Predicting Solar Cycles with a Parametric Time Series Model
Abstract
1. Introduction
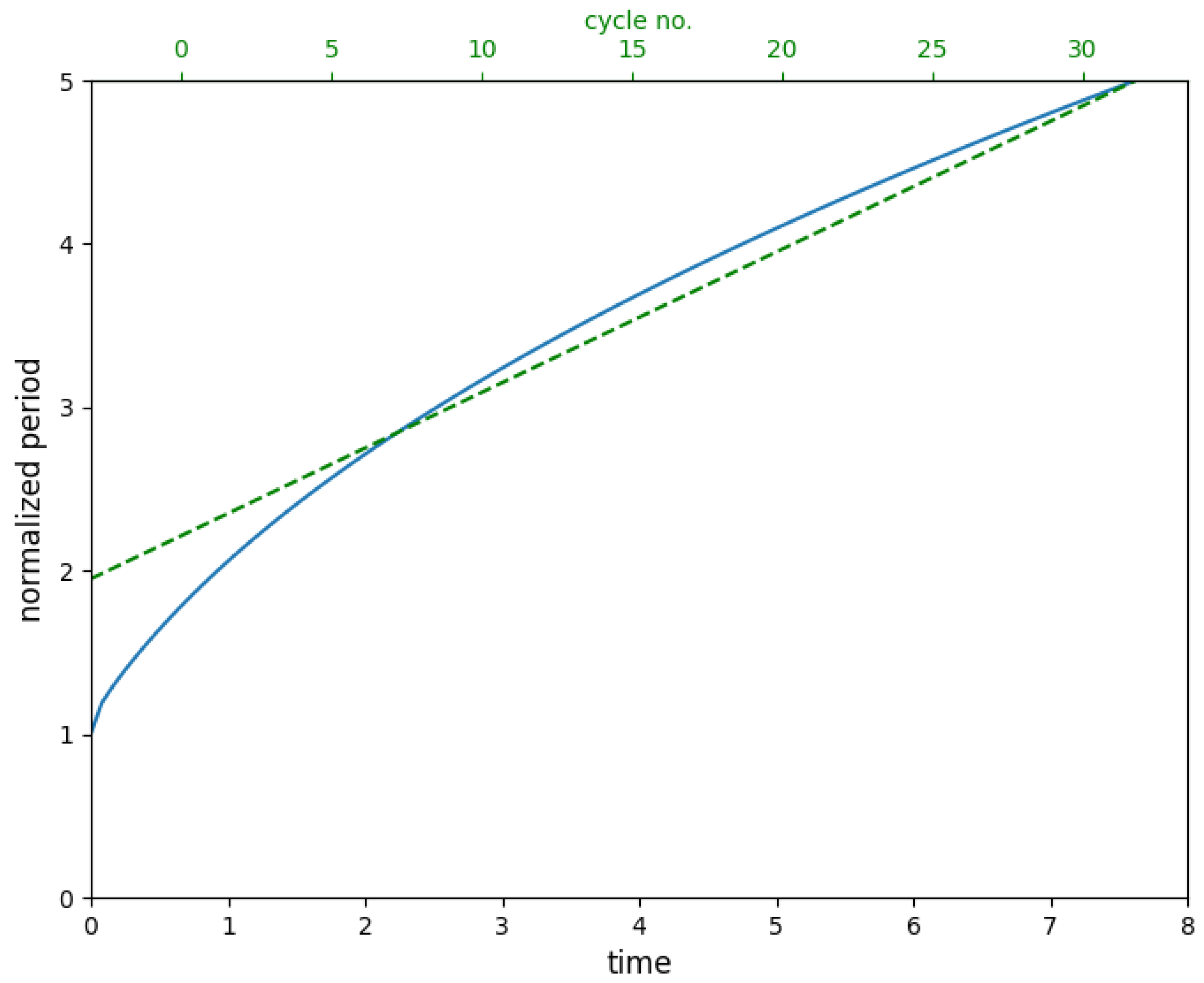
2. Data and Methods
3. Analysis and Results
4. Discussion
4.1. Gleissberg Oscillation
4.2. Odd–Even Alternation
5. Conclusions
Supplementary Materials
Funding
Data Availability Statement
Acknowledgments
Conflicts of Interest
References
- Ludendorff, H. Untersuchungen über die Häufigkeitskurve der Sonnenflecke. Mit 2 Abbildungen. Z. f. Astrophysik 1931, 2, 370. [Google Scholar]
- Gleissberg, W. A long-periodic fluctuation of the sun-spot numbers. Observatory 1939, 62, 158–159. [Google Scholar]
- Beer, J.; Vonmoos, M.; Muscheler, R. Solar Variability Over the Past Several Millennia. Space Sci. Rev. 2006, 125, 67–79. [Google Scholar] [CrossRef][Green Version]
- Usoskin, I.G. A history of solar activity over millennia. Living Rev. Sol. Phys. 2017, 14, 3. [Google Scholar] [CrossRef]
- Petrovay, K. Solar cycle prediction. Living Rev. Sol. Phys. 2020, 17, 2. [Google Scholar] [CrossRef]
- Gleissberg, W. Eine Gleichung für die Sonnenfleckenkurve. Z. Astrophys. 1939, 18, 199. [Google Scholar]
- Mursula, K.; Usoskin, I.G.; Kovaltsov, G.A. Persistent 22-year cycle in sunspot activity: Evidence for a relic solar magnetic field. Sol. Phys. 2001, 198, 51–56. [Google Scholar] [CrossRef]
- Forgács-Dajka, E.; Major, B.; Borkovits, T. Long-term variation in distribution of sunspot groups. Astron. Astrophys. 2004, 424, 311–315. [Google Scholar] [CrossRef]
- Oláh, K.; Kolláth, Z.; Granzer, T.; Strassmeier, K.G.; Lanza, A.F.; Järvinen, S.; Korhonen, H.; Baliunas, S.L.; Soon, W.; Messina, S.; et al. Multiple and changing cycles of active stars. II. Results. Astron. Astrophys. 2009, 501, 703–713. [Google Scholar] [CrossRef]
- SILSO World Data Center. The International Sunspot Number. Available online: http://www.sidc.be/silso/ (accessed on 9 June 2024).
- Gleissberg, W. Secularly Smoothed Data on the Minima and Maxima of Sunspot Frequency. Sol. Phys. 1967, 2, 231–233. [Google Scholar] [CrossRef]
- Tripathi, B.; Nandy, D.; Banerjee, S. Stellar mid-life crisis: Subcritical magnetic dynamos of solar-like stars and the breakdown of gyrochronology. Mon. Not. R. Astron. Soc. Lett. 2021, 506, L50–L54. [Google Scholar] [CrossRef]
- Muñoz-Jaramillo, A.; Vaquero, J.M. Visualization of the challenges and limitations of the long-term sunspot number record. Nat. Astron. 2019, 3, 205–211. [Google Scholar] [CrossRef]
- Usoskin, I.G.; Mursula, K.; Kovaltsov, G.A. Was one sunspot cycle lost in late XVIII century? Astron. Astrophys. 2001, 370, L31–L34. [Google Scholar] [CrossRef]
- Benson, B.; Pan, W.D.; Prasad, A.; Gary, G.A.; Hu, Q. Forecasting Solar Cycle 25 Using Deep Neural Networks. Sol. Phys. 2020, 295, 65. [Google Scholar] [CrossRef]
- Aparicio, A.J.P.; Carrasco, V.M.S.; Vaquero, J.M. Prediction of the Maximum Amplitude of Solar Cycle 25 Using the Ascending Inflection Point. Sol. Phys. 2023, 298, 100. [Google Scholar] [CrossRef]
- Chowdhury, P.; Jain, R.; Ray, P.C.; Burud, D.; Chakrabarti, A. Prediction of Amplitude and Timing of Solar Cycle 25. Sol. Phys. 2021, 296, 69. [Google Scholar] [CrossRef]
- Du, Z. Predicting the Maximum Amplitude of Solar Cycle 25 Using the Early Value of the Rising Phase. Sol. Phys. 2022, 297, 61. [Google Scholar] [CrossRef]
- Asikainen, T.; Mantere, J. Prediction of even and odd sunspot cycles. J. Space Weather Space Clim. 2023, 13, 25. [Google Scholar] [CrossRef]
- Nagovitsyn, Y.A.; Osipova, A.A.; Ivanov, V.G. Gnevyshev-Ohl Rule: Current Status. Astron. Rep. 2024, 68, 89–96. [Google Scholar] [CrossRef]
- Feynman, J.; Ruzmaikin, A. The Centennial Gleissberg Cycle and its association with extended minima. J. Geophys. Res. Space Phys. 2014, 119, 6027–6041. [Google Scholar] [CrossRef]
- Ruzmaikin, A.; Feynman, J. The Centennial Gleissberg Cycle: Origin and Forcing of Climate. In Astronomical Society of the Pacific Conference Series, Proceedings of the Outstanding Problems in Heliophysics: From Coronal Heating to the Edge of the Heliosphere; Hu, Q., Zank, G.P., Eds.; ASP: Appleton, WI, USA, 2014; Volume 484, p. 189. [Google Scholar]
- Biswas, A.; Karak, B.B.; Usoskin, I.; Weisshaar, E. Long-Term Modulation of Solar Cycles. Space Sci. Rev. 2023, 219, 19. [Google Scholar] [CrossRef]
- Karak, B.B. Models for the long-term variations of solar activity. Living Rev. Sol. Phys. 2023, 20, 3. [Google Scholar] [CrossRef]
- Pipin, V.V. The Gleissberg cycle by a nonlinear α–ω dynamo. Astron. Astrophys. 1999, 346, 295–302. [Google Scholar]
- Kleeorin, N.I.; Ruzmaikin, A.A. Mean-field dynamo with cubic non-linearity. Astron. Nachrichten 1984, 305, 265–275. [Google Scholar] [CrossRef]
- Schüssler, M.; Cameron, R.H. Origin of the hemispheric asymmetry of solar activity. Astron. Astrophys. 2018, 618, A89. [Google Scholar] [CrossRef]
- Charbonneau, P.; St-Jean, C.; Zacharias, P. Fluctuations in Babcock-Leighton Dynamos. I. Period Doubling and Transition to Chaos. Astrophys. J. 2005, 619, 613–622. [Google Scholar] [CrossRef]
- Charbonneau, P.; Beaubien, G.; St-Jean, C. Fluctuations in Babcock-Leighton Dynamos. II. Revisiting the Gnevyshev-Ohl Rule. Astrophys. J. 2007, 658, 657–662. [Google Scholar] [CrossRef]
- Charbonneau, P. Dynamo models of the solar cycle. Living Rev. Sol. Phys. 2020, 17, 4. [Google Scholar] [CrossRef]
- Durney, B.R. On the Differences Between Odd and Even Solar Cycles. Sol. Phys. 2000, 196, 421–426. [Google Scholar] [CrossRef]
- Charbonneau, P. Multiperiodicity, Chaos, and Intermittency in a Reduced Model of the Solar Cycle. Sol. Phys. 2001, 199, 385–404. [Google Scholar] [CrossRef]
- Thibeault, C.; Miara, L.; Charbonneau, P. Nonlinearity, time delay, and Grand Maxima in supercritical Babcock-Leighton dynamos. J. Space Weather Space Clim. 2023, 13, 32. [Google Scholar] [CrossRef]
- Nagy, M.; Lemerle, A.; Labonville, F.; Petrovay, K.; Charbonneau, P. The Effect of “Rogue” Active Regions on the Solar Cycle. Sol. Phys. 2017, 292, 167. [Google Scholar] [CrossRef]
- Nagy, M.; Petrovay, K.; Lemerle, A.; Charbonneau, P. Towards an algebraic method of solar cycle prediction. II. Reducing the need for detailed input data with ARDoR. J. Space Weather Space Clim. 2020, 10, 46. [Google Scholar] [CrossRef]
- Sonett, C.P. Sunspot time series: Spectrum from square law modulation of the Hale cycle. Geophys. Res. Lett. 1982, 9, 1313–1316. [Google Scholar] [CrossRef]
- Mursula, K. Hale cycle in solar hemispheric radio flux and sunspots: Evidence for a northward-shifted relic field. Astron. Astrophys. 2023, 674, A182. [Google Scholar] [CrossRef]
- Luo, P.X.; Tan, B.L. Long-term Evolution of Solar Activity and Prediction of the Following Solar Cycles. Res. Astron. Astrophys. 2024, 24, 035016. [Google Scholar] [CrossRef]






| Input Data | Last Cycle | Filter | Predictions | |||||
|---|---|---|---|---|---|---|---|---|
| in Input | SC23 | SC24 | SC25 | SC26 | SC27 | SC28 | ||
| 22 | 121 | |||||||
| 24 | 121 | 180 | 116 | |||||
| 25 | 121 | 180 | 116 | 127 | ||||
| 22 | 12221 | |||||||
| 24 | 12221 | 180 | 116 | |||||
| 25 | 12221 | 180 | 116 | 127 | ||||
| 22 | 121 | |||||||
| 24 | 121 | 1020 | 544 | |||||
| 25 | 121 | 1020 | 544 | 700 | ||||
| 22 | 12221 | |||||||
| 24 | 12221 | 1020 | 544 | |||||
| 25 | 12221 | 1020 | 544 | 700 | ||||
Disclaimer/Publisher’s Note: The statements, opinions and data contained in all publications are solely those of the individual author(s) and contributor(s) and not of MDPI and/or the editor(s). MDPI and/or the editor(s) disclaim responsibility for any injury to people or property resulting from any ideas, methods, instructions or products referred to in the content. |
© 2024 by the author. Licensee MDPI, Basel, Switzerland. This article is an open access article distributed under the terms and conditions of the Creative Commons Attribution (CC BY) license (https://creativecommons.org/licenses/by/4.0/).
Share and Cite
Petrovay, K. Predicting Solar Cycles with a Parametric Time Series Model. Universe 2024, 10, 364. https://doi.org/10.3390/universe10090364
Petrovay K. Predicting Solar Cycles with a Parametric Time Series Model. Universe. 2024; 10(9):364. https://doi.org/10.3390/universe10090364
Chicago/Turabian StylePetrovay, Kristof. 2024. "Predicting Solar Cycles with a Parametric Time Series Model" Universe 10, no. 9: 364. https://doi.org/10.3390/universe10090364
APA StylePetrovay, K. (2024). Predicting Solar Cycles with a Parametric Time Series Model. Universe, 10(9), 364. https://doi.org/10.3390/universe10090364

