Shadow Analysis of an Approximate Rotating Black Hole Solution with Weakly Coupled Global Monopole Charge
Abstract
1. Introduction
2. Static Black Hole Solution with GMC in the Weak Coupling Regime
3. The MNJA and the Approximate Rotating Counterpart
4. Horizons and the Causal Structure
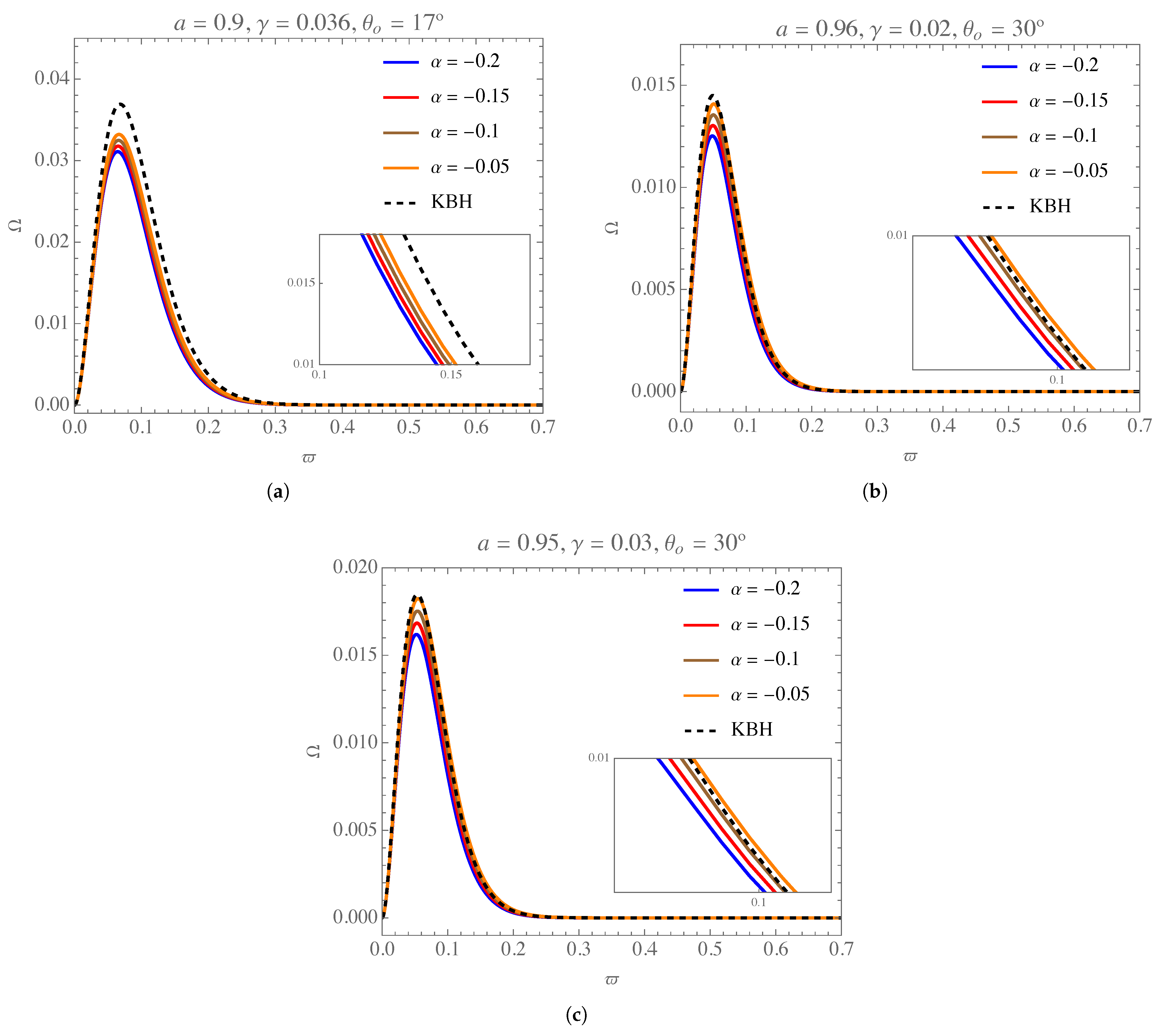
5. Separation of the Hamilton–Jacobi Equation and Null Geodesics
5.1. Orbits of Constant Radius and the Photon Regions
5.2. The Black Hole Shadow
6. Shadow Observables and Constraints from the EHT
- (i)
- The areal radius , which quantifies the size of the black hole shadow, is defined asin which is the area enclosed by the critical curve, given bywhere the radii of planar orbits are determined from the equation .
- (ii)
- The shadow deformation , which describes the shadow’s asymmetry, is given bywhere the subscripts t, b, l, and r denote the top, bottom, left, and right extremities of the shadow, as illustrated in Figure 10, which depicts the geometric form of an oblate shadow.For simplicity, we assume , justifying the factor of 2 in Equation (72) due to the shadow’s reflectional symmetry along the X-axis.
- (iii)
- The fractional deviation parameter , which measures the deviation of the shadow’s diameter from that of the SBH, is defined aswhererepresents the average radius of the shadow, with locating the geometric center of the shadow, where . Additionally,is the angular position of points on the shadow boundary relative to the center.
6.1. Constraints from the M87* Observations
6.2. Constraints from the Sgr A* Observations
7. The Energy Emission Rate
8. Summary and Conclusions
Funding
Data Availability Statement
Acknowledgments
Conflicts of Interest
References
- Akiyama, K.; et al.; [Event Horizon Telescope Collaboration] First M87 Event Horizon Telescope Results. I. The Shadow of the Supermassive Black Hole. Astrophys. J. 2019, 875, L1. [Google Scholar] [CrossRef]
- Akiyama, K.; et al.; [Event Horizon Telescope Collaboration] First Sagittarius A* Event Horizon Telescope results. I. The shadow of the supermassive black hole in the center of the Milky Way. Astrophys. J. Lett. 2022, 930, L12. [Google Scholar] [CrossRef]
- Vilenkin, A. Cosmic strings and domain walls. Phys. Rept. 1985, 121, 263–315. [Google Scholar] [CrossRef]
- Barriola, M.; Vilenkin, A. Gravitational field of a global monopole. Phys. Rev. Lett. 1989, 63, 341–343. [Google Scholar] [CrossRef]
- Achucarro, A.; Gregory, R. Turning inside out the AdS/CFT correspondence. Phys. Rev. Lett. 1999, 83, 1046–1049. [Google Scholar] [CrossRef]
- Nucamendi, U.; Salgado, M. Scalar hairy black holes and solitons in asymptotically flat space-times. Phys. Rev. D 2001, 63, 125016. [Google Scholar] [CrossRef]
- Kibble, T.W.B. Topology of cosmic domains and strings. J. Phys. A Math. Gen. 1976, 9, 1387. [Google Scholar] [CrossRef]
- Vilenkin, A.; Shellard, E. Cosmic Strings and Other Topological Defects; Cambridge Monographs on Mathematical Physics, Cambridge University Press: Cambridge, UK, 1994. [Google Scholar]
- Barros, A.; Romero, C. Global monopoles in Brans-Dicke theory of gravity. Phys. Rev. D 1997, 56, 6688–6691. [Google Scholar] [CrossRef]
- Liu, D.J.; Zhang, Y.L.; Li, X.Z. A self-gravitating Dirac–Born–Infeld global monopole. Eur. Phys. J. C 2009, 60, 495–500. [Google Scholar] [CrossRef]
- Caramês, T.R.P.; Bezerra de Mello, E.R.; Guimarães, M.E.X. Gravitational Field of a Global Monopole in a Modified Gravity. Int. J. Mod. Phys. Conf. Ser. 2011, 3, 446–454. [Google Scholar] [CrossRef]
- Caramês, T.R.P.; Fabris, J.C.; Bezerra de Mello, E.R.; Belich, H. f(R) global monopole revisited. Eur. Phys. J. C 2017, 77, 496. [Google Scholar] [CrossRef]
- Lambaga, R.D.; Ramadhan, H.S. Gravitational field of global monopole within the Eddington-inspired Born-Infeld theory of gravity. Eur. Phys. J. C 2018, 78, 436. [Google Scholar] [CrossRef]
- Nascimento, J.R.; Olmo, G.J.; Porfírio, P.J.; Petrov, A.Y.; Soares, A.R. Global monopole in Palatini f(R) gravity. Phys. Rev. D 2019, 99, 064053. [Google Scholar] [CrossRef]
- Gußmann, A. Scattering of axial gravitational wave pulses by monopole black holes and QNMs: A semianalytic approach. Class. Quantum Gravity 2021, 38, 035008. [Google Scholar] [CrossRef]
- Chatzifotis, N.; Mavromatos, N.E.; Theodosopoulos, D.P. Global monopoles in the extended Gauss-Bonnet gravity. Phys. Rev. D 2023, 107, 085014. [Google Scholar] [CrossRef]
- Caramês, T.R.P. Nonminimal global monopole. Phys. Rev. D 2023, 108, 084002. [Google Scholar] [CrossRef]
- Fathi, M.; Villanueva, J.; Caramês, T.R.; Morales-Díaz, A. Null geodesics around a black hole with weakly coupled global monopole charge. Ann. Phys. 2025, 472, 169863. [Google Scholar] [CrossRef]
- Newman, E.T.; Janis, A.I. Note on the Kerr Spinning-Particle Metric. J. Math. Phys. 1965, 6, 915–917. [Google Scholar] [CrossRef]
- Azreg-Aïnou, M. Generating rotating regular black hole solutions without complexification. Phys. Rev. 2014, D90, 064041. [Google Scholar] [CrossRef]
- Azreg-Aïnou, M. From static to rotating to conformal static solutions: Rotating imperfect fluid wormholes with(out) electric or magnetic field. Eur. Phys. J. C 2014, 74, 2865. [Google Scholar] [CrossRef]
- Bertolami, O.; Böhmer, C.G.; Harko, T.; Lobo, F.S.N. Extra force in f(R) modified theories of gravity. Phys. Rev. D 2007, 75, 104016. [Google Scholar] [CrossRef]
- Fisher, S.B.; Carlson, E.D. Nuclear limits on nonminimally coupled gravity. Phys. Rev. D 2022, 105, 024020. [Google Scholar] [CrossRef]
- March, R.; Bertolami, O.; Muccino, M.; Gomes, C.; Dell’Agnello, S. Cassini and extra force constraints to nonminimally coupled gravity with a screening mechanism. Phys. Rev. D 2022, 105, 044048. [Google Scholar] [CrossRef]
- Shaikh, R. Black hole shadow in a general rotating spacetime obtained through Newman-Janis algorithm. Phys. Rev. D 2019, 100, 024028. [Google Scholar] [CrossRef]
- Rodrigues, M.E.; Junior, E.L.B. Comment on “Generic rotating regular black holes in general relativity coupled to nonlinear electrodynamics”. Phys. Rev. D 2017, 96, 128502. [Google Scholar] [CrossRef]
- Junior, H.C.D.L.; Crispino, L.C.B.; Cunha, P.V.P.; Herdeiro, C.A.R. Spinning black holes with a separable Hamilton–Jacobi equation from a modified Newman–Janis algorithm. Eur. Phys. J. C 2020, 80, 1036. [Google Scholar] [CrossRef]
- Xu, Z.; Wang, J. Kerr-Newman-AdS black hole in quintessential dark energy. Phys. Rev. D 2017, 95, 064015. [Google Scholar] [CrossRef]
- Toshmatov, B.; Stuchlík, Z.; Ahmedov, B. Rotating black hole solutions with quintessential energy. Eur. Phys. J. Plus 2017, 132, 98. [Google Scholar] [CrossRef]
- Toshmatov, B.; Stuchlík, Z.; Ahmedov, B. Generic rotating regular black holes in general relativity coupled to nonlinear electrodynamics. Phys. Rev. D 2017, 95, 084037. [Google Scholar] [CrossRef]
- Kumar, R.; Ghosh, S.G. Rotating black hole in Rastall theory. Eur. Phys. J. C 2018, 78, 750. [Google Scholar] [CrossRef]
- Azreg-Aïnou, M.; Haroon, S.; Jamil, M.; Rizwan, M. Rotating normal and phantom Einstein–Maxwell–dilaton black holes: Geodesic analysis. Int. J. Mod. Phys. D 2019, 28, 1950063. [Google Scholar] [CrossRef]
- Contreras, E.; Ramirez–Velasquez, J.M.; Rincón, A.; Panotopoulos, G.; Bargueño, P. Black hole shadow of a rotating polytropic black hole by the Newman–Janis algorithm without complexification. Eur. Phys. J. C 2019, 79, 802. [Google Scholar] [CrossRef]
- Haroon, S.; Jusufi, K.; Jamil, M. Shadow Images of a Rotating Dyonic Black Hole with a Global Monopole Surrounded by Perfect Fluid. Universe 2020, 6, 23. [Google Scholar] [CrossRef]
- Kumar, R.; Ghosh, S.G. Rotating black holes in 4 D Einstein-Gauss Gravity Its Shad. J. Cosmol. Astropart. Phys. 2020, 2020, 053. [Google Scholar] [CrossRef]
- Contreras, E.; Rincón, A.; Panotopoulos, G.; Bargueño, P.; Koch, B. Black hole shadow of a rotating scale-dependent black hole. Phys. Rev. D 2020, 101, 064053. [Google Scholar] [CrossRef]
- Jusufi, K.; Jamil, M.; Chakrabarty, H.; Wu, Q.; Bambi, C.; Wang, A. Rotating regular black holes in conformal massive gravity. Phys. Rev. D 2020, 101, 044035. [Google Scholar] [CrossRef]
- Liu, C.; Zhu, T.; Wu, Q.; Jusufi, K.; Jamil, M.; Azreg-Aïnou, M.; Wang, A. Shadow and quasinormal modes of a rotating loop quantum black hole. Phys. Rev. D 2020, 101, 084001. [Google Scholar] [CrossRef]
- Fathi, M.; Olivares, M.; Villanueva, J.R. Ergosphere, Photon Region Structure, and the Shadow of a Rotating Charged Weyl Black Hole. Galaxies 2021, 9, 43. [Google Scholar] [CrossRef]
- Fathi, M.; Olivares, M.; Villanueva, J.R. Spherical photon orbits around a rotating black hole with quintessence and cloud of strings. Eur. Phys. J. Plus 2023, 138, 7. [Google Scholar] [CrossRef]
- Fathi, M.; Villanueva, J.R.; Cruz, N. Spherical Particle Orbits around a Rotating Black Hole in Massive Gravity. Symmetry 2023, 15, 1485. [Google Scholar] [CrossRef]
- Zahid, M.; Sarikulov, F.; Shen, C.; Ahmedov, S.; Rayimbaev, J. Shadow of rotating black holes surrounded by dark fluid with Chaplygin-like equation of state and constraints from EHT results. Class. Quantum Gravity 2024, 41, 205004. [Google Scholar] [CrossRef]
- Raza, M.A.; Rayimbaev, J.; Sarikulov, F.; Zubair, M.; Ahmedov, B.; Stuchlík, Z. Shadow of novel rotating black hole in GR coupled to nonlinear electrodynamics and constraints from EHT results. Phys. Dark Universe 2024, 44, 101488. [Google Scholar] [CrossRef]
- Carter, B. Global Structure of the Kerr Family of Gravitational Fields. Phys. Rev. 1968, 174, 1559–1571. [Google Scholar] [CrossRef]
- Chandrasekhar, S. The Mathematical Theory of Black Holes; Oxford Classic Texts in the Physical Sciences; Oxford University Press: Oxford, UK, 2002. [Google Scholar]
- Bardeen, J.M.; Press, W.H.; Teukolsky, S.A. Rotating Black Holes: Locally Nonrotating Frames, Energy Extraction, and Scalar Synchrotron Radiation. Astrophys. J. 1972, 178, 347–370. [Google Scholar] [CrossRef]
- Bardeen, J. Timelike and null geodesics in the Kerr metric. In Proceedings of the Les Houches Summer School of Theoretical Physics: Black Holes, 1973; pp. 215–240. Available online: https://inis.iaea.org/records/g26q5-w9k04 (accessed on 24 March 2025).
- Stoghianidis, E.; Tsoubelis, D. Polar orbits in the Kerr space-time. Gen. Relativ. Gravit. 1987, 19, 1235–1249. [Google Scholar] [CrossRef]
- Cramer, C.R. Using the Uncharged Kerr Black Hole as a Gravitational Mirror. Gen. Relativ. Gravit. 1997, 29, 445–454. [Google Scholar] [CrossRef]
- Teo, E. Spherical Photon Orbits Around a Kerr Black Hole. Gen. Relativ. Gravit. 2003, 35, 1909–1926. [Google Scholar] [CrossRef]
- Johannsen, T. Photon Rings Around Kerr And Kerr-Like Black Holes. Astrophys. J. 2013, 777, 170. [Google Scholar] [CrossRef]
- Grenzebach, A.; Perlick, V.; Lämmerzahl, C. Photon regions and shadows of Kerr-Newman-NUT black holes with a cosmological constant. Phys. Rev. 2014, D89, 124004. [Google Scholar] [CrossRef]
- Perlick, V.; Tsupko, O.Y. Light propagation in a plasma on Kerr spacetime: Separation of the Hamilton-Jacobi equation and calculation of the shadow. Phys. Rev. D 2017, 95, 104003. [Google Scholar] [CrossRef]
- Charbulák, D.; Stuchlík, Z. Spherical photon orbits in the field of Kerr naked singularities. Eur. Phys. J. C 2018, 78, 879. [Google Scholar] [CrossRef]
- Johnson, M.D.; Lupsasca, A.; Strominger, A.; Wong, G.N.; Hadar, S.; Kapec, D.; Narayan, R.; Chael, A.; Gammie, C.F.; Galison, P.; et al. Universal interferometric signatures of a black hole’s photon ring. Sci. Adv. 2020, 6, eaaz1310. [Google Scholar] [CrossRef] [PubMed]
- Himwich, E.; Johnson, M.D.; Lupsasca, A.; Strominger, A. Universal polarimetric signatures of the black hole photon ring. Phys. Rev. D 2020, 101, 084020. [Google Scholar] [CrossRef]
- Gelles, Z.; Himwich, E.; Johnson, M.D.; Palumbo, D.C.M. Polarized image of equatorial emission in the Kerr geometry. Phys. Rev. D 2021, 104, 044060. [Google Scholar] [CrossRef]
- Ayzenberg, D. Testing gravity with black hole shadow subrings. Class. Quantum Gravity 2022, 39, 105009. [Google Scholar] [CrossRef]
- Das, A.; Saha, A.; Gangopadhyay, S. Study of circular geodesics and shadow of rotating charged black hole surrounded by perfect fluid dark matter immersed in plasma. Class. Quantum Gravity 2022, 39, 075005. [Google Scholar] [CrossRef]
- Anjum, A.; Afrin, M.; Ghosh, S.G. Investigating effects of dark matter on photon orbits and black hole shadows. Phys. Dark Universe 2023, 40, 101195. [Google Scholar] [CrossRef]
- Chen, Y.X.; Huang, J.H.; Jiang, H. Radii of spherical photon orbits around Kerr-Newman black holes. Phys. Rev. D 2023, 107, 044066. [Google Scholar] [CrossRef]
- Andaru, L.; Alam, A.; Jayawiguna, B.; Ramadhan, H. Spherical orbits around Kerr-Newman and regular black holes. Res. Sq. 2023, preprint. [Google Scholar] [CrossRef]
- Gralla, S.E.; Holz, D.E.; Wald, R.M. Black hole shadows, photon rings, and lensing rings. Phys. Rev. D 2019, 100, 024018. [Google Scholar] [CrossRef]
- Bisnovatyi-Kogan, G.S.; Tsupko, O.Y. Analytical study of higher-order ring images of the accretion disk around a black hole. Phys. Rev. D 2022, 105, 064040. [Google Scholar] [CrossRef]
- Tsupko, O.Y. Shape of higher-order images of equatorial emission rings around a Schwarzschild black hole: Analytical description with polar curves. Phys. Rev. D 2022, 106, 064033. [Google Scholar] [CrossRef]
- Claudel, C.M.; Virbhadra, K.S.; Ellis, G.F.R. The geometry of photon surfaces. J. Math. Phys. 2001, 42, 818–838. [Google Scholar] [CrossRef]
- Virbhadra, K.S. Relativistic images of Schwarzschild black hole lensing. Phys. Rev. D 2009, 79, 083004. [Google Scholar] [CrossRef]
- Virbhadra, K. Compactness of supermassive dark objects at galactic centers. Can. J. Phys. 2024, 102, 523–528. [Google Scholar] [CrossRef]
- Synge, J.L. The Escape of Photons from Gravitationally Intense Stars. Mon. Not. Roy. Astron. Soc. 1966, 131, 463–466. [Google Scholar] [CrossRef]
- Cunningham, C.T.; Bardeen, J.M. The Optical Appearance of a Star Orbiting an Extreme Kerr Black Hole. Astrophys. J. Lett. 1972, 173, L137. [Google Scholar] [CrossRef]
- Luminet, J.P. Image of a spherical black hole with thin accretion disk. Astron. Astrophys. 1979, 75, 228–235. [Google Scholar]
- Bray, I. Kerr black hole as a gravitational lens. Phys. Rev. 1986, D34, 367–372. [Google Scholar] [CrossRef]
- Vázquez, S.E.; Esteban, E.P. Strong-field gravitational lensing by a Kerr black hole. Nuovo Cimento B Ser. 2004, 119, 489. [Google Scholar] [CrossRef]
- Grenzebach, A. The Shadow of Black Holes. In The Shadow of Black Holes: An Analytic Description; Springer International Publishing: Cham, Swizterland, 2016; pp. 55–79. [Google Scholar] [CrossRef]
- Perlick, V.; Tsupko, O.Y.; Bisnovatyi-Kogan, G.S. Black hole shadow in an expanding universe with a cosmological constant. Phys. Rev. 2018, D97, 104062. [Google Scholar] [CrossRef]
- Bisnovatyi-Kogan, G.S.; Tsupko, O.Y. Shadow of a black hole at cosmological distances. Phys. Rev. 2018, D98, 084020. [Google Scholar] [CrossRef]
- de Vries, A. The apparent shape of a rotating charged black hole, closed photon orbits and the bifurcation set A 4. Class. Quantum Gravity 1999, 17, 123–144. [Google Scholar] [CrossRef]
- Kramer, M.; Backer, D.; Cordes, J.; Lazio, T.; Stappers, B.; Johnston, S. Strong-field tests of gravity using pulsars and black holes. New Astron. Rev. 2004, 48, 993–1002. [Google Scholar] [CrossRef]
- Shen, Z.Q.; Lo, K.Y.; Liang, M.C.; Ho, P.T.P.; Zhao, J.H. A size of ∼1 au for the radio source Sgr A* at the centre of the Milky Way. Nature 2005, 438, 62–64. [Google Scholar] [CrossRef]
- Psaltis, D. Probes and Tests of Strong-Field Gravity with Observations in the Electromagnetic Spectrum. Living Rev. Relativ. 2008, 11, 9. [Google Scholar] [CrossRef]
- Harko, T.; Kovács, Z.; Lobo, F.S.N. Testing Hořava-Lifshitz gravity using thin accretion disk properties. Phys. Rev. 2009, D80, 044021. [Google Scholar] [CrossRef]
- Amarilla, L.; Eiroa, E.F.; Giribet, G. Null geodesics and shadow of a rotating black hole in extended Chern-Simons modified gravity. Phys. Rev. 2010, D81, 124045. [Google Scholar] [CrossRef]
- Amarilla, L.; Eiroa, E.F. Shadow of a rotating braneworld black hole. Phys. Rev. 2012, D85, 064019. [Google Scholar] [CrossRef]
- Yumoto, A.; Nitta, D.; Chiba, T.; Sugiyama, N. Shadows of multi-black holes: Analytic exploration. Phys. Rev. 2012, D86, 103001. [Google Scholar] [CrossRef]
- Amarilla, L.; Eiroa, E.F. Shadow of a Kaluza-Klein rotating dilaton black hole. Phys. Rev. 2013, D87, 044057. [Google Scholar] [CrossRef]
- Atamurotov, F.; Abdujabbarov, A.; Ahmedov, B. Shadow of rotating non-Kerr black hole. Phys. Rev. 2013, D88, 064004. [Google Scholar] [CrossRef]
- Abdujabbarov, A.A.; Rezzolla, L.; Ahmedov, B.J. A coordinate-independent characterization of a black hole shadow. Mon. Not. R. Astron. Soc. 2015, 454, 2423–2435. [Google Scholar] [CrossRef]
- Psaltis, D.; Özel, F.; Chan, C.K.; Marrone, D.P. A general relativistic null hypothesis test with event horizon telescope observations of the black hole shadow in Sgr A*. Astrophys. J. 2015, 814, 115. [Google Scholar] [CrossRef]
- Abdujabbarov, A.; Amir, M.; Ahmedov, B.; Ghosh, S.G. Shadow of rotating regular black holes. Phys. Rev. D 2016, 93, 104004. [Google Scholar] [CrossRef]
- Johannsen, T.; Broderick, A.E.; Plewa, P.M.; Chatzopoulos, S.; Doeleman, S.S.; Eisenhauer, F.; Fish, V.L.; Genzel, R.; Gerhard, O.; Johnson, M.D. Testing General Relativity with the Shadow Size of Sgr A*. Phys. Rev. Lett. 2016, 116, 031101. [Google Scholar] [CrossRef]
- Amir, M.; Singh, B.P.; Ghosh, S.G. Shadows of rotating five-dimensional charged EMCS black holes. Eur. Phys. J. C 2018, 78, 399. [Google Scholar] [CrossRef]
- Tsukamoto, N. Black hole shadow in an asymptotically flat, stationary, and axisymmetric spacetime: The Kerr-Newman and rotating regular black holes. Phys. Rev. 2018, D97, 064021. [Google Scholar] [CrossRef]
- Cunha, P.V.P.; Herdeiro, C.A.R. Shadows and strong gravitational lensing: A brief review. Gen. Relativ. Gravit. 2018, 50, 42. [Google Scholar] [CrossRef]
- Mizuno, Y.; Younsi, Z.; Fromm, C.M.; Porth, O.; De Laurentis, M.; Olivares, H.; Falcke, H.; Kramer, M.; Rezzolla, L. The current ability to test theories of gravity with black hole shadows. Nat. Astron. 2018, 2, 585–590. [Google Scholar] [CrossRef]
- Mishra, A.K.; Chakraborty, S.; Sarkar, S. Understanding photon sphere and black hole shadow in dynamically evolving spacetimes. Phys. Rev. 2019, D99, 104080. [Google Scholar] [CrossRef]
- Psaltis, D. Testing general relativity with the Event Horizon Telescope. Gen. Relativ. Gravit. 2019, 51, 137. [Google Scholar] [CrossRef]
- Dymnikova, I.; Kraav, K. Identification of a Regular Black Hole by Its Shadow. Universe 2019, 5, 163. [Google Scholar] [CrossRef]
- Kumar, R.; Ghosh, S.G. Black Hole Parameter Estimation from Its Shadow. Astrophys. J. 2020, 892, 78. [Google Scholar] [CrossRef]
- Kumar, R.; Kumar, A.; Ghosh, S.G. Testing Rotating Regular Metrics as Candidates for Astrophysical Black Holes. Astrophys. J. 2020, 896, 89. [Google Scholar] [CrossRef]
- Narzilloev, B.; Hussain, I.; Abdujabbarov, A.; Ahmedov, B. Optical properties of an axially symmetric black hole in the Rastall gravity. Eur. Phys. J. Plus 2022, 137, 645. [Google Scholar] [CrossRef]
- Zahid, M.; Rayimbaev, J.; Sarikulov, F.; Khan, S.U.; Ren, J. Shadow of rotating and twisting charged black holes with cloud of strings and quintessence. Eur. Phys. J. C 2023, 83, 855. [Google Scholar] [CrossRef]
- Nozari, K.; Saghafi, S. Asymptotically locally flat and AdS higher-dimensional black holes of Einstein–Horndeski–Maxwell gravity in the light of EHT observations: Shadow behavior and deflection angle. Eur. Phys. J. C 2023, 83, 588. [Google Scholar] [CrossRef]
- Fathi, M.; Villanueva, J.; Aguilar-Pérez, G.; Cruz, M. Black hole in a generalized Chaplygin–Jacobi dark fluid: Shadow and light deflection angle. Phys. Dark Universe 2024, 46, 101598. [Google Scholar] [CrossRef]
- Sánchez, L.A. Shadow of a renormalization group improved rotating black hole. Eur. Phys. J. C 2024, 84, 1056. [Google Scholar] [CrossRef]
- Khan, S.U.; Rayimbaev, J.; Sarikulov, F.; Abdurakhmonov, O. Optical features of rotating quintessential charged black holes in de-Sitter spacetime. Chin. J. Phys. 2024, 90, 690–706. [Google Scholar] [CrossRef]
- Jafarzade, K.; Hendi, S.H.; Jamil, M.; Bahamonde, S. Kerr–Newman black holes in Weyl–Cartan theory: Shadows and EHT constraints. Phys. Dark Universe 2024, 45, 101497. [Google Scholar] [CrossRef]
- Zhang, M.; Guo, M. Can shadows reflect phase structures of black holes? Eur. Phys. J. 2020, C80, 790. [Google Scholar] [CrossRef]
- Belhaj, A.; Chakhchi, L.; El Moumni, H.; Khalloufi, J.; Masmar, K. Thermal image and phase transitions of charged AdS black holes using shadow analysis. Int. J. Mod. Phys. A 2020, 35, 2050170. [Google Scholar] [CrossRef]
- Zel’dovich, Y.B.; Novikov, I.D. Relativistic Astrophysics. II. Sov. Phys. Uspekhi 1966, 8, 522–577. [Google Scholar] [CrossRef]
- Luminet, J.P. Seeing Black Holes: From the Computer to the Telescope. Universe 2018, 4, 86. [Google Scholar] [CrossRef]
- Falcke, H.; Melia, F.; Agol, E. Viewing the Shadow of the Black Hole at the Galactic Center. Astrophys. J. 1999, 528, L13. [Google Scholar] [CrossRef]
- Johannsen, T.; Psaltis, D. Testing the no-hair theorem with observations in the electromagnetic spectrum. II. Black hole images. Astrophys. J. 2010, 718, 446–454. [Google Scholar] [CrossRef]
- Gralla, S.E. Measuring the shape of a black hole photon ring. Phys. Rev. D 2020, 102, 044017. [Google Scholar] [CrossRef]
- Perlick, V.; Tsupko, O.Y. Calculating black hole shadows: Review of analytical studies. Phys. Rep. 2022, 947, 1–39. [Google Scholar] [CrossRef]
- Virbhadra, K.S.; Narasimha, D.; Chitre, S.M. Role of the scalar field in gravitational lensing. Astron. Astrophys. 1998, 337, 1–8. [Google Scholar]
- Virbhadra, K.S.; Ellis, G.F.R. Gravitational lensing by naked singularities. Phys. Rev. D 2002, 65, 103004. [Google Scholar] [CrossRef]
- Virbhadra, K.S.; Keeton, C.R. Time delay and magnification centroid due to gravitational lensing by black holes and naked singularities. Phys. Rev. D 2008, 77, 124014. [Google Scholar] [CrossRef]
- Virbhadra, K. Distortions of images of Schwarzschild lensing. Phys. Rev. D 2022, 106, 064038. [Google Scholar] [CrossRef]
- Tavlayan, A.; Tekin, B. Instability of a Kerr-type naked singularity due to light and matter accretion and its shadow. Class. Quantum Gravity 2024, 41, 065004. [Google Scholar] [CrossRef]
- Hioki, K.; Maeda, K.i. Measurement of the Kerr spin parameter by observation of a compact object’s shadow. Phys. Rev. D 2009, 80, 024042. [Google Scholar] [CrossRef]
- Tsukamoto, N.; Li, Z.; Bambi, C. Constraining the spin and the deformation parameters from the black hole shadow. J. Cosmol. Astropart. Phys. 2014, 2014, 043. [Google Scholar] [CrossRef]
- Amir, M.; Ghosh, S.G. Shapes of rotating nonsingular black hole shadows. Phys. Rev. D 2016, 94, 024054. [Google Scholar] [CrossRef]
- Tsupko, O.Y. Analytical calculation of black hole spin using deformation of the shadow. Phys. Rev. D 2017, 95, 104058. [Google Scholar] [CrossRef]
- Ayzenberg, D.; Yunes, N. Black hole shadow as a test of general relativity: Quadratic gravity. Class. Quantum Gravity 2018, 35, 235002. [Google Scholar] [CrossRef]
- Afrin, M.; Kumar, R.; Ghosh, S.G. Parameter estimation of hairy Kerr black holes from its shadow and constraints from M87*. Mon. Not. R. Astron. Soc. 2021, 504, 5927–5940. [Google Scholar] [CrossRef]
- Tamburini, F.; Thidé, B.; Della Valle, M. Measurement of the spin of the M87 black hole from its observed twisted light. Mon. Not. R. Astron. Soc. Lett. 2020, 492, L22–L27. [Google Scholar] [CrossRef]
- Daly, R.A.; Donahue, M.; O’Dea, C.P.; Sebastian, B.; Haggard, D.; Lu, A. New black hole spin values for Sagittarius A* obtained with the outflow method. Mon. Not. R. Astron. Soc. 2023, 527, 428–436. [Google Scholar] [CrossRef]
- Hawking, S.W. Black hole explosions. Nature 1974, 248, 30–31. [Google Scholar]
- Belhaj, A.; Benali, M.; El Balali, A.; El Moumni, H.; Ennadifi, S.E. Deflection angle and shadow behaviors of quintessential black holes in arbitrary dimensions. Class. Quantum Gravity 2020, 37, 215004. [Google Scholar] [CrossRef]
- Wei, S.W.; Liu, Y.X. Observing the shadow of Einstein-Maxwell-Dilaton-Axion black hole. J. Cosmol. Astropart. Phys. 2013, 2013, 063–063. [Google Scholar] [CrossRef]
- Décanini, Y.; Folacci, A.; Raffaelli, B. Fine structure of high-energy absorption cross sections for black holes. Class. Quantum Gravity 2011, 28, 175021. [Google Scholar] [CrossRef]
- Li, P.C.; Guo, M.; Chen, B. Shadow of a spinning black hole in an expanding universe. Phys. Rev. D 2020, 101, 084041. [Google Scholar] [CrossRef]


















Disclaimer/Publisher’s Note: The statements, opinions and data contained in all publications are solely those of the individual author(s) and contributor(s) and not of MDPI and/or the editor(s). MDPI and/or the editor(s) disclaim responsibility for any injury to people or property resulting from any ideas, methods, instructions or products referred to in the content. |
© 2025 by the author. Licensee MDPI, Basel, Switzerland. This article is an open access article distributed under the terms and conditions of the Creative Commons Attribution (CC BY) license (https://creativecommons.org/licenses/by/4.0/).
Share and Cite
Fathi, M. Shadow Analysis of an Approximate Rotating Black Hole Solution with Weakly Coupled Global Monopole Charge. Universe 2025, 11, 111. https://doi.org/10.3390/universe11040111
Fathi M. Shadow Analysis of an Approximate Rotating Black Hole Solution with Weakly Coupled Global Monopole Charge. Universe. 2025; 11(4):111. https://doi.org/10.3390/universe11040111
Chicago/Turabian StyleFathi, Mohsen. 2025. "Shadow Analysis of an Approximate Rotating Black Hole Solution with Weakly Coupled Global Monopole Charge" Universe 11, no. 4: 111. https://doi.org/10.3390/universe11040111
APA StyleFathi, M. (2025). Shadow Analysis of an Approximate Rotating Black Hole Solution with Weakly Coupled Global Monopole Charge. Universe, 11(4), 111. https://doi.org/10.3390/universe11040111
