Tidal Forces Around Black-Bounce-Reissner–Nordström Black Hole
Abstract
1. Introduction
2. Black-Bounce-Reissner–Nordström Spacetime
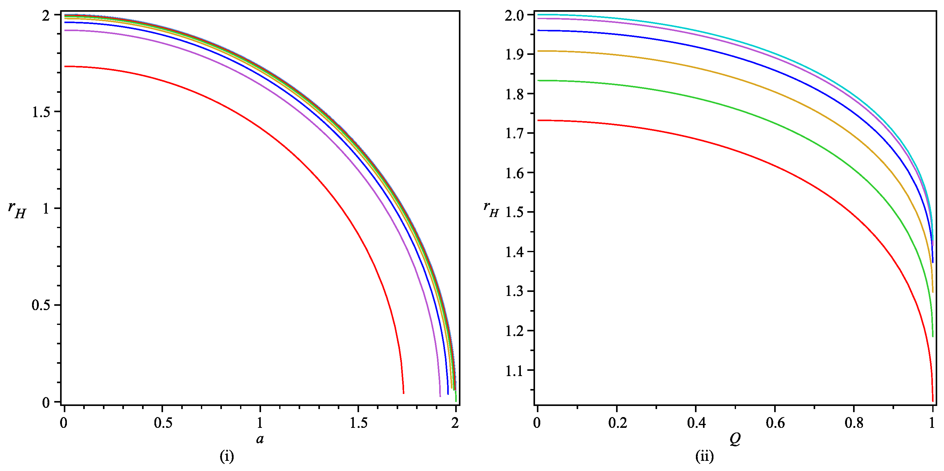
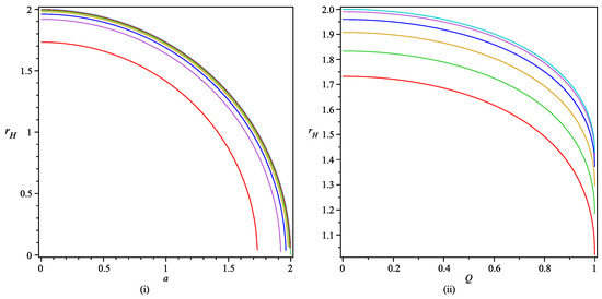
Event Horizon of Black-Bounce-RNBH Spacetime
3. First Integrals of Geodesic Equations
Effective Potential for Black-Bounce-RNBH Spacetime
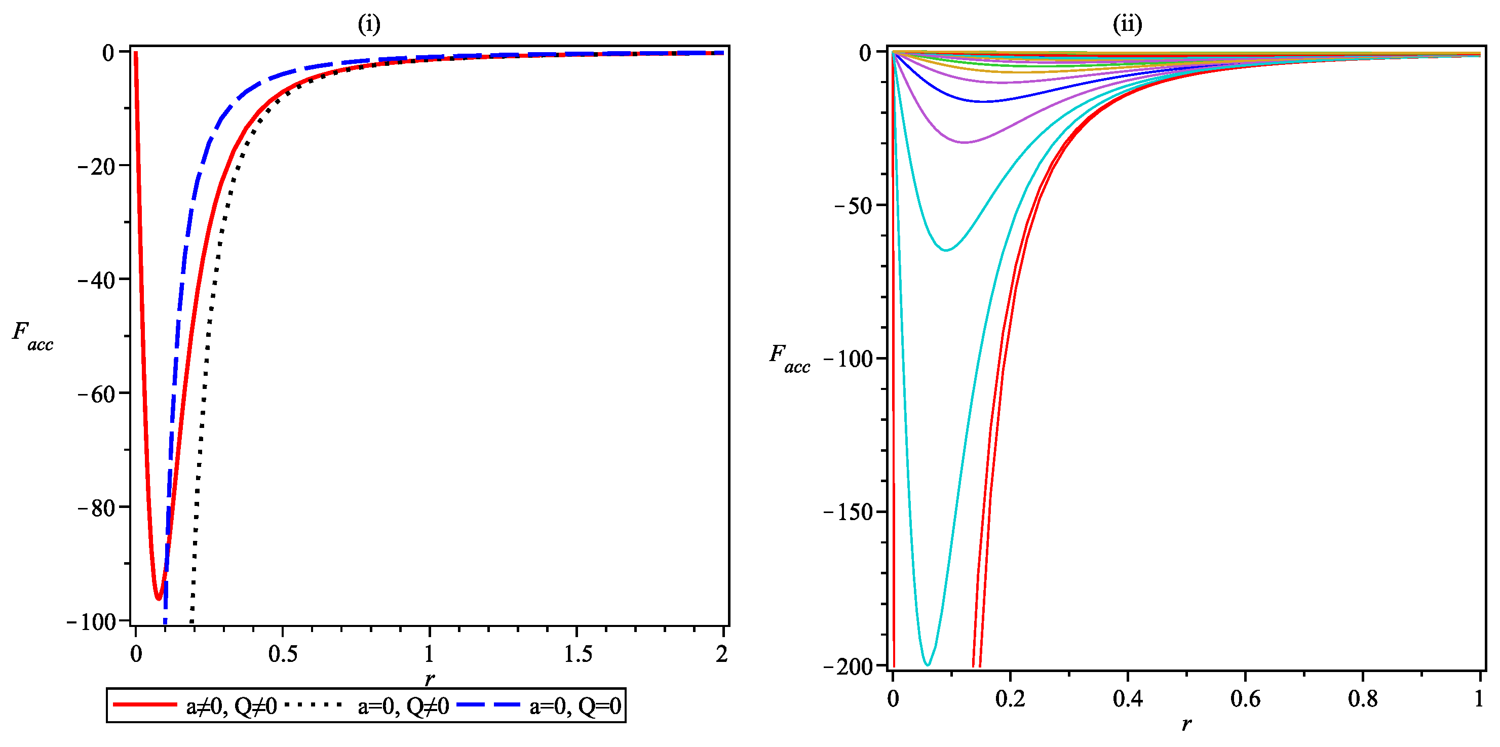
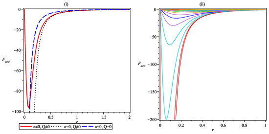
4. Newtonian Radial Acceleration
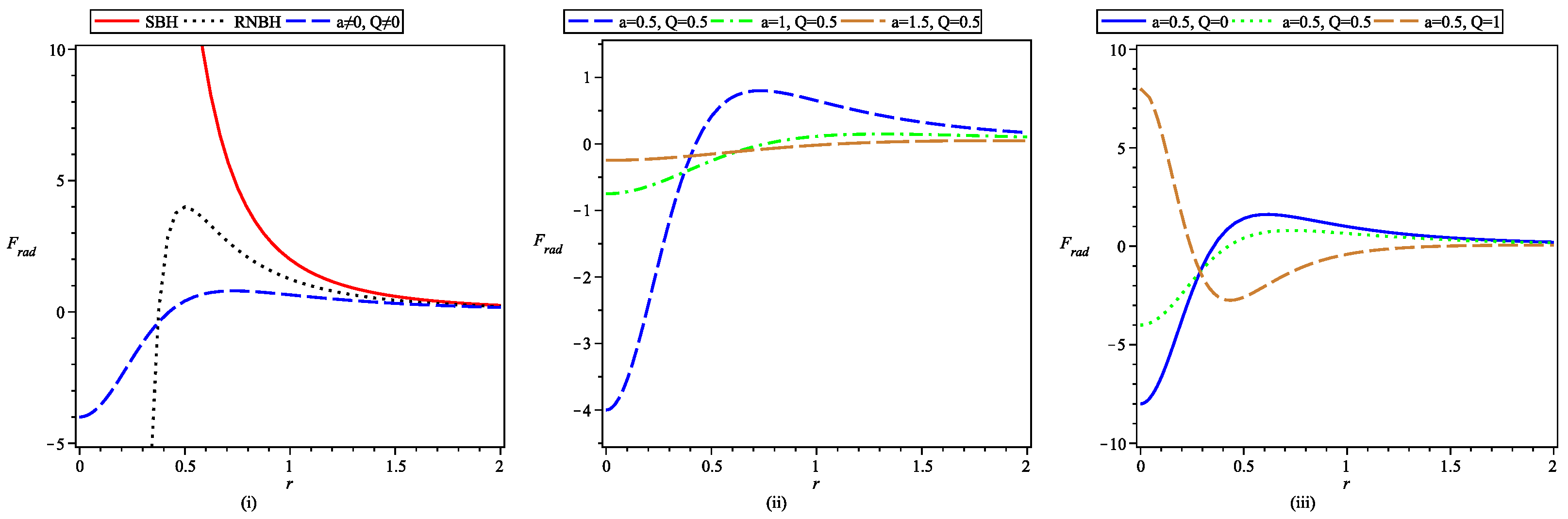
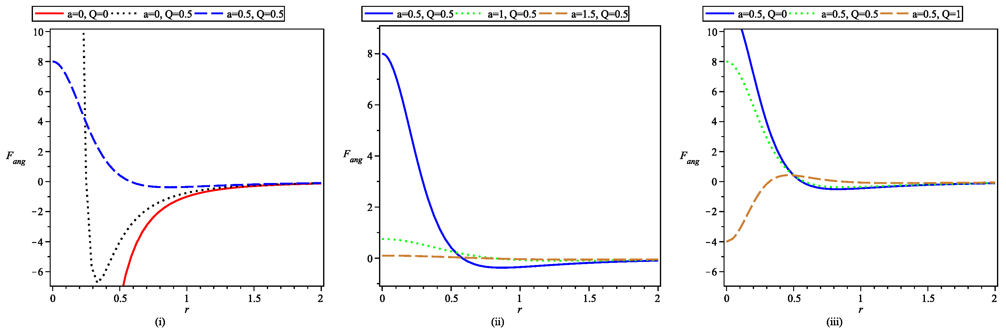
Analysis of Tidal Forces Acting in Black-Bounce-RNBH Spacetime
5. Revisiting the Geodesic Deviation Equations and Their Solutions
6. Conclusions
- (i)
- The presence or absence of horizons defines whether it is a black bounce (with event horizon) or a wormhole-like structure (without horizon). Different conditions for the possible horizon structure are tabulated in Table 1.
- (ii)
- The expression for Newtonian radial acceleration is obtained for black-bounce-RNBH spacetime, and further, the tidal forces in radial and angular directions are analyzed in detail. Newtonian radial acceleration is plotted as a function of radial parameter r, in order to identify the quantitative difference to those of classical BHs (SBH, RNBH).
- (iii)
- Comparative plots for tidal forces show the absence of infinite radial stretching and infinite angular compression in the case of black-bounce-RNBH spacetime for any object approaching central singularity. As the particle reaches near the central region, now it is not turned apart by infinite forces as in the case of an SBH, but the magnitude of the tidal forces reaches their respective maximum and decreases afterwards.
- (iv)
- The tidal force in the case of a regular BH is substantially strong in comparison to a wormhole, where the traveler/particle feels an almost negligible force near the center. In addition to it, in the case of a regular BH, there exists a non-zero value of distance where the particle bounces back, although the tidal force is finite but the particle does not approach the singularity after a certain distance.
- (v)
- The generalized set up of geodesic deviation equations around black-bounce-RNBH spacetime are derived and solved analytically in terms of elliptical integrals.
- (vi)
- The geodesic deviation equations are also solved numerically using two initial conditions, the first corresponding to the particle starting from rest and having fixed energy, while the second corresponds to an exploding particle with a varying energy value along its path. The numerical plots are shown in Figure 7, Figure 8, Figure 9 and Figure 10. If one observes that under IC-I radial divergence between neighboring geodesics starts at a fixed r and it increases for far distances from THE center, in the near central region, the behavior is the opposite. The strength of relative separation reduces for black-bounce-RNBH spacetime in comparison to an SBH and RNBH. In contrast, the initially diverging geodesics keep on diverging in radial as well as angular directions under IC-II.
- (vii)
- In the angular direction, the initially converging geodesics for an SBH diverge under IC-I. Now if one observes the far field behavior, the non-zero and increasing values of both Q and a result in a larger magnitude of the separation vector, thus helping the relative divergence of geodesics. A similar pattern is seen under IC-II in the angular direction.
- (viii)
- To visualize any observational signature arising due to distinct tidal behaviors, one needs to carry out the study of phenomena such as the formation and properties of the accretion disk around the rotating counterpart of such BHs or study the kinematics of geodesic flows in general. Further, the study of these phenomena will be helpful to look for the physical implications of the bounce parameter, especially in the bounce or throat region where the parameter shows its significant presence.
Funding
Data Availability Statement
Acknowledgments
Conflicts of Interest
References
- Hartle, J.B. Gravity: An Introduction to Einstein’s General Relativity; Pearson Education Inc.: Singapore, 2003. [Google Scholar]
- Wald, R.M. General Relativity; University of Chicago Press: Chicago, IL, USA, 1984. [Google Scholar]
- Poisson, E. A Relativist’s Toolkit: The Mathematics of Black-Hole Mechanics; Cambridge University Press: London, UK, 2009. [Google Scholar] [CrossRef]
- Stoica, O.C. The Geometry of Black Hole singularities. Adv. High Energy Phys. 2014, 2014, 907518. [Google Scholar] [CrossRef]
- Tipler, F.J. Energy conditions and spacetime singularities. Phys. Rev. D 1978, 17, 2521–2528. [Google Scholar] [CrossRef]
- Bronnikov, K.A.; Rubin, S.G. Black Holes, Cosmology and Extra Dimensions; World Scientific: Singapore, 2013. [Google Scholar]
- Lobo, F.S.N.; Rodrigues, M.E.; de Sousa Silva, M.V.; Simpson, A.; Visser, M. Novel black-bounce spacetimes: Wormholes, regularity, energy conditions, and causal structure. Phys. Rev. D 2021, 103, 084052. [Google Scholar] [CrossRef]
- Rodrigues, M.E.; Silva, M.V.d.S. Black-bounces with multiple throats and anti-throats. Class. Quant. Grav. 2023, 40, 225011. [Google Scholar] [CrossRef]
- Bardeen, J. Non-singular general-relativistic gravitational collapse. In Proceedings of the GR5, Tbilisi, USSR, 9–16 September 1968; Volume 42, p. 174. [Google Scholar]
- Simpson, A.; Visser, M. Black-bounce to traversable wormhole. J. Cosmol. Astropart. Phys. 2019, 2, 042. [Google Scholar] [CrossRef]
- Simpson, A. Traversable Wormholes, Regular Black Holes, and Black-Bounces. Master’s Thesis, Victoria University of Wellington, Wellington, New Zealand, 2019. [Google Scholar]
- Ellis, H. Ether flow through a drainhole: A particle model in general relativity. J. Math. Phys. 1973, 14, 104. [Google Scholar] [CrossRef]
- Bronnikov, K.A.; Walia, R.K. Field sources for Simpson-Visser spacetimes. Phys. Rev. D 2022, 105, 044039. [Google Scholar] [CrossRef]
- Cañate, P. Black bounces as magnetically charged phantom regular black holes in Einstein-nonlinear electrodynamics gravity coupled to a self-interacting scalar field. Phys. Rev. D 2022, 106, 024031. [Google Scholar] [CrossRef]
- Bokulić, A.; Smolić, I.; Jurić, T. Constraints on singularity resolution by nonlinear electrodynamics. Phys. Rev. D 2022, 106, 064020. [Google Scholar] [CrossRef]
- Franzin, E.; Liberati, S.; Mazza, J.; Simpson, A.; Visser, M. Charged black-bounce spacetimes. J. Cosmol. Astropart. Phys. 2021, 7, 036. [Google Scholar] [CrossRef]
- Mazza, J.; Franzin, E.; Liberati, S. A novel family of rotating black hole mimickers. J. Cosmol. Astropart. Phys. 2021, 2021, 082. [Google Scholar] [CrossRef]
- Abbott, B.P.; Abbott, R.; Abbott, D.; Abernathy, R.; Acernese, F.; Ackley, K.; Adams, C.; Adams, T.; Addesso, P. Observation of Gravitational Waves from a Binary Black Hole Merger. Phys. Rev. Lett. 2016, 116, 061102. [Google Scholar] [CrossRef]
- Abbott, B.P.; Abbott, R.; Abbott, T.D.; Acernese, F.; Ackley, K.; Adams, C.; Adams, T.; Addesso, P.; Adhikari, R.X.; Adya, V.B.; et al. GW170104: Observation of a 50-Solar-Mass Binary Black Hole Coalescence at Redshift 0.2. Phys. Rev. Lett. 2017, 118, 221101, Erratum in Phys. Rev. Lett. 2018, 121, 129901. [Google Scholar] [CrossRef]
- Goswami, R.; Ellis, G.F.R. Tidal forces are gravitational waves. Class. Quant. Grav. 2021, 38, 085023. [Google Scholar] [CrossRef]
- Crispino, L.C.B.; Higuchi, A.; Oliveira, L.A.; de Oliveira, E.S. Tidal forces in Reissner–Nordström spacetimes. Eur. Phys. J. C 2016, 76, 168. [Google Scholar] [CrossRef]
- Vandeev, V.P.; Semenova, A.N. Tidal forces in Kottler spacetimes. Eur. Phys. J. C 2021, 81, 610. [Google Scholar] [CrossRef]
- Lima, H.C.D.; Crispino, L.C.B. Tidal forces in the charged Hayward black hole spacetime. Int. J. Mod. Phys. D 2020, 29, 2041014. [Google Scholar] [CrossRef]
- Uniyal, R. Tidal forces around Schwarzschild black hole in cloud of strings and quintessence. Eur. Phys. J. C 2022, 82, 567. [Google Scholar] [CrossRef]
- Arora, D.; Bambhaniya, P.; Dey, D.; Joshi, P.S. Tidal forces in the Simpson–Visser black-bounce and wormhole spacetimes. Phys. Dark Univ. 2024, 44, 101487. [Google Scholar] [CrossRef]
- Albacete, E.; Richartz, M. Tidal Forces in Majumdar-Papapetrou Spacetimes. Universe 2024, 10, 62. [Google Scholar] [CrossRef]
- Zhang, J.; Xie, Y. Gravitational lensing by a black-bounce-Reissner–Nordström spacetime. Eur. Phys. J. C 2022, 82, 471. [Google Scholar] [CrossRef]
- Guo, Y.; Miao, Y.G. Charged black-bounce spacetimes: Photon rings, shadows and observational appearances. Nucl. Phys. B 2022, 983, 115938. [Google Scholar] [CrossRef]
- Murodov, S.; Badalov, K.; Rayimbaev, J.; Ahmedov, B.; Stuchlík, Z. Charged Particles Orbiting Charged Black-Bounce Black Holes. Symmetry 2024, 16, 109. [Google Scholar] [CrossRef]
- Uniyal, R.; Chandrachani Devi, N.; Nandan, H.; Purohit, K.D. Geodesic Motion in Schwarzschild Spacetime Surrounded by Quintessence. Gen. Rel. Grav. 2015, 47, 16. [Google Scholar] [CrossRef]
- Martel, K.; Poisson, E. A One parameter family of time symmetric initial data for the radial infall of a particle into a Schwarzschild black hole. Phys. Rev. D 2002, 66, 084001. [Google Scholar] [CrossRef]
- Liu, J.; Chen, S.; Jing, J. Tidal effects of a dark matter halo around a galactic black hole. Chin. Phys. C 2022, 46, 105104. [Google Scholar] [CrossRef]
- Gad, R.M. Geodesics and Geodesic Deviation in a Stringy Charged Black Hole. Astrophys. Space Sci. 2010, 330, 107–114. [Google Scholar] [CrossRef]











| (i) | and | A charged regular BH spacetime with inner and outer horizons present. |
| (ii) | and or and | Non-traversable wormhole event horizon present at the throat. |
| (iii) | and or and | Traversable wormhole. |
| (iv) | and | An extremal BH with horizon at . |
| (v) | Traversable wormhole. |
Disclaimer/Publisher’s Note: The statements, opinions and data contained in all publications are solely those of the individual author(s) and contributor(s) and not of MDPI and/or the editor(s). MDPI and/or the editor(s) disclaim responsibility for any injury to people or property resulting from any ideas, methods, instructions or products referred to in the content. |
© 2025 by the author. Licensee MDPI, Basel, Switzerland. This article is an open access article distributed under the terms and conditions of the Creative Commons Attribution (CC BY) license (https://creativecommons.org/licenses/by/4.0/).
Share and Cite
Uniyal, R. Tidal Forces Around Black-Bounce-Reissner–Nordström Black Hole. Universe 2025, 11, 221. https://doi.org/10.3390/universe11070221
Uniyal R. Tidal Forces Around Black-Bounce-Reissner–Nordström Black Hole. Universe. 2025; 11(7):221. https://doi.org/10.3390/universe11070221
Chicago/Turabian StyleUniyal, Rashmi. 2025. "Tidal Forces Around Black-Bounce-Reissner–Nordström Black Hole" Universe 11, no. 7: 221. https://doi.org/10.3390/universe11070221
APA StyleUniyal, R. (2025). Tidal Forces Around Black-Bounce-Reissner–Nordström Black Hole. Universe, 11(7), 221. https://doi.org/10.3390/universe11070221

