Scrutinizing Dark-Matter Scenarios with B → (K, ) ν Decays
Abstract
1. Impetus: (Hardly Expected) Detection of Missing-Energy Excess Events
2. Towards Dark-Matter Resolutions of the Missing-Energy Excess Puzzle
3. Representatives of DM Proposals Using Intermediate Mediator Bosons
3.1. Example of a Top-Philic Dark-Matter Scenario Incorporating Mediator Bosons of Scalar Nature
3.2. Example of a Top-Philic Dark-Matter Scenario Incorporating Mediator Bosons of Vector Nature
4. Telling Scalar-Mediator DM Models from Vector-Mediator DM Models
4.1. Ratios of (Differential) B-Meson Decay Widths as Basic Tools for a Discrimination of Mediators
- the ratio of the integrated decay widths, , of both missing energy B-meson decays (10)
- For a given mediator boson , the DM parameters enter in the differential decay widths (3) by a factor common to both B-meson decays (10), which necessarily cancels exactly in the respective differential decay width ratio (11). Consequently, the ratio (11) does not depend on (and is totally insensitive to) the numeric values of DM parameters.
- The differential decay width ratio (11) turns out to be highly sensitive to the spin of the boson R actually mediating both missing-energy decays (10), as shown in Figure 2: For scalar mediators , this ratio drops, slowly but monotonously, from to its zero at . For vector mediators , this ratio first grows from to its maximum (near ) and then decreases rather quickly to its zero at This difference in behavior offers a tool to identify, via the spin of the involved mediator, viable categories of DM models.
- The integrated decay width ratio (12) exhibits a rather pronounced dependence on the mass —and, to a lesser extent, on the decay width —of the mediator , as illustrated by Figure 3. More precisely, for all mediator masses or , respectively, this ratio is less than 1 for a scalar mediator and larger than 1 for a vector mediator V:
4.2. Further Contemplations Taking Advantage of Suitable Ratios of B-Meson Partial Decay Widths
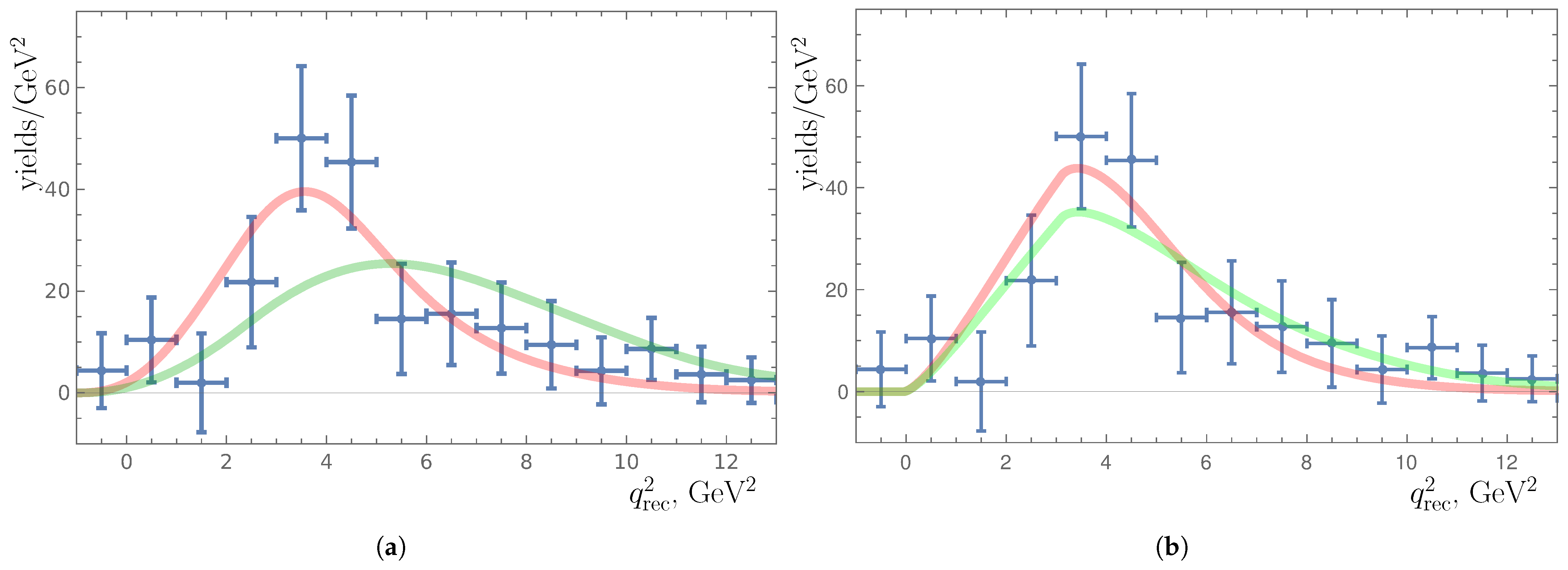
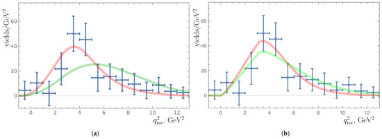
5. Interpreting Belle-II Measurements of Missing-Energy -Meson Decay
- The distribution published by Belle II for the missing-energy excess events in the B decay [1], as betrayed by both of the red curves in Figure 7, might be easily reproduced both by the scalar-mediator model of Section 3.1 and by the vector-mediator model of Section 3.2 to a degree better than just acceptable. (This is not necessarily the case for less realistic choices for the numerical values of the involved DM parameters).
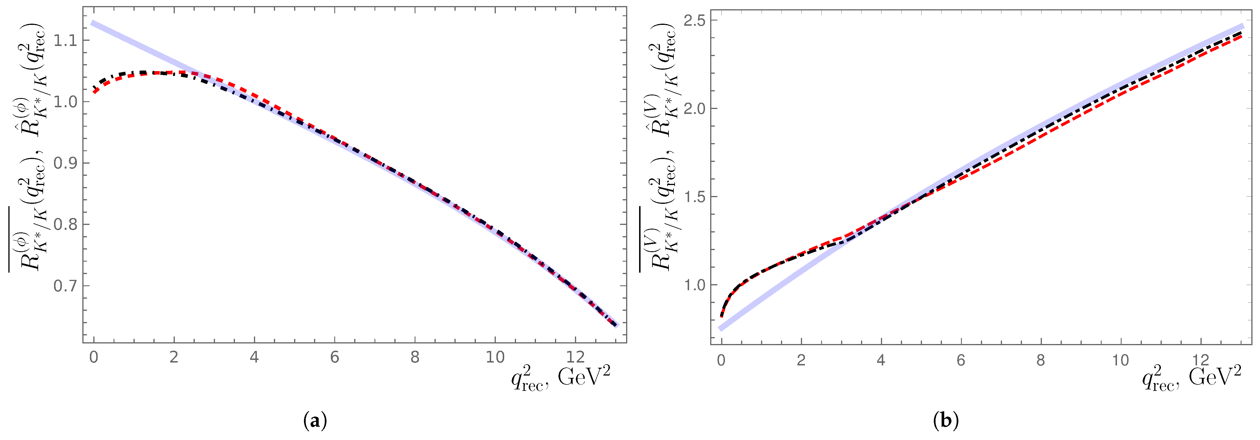
- From the experimental point of view, it may be considered advisable to resort, for one’s investigations, to the (“efficient”) differential decay widths , defined by weighting by the Belle-II detection efficiencies. However, the resulting rationevertheless, proves to be nearly independent of any DM parameters and similar in its behavior (shown in Figure 8) to the dependence of the unweighted ratio (11):
6. Summary, Conclusions and Outlook: Selecting (Arguable) DM Models
- The differential decay width ratio (11), if considered as a function of the missing energy, exhibits a continuous decrease to zero for the scalar-mediator scenario, and a moderate increase followed by an almost abrupt decline to zero for the vector-mediator scenario.
- The integrated decay width ratio (12) is, independently of the mediator mass, less than 1 for the scalar-mediator scenario, and larger than 1 for the vector-mediator scenario.
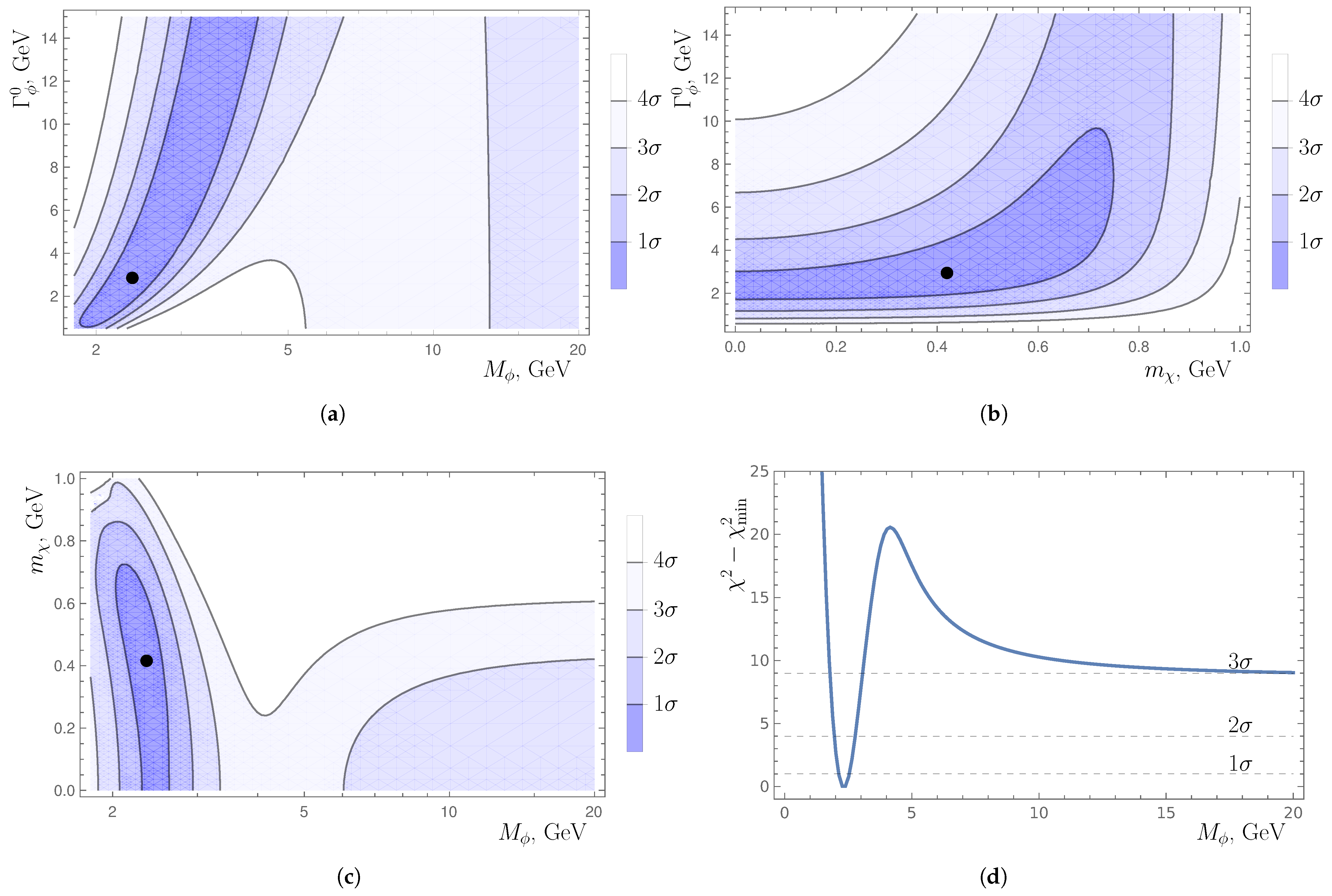
- For the vector-mediator scenario only, the experimental upper limit on the ratio (13) of DM-over-SM missing-energy decays very tightly constrains the mediator-boson mass.
- The experimental limitations or “boundary conditions” of the Belle-II measurements turn out not to have any significant impact on the trustability of our above conclusions.
Author Contributions
Funding
Institutional Review Board Statement
Data Availability Statement
Acknowledgments
Conflicts of Interest
Abbreviations
| BooNE | Booster Neutrino Experiment |
| FCNC | Flavor-changing neutral current |
| HPQCD | High-Precision QCD |
| MILC | MIMD Lattice Computation |
| MIMD | Multiple Instruction, Multiple Data |
| PQCD | Perturbative QCD |
| QCD | Quantum chromodynamics |
| SM | Standard Model |
| SMEFT | SM effective field theory |
| Ref(s). | Reference(s) |
Appendix A. Simple Parametrization of Mesonic-Amplitude Form Factors
References
- Adachi, I. et al. [Belle II Collaboration]. Evidence for B+ → K+ν decays. Phys. Rev. D 2024, 109, 112006. [Google Scholar] [CrossRef]
- Grygier, J. et al. [Belle Collaboration]. Search for B → hν decays with semileptonic tagging at Belle. Phys. Rev. D 2018, 96, 091101. [Google Scholar]
- Felkl, T.; Giri, A.; Mohanta, R.; Schmidt, M.A. When energy goes missing: New physics in b → sνν with sterile neutrinos. Eur. Phys. J. C 2023, 83, 1135. [Google Scholar] [CrossRef]
- Bause, R.; Gisbert, H.; Hiller, G. Implications of an enhanced B → Kν branching ratio. Phys. Rev. D 2024, 109, 015006. [Google Scholar] [CrossRef]
- Berezhnoy, A.; Melikhov, D. B → K∗MX vs. B → KMX as a probe of a scalar-mediator dark-matter scenario. Europhys. Lett. 2024, 145, 14001. [Google Scholar]
- Datta, A.; Marfatia, D.; Mukherjee, L. B → Kν, MiniBooNE and muon anomalies from a dark sector. Phys. Rev. D 2024, 109, L031701. [Google Scholar] [CrossRef]
- Athron, P.; Martinez, R.; Sierra, C. B meson anomalies and large B+ → K+ν in non-universal U(1)′ models. J. High Energy Phys. 2024, 2, 121. [Google Scholar] [CrossRef]
- Loparco, F. A new look at b → s observables in 331 models. Particles 2024, 7, 161–178. [Google Scholar] [CrossRef]
- McKeen, D.; Ng, J.N.; Tuckler, D. Higgs portal interpretation of the Belle II B+ → K+νν measurement. Phys. Rev. D 2024, 109, 075006. [Google Scholar] [CrossRef]
- Altmannshofer, W.; Crivellin, A.; Haigh, H.; Inguglia, G.; Martin Camalich, J. Light new physics in B → K(*)ν? Phys. Rev. D 2024, 109, 075008. [Google Scholar] [CrossRef]
- He, X.-G.; Ma, X.-D.; Valencia, G. Revisiting models that enhance B+ → K+ν in light of the new Belle II measurement. Phys. Rev. D 2024, 109, 075019. [Google Scholar] [CrossRef]
- Gabrielli, E.; Marzola, L.; Müürsepp, K.; Raidal, M. Explaining the B+ → K+ν excess via a massless dark photon. Eur. Phys. J. C 2024, 84, 460. [Google Scholar] [CrossRef]
- Fridell, K.; Ghosh, M.; Okui, T.; Tobioka, K. Decoding the B → Kνν excess at Belle II: Kinematics, operators, and masses. Phys. Rev. D 2024, 109, 115006. [Google Scholar] [CrossRef]
- Hou, B.-F.; Li, X.-Q.; Shen, M.; Yang, Y.-D.; Yuan, X.-B. Deciphering the Belle II data on B → Kν decay in the (dark) SMEFT with minimal flavour violation. J. High Energy Phys. 2024, 6, 172. [Google Scholar] [CrossRef]
- He, X.-G.; Ma, X.-D.; Schmidt, M.A.; Valencia, G.; Volkas, R.R. Scalar dark matter explanation of the excess in the Belle II B+ → K+ + invisible measurement. J. High Energy Phys. 2024, 7, 168. [Google Scholar] [CrossRef]
- Kim, C.S.; Sahoo, D.; Vishnudath, K.N. Searching for signatures of new physics in B → Kν to distinguish between Dirac and Majorana neutrinos. Eur. Phys. J. C 2024, 84, 882. [Google Scholar] [CrossRef]
- Bolton, P.D.; Fajfer, S.; Kamenik, J.F.; Novoa-Brunet, M. Signatures of light new particles in B → K(∗)Emiss. Phys. Rev. D 2025, 110, 055001, Erratum in Phys. Rev. D 2025, 111, 039903. [Google Scholar] [CrossRef]
- Abdughani, M.; Reyimuaji, Y. Constraining light dark matter and mediator with B+ → K+ν data. Phys. Rev. D 2024, 110, 055013. [Google Scholar] [CrossRef]
- Davoudiasl, H.; Schnubel, M. Bringing the Peccei-Quinn mechanism down to Earth. Phys. Rev. D 2024, 110, 075014. [Google Scholar] [CrossRef]
- Marzocca, D.; Nardecchia, M.; Stanzione, A.; Toni, C. Implications of B → Kν under rank-one flavor violation hypothesis. Eur. Phys. J. C 2024, 84, 1217. [Google Scholar] [CrossRef]
- Wang, Z.S.; Dreiner, H.K.; Günther, J.Y. The decay B → K + ν + at Belle II and a massless bino in R-parity-violating supersymmetry. Eur. Phys. J. C 2025, 85, 66. [Google Scholar] [CrossRef]
- Ho, S.-Y.; Kim, J.; Ko, P. Recent B+ → K+ν excess and muon illuminating light dark sector with Higgs portal. Phys. Rev. D 2025, 111, 055029. [Google Scholar] [CrossRef]
- Altmannshofer, W.; Gadam, S.A.; Toner, K. New strategies for new physics search with Λb → Λν decays. Phys. Rev. D 2025, 111, 075005. [Google Scholar] [CrossRef]
- Altmannshofer, W.; Roy, S. Joint explanation of the B → πK puzzle and the B → Kν excess. Phys. Rev. D 2025, 111, 075029. [Google Scholar] [CrossRef]
- Berezhnoy, A.; Lucha, W.; Melikhov, D. Analysis of -distribution for B → KMX and B → K∗MX decays in a scalar-mediator dark-matter scenario. Phys. Rev. D 2025, 111, 075035. [Google Scholar] [CrossRef]
- Zhang, C.-Q.; Sun, J.; Xing, Z.-P.; Zhu, R.-L. Probing B+ → K+ semileptonic FCNC decay with new physics effects in the PQCD approach. Phys. Rev. D 2025, 111, 113003. [Google Scholar] [CrossRef]
- He, X.-G.; Ma, X.-D.; Tandean, J.; Valencia, G. B → K + invisible, dark matter, and CP violation in hyperon decays. J. High Energy Phys. 2025, 7, 78. [Google Scholar] [CrossRef]
- Aliev, T.M.; Elpe, A.; Selbuz, L.; Turan, I. Explaining Belle data on B → ν decays via dark Z resonances. Phys. Rev. D 2025, 112, 015025. [Google Scholar] [CrossRef]
- Bolton, P.D.; Fajfer, S.; Kamenik, J.F.; Novoa-Brunet, M. Impact of new invisible particles on B → Emiss observables. Phys. Rev. D 2025, 112, 035010. [Google Scholar] [CrossRef]
- He, X.-G.; Ma, X.-D.; Tandean, J.; Valencia, G. Light dark-matter window constrained by K+ → π+ + . Phys. Rev. D 2025, 112, 055025. [Google Scholar] [CrossRef]
- Di Luzio, L.; Nardecchia, M.; Toni, C. Gauged τ-lepton chiral currents and B → Emiss. Phys. Rev. D 2025, 112, 055031. [Google Scholar] [CrossRef]
- Berezhnoy, A.; Lucha, W.; Melikhov, D. Probing vector- vs. scalar-mediator dark-matter scenarios in B → (K,K∗)MX decays. arXiv 2025, arXiv:2507.10801. [Google Scholar]
- Berezhnoy, A.; Lucha, W.; Melikhov, D. Analysis of B → KMX and B → K∗MX decays in scalar- and vector-mediator dark-matter scenarios. arXiv 2025, arXiv:2508.16222. [Google Scholar]
- Batell, B.; Pospelov, M.; Ritz, A. Multilepton signatures of a hidden sector in rare B decays. Phys. Rev. D 2011, 83, 054005. [Google Scholar] [CrossRef]
- Schmidt-Hoberg, K.; Staub, F.; Winkler, M.W. Constraints on light mediators: Confronting dark matter searches with B physics. Phys. Lett. B 2013, 727, 506. [Google Scholar] [CrossRef]
- Gounaris, G.J.; Sakurai, J.J. Finite-width corrections to the vector-meson-dominance prediction for ρ → e+e−. Phys. Rev. Lett. 1968, 21, 244. [Google Scholar] [CrossRef]
- Melikhov, D.; Nachtmann, O.; Nikonov, V.; Paulus, T. Masses and couplings of vector mesons from the pion electromagnetic, weak, and πγ transition form factors. Eur. Phys. J. C 2004, 34, 345. [Google Scholar] [CrossRef]
- Wirbel, M.; Stech, B.; Bauer, M. Exclusive semileptonic decays of heavy mesons. Z. Phys. C 1985, 29, 637. [Google Scholar] [CrossRef]
- Melikhov, D.; Stech, B. Weak form factors for heavy meson decays: An update. Phys. Rev. D 2000, 62, 014006. [Google Scholar] [CrossRef]
- Bailey, J.A. et al. (Fermilab Lattice and MILC Collaborations). B → Kl+l− decay form factors from three-flavor lattice QCD. Phys. Rev. D 2016, 93, 025026. [Google Scholar] [CrossRef]
- Bharucha, A.; Straub, D.M.; Zwicky, R. B → Vℓ+ℓ− in the Standard Model from light-cone sum rules. J. High Energy Phys. 2016, 8, 98. [Google Scholar] [CrossRef]
- Khodjamirian, A.; Mannel, T.; Pivovarov, A.A.; Wang, Y.-M. Charm-loop effect in B → ℓ+ℓ− and B → K∗γ. J. High Energy Phys. 2010, 9, 89. [Google Scholar] [CrossRef]
- Langacker, P. The physics of heavy Z′ gauge bosons. Rev. Mod. Phys. 2009, 81, 1199. [Google Scholar] [CrossRef]
- Cox, P.; Medina, A.D.; Ray, T.S.; Spray, A. Novel collider and dark matter phenomenology of a top-philic Z′. J. High Energy Phys. 2016, 6, 110. [Google Scholar] [CrossRef]
- Hu, Y.; Liu, Y.; Liu, Y. A study on vector mediator top-philic dark matter. Commun. Theor. Phys. 2024, 76, 085201. [Google Scholar] [CrossRef]
- Inami, T.; Lim, C.S. Effects of superheavy quarks and leptons in low-energy weak processes KL → μ, K+ → π+ν and K0↔. Prog. Theor. Phys. 1981, 65, 297–314, Erratum in Prog. Theor. Phys. 1981, 65, 1772. [Google Scholar] [CrossRef]
- Parrott, W.G.; Bouchard, C.; Davies, C.T.H. (HPQCD Collaboration). Standard Model predictions for B → Kℓ+ℓ−, B → K and B → Kν using form factors from Nf = 2 + 1 + 1 lattice QCD. Phys. Rev. D 2023, 107, 014511, Erratum in Phys. Rev. D 2023, 107, 119903. [Google Scholar] [CrossRef]
- Bečirević, D.; Piazza, G.; Sumensari, O. Revisiting B → ν decays in the Standard Model and beyond. Eur. Phys. J. C 2023, 83, 252. [Google Scholar] [CrossRef]
- Allwicher, L.; Bečirević, D.; Piazza, G.; Rosauro-Alcaraz, S.; Sumensari, O. Understanding the first measurement of (B → Kν). Phys. Lett. B 2024, 848, 138411. [Google Scholar] [CrossRef]










Disclaimer/Publisher’s Note: The statements, opinions and data contained in all publications are solely those of the individual author(s) and contributor(s) and not of MDPI and/or the editor(s). MDPI and/or the editor(s) disclaim responsibility for any injury to people or property resulting from any ideas, methods, instructions or products referred to in the content. |
© 2025 by the authors. Licensee MDPI, Basel, Switzerland. This article is an open access article distributed under the terms and conditions of the Creative Commons Attribution (CC BY) license (https://creativecommons.org/licenses/by/4.0/).
Share and Cite
Berezhnoy, A.; Lucha, W.; Melikhov, D.
Scrutinizing Dark-Matter Scenarios with B → (K,
Berezhnoy A, Lucha W, Melikhov D.
Scrutinizing Dark-Matter Scenarios with B → (K,
Berezhnoy, Alexander, Wolfgang Lucha, and Dmitri Melikhov.
2025. "Scrutinizing Dark-Matter Scenarios with B → (K,
Berezhnoy, A., Lucha, W., & Melikhov, D.
(2025). Scrutinizing Dark-Matter Scenarios with B → (K,

