Next Article in Journal
The Impact of Dark Matter on Gravitational Wave Detection by Space-Based Interferometers
Next Article in Special Issue
Towards a Quantum Erlangen Program
Previous Article in Journal
Thermodynamic Interpretation of the Kompanneets–Chernov–Kantowski–Sachs Solutions
Previous Article in Special Issue
The Vortex State of Ultralight Dark Matter and the Fornax Timing Problem
 
 
Font Type:
Arial Georgia Verdana
Font Size:
Aa Aa Aa
Line Spacing:
Column Width:
Background:
Article

Effects of Curvature–Scalar Coupling on Vacuum Energy in Flat (3+1)-Dimensional Space-Time

by
Volodymyr Gorkavenko
1,2,*,
Oleh Barabash
1,
Pavlo Nakaznyi
3,
Mariia Tsarenkova
1,
Nazar Yakovenko
1 and
Andrii Zaporozhchenko
1
1
Faculty of Physics, Taras Shevchenko National University of Kyiv, 64 Volodymyrs’ka Str., 01601 Kyiv, Ukraine
2
Bogolyubov Institute for Theoretical Physics, National Academy of Sciences of Ukraine, 14-b Metrolohichna Str., 03143 Kyiv, Ukraine
3
Institute of Physics and Technology, Igor Sikorsky Kyiv Polytechnic Institute, 37 Beresteiskyi Ave., 03056 Kyiv, Ukraine
*
Author to whom correspondence should be addressed.
Universe 2026, 12(2), 47; https://doi.org/10.3390/universe12020047
Submission received: 13 January 2026 / Revised: 7 February 2026 / Accepted: 9 February 2026 / Published: 11 February 2026

Abstract

We investigated how a magnetic topological defect affects the vacuum polarization of a charged massive scalar field in a flat ( 3 + 1 ) -dimensional space-time. The defect was modeled as an impenetrable-to-matter-field, finite-thickness tube with magnetic flux inside. We implemented the most general form of the Robin boundary condition on the surface of the magnetic tube, which enables a fully general analysis of the problem. We found that in flat space-time, the total vacuum energy generated by a magnetic topological defect depends on the curvature ( ξ ), except for special cases corresponding to the Dirichlet and Neumann boundary conditions. By contrast, when Robin’s general boundary conditions are imposed, the induced vacuum energy acquires an explicit dependence on the curvature coupling ( ξ ), which is significant even in flat space-time. A detailed study of the dependence of the effect on the boundary-condition parameter was carried out. The obtained results highlight the nontrivial role played by boundary conditions in vacuum polarization phenomena.

1. Introduction

Following the pioneering paper of Casimir [1], it has been understood that external boundaries can lead to nontrivial modifications of the vacuum energy density arising in quantum field theory. As a result, Casimir’s original idea stimulated a broad and systematic investigation of quantum vacuum phenomena in the presence of boundaries of various geometrical configurations and composed of different materials. These studies have explored how the shape, size, and physical properties of boundaries influence vacuum fluctuations and associated observable effects (see, e.g., refs. [2,3,4,5]).
In the present paper, we analyze the phenomenon of vacuum polarization (change of vacuum energy) generated by the presence of a linear magnetic topological defect. The defect is represented by an infinitely long, cylindrical, finite-thickness tube that is impenetrable to the quantized matter field and carrying a magnetic flux confined within its interior. Such a configuration provides a convenient and physically motivated setting for studying the connections between topology, boundary conditions, and quantum vacuum effects.
Within the framework of second-quantized-field theory, the magnetic defect gives rise to a number of nontrivial vacuum phenomena in the region exterior to the tube. In particular, it induces vacuum energy, generates a vacuum current flowing around the defect, and leads to the emergence of an associated magnetic flux outside the tube (see, e.g., the pioneering papers reported in [6,7,8,9,10]). Since these phenomena originate from the combined action of the boundary condition imposed on the tube’s surface and the magnetic flux enclosed within the defect, these quantum effects are generally recognized as the Casimir–Bohm–Aharonov effect [11], emphasizing their relation to both the boundary-induced Casimir effect and topological Aharonov–Bohm-type contributions [12].
We consider the charged scalar matter field ( ψ ) that interacts with the space-time curvature and is described by the Lagrangian density:
L = ( μ ψ ) * ( μ ψ ) ( m 2 + ξ R ) ψ * ψ ,
where ξ is the scalar–curvature coupling constant (curvature coupling), i.e., the parameter describing the scalar field’s interaction with the curvature of space-time (R), and μ ψ μ i e A μ ψ is the covariant derivative, which includes the vector field ( A μ ) associated with a U ( 1 ) gauge symmetry. The energy–momentum tensor (EMT) is obtained by varying the action expressed as S = d 4 x g L with respect to the metric tensor: [13,14,15]
T μ ν = 2 g δ S δ g μ ν = T c a n μ ν + 2 ξ g μ ν μ ν R μ ν ψ * ψ ,
where
T c a n μ ν = μ ψ * ν ψ + ν ψ * μ ψ g μ ν L
is the canonical energy–momentum tensor. It is evident that the dependence of the scalar field’s EMT on the curvature coupling ( ξ ) remains when the Ricci tensor is R μ ν = 0 , as well as in flat space, where the Riemann tensor is R α β γ δ = 0 . This clearly follows from the fact that the terms arising from varying δ g R ψ * ψ with respect to the metric tensor after integration by parts lead to terms in the form of μ ν ψ * ψ , ψ * ψ . These terms do not contain a curvature scalar, so they do not vanish with it.
It should be noted that originally, the curvature-coupling term was introduced into the equation of motion for a scalar field with the aim of ensuring conformal invariance of the corresponding field theory. In ( 3 + 1 ) -dimensional space-time, this symmetry is realized only for a particular value of the curvature coupling ( ξ = 1 / 6 ). The presence of conformal symmetry has important physical consequences for the properties of the energy–momentum tensor. Specifically, this implies that the trace of the energy–momentum tensor vanishes in the massless theory. As a direct consequence of this, divergences in the Casimir energy associated with flat boundaries are absent, highlighting the regularizing role played by conformal invariance in vacuum energy calculations [3,4]. An analogous situation arises in the case of the electromagnetic field, where conformal invariance also plays an important conceptual and technical role. Nevertheless, there are no fundamental reasons to exclude or disregard alternative values of the curvature coupling beyond the conformal one.
The curvature coupling ( ξ ) can be directly interpreted as the sensitivity of the scalar field to curvature (R) [16,17]. It is interesting to note that the coefficient of R in the effective action of quantized fields after regularization plays the role of the “elasticity” of space in the well-known Sakharov hypothesis, according to which gravitational interaction is not fundamental but is the effective “elasticity” of space-time arising from quantum fluctuations of matter [18].
For a scalar field, a nonvanishing value of the curvature coupling ( ξ ) leads to a modification of the effective mass of particles, thereby influencing a wide range of physical processes. In particular, it affects mechanisms of particle creation and decay, plays a significant role during the inflationary stage of the Universe’s evolution [19], and has important implications for dark matter phenomenology and the formation of large-scale cosmic structures [20]. Furthermore, the value of ξ impacts the stability of the electroweak vacuum [21], among other phenomena. Despite these numerous theoretical and phenomenological motivations, it remains an open question as to what exact value of the curvature coupling occurs in nature, and it continues to be the subject of ongoing research.
The present paper focuses on changes in the vacuum energy of a charged massive scalar field ( ψ ) in flat space-time in the presence of a magnetic tube of radius r 0 , which is impenetrable to the matter field [22]. Our analysis focuses on how the induced vacuum energy depends on the curvature coupling. On the boundary of the tube, we adopt the most general Robin-type boundary condition for the field expressed as
( cos θ ψ + sin θ r r ψ ) | r 0 = 0 ,
where θ serves as a parameter of the boundary condition and varies within the interval of π / 2 θ < π / 2 . The limiting values of θ = 0 and θ = π / 2 reproduce the Dirichlet and Neumann boundary conditions, respectively. The vacuum energy induced in these particular cases has been previously studied in [23,24,25,26].
In [27], it was demonstrated that in a flat, two-dimensional space, the total vacuum energy of a scalar field induced by an impenetrable cylindrical tube characterized by Robin-type boundary conditions and an internal magnetic flux exhibits a dependence on the curvature coupling ( ξ ). In the present paper, we aim to extend this result to the physically relevant case of three-dimensional space.

2. Induced Vacuum Energy Density: General Relations

In the case of a static background [15,28,29], the operator of the second-quantized charged scalar field takes the form of
Ψ ( x 0 , x ) = λ 1 2 E λ e i E λ x 0 ψ λ ( x ) a λ + e i E λ x 0 ψ λ * ( x ) b λ ,
where a λ and a λ ( b λ and b λ ) denote the creation and annihilation operators for scalar particles (antiparticle). The λ label represents the complete set of quantum numbers that uniquely characterize a given state. The quantity of E λ = E λ > 0 is the corresponding energy of the state. The λ notation indicates a combined sum over discrete quantum numbers ( λ ) and integration over continuous ones with an appropriate measure. Wave functions ( ψ λ ( x ) ) satisfy the stationary Klein–Gordon equation:
2 + ( m 2 + ξ R ) ψ λ ( x ) = E λ 2 ψ ( x ) ,
where ∇ stands for the covariant spatial derivative in the external background field.
The vacuum energy density is defined as the expectation value of the T 00 component of the energy–momentum tensor in the vacuum state. In flat space-time, it can be written as
ε = ε c a n + ( 1 / 4 ξ ) ε ξ = λ E λ ψ λ * ( x ) ψ λ ( x ) + ( 1 / 4 ξ ) 2 λ E λ 1 ψ λ * ( x ) ψ λ ( x ) ,
where ε c a n denotes the canonical energy density ( T c a n 00 ), which is independent of ξ . It should be noted that for ξ = 1 / 4 , the energy density reduces to its canonical form [30].
We consider a static background consisting of a cylindrical tube of finite thickness that contains a magnetic flux. The coordinate system is chosen such that the tube is aligned with the z-axis. The covariant derivative is defined as 0 = 0 , = i e V . The vector potential has a single nonvanishing component outside the tube, i.e.,
V φ = Φ / 2 π ,
where Φ denotes the magnetic flux confined within the tube and φ corresponds to the angular variable in the polar coordinate system ( r , φ ) on the plane orthogonal to the tube’s axis.
In flat space-time, the function satisfying Equation (6) and obeying the Robin boundary conditions (4) at the surface of an impenetrable tube with radius r 0 can be expressed as follows in the region outside the tube (see Appendix A):
ψ k n p ( x ) = e i n φ 2 π e i p z Ω | n e Φ / 2 π | ( θ , k r , k r 0 ) ,
where θ is the parameter characterizing the boundary condition (4), and
Ω ρ ( θ , u , v ) = sin μ ρ ( θ , v ) J ρ ( u ) cos μ ρ ( θ , v ) Y ρ ( u ) ,
sin μ ρ ( θ , v ) = [ γ ρ ( θ , v ) ] 1 / 2 [ cos θ Y ρ ( v ) + sin θ v Y ρ ( v ) ] ,
cos μ ρ ( θ , v ) = [ γ ρ ( θ , v ) ] 1 / 2 [ cos θ J ρ ( v ) + sin θ v J ρ ( v ) ] ,
γ ρ ( θ , v ) = cos θ J ρ ( v ) + sin θ v J ρ ( v ) 2 + cos θ Y ρ ( v ) + sin θ v Y ρ ( v ) 2 .
were γ ρ ( θ , v ) denotes the factor that ensures the proper normalization of the functions; 0 < k < ; < p < ; and index n takes values from Z , the set of all integers. The J ρ ( u ) and Y ρ ( u ) symbols represent the Bessel functions of the first and second kinds, respectively, of order ρ [31]. The prime notation applied to a function indicates differentiation with respect to its argument.
Unfortunately, the definition (7) exhibits ultraviolet divergences and requires renormalization. For the considered setup, where the magnetic field is confined outside the region available to the matter field, the renormalization procedure requires only a single subtraction: removing the contribution corresponding to vanishing magnetic flux [32]. The induced vacuum energy is defined as the difference between the vacuum energies of an impenetrable tube with and without magnetic flux, evaluated at a fixed value of the tube thickness. The surface divergence associated with the tube boundary (Casimir surface energy), which depends only on the boundary geometry and imposed boundary conditions [3,4,33,34], is independent of the magnetic flux and therefore cancels in the subtraction. For this reason, when computing the induced vacuum energy, we do not separate the contributions of the bulk- and surface-divergent termss(ee, e.g., ref. [35]). Therefore, the renormalized vacuum energy density can be written as [25]
ε r e n = ε c a n + ( 1 / 4 ξ ) ε ξ = = 1 ( 2 π ) 2 d p 0 d k k p 2 + k 2 + m 2 + 1 / 4 ξ p 2 + k 2 + m 2 r G ( θ , k r , k r 0 , Φ ) ,
where r = r 2 + r 1 r represents the radial component of the Laplacian operator acting on the plane perpendicular to the tube. The G function is introduced as follows:
G ( θ , k r , k r 0 , Φ ) = S ( θ , k r , k r 0 , Φ ) S ( θ , k r , k r 0 , 0 ) ,
S ( θ , k r , k r 0 , Φ ) = n Z Ω | n e Φ / 2 π | 2 ( θ , k r , k r 0 ) .
A comprehensive discussion of the properties and different representations of the S function can be found in [27].
It is important to emphasize that because the summation in (16) extends over an infinite range, the S function and, consequently, the G function, along with all related induced physical quantities, depend solely on the fractional part of the magnetic flux contained within the tube. This fractional magnetic flux is defined as
F = e Φ 2 π e Φ 2 π , ( 0 F < 1 ) ,
where [ [ u ] ] denotes the integer part of the quantity (u), i.e., the greatest integer less than or equal to u.
Furthermore, the dependence of all physical quantities on F exhibits symmetry under the transformation of F 1 F . This symmetry reflects the topological nature of the effect and is a consequence of the fact that the matter field does not penetrate into the region of space where the magnetic field is present. It therefore represents a clear manifestation of the Aharonov–Bohm phenomenon, emphasizing that only the fractional part of the magnetic flux has physical significance in this setting.

3. Induced Vacuum Energy: Dependence on the Curvature Coupling

Since the induced vacuum energy density (14) is a function solely of the radial distance in the plane orthogonal to the cylindrical tube, it exhibits no dependence on the longitudinal coordinate. As a consequence, when one attempts to compute the total induced vacuum energy in ( 3 + 1 ) -dimensional space-time by integrating this density over the entire spatial volume, the integration along the z-direction (perpendicular to the transverse plane of the tube) leads to a divergence.
For this reason, from a physical point of view, it is more appropriate and meaningful to restrict the analysis to the induced vacuum energy defined per unit length of the tube or, equivalently, to consider the energy integrated only over the plane orthogonal to the tube. This approach yields a finite and well-defined quantity that captures the physically relevant vacuum polarization effects associated with the presence of the magnetic defect.
In this paper, we will focus only on the contribution to the induced vacuum energy (14) in the plane orthogonal to the tube that is proportional to ( 1 / 4 ξ ) . By exchanging the order of integration over r and p, this contribution to the induced vacuum energy can be rewritten in terms of the corresponding induced vacuum energy in two-dimensional space-time (for details, see [25]):
E ξ ( 3 + 1 ) = 1 2 π r 0 d r r d p 0 d k k Δ r G ( θ , k r , k r 0 , F ) p 2 + k 2 + m 2 = 1 ( r 0 ) 2 1 π m r 0 d v v 2 D ξ ( θ , v , F ) v 2 ( m r 0 ) 2 ,
where D ξ determines the induced vacuum energy in two-dimensional space-time:
E ξ ( 2 + 1 ) = m D ξ ( θ , m r 0 , F ) ,
D ξ ( θ , y , F ) = y d x x Δ x 0 d z z G ( θ , z , z y / x , F ) x z 2 + x 2 .
Using the method obtained in [27] for the vacuum energy ( E ξ ( 2 + 1 ) ) in ( 2 + 1 ) -dimensional flat space-time induced by a magnetic tube of thickness m r 0 = 1 / 100 , we numerically compute E ξ ( 2 + 1 ) for other tube thicknesses. In our analysis, we fix the magnetic flux inside the tube at the half-integer value ( F = 1 / 2 ), for which the induced vacuum energy is known to be maximal, as established analytically in the case of a singular magnetic vortex [6,30]. In the case of a magnetic tube of finite radius, we expect the induced vacuum energy to be a more complicated function of the magnetic flux but to remain proportional to sin ( F π ) , as in the case of a singular magnetic vortex. For simplicity, we also restrict ourselves to considering only negativevalues of the parameter characterizing the boundary condition ( π / 2 θ 0 ), since for positive values of the θ parameter, the calculations would have to be more involved, taking into account the emergence of bound states in the solutions of (6) (see [22]).
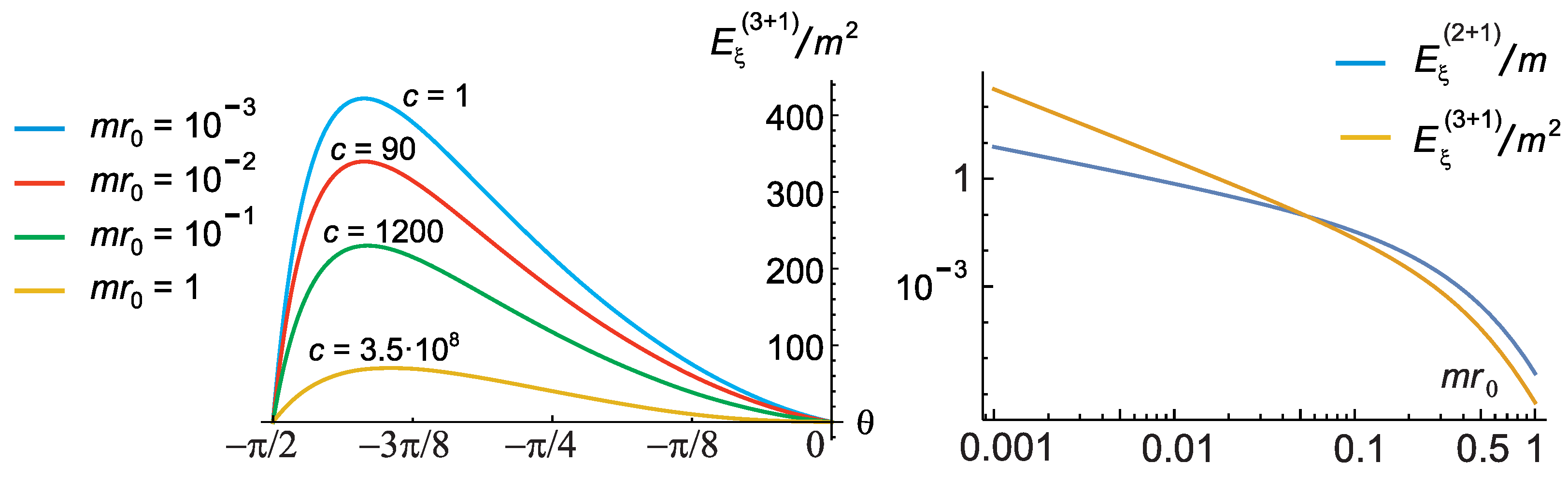
We computed the induced vacuum energy numerically in ( 3 + 1 ) -dimensional flat space-time and compared the results with those obtained in ( 2 + 1 ) -dimensional space-time, as illustrated in Figure 1. One can see that the induced dimensionless vacuum energy in three-dimensional flat space-time ( E ξ ( 3 + 1 ) / m 2 ) induced by the presence of the magnetic topological defect is independent of the curvature coupling ( ξ ) only in the limiting cases of Dirichlet ( θ = 0 ) and Neumann ( θ = π / 2 ) boundary conditions, where E ξ ( 3 + 1 ) / m 2 = 0 . For intermediate values ( π / 2 < θ < 0 ), the induced vacuum energy ( E ξ ( 3 + 1 ) / m 2 ) is nonzero. One can also see that E ξ ( 3 + 1 ) / m 2 rapidly decreases with increasing tube thickness ( m r 0 ; see left panel). Furthermore, a comparison of the induced vacuum energy in three- and two-dimensional space-time for the partial case of a boundary condition parameter of θ = 1 shows that for thin magnetic tubes ( m r 0 0.05 ), the dimensionless induced vacuum energy is larger in ( 3 + 1 ) -dimensional space–time. In contrast, for thick magnetic tubes ( m r 0 0.05 ), the dimensionless induced vacuum energy becomes larger in ( 2 + 1 ) -dimensional space–time, as shown in the right panel.

4. Dependence on the Boundary-Condition Parameter

In the previous section, we derived the dependence of the induced vacuum energy ( E ξ ( 3 + 1 ) ) on the boundary-condition parameter for various magnetic-tube thicknesses (see Figure 1). We now focus on a detailed investigation of the θ dependence of more subtle features of the vacuum effect.
First, let us discuss the asymptotic behavior of the induced vacuum energy ( E ξ ( 3 + 1 ) ) for the case of infinitely thin and sufficiently thick tubes. Please note that since quantum effects depend on the dimensionless thickness of the tube ( m r 0 ), there are actually two possible scenarios: either the tube radius ( r 0 ) or the scalar-field mass (m) becomes infinitely large or small.
The asymptotic relation for the case of m r 0 1 can be obtained from (18):
E ξ ( 3 + 1 ) = C ( θ , F ) ( r 0 ) 2 , C ( θ , F ) = 1 π 0 d v v D ξ ( θ , v , F ) .
It should be noted that the asymptotic dependence of the induced energy (∼ ( r 0 ) 2 ) is fully consistent with the results obtained in the approach of the singular magnetic vortex (see, e.g., refs. [6,30,32]). As one can see, relation (21) does not depend on mass and contains only one dimensional parameter ( r 0 ). Therefore, the relation expressed as E ξ ( 3 + 1 ) ( r 0 ) 2 can be obtained only from dimensional analysis. We would like to remind you that E ξ ( 3 + 1 ) is not the full induced vacuum energy but the corresponding energy density integrated only over the coordinates in the plane perpendicular to the tube. The dependence of the coefficient ( C ( θ , F ) ) in (21) on boundary-condition parameter θ at half-integer magnetic flux inside the tube ( F = 1 / 2 ) is presented in Figure 2. As one can see, this dependence qualitatively reproduces behavior of the induced vacuum energy ( E ξ ( 3 + 1 ) ) as a function of the θ parameter (see Figure 1).
The asymptotic relation for the case of m r 0 1 follows from (18) by employing the asymptotic expression for the D ξ function, i.e., for the induced vacuum energy in ( 2 + 1 ) -dimensional space (see (19)). Numerical analysis indicates that this function can be well approximated at large m r 0 values as
D ξ a s = e α β m r 0 m r 0 , m r 0 1 ,
where α and β are positive coefficients depending on the θ and F parameters. Substituting this asymptotic form into (18), the integration can be performed explicitly, yielding
E ξ ( 3 + 1 ) = m 2 e α π m r 0 K 1 ( β m r 0 ) m 2 2 π β e α β m r 0 ( m r 0 ) 3 / 2 , x 0 1 ,
where K μ ( u ) denotes the MacDonald function.
The dependence of the α ( θ , F ) and β coefficients in (21) on the boundary-condition parameter ( θ ) at half-integer magnetic flux inside the tube ( F = 1 / 2 ) is presented in Figure 2. One can observe the expected correlation: if the induced vacuum energy at a given θ is larger at intermediate values of the m r 0 parameters, then it also decreases more slowly as m r 0 increases.
Finally, we became interested in the question of the tube thickness ( m r 0 ) below which the dimensionless induced vacuum energy in ( 3 + 1 ) -dimensional space-time becomes larger than that in ( 2 + 1 ) -dimensional space-time. This behavior is illustrated in Figure 1, where the situation is shown for a particular value of the parameter characterizing the boundary condition ( θ = 1 ). We investigated the value of the tube thickness ( m r 0 ) at which the dimensionless induced vacuum energy in ( 3 + 1 ) -dimensional space-time equals the corresponding dimensionless induced energy in ( 2 + 1 ) -dimensional space-time as a function of the boundary-condition parameter (see Figure 3). Somewhat unexpectedly, our analysis shows that the corresponding value of the magnetic-tube thickness is practically independent of θ and is approximately m r 0 0.05 .

5. Conclusions

We studied vacuum polarization (change of vacuum energy) of a charged massive scalar field induced by a magnetic topological defect in flat ( 3 + 1 ) -dimensional space-time. The defect was modeled as an impenetrable-to-matter-field, finite-thickness tube with magnetic flux inside. On the boundary of the tube, we adopt the most general Robin-type boundary condition for the field, allowing for an analysis of vacuum effects in a fully general setting. Our attention was focused on studying the dependence of the induced vacuum energy in flat space-time on the curvature coupling ( ξ ), which governs the interaction between the scalar field and the space-time curvature.
We find that, in flat space-time, the induced vacuum energy within the plane perpendicular to the tube can be written as E ( 3 + 1 ) = E c a n ( 3 + 1 ) + ( 1 / 4 ξ ) E ξ ( 3 + 1 ) and does not depend on the curvature coupling ( ξ ) only in the special cases of Dirichlet and Neumann boundary conditions, i.e., when the induced vacuum energy E ξ ( 3 + 1 ) vanishes. In contrast, when general Robin boundary conditions are imposed, the induced vacuum energy exhibits an explicit dependence on the curvature coupling ( ξ ) and demonstrates a nontrivial sensitivity to the boundary-condition parameter ( θ ). Our conclusion is that, in principle, precise experimental observations of vacuum polarization in flat space-time may serve as an independent approach to investigate the curvature coupling parameter ( ξ ).
For values of θ in the range of π / 2 θ 0 , we numerically evaluated E ξ ( 3 + 1 ) (see the left panel of Figure 1). As can be observed from our analysis, the magnitude of the induced vacuum energy increases significantly as the thickness of the magnetic tube ( m r 0 ) decreases. However, for magnetic tubes of large thickness ( m r 0 1 ), the induced vacuum energy decreases very rapidly. The dependence of E ξ ( 3 + 1 ) on the boundary-condition parameter is nontrivial: it is a smooth function with a single maximum. As the thickness of the tube decreases, the boundary-condition parameter ( θ ) at which the induced energy attains its maximum shifts gradually toward lower values, approaching θ = 1.313 in the limit of an infinitely thin tube (see the left panel of Figure 2).
We carried out a detailed analysis of the asymptotic behavior of the induced vacuum energy ( E ξ ( 3 + 1 ) ) in the limiting cases of an ultra-thin ( m r 0 1 ) and significantly thick ( m r 0 1 ) magnetic tube see (the corresponding relations (21) and (23)). Additionally, we examined the dependence of the asymptotic coefficients on the boundary-condition parameter ( θ ) (see Figure 2).
Finally, we became interested in the question of the tube thickness ( m r 0 ) below which the dimensionless induced vacuum energy in ( 3 + 1 ) -dimensional space-time becomes larger than that in ( 2 + 1 ) -dimensional space-time (see right panel of Figure 1 for a particular value of the boundary-condition parameter ( θ = 1 )). We studied the tube thickness ( m r 0 ) at which the induced dimensionless vacuum energy in ( 3 + 1 ) -dimensional space-time coincides with that in ( 2 + 1 ) -dimensional spacetime and how it depends on the boundary-condition parameter ( θ ) (see Figure 3). Remarkably, this characteristic thickness turns out to be nearly independent of θ and is approximately m r 0 0.05 .
It would be interesting to further investigate the vacuum energy induced by a magnetic tube with Robin boundary conditions and a positive boundary parameter. In this regime, the Klein–Gordon equation may contain bound state solutions, which can make a significant contribution to the induced vacuum energy. This could yield interesting and nontrivial results similar to those discussed in [22] and in [36] for the Casimir effect, where this was done for the first time.

Author Contributions

Conceptualization, supervision and original draft preparation, V.G.; numerical computation, A.Z. and N.Y.; formal analysis, O.B. and P.N.; writing—review and editing, P.N. and M.T.; validation and visualization, A.Z. and M.T. All authors have read and agreed to the published version of the manuscript.

Funding

The work of V.G. was partially supported by the project ‘High-energy processes in plasma: acceleration of cosmic rays and their contribution to space weather’ of the Ministry of Education and Science of Ukraine (25BF051-04, 0125U002256).

Data Availability Statement

All data supporting the findings of this study are contained within the paper.

Acknowledgments

V.G. would like to warmly thank the organizers of “BGL2025: The 13th Bolyai–Gauss–Lobachevsky Conference on Non-Euclidean Geometry and Its Applications” for their kind hospitality and for creating such a welcoming and inspiring atmosphere throughout the meeting.

Conflicts of Interest

The authors declare no conflicts of interest. The funders had no role in the design of the study; in the collection, analyses, or interpretation of data; in the writing of the manuscript; or in the decision to publish the results.

Appendix A. Solutions to the Klein–Gordon Equation

The Klein–Gordon Equation (6) in the case of flat space-time takes the following form:
{ ( 2 + m 2 ) } Ψ λ ( x ) = E λ 2 Ψ λ ( x ) .
In the external-field background given by Equation (8), using cylindrical coordinates, we obtain
2 r 2 + 1 r 2 φ i e Φ 2 π 2 + 1 r r + 2 z 2 + m 2 Ψ λ ( x ) = E λ 2 Ψ λ ( x ) .
We will seek a solution in the form of
Ψ λ ( x ) = β f ( k r ) e i n φ e i p z .
Substituting this ansatz into Equation (A2) and using the relation expressed as E 2 = m 2 + p 2 + k 2 , we obtain the following radial equation:
2 f r 2 + 1 r f r + k 2 ( n e Φ 2 π ) 2 r 2 f = 0 .
Introducing the dimensionless variable ( α = k r ), this equation takes the form of the Bessel equation, i.e.,
α 2 2 f α 2 + α f α + α 2 n e Φ 2 π 2 f = 0 ,
whose general solution is
f ( k r ) = A J τ ( k r ) + B Y τ ( k r ) ,
where J τ ( u ) and Y τ ( u ) represent the Bessel functions of the first and second kinds, respectively, of order τ [31]; τ = | n e Φ 2 π | .
By imposing the Robin boundary condition (4), we find that parameters A and B in (A6) can be presented in the form of
A = cos θ Y τ ( k r 0 ) + sin θ ( k r 0 ) Y τ ( k r 0 ) , B = cos θ J τ ( k r 0 ) + sin θ ( k r 0 ) J τ ( k r 0 ) .
The general normalization factor ( β ) in (A3) can be found from the normalization condition, which, for our case of flat space-time outside the tube with an impenetrable boundary and a static background, takes the form of
r > r 0 Ψ k n p * ( x ) Ψ k n p ( x ) d x = δ n n δ ( p p ) δ ( k k ) k .
The k 1 factor on the right-hand side is related to the fact that k is the radial component of the momentum in the cylindrical coordinate system, reflecting the measure in momentum space. The choice of normalization condition in the form of (A8) is consistent with the expression for the second-quantized charged scalar-field operator (5), in which the 1 / 2 E λ factor is explicitly singled out.
Thus, we obtain
β = 1 2 π 1 A 2 + B 2 .
Finally, by introducing the notations expressed as sin μ = A / A 2 + B 2 and cos μ = B / A 2 + B 2 , we obtain Equation (10).

References

  1. Casimir, H.B.G. On the attraction between two perfectly conducting plates. Indag. Math. 1948, 10, 261–263. [Google Scholar]
  2. Elizalde, E. Ten Physical Applications of Spectral Zeta Functions; Springer: Berlin, Germany, 1995; Volume 35. [Google Scholar] [CrossRef]
  3. Mostepanenko, V.M.; Trunov, N.N.; Znajek, R.L. The Casimir Effect and Its Applications; Oxford University Press: Oxford, UK, 1997. [Google Scholar] [CrossRef]
  4. Bordag, M.; Mohideen, U.; Mostepanenko, V.M. New developments in the Casimir effect. Phys. Rept. 2001, 353, 1–205. [Google Scholar] [CrossRef]
  5. Klimchitskaya, G.L.; Mostepanenko, V.M. Testing Gravity and Predictions Beyond the Standard Model at Short Distances: The Casimir Effect. In Modified and Quantum Gravity: From Theory to Experimental Searches on All Scales; Springer International Publishing: Cham, Switzerland, 2023; Volume 1017, pp. 403–445. [Google Scholar] [CrossRef]
  6. Serebryanyi, E.M. Vacuum Polarization by Magnetic Flux: The Aharonov-Bohm Effect. Theor. Math. Phys. 1985, 64, 846–855. [Google Scholar] [CrossRef]
  7. Flekkoy, E.G.; Leinaas, J.M. Vacuum currents around a magnetic flux string. Int. J. Mod. Phys. A 1991, 6, 5327–5348. [Google Scholar] [CrossRef]
  8. Gornicki, P. Aharonov-Bohm Effect and Vacuum Polarization. Ann. Phys. 1990, 202, 271–296. [Google Scholar] [CrossRef]
  9. Bordag, M. The vacuum interaction of magnetic strings. Ann. Phys. 1991, 206, 257–271. [Google Scholar] [CrossRef]
  10. Bordag, M.; Kirsten, K. Ground state energy of a spinor field in the background of a finite radius flux tube. Phys. Rev. D 1999, 60, 105019. [Google Scholar] [CrossRef][Green Version]
  11. Sitenko, Y.A.; Babansky, A.Y. The Casimir-Aharonov-Bohm effect? Mod. Phys. Lett. A 1998, 13, 379–386. [Google Scholar] [CrossRef]
  12. Aharonov, Y.; Bohm, D. Significance of Electromagnetic Potentials in the Quantum Theory. Phys. Rev. 1959, 115, 485–491. [Google Scholar] [CrossRef]
  13. Chernikov, N.A.; Tagirov, E.A. Quantum theory of scalar field in de Sitter space-time. Ann. L’Institut Henri Poincaré. Sect. A Phys. Théorique 1968, 9, 109–141. [Google Scholar]
  14. Callan, C.G., Jr.; Coleman, S.R.; Jackiw, R. A New improved energy-momentum tensor. Ann. Phys. 1970, 59, 42–73. [Google Scholar] [CrossRef]
  15. Birrell, N.D.; Davies, P.C.W. Quantum Fields in Curved Space; Cambridge Monographs on Mathematical Physics; Cambridge University Press: Cambridge, UK, 1982. [Google Scholar] [CrossRef]
  16. Calmet, X.; Kuntz, I.; Moss, I.G. Non-minimal Coupling of the Higgs Boson to Curvature in an Inflationary Universe. Found. Phys. 2018, 48, 110–120. [Google Scholar] [CrossRef]
  17. Hrycyna, O. The non-minimal coupling constant and the primordial de Sitter state. Eur. Phys. J. C 2020, 80, 817. [Google Scholar] [CrossRef]
  18. Visser, M. Sakharov’s Induced Gravity: A Modern Perspective. Mod. Phys. Lett. A 2002, 17, 977–991. [Google Scholar] [CrossRef]
  19. Kaiser, D.I. Nonminimal Couplings in the Early Universe: Multifield Models of Inflation and the Latest Observations. Fundam. Theor. Phys. 2016, 183, 41–57. [Google Scholar] [CrossRef]
  20. Sankharva, K.; Sethi, S. Nonminimally coupled ultralight axions as cold dark matter. Phys. Rev. D 2022, 105, 103517. [Google Scholar] [CrossRef]
  21. Branchina, V.; Bentivegna, E.; Contino, F.; Zappalà, D. Direct Higgs-gravity interaction and stability of our Universe. Phys. Rev. D 2019, 99, 096029. [Google Scholar] [CrossRef]
  22. Sitenko, Y.A.; Gorkavenko, V.M.; Tsarenkova, M.S. Magnetic flux in the vacuum of quantum bosonic matter in the cosmic string background. Phys. Rev. D 2022, 106, 105010. [Google Scholar] [CrossRef]
  23. Gorkavenko, V.M.; Sitenko, Y.A.; Stepanov, O.B. Polarization of the vacuum of quantized scalar field by impenetrable magnetic vortex of finite thickness. J. Phys. A 2010, 43, 175401. [Google Scholar] [CrossRef]
  24. Gorkavenko, V.M.; Sitenko, Y.A.; Stepanov, O.B. Vacuum energy induced by an impenetrable flux tube of finite radius. Int. J. Mod. Phys. A 2011, 26, 3889–3899. [Google Scholar] [CrossRef]
  25. Gorkavenko, V.M.; Sitenko, Y.A.; Stepanov, O.B. Casimir energy and force induced by an impenetrable flux tube of finite radius. Int. J. Mod. Phys. A 2013, 28, 1350161. [Google Scholar] [CrossRef]
  26. Gorkavenko, V.M.; Gorkavenko, T.V.; Sitenko, Y.A.; Tsarenkova, M.S. Induced Vacuum Energy Density of Quantum Charged Scalar Matter in the Background of an Impenetrable Magnetic Tube with the Neumann Boundary Condition. Ukr. J. Phys. 2022, 67, 715. [Google Scholar] [CrossRef]
  27. Gorkavenko, V.M.; Zaporozhchenko, A.O.; Tsarenkova, M.S. Dependence of scalar matter vacuum energy, induced by a magnetic topological defect, on the coupling to space-time curvature. J. Phys. A 2025, 58, 285401. [Google Scholar] [CrossRef]
  28. Grib, A.A.; Mamayev, S.G.; Mostepanenko, V.M. Vacuum Quantum Effects in Strong Fields; Friedmann Laboratory Publishing: St. Petersburg, Russia, 1994. [Google Scholar]
  29. Parker, L.E.; Toms, D. Quantum Field Theory in Curved Spacetime: Quantized Field and Gravity; Cambridge Monographs on Mathematical Physics; Cambridge University Press: Cambridge, UK, 2009. [Google Scholar] [CrossRef]
  30. Sitenko, Y.A.; Gorkavenko, V.M. Induced vacuum energy momentum tensor in the background of a d-2 brane in (d+1)-dimensional space-time. Phys. Rev. D 2003, 67, 085015. [Google Scholar] [CrossRef]
  31. Abramowitz, M.; Stegun, I.A. (Eds.) Handbook of Mathematical Functions with Formulas, Graphs, and Mathematical Tables; Applied Mathematics Series; National Bureau of Standards: Washington, DC, USA, 1964; Volume 55. [Google Scholar]
  32. Babansky, A.Y.; Sitenko, Y.A. Vacuum energy induced by a singular magnetic vortex. Theor. Math. Phys. 1999, 120, 876–882. [Google Scholar] [CrossRef]
  33. Bordag, M.; Vassilevich, D.; Falomir, H.; Santangelo, E.M. Multiple reflection expansion and heat kernel coefficients. Phys. Rev. D 2001, 64, 045017. [Google Scholar] [CrossRef]
  34. Vassilevich, D.V. Heat kernel expansion: User’s manual. Phys. Rept. 2003, 388, 279–360. [Google Scholar] [CrossRef]
  35. Bragança, E.A.F.; Bezerra de Mello, E.R. Vacuum current and polarization induced by magnetic flux in a higher-dimensional cosmic string in the presence of a flat boundary. Eur. Phys. J. Plus 2021, 136, 50. [Google Scholar] [CrossRef]
  36. Bordag, M.; Pirozhenko, I.G. Casimir effect with an unstable mode. Int. J. Mod. Phys. A 2025, 40, 2543018. [Google Scholar] [CrossRef]
Figure 1. (Left panel): The induced dimensionless vacuum energy ( E ξ 3 + 1 / m 2 ) is plotted as a function of the θ parameter, which characterizes the Robin boundary conditions on the surface of the impenetrable magnetic tube, for various tube thicknesses. For clarity, the curves are multiplied by the coefficient (c). (Right panel): Comparison of the induced dimensionless vacuum energy in ( 3 + 1 ) - and ( 2 + 1 ) -dimensional space-times as functions of the dimensionless tube thickness ( m r 0 ) with a boundary-condition parameter of θ = 1 . For both panels, we restrict ourselves to a half-integer magnetic flux ( F = 1 / 2 ).
Figure 1. (Left panel): The induced dimensionless vacuum energy ( E ξ 3 + 1 / m 2 ) is plotted as a function of the θ parameter, which characterizes the Robin boundary conditions on the surface of the impenetrable magnetic tube, for various tube thicknesses. For clarity, the curves are multiplied by the coefficient (c). (Right panel): Comparison of the induced dimensionless vacuum energy in ( 3 + 1 ) - and ( 2 + 1 ) -dimensional space-times as functions of the dimensionless tube thickness ( m r 0 ) with a boundary-condition parameter of θ = 1 . For both panels, we restrict ourselves to a half-integer magnetic flux ( F = 1 / 2 ).
Universe 12 00047 g001
Figure 2. (Left panel): The dependence of the coefficient ( C ( θ , F ) ) in the asymptotic relation at m r 0 1 (21) on boundary-condition parameter θ . (Right panel): The dependence of the coefficients ( α ( θ , F ) and β ( θ , F ) ) in the asymptotic relations at m r 0 1 (22), (23) on boundary-condition parameter θ . We restrict ourselves to a half-integer magnetic flux ( F = 1 / 2 ).
Figure 2. (Left panel): The dependence of the coefficient ( C ( θ , F ) ) in the asymptotic relation at m r 0 1 (21) on boundary-condition parameter θ . (Right panel): The dependence of the coefficients ( α ( θ , F ) and β ( θ , F ) ) in the asymptotic relations at m r 0 1 (22), (23) on boundary-condition parameter θ . We restrict ourselves to a half-integer magnetic flux ( F = 1 / 2 ).
Universe 12 00047 g002
Figure 3. The dependence of the tube thickness ( m r 0 ) at which the dimensionless induced vacuum energy ( E ξ ( 3 + 1 ) / m 2 ) in ( 3 + 1 ) -dimensional space-time equals the corresponding dimensionless induced vacuum energy ( E ξ ( 2 + 1 ) / m ) in ( 2 + 1 ) -dimensional space-time on the boundary-condition parameter ( θ ) for F = 1 / 2 .
Figure 3. The dependence of the tube thickness ( m r 0 ) at which the dimensionless induced vacuum energy ( E ξ ( 3 + 1 ) / m 2 ) in ( 3 + 1 ) -dimensional space-time equals the corresponding dimensionless induced vacuum energy ( E ξ ( 2 + 1 ) / m ) in ( 2 + 1 ) -dimensional space-time on the boundary-condition parameter ( θ ) for F = 1 / 2 .
Universe 12 00047 g003
Disclaimer/Publisher’s Note: The statements, opinions and data contained in all publications are solely those of the individual author(s) and contributor(s) and not of MDPI and/or the editor(s). MDPI and/or the editor(s) disclaim responsibility for any injury to people or property resulting from any ideas, methods, instructions or products referred to in the content.

Share and Cite

MDPI and ACS Style

Gorkavenko, V.; Barabash, O.; Nakaznyi, P.; Tsarenkova, M.; Yakovenko, N.; Zaporozhchenko, A. Effects of Curvature–Scalar Coupling on Vacuum Energy in Flat (3+1)-Dimensional Space-Time. Universe 2026, 12, 47. https://doi.org/10.3390/universe12020047

AMA Style

Gorkavenko V, Barabash O, Nakaznyi P, Tsarenkova M, Yakovenko N, Zaporozhchenko A. Effects of Curvature–Scalar Coupling on Vacuum Energy in Flat (3+1)-Dimensional Space-Time. Universe. 2026; 12(2):47. https://doi.org/10.3390/universe12020047

Chicago/Turabian Style

Gorkavenko, Volodymyr, Oleh Barabash, Pavlo Nakaznyi, Mariia Tsarenkova, Nazar Yakovenko, and Andrii Zaporozhchenko. 2026. "Effects of Curvature–Scalar Coupling on Vacuum Energy in Flat (3+1)-Dimensional Space-Time" Universe 12, no. 2: 47. https://doi.org/10.3390/universe12020047

APA Style

Gorkavenko, V., Barabash, O., Nakaznyi, P., Tsarenkova, M., Yakovenko, N., & Zaporozhchenko, A. (2026). Effects of Curvature–Scalar Coupling on Vacuum Energy in Flat (3+1)-Dimensional Space-Time. Universe, 12(2), 47. https://doi.org/10.3390/universe12020047

Note that from the first issue of 2016, this journal uses article numbers instead of page numbers. See further details here.

Article Metrics

Back to TopTop