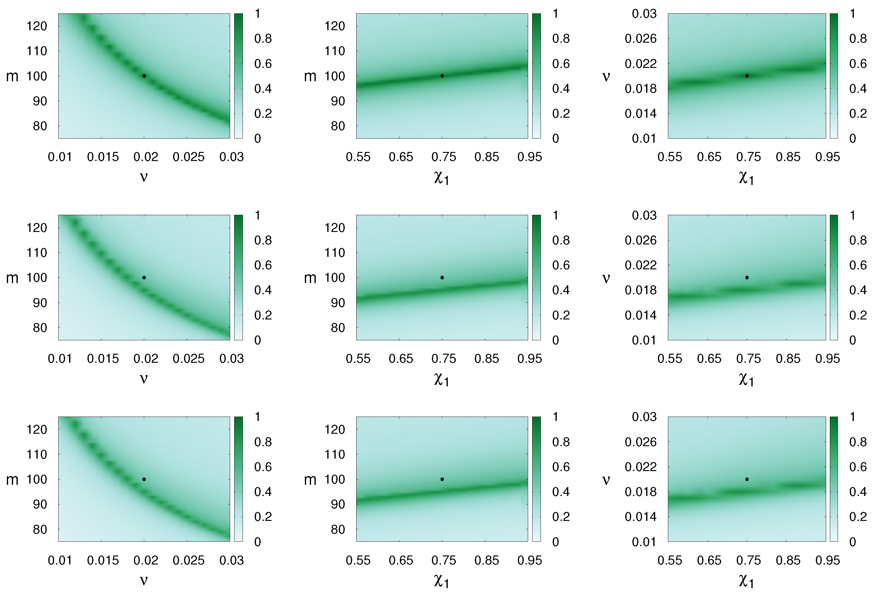
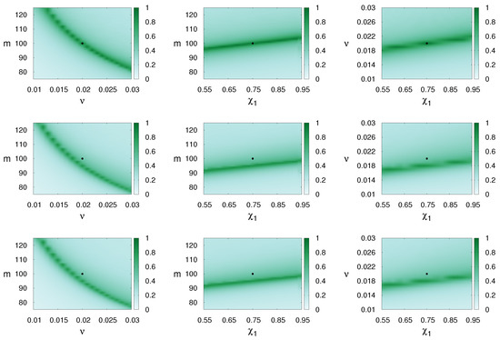
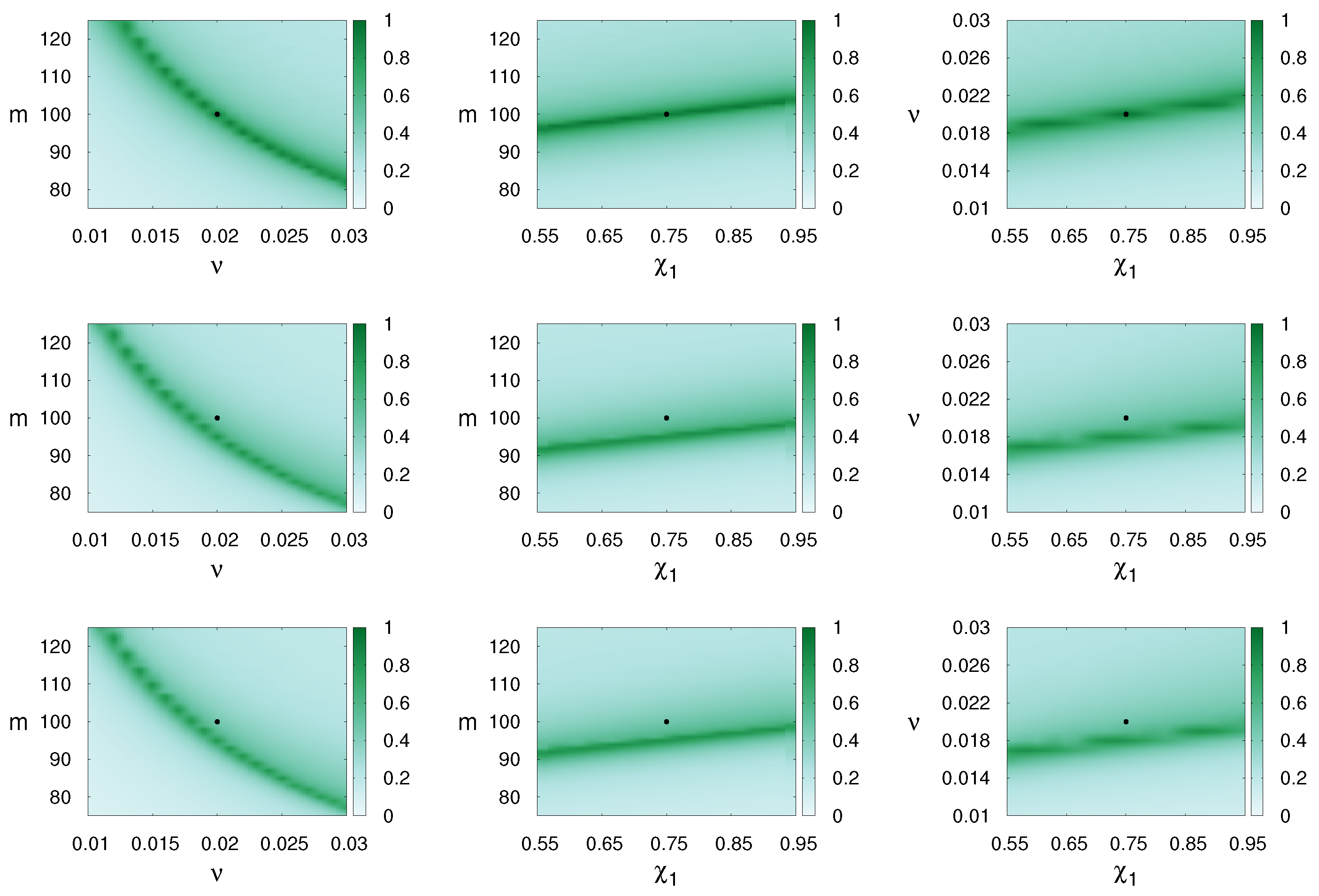
2.3. Precessing Spins and Orbital Angular Momentum
3. Conclusions
Acknowledgments
Author Contributions
Conflicts of Interest
References
- Einstein, A. Approximative Integration of the Field Equations of Gravitation. Sitzungsber. K. Preuss. Akad. Wiss. 1916, 1, 688–696. [Google Scholar]
- Aasi, J.; Abbott, B.P.; Abbott, R.; Abbott, T.; Abernathy, M.R.; Ackley, K.; Adams, C.; Adams, T.; Addesso, P.; Adhikari, R.X.; et al. (The LIGO Scientific Collaboration) Advanced LIGO. Class. Quantum Grav. 2015, 32, 074001. [Google Scholar]
- Acernese, F.; Agathos, M.; Agatsuma, K.; Aisa, D.; Allemandou, N.; Allocca, A.; Amarni, J.; Astone, P.; Balestri, G.; Ballardin, G.; et al. (Virgo Collaboration), Advanced Virgo: A second-generation interferometric gravitational wave detector. Class. Quantum Grav. 2015, 32, 024001. [Google Scholar] [CrossRef]
- Abbott, B.P.; Abbott, R.; Abbott, T.D.; Abernathy, M.R.; Acernese, F.; Ackley, K.; Adams, C.; Adams, T.; Addesso, P.; Adhikari, R.X.; et al. (The LIGO Scientific Collaboration, Virgo Collaboration), Observation of Gravitational Waves from a Binary Black Hole Merger. Phys. Rev. Lett. 2016, 116, 061102. [Google Scholar] [CrossRef] [PubMed]
- Abbott, B.P.; Abbott, R.; Abbott, T.D.; Abernathy, M.R.; Acernese, F.; Ackley, K.; Adams, C.; Adams, T.; Addesso, P.; Adhikari, R.X.; et al. (The LIGO Scientific Collaboration, Virgo Collaboration), GW151226: Observation of Gravitational Waves from a 22-Solar-Mass Binary Black Hole Coalescence. Phys. Rev. Lett. 2016, 116, 241103. [Google Scholar] [CrossRef] [PubMed]
- Abbott, B.P.; Abbott, R.; Abbott, T.D.; Abernathy, M.R.; Acernese, F.; Ackley, K.; Adams, C.; Adams, T.; Addesso, P.; Adhikari, R.X.; et al. (The LIGO Scientific Collaboration, Virgo Collaboration), Binary Black Hole Mergers in the First Advanced LIGO Observing Run. Phys. Rev. X 2016, 6, 041015. [Google Scholar]
- Abbott, B.P.; Abbott, R.; Abbott, T.D.; Acernese, F.; Ackley, K.; Adams, C.; Adams, T.; Addesso, P.; Adhikari, R.X.; Adya, V.B.; et al. (The LIGO Scientific Collaboration, Virgo Collaboration), GW170104: Observation of a 50-Solar-Mass Binary Black Hole Coalescence at Redshift 0.2. Phys. Rev. Lett. 2017, 118, 221101. [Google Scholar] [CrossRef] [PubMed]
- Abott, B.P.; Abbott, R.; Abbott, T.D.; Acernese, F.; Ackley, K.; Adams, C.; Adams, T.; Addesso, P.; Adhikari, R.X.; Adya, V.B.; et al. (The LIGO Scientific Collaboration, Virgo Collaboration), GW170814: A Three-Detector Observation of Gravitational Waves from a Binary Black Hole Coalescence. Phys. Rev. Lett. 2017, 119, 141101. [Google Scholar] [CrossRef] [PubMed]
- Abott, B.P.; Abbott, R.; Abbott, T.D.; Acernese, F.; Ackley, K.; Adams, C.; Adams, T.; Addesso, P.; Adhikari, R.X.; Adya, V.B.; et al. (The LIGO Scientific Collaboration, Virgo Collaboration), GW170608: Observation of a 19-solar-mass Binary Black Hole Coalescence. arXiv, 2017; arXiv:1711.05578. [Google Scholar]
- Abott, B.P.; Abbott, R.; Abbott, T.D.; Acernese, F.; Ackley, K.; Adams, C.; Adams, T.; Addesso, P.; Adhikari, R.X.; Adya, V.B.; et al. (The LIGO Scientific Collaboration, Virgo Collaboration), GW170817: Observation of Gravitational Waves from a Binary Neutron Star Inspiral. Phys. Rev. Lett. 2017, 119, 161101. [Google Scholar] [CrossRef] [PubMed]
- Thorne, K.S. Multipole expansions of gravitational radiation. Rev. Mod. Phys. 1980, 52, 299–339. [Google Scholar] [CrossRef]
- Kidder, L.E. Coalescing binary systems of compact objects to (post)5/2-Newtonian order. V. Spin effects. Phys. Rev. D 1995, 52, 821–847. [Google Scholar] [CrossRef]
- Tápai, M.; Keresztes, Z.; Gergely, L.Á. Spin-dominated waveforms for unequal mass compact binaries. Phys. Rev. D 2012, 86, 104045. [Google Scholar] [CrossRef]
- Bounanno, A.; Chen, Y.; Vallisneri, M. Detection template families for gravitational waves from the final stages of binary–black-hole inspirals: Nonspinning case. Phys. Rev. D 2003, 67, 024016. [Google Scholar] [CrossRef]
- Pan, Y.; Buonanno, A.; Taracchini, A.; Kidder, L.E.; Mroué, A.H.; Pfeiffer, H.P.; Scheel, M.A.; Szilágyi, B. Inspiral-merger-ringdown waveforms of spinning, precessing black-hole binaries in the effective-one-body formalism. Phys. Rev. D 2014, 89, 084006. [Google Scholar] [CrossRef]
- Taracchini, A.; Buonanno, A.; Pan, Y.; Hinderer, T.; Boyle, M.; Hemberger, D.A.; Kidder, L.E.; Lovelace, G.; Mroue, A.H.; Pfeiffer, H.P.; et al. Effective-one-body model for black-hole binaries with generic mass ratios and spins. Phys. Rev. D 2014, 89, 061502. [Google Scholar] [CrossRef]
- Buonanno, A.; Iyer, B.R.; Ochsner, E.; Pan, Y.; Sathyaprakash, B.S. Comparison of post-Newtonian templates for compact binary inspiral signals in gravitational-wave detectors. Phys. Rev. D 2009, 80, 084043. [Google Scholar] [CrossRef]
- Damour, T.; Nagar, A.; Trias, M. Accuracy and effectualness of closed-form, frequency-domain waveforms for nonspinning black hole binaries. Phys. Rev. D 2011, 83, 024006. [Google Scholar] [CrossRef]
- Campanelli, M.; Lousto, C.O.; Nakano, H.; Zlochower, Y. Comparison of numerical and post-Newtonian waveforms for generic precessing black-hole binaries. Phys. Rev. D 2009, 79, 084010. [Google Scholar] [CrossRef]
- Boyle, M.; Brown, D.A.; Pekowsky, L. Comparison of high-accuracy numerical simulations of black-hole binaries with stationary-phase post-Newtonian template waveforms for initial and advanced LIGO. Class. Quant. Grav. 2009, 26, 114006. [Google Scholar] [CrossRef]
- Bernuzzi, S.; Thierfelder, M.; Brügmann, B. Accuracy of numerical relativity waveforms from binary neutron star mergers and their comparison with post-Newtonian waveforms. Phys. Rev. D 2012, 85, 104030. [Google Scholar] [CrossRef]
- Hinder, I.; Buonanno, A.; Boyle, M.; Etienne, Z.B.; Healy, J.; Johnson-McDaniel, N.K.; Nagar, A.; Nakano, H.; Pan, Y.; Pfeiffer, H.P.; et al. Error-analysis and comparison to analytical models of numerical waveforms produced by the NRAR Collaboration. Class. Quantum Grav. 2014, 31, 025012. [Google Scholar] [CrossRef]
- Kumar, P.; Barkett, K.; Bhagwat, S.; Afshari, N.; Brown, D.A.; Lovelace, G.; Scheel, M.A.; Szilágyi, B. Accuracy and precision of gravitational-wave models of inspiraling neutron star-black hole binaries with spin: Comparison with matter-free numerical relativity in the low-frequency regime. Phys. Rev. D 2015, 92, 102001. [Google Scholar] [CrossRef]
- Ohme, F.; Hannam, M.; Husa, S. Reliability of complete gravitational waveform models for compact binary coalescences. Phys. Rev. D 2011, 84, 064029. [Google Scholar] [CrossRef]
- MacDonald, I.; Nissanke, S.; Pfeiffer, H.P. Suitability of post-Newtonian/numerical-relativity hybrid waveforms for gravitational wave detectors. Class. Quant. Grav. 2011, 28, 134002. [Google Scholar] [CrossRef]
- Boyle, M. Uncertainty in hybrid gravitational waveforms: Optimizing initial orbital frequencies for binary black-hole simulations. Phys. Rev. D 2011, 84, 064013. [Google Scholar] [CrossRef]
- MacDonald, I.; Mroué, A.H.; Pfeiffer, H.P.; Boyle, M.; Kidder, L.E.; Scheel, M.A.; Szilágyi, B.; Taylor, N.W. Suitability of hybrid gravitational waveforms for unequal-mass binaries. Phys. Rev. D 2013, 87, 024009. [Google Scholar] [CrossRef]
- Mikóczi, B.; Vasúth, M.; Gergely, L.Á. Self-interaction spin effects in inspiralling compact binaries. Phys. Rev. D 2005, 71, 124043. [Google Scholar]
- Dal Canton, T.; Nitz, A.H.; Lundgren, A.P.; Nielsen, A.B.; Brown, D.A.; Dent, T.; Harry, I.W.; Krishnan, B.; Miller, A.J.; Wette, K.; et al. Implementing a search for aligned-spin neutron star-black hole systems with advanced ground based gravitational wave detectors. Phys. Rev. D 2014, 90, 082004. [Google Scholar] [CrossRef]
- Usman, S.A.; Nitz, A.H.; Harry, I.W.; Biwer, C.M.; Brown, D.A.; Cabero, M.; Capano, C.D.; Canton, T.D.; Dent, T.; Fairhurst, S.; et al. The PyCBC search for gravitational waves from compact binary coalescence. Class. Quant. Grav. 2016, 33, 215004. [Google Scholar] [CrossRef]
- Nitz, A.; Harry, I.; Brown, D.; Biwer, C.M.; Willis, J.; Canton, T.D.; Pekowsky, L.; Dent, T.; Williamson, A.R.; Capano, C.; et al. ligo-cbc/pycbc: Post-02 Release 3. Available online: https://zenodo.org/record/1058970#.Wp5sUlI4e6c (accessed on 6 March 2018).
- [Virgo Collaboration]. LALSuite. Available online: https://wiki.ligo.org/DASWG/LALSuite (accessed on 15 February 2018).
- [LIGO Collaboration]. Waveforms. Available online: http://pycbc.org/pycbc/latest/html/waveform.html#calculating-the-match-between-waveforms (accessed on 15 February 2018).
- Arun, K.G.; Buonanno, A.; Faye, G.; Ochsner, E. Higher-order spin effects in the amplitude and phase of gravitational waveforms emitted by inspiraling compact binaries: Ready-to-use gravitational waveforms. Phys. Rev. D 2009, 79, 104023. [Google Scholar] [CrossRef]
- Gergely, L.Á. Spinning compact binary inspiral: Independent variables and dynamically preserved spin configurations. Phys. Rev. D 2010, 81, 084025. [Google Scholar] [CrossRef]








© 2018 by the authors. Licensee MDPI, Basel, Switzerland. This article is an open access article distributed under the terms and conditions of the Creative Commons Attribution (CC BY) license (http://creativecommons.org/licenses/by/4.0/).
Share and Cite
Tápai, M.; Pintér, V.; Tarjányi, T.; Keresztes, Z.; Gergely, L.Á. Investigating the Poor Match among Different Precessing Gravitational Waveforms. Universe 2018, 4, 56. https://doi.org/10.3390/universe4030056
Tápai M, Pintér V, Tarjányi T, Keresztes Z, Gergely LÁ. Investigating the Poor Match among Different Precessing Gravitational Waveforms. Universe. 2018; 4(3):56. https://doi.org/10.3390/universe4030056
Chicago/Turabian StyleTápai, Márton, Viktória Pintér, Tamás Tarjányi, Zoltán Keresztes, and László Árpád Gergely. 2018. "Investigating the Poor Match among Different Precessing Gravitational Waveforms" Universe 4, no. 3: 56. https://doi.org/10.3390/universe4030056
APA StyleTápai, M., Pintér, V., Tarjányi, T., Keresztes, Z., & Gergely, L. Á. (2018). Investigating the Poor Match among Different Precessing Gravitational Waveforms. Universe, 4(3), 56. https://doi.org/10.3390/universe4030056

