Gravitational Lensing in Presence of Plasma: Strong Lens Systems, Black Hole Lensing and Shadow
Abstract
1. Introduction
1.1. Refraction
1.2. General Theory of the Geometrical Optics in a Medium, in Presence of Gravity
1.3. Strong Lens Systems
1.4. Black Hole Lensing
1.5. Lensing by Kerr Black Hole in Presence of Plasma
1.6. Black Hole Shadow
1.7. Additional Notes about Propagation of Light Rays in Medium
- (i)
- In vacuum the gravitational deflection is achromatic.
- (ii)
- If a medium is homogeneous and not dispersive (the refractive index n is just a constant, it does not depend either on the space coordinates or on the photon frequency), the gravitational deflection angle is the same as in vacuum. Nevertheless, the group speed is smaller than light speed in vacuum.
- (iii)
- If the medium is homogeneous but dispersive (the refractive index does not depend on the space coordinates but depends on the photon frequency), the gravitational deflection angle is different from the vacuum case and depends on the photon frequency. For example: plasma.
- (iv)
- If medium is non-homogeneous (the refractive index depends on the space coordinates), we will have also the refractive deflection. If medium is non-homogeneous and dispersive, the refractive deflection depends on the photon frequency.
2. Deflection Angle in Presence of Plasma in Schwarzschild Metric
2.1. Exact Expression for the Deflection Angle
2.2. Homogeneous Plasma, Weak Deflection
2.3. Non-Homogeneous Plasma, Weak Deflection
3. Effects of Plasma in Strong Lens System
3.1. Shift of Angular Position of Image
- (i)
- Compare observations of strong lens system with multiple images in optical and radio band, or compare observations in two radio bands;
- (ii)
- Shift of the angular position of every image can be observed.
3.2. Effect on Flux Ratio in Different Wavelengths
- (i)
- extinction (absorption and scattering) which can be chromatic;
- (ii)
- microlensing of lensed image by individual stars in lens which can be chromatic due to physical properties of quasar;
- (iii)
- chromatic gravitational lensing due to plasma presence in vicinity of lens.
4. Lensing by Black Holes in Presence of Plasma
5. Influence of a Plasma on the Shadow of a Spherically Symmetric Black Hole
5.1. General Formulas for Spherically Symmetric Black Holes
5.2. Schwarzschild Black Hole
- (i)
- In case of homogeneous plasma const, and condition (42) is always satisfied as . Therefore presence of homogeneous plasma makes the shadow bigger.
- (ii)
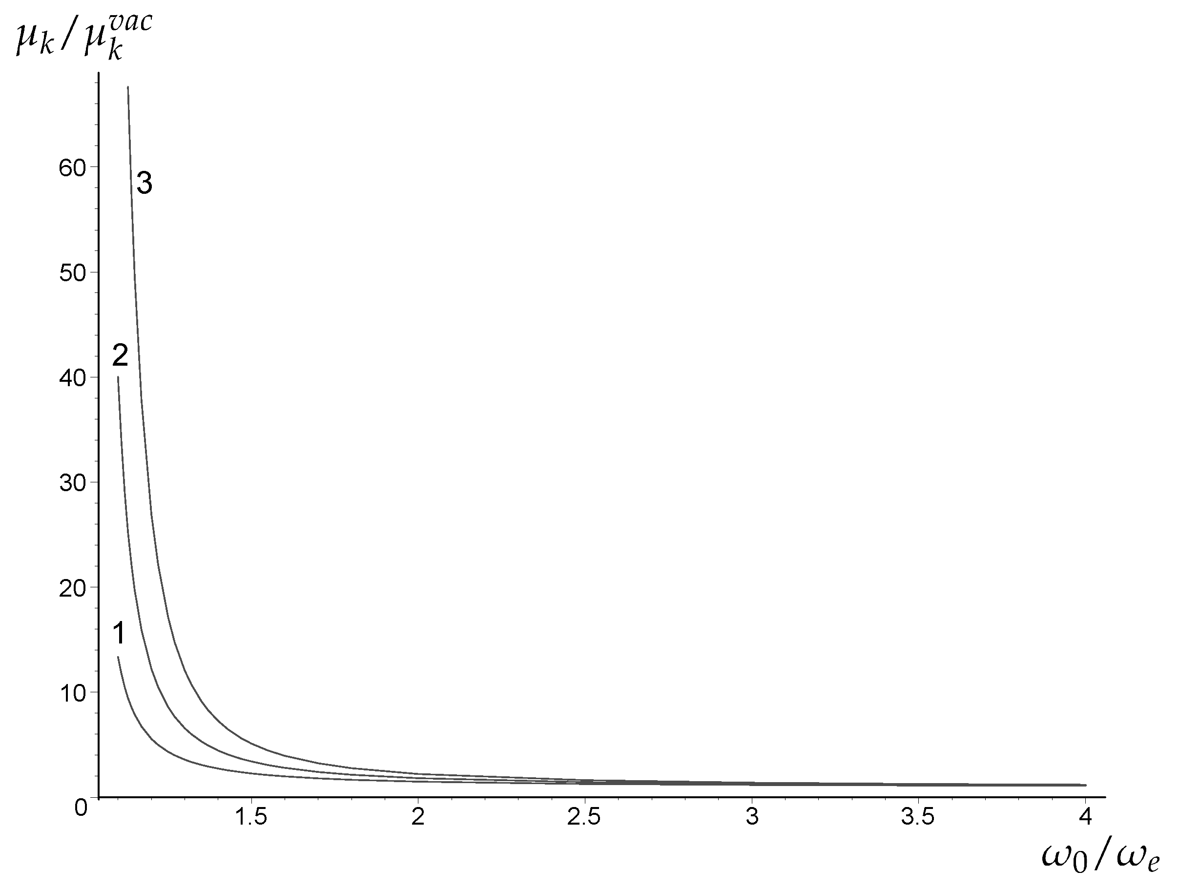
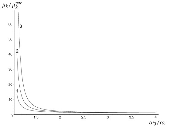
- In case of non-homogeneous plasma with given density distribution both increasing and decreasing effects are possible, depending on the position of the observer. Near the black hole, relativistic effects predominate. As we know, gravitational deflection becomes larger in presence of (homogeneous or non-homogeneous) plasma, therefore the shadow becomes larger for the observer who is close to the black hole. Far from the black hole, refraction effects predominate. Refraction on the declining density profile reduces the total deflection angle. Therefore, the shadow becomes smaller for the observer who is far from the black hole. These conclusions are evident from the Formula (42). The factor in brackets on the left-hand side of the inequality is always greater than the factor in brackets on the right-hand side of the inequality, but it does not exceed unity. At the same time, the plasma frequency on the left side of the inequality decreases as the observer moves away from the black hole. This leads to the fact that when the observer is moving further and further from the black hole, the shadow first increases, and after reaching a certain distance (which can be found from equating the left and right parts) decreases. Dependence of this distance on k for power-law distribution (17) is presented in the paper [55].
5.3. Small Density Plasma Case
6. Influence of Plasma on the Shadow of a Kerr Black Hole
- Choose the mass parameter m and the spin parameter a with . The mass parameter m gives a natural length unit, i.e., all other lengths may be given in units of m.
- Choose a plasma frequency around the black hole. The plasma frequency has to satisfy the separability condition (52), so the plasma distribution is characterized by two functions and . Only for such plasma frequencies are the ray equations completely integrable and the shadow can be calculated analytically.
- Choose a position of an observer anywhere in the domain of outer communication by prescribing its radial and angular coordinate and . For an illustration see Figure 7 in [85].
- Choose the constant of motion for the rays that are to be considered. In the formulas for the shadow, will enter only in terms of the quotient . Therefore, it is convenient to give and as multiples of the same frequency unit which will then drop out from all relevant formulas.
- Substitute into the expressions for and the expressions and according to Formulas (55) and (56) with . Here runs over an interval of radius coordinates for which unstable spherical light rays exist. This gives us and as functions of , i.e., it gives us a curve on the observer’s sky. This is the boundary curve of the shadow. In the next two steps we determine the range of the curve parameter .
- Solve the equation for . This gives us the minimal value . If the plasma density is small and if the observer is in the equatorial plane, for small a it will be , while for a nearly extreme Kerr black hole () it will be .
- Solve the equation for . This gives us the maximal value . If the plasma density is small, for small a it will be , while for a nearly extreme Kerr black hole it will be .
- Calculate and where ranges over the interval .Note that gives the horizontal diameter of the shadow.
- Calculate the dimensionless Cartesian coordinates X and Y of the boundary curve of the shadow by Formula (58). Choosing and letting run from to gives the lower half of the boundary curve of the shadow. The upper half of the curve is the mirror image of the lower half with respect to a horizontal axis.
7. Conclusions
- (i)
- Assuming that the influence of both gravity and plasma on the trajectory is small, the total deflection angle can be calculated as the sum of individual effects: gravitational deflection and refraction, both angles are small. Effects of deflection by gravity in vacuum and the refractive deflection in non-homogeneous medium are well known and presented in literature with necessary details.
- (ii)
- In the case of a strong gravitational field and for the study of subtle effects, a self-consistent theory of gravitation in matter is necessary. In presence of both gravity and plasma the deflection angle is physically defined by mutual combination of different phenomena: gravity, dispersion, refraction.
- (iii)
- New effect is that in the case of a homogeneous plasma, in absence of refractive deflection, the gravitational deflection itself differs from the vacuum deflection and depends on the photon frequency. Presence of plasma makes the gravitational deflection bigger.
- (iv)
- Plasma is a dispersive medium, its refractive index depends on the photon frequency. Therefore the deflection angle in presence of both gravity and plasma always depends on the photon frequency. In particular, presence of homogeneous plasma leads to chromatic gravitational deflection; the presence of non-homogeneous plasma leads, in addition to the chromatic gravitational deflection, to a chromatic refractive deflection. Refractive deflection on the density profile falling radially outwards is opposite to the chromatic gravitational deflection by central mass.
- (v)
- Presence of plasma makes gravitational lensing chromatic and leads to difference in angular position of the same image at different wavelengths. With present level of technique, the chromatic plasma effects might be observed only in strong lens systems. All chromatic effects are significant only for very long radiowaves.
- (vi)
- The deflection angles for light rays near Schwarzschild black hole in homogeneous plasma, in strong deflection limit, are derived. Using of strong deflection limit allows us to investigate analytically properties of relativistic images in presence of plasma.
- (vii)
- Analytical formula for the angular size of the shadow in a plasma with a spherically symmetric density distribution on a spherically symmetric and static spacetime is derived. In the presence of a plasma the size of the black hole shadow depends on the wavelength at which the observation is made, in contrast to the vacuum case where it is the same for all wavelengths. In homogeneous plasma, the shadow becomes bigger for distant observer, in comparison with vacuum case. In non-homogeneous plasma, the shadow becomes smaller for distant observer. As examples, we have considered Sgr A* and M87, and found that the effect of the presence of a plasma on the size of the shadow can be significant only for wavelengths of at least a few centimeters (radio regime).
- (viii)
- The propagation of light rays in a non-magnetized pressureless plasma on Kerr spacetime is investigated. We have demonstrated that the Hamilton-Jacobi equation is separable, i.e., that a generalized Carter constant exists, only for special distributions of the plasma electron density. We have derived analytical formulas for the boundary curve of the shadow on the observers sky in terms of two angular celestial coordinates.
Acknowledgments
Author Contributions
Conflicts of Interest
References
- Schneider, P.; Ehlers, J.; Falco, E.E. Gravitational Lenses; Springer: Berlin, Germany, 1992. [Google Scholar]
- Schneider, P.; Kochanek, C.S.; Wambsganss, J. Gravitational Lensing: Strong, Weak and Micro; Swiss Society for Astrophysics and Astronomy Series: Saas-Fee Advanced Courses; Springer: Berlin, Germany, 2006; p. 33. [Google Scholar]
- Perlick, V. Gravitational Lensing from a Spacetime Perspective. Living Rev. Relativ. 2004, 7, 9. [Google Scholar] [CrossRef] [PubMed]
- Mao, S. Astrophysical applications of gravitational microlensing. Res. Astron. Astrophys. 2012, 12, 947–972. [Google Scholar] [CrossRef]
- Bartelmann, M.; Schneider, P. Weak gravitational lensing. Phys. Rep. 2001, 340, 291–472. [Google Scholar] [CrossRef]
- Bartelmann, M. Gravitational lensing. Class. Quantum Gravity 2010, 27, 233001. [Google Scholar] [CrossRef]
- Wambsganss, J. Gravitational Lensing in Astronomy. Living Rev. Relativ. 1998, 1, 12. [Google Scholar] [CrossRef]
- Hoekstra, H.; Jain, B. Weak Gravitational Lensing and Its Cosmological Applications. Annu. Rev. Nucl. Part. Sci. 2008, 58, 99–123. [Google Scholar] [CrossRef]
- Refsdal, S. The gravitational lens effect. Mon. Not. R. Astron. Soc. 1964, 128, 295–306. [Google Scholar] [CrossRef]
- Refsdal, S. On the possibility of determining Hubble’s parameter and the masses of galaxies from the gravitational lens effect. Mon. Not. R. Astron. Soc. 1964, 128, 307–310. [Google Scholar] [CrossRef]
- Byalko, A.V. Focusing of Radiation by a Gravitational Field. Astronomicheskii Zhurnal 1969, 46, 998–1002, (English translation: Sov. Astron. 1970, 13, 784–787.). [Google Scholar]
- Clark, E.E. The uniform transparent gravitational lens. Mon. Not. R. Astron. Soc. 1972, 158, 233–243. [Google Scholar] [CrossRef]
- Mao, S.; Paczyński, B. Gravitational microlensing by double stars and planetary systems. Astrophys. J. 1991, 374, L37–L40. [Google Scholar] [CrossRef]
- Nucita, A.A.; Giordano, M.; De Paolis, F.; Ingrosso, G. Signatures of rotating binaries in microlensing experiments. Mon. Not. R. Astron. Soc. 2014, 438, 2466–2473. [Google Scholar] [CrossRef]
- Alexandrov, A.N.; Zhdanov, V.I.; Fedorova, E.V. Asymptotic formulas for the magnification of a gravitational lens system near a fold caustic. Astron. Lett. 2010, 36, 329–337. [Google Scholar] [CrossRef]
- Alexandrov, A.N.; Zhdanov, V.I. Asymptotic expansions and amplification of a gravitational lens near a fold caustic. Mon. Not. R. Astron. Soc. 2011, 417, 541–554. [Google Scholar] [CrossRef]
- Er, X.; Li, G.; Mao, S.; Cao, L. Gravitational lensing effects on submillimetre galaxy counts. Mon. Not. R. Astron. Soc. 2013, 430, 1423–1432. [Google Scholar] [CrossRef]
- Clowe, D.; Bradač, M.; Gonzalez, A.H.; Markevitch, M.; Randall, S.W.; Jones, C.; Zaritsky, D. A Direct Empirical Proof of the Existence of Dark Matter. Astrophys. J. 2006, 648, L109–L113. [Google Scholar] [CrossRef]
- Kayser, R.; Refsdal, S.; Stabell, R. Astrophysical applications of gravitational micro-lensing. Astron. Astrophys. 1986, 166, 36–52. [Google Scholar]
- Wambsganss, J.; Paczyński, B. Expected color variations of the gravitationally microlensed QSO 2237+0305. Astron. J. 1991, 102, 864–868. [Google Scholar] [CrossRef]
- Bogdanov, M.V.; Cherepashchuk, A.M. The “chromatic” effect in gravitational microlensing of stars. Astron. Lett. 1995, 21, 505–507. [Google Scholar]
- Bogdanov, M.B.; Cherepashchuk, A.M. Reconstruction of the Strip Brightness Distribution in a Quasar Accretion Disk from Gravitational Microlensing Data. Astron. Rep. 2002, 46, 626–633. [Google Scholar] [CrossRef]
- Zakharov, A.F.; Sazhin, M.V. Gravitational microlensing. Phys. Uspekhi 1998, 41, 945–982. [Google Scholar] [CrossRef]
- Landau, L.D.; Lifshitz, E.M. Electrodynamics of Continuous Media, Course of Theoretical Physics; Pergamon Press: Oxford, UK, 1960. [Google Scholar]
- Zhelezniakov, V.V. Electromagnetic Waves in Space Plasma: Generation and Propagation; Nauka: Moscow, Russia, 1977. (In Russian) [Google Scholar]
- Muhleman, D.O.; Ekers, R.D.; Fomalont, E.B. Radio Interferometric Test of the General Relativistic Light Bending Near the Sun. Phys. Rev. Lett. 1970, 24, 1377–1380. [Google Scholar] [CrossRef]
- Muhleman, D.O.; Johnston, I.D. Radio Propagation in the Solar Gravitational Field. Phys. Rev. Lett. 1966, 17, 455–458. [Google Scholar] [CrossRef]
- Lightman, A.P.; Press, W.H.; Price, R.H.; Teukolsky, S.A. Problem Book in Relativity and Gravitation; Princeton University Press: Princeton, NJ, USA, 1979. [Google Scholar]
- Bliokh, P.V.; Minakov, A.A. Gravitational Lenses; Naukova: Dumka, India, 1989. (In Russian) [Google Scholar]
- Synge, J.L. Relativity: The General Theory; North-Holland Publishing Company: Amsterdam, The Netherlands, 1960. [Google Scholar]
- Bičák, J.; Hadrava, P. General-relativistic radiative transfer theory in refractive and dispersive media. Astron. Astrophys. 1975, 44, 389–399. [Google Scholar]
- Kichenassamy, S.; Krikorian, R.A. Relativistic radiation transport in dispersive media. Phys. Rev. D 1985, 32, 1866–1870. [Google Scholar] [CrossRef]
- Krikorian, R.A. Light rays in gravitating and refractive media: A comparison of the field to particle and Hamiltonian approaches. Astrophysics 1999, 42, 338–343. [Google Scholar] [CrossRef]
- Kulsrud, R.; Loeb, A. Dynamics and gravitational interaction of waves in nonuniform media. Phys. Rev. D 1992, 45, 525–531. [Google Scholar] [CrossRef]
- Perlick, V. Ray Optics, Fermat’s Principle and Applications to General Relativity; Springer: Heidelberg, Germany, 2000. [Google Scholar]
- Tsupko, O.Y.; Bisnovatyi-Kogan, G.S. Gravitational lensing in plasma: Relativistic images at homogeneous plasma. Phys. Rev. D 2013, 87, 124009. [Google Scholar] [CrossRef]
- Bisnovatyi-Kogan, G.S.; Tsupko, O.Y. Gravitational lensing in plasmic medium. Plasma Phys. Rep. 2015, 41, 562–581. [Google Scholar] [CrossRef]
- Breuer, R.A.; Ehlers, J. Propagation of high frequency waves through a magnetized plasma in curved space-time. I. Proc. R. Soc. Lond. A 1980, 370, 389–406. [Google Scholar] [CrossRef]
- Breuer, R.A.; Ehlers, J. Propagation of high-frequency electromagnetic waves through a magnetized plasma in curved space-time. II-Application of the asymptotic approximation. Proc. R. Soc. Lond. A 1981, 374, 65–86. [Google Scholar] [CrossRef]
- Breuer, R.A.; Ehlers, J. Propagation of electromagnetic waves through magnetized plasmas in arbitrary gravitational fields. Astron. Astrophys. 1981, 96, 293–295. [Google Scholar]
- Broderick, A.; Blandford, R. Covariant magnetoionic theory-I. Ray propagation. Mon. Not. R. Astron. Soc. 2003, 342, 1280–1290. [Google Scholar] [CrossRef]
- Broderick, A.; Blandford, R. Covariant magnetoionic theory-II. Radiative transfer. Mon. Not. R. Astron. Soc. 2004, 349, 994–1008. [Google Scholar] [CrossRef]
- Broderick, A.; Blandford, R. General Relativistic Magnetoionic Theory. Astrophys. Space Sci. 2003, 288, 161–173. [Google Scholar] [CrossRef]
- Bisnovatyi-Kogan, G.S.; Tsupko, O.Y. Gravitational radiospectrometer. Gravit. Cosmol. 2009, 15, 20–27. [Google Scholar] [CrossRef]
- Bisnovatyi-Kogan, G.S.; Tsupko, O.Y. Gravitational lensing in a non-uniform plasma. Mon. Not. R. Astron. Soc. 2010, 404, 1790–1800. [Google Scholar] [CrossRef]
- Morozova, V.S.; Ahmedov, B.J.; Tursunov, A.A. Gravitational lensing by a rotating massive object in a plasma. Astrophys. Space Sci. 2013, 346, 513–520. [Google Scholar] [CrossRef]
- Er, X.; Mao, S. Effects of plasma on gravitational lensing. Mon. Not. R. Astron. Soc. 2014, 437, 2180–2186. [Google Scholar] [CrossRef]
- Perlick, V.; Tsupko, O.Y.; Bisnovatyi-Kogan, G.S. Influence of a plasma on the shadow of a spherically symmetric black hole. Phys. Rev. D 2015, 92, 104031. [Google Scholar] [CrossRef]
- Rogers, A. Frequency-dependent effects of gravitational lensing within plasma. Mon. Not. R. Astron. Soc. 2015, 451, 17–25. [Google Scholar] [CrossRef]
- Rogers, A. Gravitational lensing by compact objects within plasma. arXiv 2016, arXiv:1611.00076. [Google Scholar]
- Rogers, A. Escape and Trapping of Low-Frequency Gravitationally Lensed Rays by Compact Objects within Plasma. Mon. Not. R. Astron. Soc. 2017, 465, 2151–2159. [Google Scholar] [CrossRef]
- Rogers, A. Gravitational Lensing of Rays through the Levitating Atmospheres of Compact Objects. Universe 2017, 3, 3. [Google Scholar] [CrossRef]
- Hakimov, A.; Atamurotov, F. Gravitational lensing by a non-Schwarzschild black hole in a plasma. Astrophys. Space Sci. 2016, 361, 112. [Google Scholar] [CrossRef]
- Liu, C.; Ding, C.; Jing, J. Effects of Homogeneous Plasma on Strong Gravitational Lensing of Kerr Black Holes. arXiv 2016, arXiv:1610.02128. [Google Scholar]
- Perlick, V.; Tsupko, O.Y. Light propagation in a plasma on Kerr spacetime: Separation of the Hamilton-Jacobi equation and calculation of the shadow. Phys. Rev. D 2017, 95, 104003. [Google Scholar] [CrossRef]
- Darwin, C. The Gravity Field of a Particle. Proc. R. Soc. Lond. Ser. A Math. Phys. Sci. 1959, 249, 180–194. [Google Scholar] [CrossRef]
- Bisnovatyi-Kogan, G.S.; Tsupko, O.Y. Strong gravitational lensing by Schwarzschild black holes. Astrophysics 2008, 51, 99–111. [Google Scholar] [CrossRef]
- Virbhadra, K.S.; Ellis, G.F.R. Schwarzschild black hole lensing. Phys. Rev. D 2000, 62, 084003. [Google Scholar] [CrossRef]
- Virbhadra, K.S. Relativistic images of Schwarzschild black hole lensing. Phys. Rev. D 2009, 79, 083004. [Google Scholar] [CrossRef]
- Perlick, V. Exact gravitational lens equation in spherically symmetric and static spacetimes. Phys. Rev. D 2004, 69, 064017. [Google Scholar] [CrossRef]
- Bozza, V.; Capozziello, S.; Iovane, G.; Scarpetta, G. Strong Field Limit of Black Hole Gravitational Lensing. Gen. Relativ. Gravit. 2001, 33, 1535–1548. [Google Scholar] [CrossRef]
- Bozza, V. Gravitational lensing in the strong field limit. Phys. Rev. D 2002, 66, 103001. [Google Scholar] [CrossRef]
- Perlick, V. Theoretical gravitational lensing. Beyond the weak-field small-angle approximation. In Proceedings of the MG11 Meeting on General Relativity, Berlin, Germany, 23–29 July 2006; Kleinert, H., Jantzen, R.T., Ruffini, R., Eds.; World Scientific: Singapore, 2008; pp. 680–699. [Google Scholar]
- Hasse, W.; Perlick, V. Gravitational lensing in spherically symmetric static space-times with centrifugal force reversal. Gen. Relativ. Gravit. 2002, 34, 415–433. [Google Scholar] [CrossRef]
- Claudel, C.-M.; Virbhadra, K.S.; Ellis, G.F.R. The geometry of photon surfaces. J. Math. Phys. 2001, 42, 818–838. [Google Scholar] [CrossRef]
- Virbhadra, K.S.; Keeton, C.R. Time delay and magnification centroid due to gravitational lensing by black holes and naked singularities. Phys. Rev. D 2008, 77, 124014. [Google Scholar] [CrossRef]
- Bozza, V. Comparison of approximate gravitational lens equations and a proposal for an improved new one. Phys. Rev. D 2008, 78, 103005. [Google Scholar] [CrossRef]
- Bozza, V. Gravitational lensing by black holes. Gen. Relativ. Gravit. 2010, 42, 2269–2300. [Google Scholar] [CrossRef]
- Eiroa, E.F.; Romero, G.E.; Torres, D.F. Reissner-Nordström black hole lensing. Phys. Rev. D 2002, 66, 024010. [Google Scholar] [CrossRef]
- Iyer, S.V.; Petters, A.O. Light’s bending angle due to black holes: From the photon sphere to infinity. Gen. Relativ. Gravit. 2007, 39, 1563–1582. [Google Scholar] [CrossRef]
- Eiroa, E.F.; Sendra, C.M. Gravitational lensing by a regular black hole. Class. Quantum Gravity 2011, 28, 085008. [Google Scholar] [CrossRef]
- Mukherjee, N.; Majumdar, A.S. Rotating brane-world black hole lensing in the strong deflection limit. Grav. Cosmol. 2009, 15, 263–272. [Google Scholar] [CrossRef]
- Ghosh, T.; Sengupta, S. Strong gravitational lensing across a dilaton anti-de Sitter black hole. Phys. Rev. D 2010, 81, 044013. [Google Scholar] [CrossRef]
- Wei, S.-W.; Liu, Y.-X.; Fu, C.-E.; Yang, K. Strong field limit analysis of gravitational lensing in Kerr-Taub-NUT spacetime. J. Cosmol. Astropart. Phys. 2012, 2012, 053. [Google Scholar] [CrossRef]
- Tarasenko, A. Reconstruction of a compact object motion in the vicinity of a black hole by its electromagnetic radiation. Phys. Rev. D 2010, 81, 123005. [Google Scholar] [CrossRef]
- Li, G.; Zhang, Ya.; Zhang, L.; Feng, Z.; Zu, X. Strong Gravitational Lensing in the Einstein-Proca Theory. Int. J. Theor. Phys. 2015, 54, 1245–1252. [Google Scholar] [CrossRef]
- Alhamzawi, A.; Alhamzawi, R. Gravitational lensing in the strong field limit by modified gravity. Gen. Relativ. Gravit. 2016, 48, 167. [Google Scholar] [CrossRef]
- Tsukamoto, N. Strong deflection limit analysis and gravitational lensing of an Ellis wormhole. Phys. Rev. D 2016, 94, 124001. [Google Scholar] [CrossRef]
- Zakharov, A.F. Effective particle capture cross section of a Schwarzschild black hole. Sov. Astron. 1988, 32, 456. [Google Scholar]
- Zakharov, A.F. Particle capture cross sections for a Reissner-Nordström black hole. Class. Quantum Gravity 1994, 11, 1027–1033. [Google Scholar] [CrossRef]
- Tsupko, O.Y. Unbound motion of massive particles in the Schwarzschild metric: Analytical description in case of strong deflection. Phys. Rev. D 2014, 89, 084075. [Google Scholar] [CrossRef]
- Liu, X.; Yang, N.; Jia, J. Gravitational lensing of massive particles in Schwarzschild gravity. Class. Quantum Gravity 2016, 33, 175014. [Google Scholar] [CrossRef]
- Synge, J.L. The escape of photons from gravitationally intense stars. Mon. Not. R. Astron. Soc. 1966, 131, 463–466. [Google Scholar] [CrossRef]
- Bardeen, J.M. Timelike and null geodesics in the Kerr metric. In Black Holes; DeWitt, C., DeWitt, B., Eds.; Gordon and Breach: New York, NY, USA, 1973. [Google Scholar]
- Grenzebach, A.; Perlick, V.; Lämmerzahl, C. Photon regions and shadows of Kerr-Newman-NUT black holes with a cosmological constant. Phys. Rev. D 2014, 89, 124004. [Google Scholar] [CrossRef]
- Grenzebach, A.; Perlick, V.; Lämmerzahl, C. Photon regions and shadows of accelerated black holes. Int. J. Mod. Phys. D 2015, 24, 1542024. [Google Scholar] [CrossRef]
- Luminet, J.-P. Image of a spherical black hole with thin accretion disk. Astron. Astrophys. 1979, 75, 228–235. [Google Scholar]
- Chandrasekhar, S. The Mathematical Theory of Black Holes; Oxford University Press: New York, NY, USA, 1983. [Google Scholar]
- Dymnikova, I.G. Motion of particles and photons in the gravitational field of a rotating body (In memory of Vladimir Afanas’evich Ruban). Sov. Phys. Uspekhi 1986, 29, 215–237. [Google Scholar] [CrossRef]
- Falcke, H.; Melia, F.; Agol, E. Viewing the shadow of the black hole at the galactic center. Astrophys. J. 2000, 528, L13–L16. [Google Scholar] [CrossRef] [PubMed]
- Takahashi, R. Shapes and Positions of Black Hole Shadows in Accretion Disks and Spin Parameters of Black Holes. Astrophys. J. 2004, 611, 996–1004. [Google Scholar] [CrossRef]
- Zakharov, A.F.; de Paolis, F.; Ingrosso, G.; Nucita, A.A. Direct measurements of black hole charge with future astrometrical missions. Astron. Astrophys. 2005, 442, 795–799. [Google Scholar] [CrossRef]
- Zakharov, A.F.; Nucita, A.A.; DePaolis, F.; Ingrosso, G. Measuring the black hole parameters in the galactic center with RADIOASTRON. New Astron. 2005, 10, 479–489. [Google Scholar] [CrossRef]
- Hioki, K.; Maeda, K.-I. Measurement of the Kerr spin parameter by observation of a compact object’s shadow. Phys. Rev. D 2009, 80, 024042. [Google Scholar] [CrossRef]
- Frolov, V.P.; Zelnikov, A. Introduction to Black Hole Physics; Oxford University Press: Oxford, UK, 2011. [Google Scholar]
- Zakharov, A.F.; De Paolis, F.; Ingrosso, G.; Nucita, A.A. Shadows as a tool to evaluate black hole parameters and a dimension of spacetime. New Astron. Rev. 2012, 56, 64–73. [Google Scholar] [CrossRef]
- Bambi, C.; Modesto, L. Rotating regular black holes. Phys. Lett. B 2013, 721, 329–334. [Google Scholar] [CrossRef]
- Li, Z.; Bambi, C. Measuring the Kerr spin parameter of regular black holes from their shadow. J. Cosmol. Astropart. Phys. 2014, 2014, 41. [Google Scholar] [CrossRef]
- Tsukamoto, N.; Li, Z.; Bambi, C. Constraining the spin and the deformation parameters from the black hole shadow. J. Cosmol. Astropart. Phys. 2014, 2014, 043. [Google Scholar] [CrossRef]
- Zakharov, A.F. Constraints on a charge in the Reissner-Nordström metric for the black hole at the Galactic Center. Phys. Rev. D 2014, 90, 062007. [Google Scholar] [CrossRef]
- James, O.; von Tunzelmann, E.; Franklin, P.; Thorne, K.S. Gravitational lensing by spinning black holes in astrophysics, and in the movie Interstellar. Class. Quantum Gravity 2015, 32, 065001. [Google Scholar] [CrossRef]
- Abdujabbarov, A.A.; Rezzolla, L.; Ahmedov, B.J. A coordinate-independent characterization of a black hole shadow. Mon. Not. R. Astron. Soc. 2015, 454, 2423–2435. [Google Scholar] [CrossRef]
- Konoplya, R.; Rezzolla, L.; Zhidenko, A. General parametrization of axisymmetric black holes in metric theories of gravity. Phys. Rev. D 2016, 93, 064015. [Google Scholar] [CrossRef]
- Younsi, Z.; Zhidenko, A.; Rezzolla, L.; Konoplya, R.; Mizuno, Y. New method for shadow calculations: Application to parametrized axisymmetric black holes. Phys. Rev. D 2016, 94, 084025. [Google Scholar] [CrossRef]
- Johannsen, T.; Broderick, A.E.; Plewa, P.M.; Chatzopoulos, S.; Doeleman, S.S.; Eisenhauer, F.; Johnson, M.D. Testing General Relativity with the Shadow Size of Sgr A*. Phys. Rev. Lett. 2016, 116, 031101. [Google Scholar] [CrossRef] [PubMed]
- Yang, L.; Li, Z. Shadow of a dressed black hole and determination of spin and viewing angle. Int. J. Mod. Phys. D 2016, 25, 1650026. [Google Scholar] [CrossRef]
- Dastan, S.; Saffari, R.; Soroushfar, S. Shadow of a Charged Rotating Black Hole in f (R) Gravity. arXiv 2016, arXiv:1606.06994. [Google Scholar]
- Abdujabbarov, A.; Amir, M.; Ahmedov, B.; Ghosh, S.G. Shadow of rotating regular black holes. Phys. Rev. D 2016, 93, 104004. [Google Scholar] [CrossRef]
- Abdujabbarov, A.; Juraev, B.; Ahmedov, B.; Stuchlík, Z. Shadow of rotating wormhole in plasma environment. Astrophys. Space Sci. 2016, 361, 226. [Google Scholar] [CrossRef]
- Tsupko, O.Y. Analytical calculation of black hole spin using deformation of the shadow. Phys. Rev. D 2017, 95, 104058. [Google Scholar] [CrossRef]
- Goddi, C.; Falcke, H.; Kramer, M.; Rezzolla, L.; Brinkerink, C.; Bronzwaer, T.; Eatough, R.P. BlackHoleCam: Fundamental physics of the galactic center. Int. J. Mod. Phys. D 2017, 26, 1730001. [Google Scholar] [CrossRef]
- Misner, C.W.; Thorne, K.S.; Wheeler, J.A. Gravitation; Freeman: New York, NY, USA, 1973. [Google Scholar]
| 1. | We call here as a “strong lens system” a lens with several visible images of the same source, but the deflection angle remains to be small. This situation should not be confused with “lensing in strong deflection (or strong gravity) regime” when the deflection angles of photons are not small and approximate Einstein formula can not be applied. |
| 2. | This is true for the massive particle energy and the photon frequency at infinity, and also for static observer at another locations because the particle energy and the photon frequency have the same dependence on the space coordinates arising due to the gravitational field [112]. |
| 3. | We assume that typical size of considered systems is much larger than Debye radius, and therefore temperature effects in dispersion relations are neglected. |
| 4. | In the most parts of this paper we use a convention . Since the constants G and c are not included in the plasma frequency , it looks just the same as in Gaussian cgs units. To calculate the numerical value of plasma frequency, we can just use all variables in the right hand side of (2) in Gaussian cgs units. For reader’s convenience, it can be used: sec where N is measured in cm [25]. At the same time, for numerical estimates in formulas containing the black hole mass M we need to restore the factors of c and G. See, for example, Formulas (68), (69) and (77) in [48]. |













© 2017 by the authors. Licensee MDPI, Basel, Switzerland. This article is an open access article distributed under the terms and conditions of the Creative Commons Attribution (CC BY) license (http://creativecommons.org/licenses/by/4.0/).
Share and Cite
Bisnovatyi-Kogan, G.S.; Tsupko, O.Y. Gravitational Lensing in Presence of Plasma: Strong Lens Systems, Black Hole Lensing and Shadow. Universe 2017, 3, 57. https://doi.org/10.3390/universe3030057
Bisnovatyi-Kogan GS, Tsupko OY. Gravitational Lensing in Presence of Plasma: Strong Lens Systems, Black Hole Lensing and Shadow. Universe. 2017; 3(3):57. https://doi.org/10.3390/universe3030057
Chicago/Turabian StyleBisnovatyi-Kogan, Gennady S., and Oleg Yu. Tsupko. 2017. "Gravitational Lensing in Presence of Plasma: Strong Lens Systems, Black Hole Lensing and Shadow" Universe 3, no. 3: 57. https://doi.org/10.3390/universe3030057
APA StyleBisnovatyi-Kogan, G. S., & Tsupko, O. Y. (2017). Gravitational Lensing in Presence of Plasma: Strong Lens Systems, Black Hole Lensing and Shadow. Universe, 3(3), 57. https://doi.org/10.3390/universe3030057
