Source Count Distribution of Fermi LAT Gamma-Ray Blazars Using Novel Nonparametric Methods
Abstract
1. Introduction
2. Sample
3. Analysis and Results
3.1. Correlations
3.2. Distributions
3.3. Detection Efficiencies
3.4. Contribution to the EGB and IGRB
4. Summary and Discussion
- Flux–index relations: Addressing the bias towards hard sources in the photon flux limit (Figure 1), we applied the EP method to correct for this bias, resulting in a correlation-corrected spectral index . Our analysis revealed no significant correlation for all blazars (), with only a weak correlation being observed for FSRQs () and BL Lacs () individually.
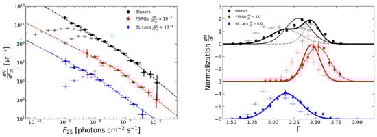
- Intrinsic distributions: Employing the Lynden-Bell method, we derived cumulative distributions and subsequently obtained differential distributions through numerical derivation. The true intrinsic differential distributions of flux exhibited a broken power law for blazars, FSRQs, and BL Lacs, individually. The intrinsic photon index distributions were described well by Gaussian forms for FSRQs and BL Lacs individually; however, when considering the sample as a whole, double Gaussians provided a better fit. Table 1 summarizes the best-fit parameters for the intrinsic flux and photon index distributions, comparing them with the results of previous studies (i.e., [16,17]).
- Detection efficiency: The source count distribution at , shown in the left panel of Figure 4, displayed a broken power law for ph cm−2 s−1. Below this flux threshold, the observed distribution dropped rapidly due to the challenges in detecting fainter sources with Fermi-LAT. We calculated the detection efficiency by comparing observed sources with the theoretical distribution in photon flux.
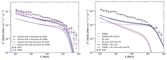
- EGB and IGRB: Through the nonparametric determination of intrinsic distributions of photon flux and the spectral index, along with considerations of the detection efficiency, we directly calculated the contributions of all Fermi-LAT blazars to the EGB’s and IGRB’s intensity and spectra. Our findings indicate that blazars up to the flux threshold of Fermi-LAT, i.e., ph cm−2 s−1, could explain 34.5% of observed EGB photons and 32.6% of observed IGRB photons. For FSRQs and BL Lacs, we estimated their contributions to the EGB without considering the detection efficiency, revealing that FSRQs and BL Lacs could account for 19.6% and 13% of the observed EGB, respectively.
Author Contributions
Funding
Data Availability Statement
Acknowledgments
Conflicts of Interest
| 1 | https://fermi.gsfc.nasa.gov/ssc/data/access/lat/8yr_catalog/gll_psc_v20.fit, (accessed on 6 August 2020). |
| 2 | https://fermi.gsfc.nasa.gov/ssc/data/access/lat/14yr_catalog/, (accessed on 20 December 2023). |
| 3 | https://fermi.gsfc.nasa.gov/ssc/data/access/lat/14yr_catalog/gll_psc_v33.fit, (accessed on 20 December 2023). |
| 4 | The subscript 2 in and represents 100 MeV and 5 represents 100 GeV. |
References
- Abdo, A.A.; Ackermann, M.; Ajello, M.; Allafort, A.; Antolini, E.; Atwood, W.B.; Axelsson, M.; Baldini, L.; Ballet, J.; Barbiellini, G.; et al. Fermi Large Area Telescope First Source Catalog. Astrophys. J. Suppl. Ser. 2010, 188, 405–436. [Google Scholar] [CrossRef]
- Abdollahi, S.; Acero, F.; Ackermann, M.; Ajello, M.; Atwood, W.B.; Axelsson, M.; Baldini, L.; Ballet, J.; Barbiellini, G.; Bastieri, D.; et al. Fermi Large Area Telescope Fourth Source Catalog. Astrophys. J. Suppl. Ser. 2020, 247, 33. [Google Scholar] [CrossRef]
- Ballet, J.; Burnett, T.H.; Digel, S.W.; Lott, B. Fermi Large Area Telescope Fourth Source Catalog Data Release 2. arXiv 2020, arXiv:2005.11208. [Google Scholar]
- Urry, C.M.; Padovani, P. Unified Schemes for Radio-Loud Active Galactic Nuclei. Publ. Astron. Soc. Pac. 1995, 107, 803. [Google Scholar] [CrossRef]
- Dermer, C.D.; Finke, J.D.; Krug, H.; Böttcher, M. Gamma-Ray Studies of Blazars: Synchro-Compton Analysis of Flat Spectrum Radio Quasars. Astrophys. J. 2009, 692, 32–46. [Google Scholar] [CrossRef]
- Fan, J.H.; Yang, J.H.; Liu, Y.; Luo, G.Y.; Lin, C.; Yuan, Y.H.; Xiao, H.B.; Zhou, A.Y.; Hua, T.X.; Pei, Z.Y. The Spectral Energy Distributions of Fermi Blazars. Astrophys. J. Suppl. Ser. 2016, 226, 20. [Google Scholar] [CrossRef]
- Zheng, Y.G.; Yang, C.Y.; Zhang, L.; Wang, J.C. Discerning the Gamma-Ray-emitting Region in the Flat Spectrum Radio Quasars. Astrophys. J. Suppl. Ser. 2017, 228, 1. [Google Scholar] [CrossRef] [PubMed]
- Chen, L. On the Jet Properties of γ-Ray-loud Active Galactic Nuclei. Astrophys. J. Suppl. Ser. 2018, 235, 39. [Google Scholar] [CrossRef]
- Ajello, M.; Shaw, M.S.; Romani, R.W.; Dermer, C.D.; Costamante, L.; King, O.G.; Max-Moerbeck, W.; Readhead, A.; Reimer, A.; Richards, J.L.; et al. The Luminosity Function of Fermi-detected Flat-spectrum Radio Quasars. Astrophys. J. 2012, 751, 108. [Google Scholar] [CrossRef]
- Ajello, M.; Romani, R.W.; Gasparrini, D.; Shaw, M.S.; Bolmer, J.; Cotter, G.; Finke, J.; Greiner, J.; Healey, S.E.; King, O.; et al. The Cosmic evolution offermibl lacertae objects. Astrophys. J. 2014, 780, 73. [Google Scholar] [CrossRef]
- Di Mauro, M.; Calore, F.; Donato, F.; Ajello, M.; Latronico, L. Diffuse γ-Ray Emission from Misaligned Active Galactic Nuclei. Astrophys. J. 2014, 780, 161. [Google Scholar] [CrossRef]
- Di Mauro, M.; Donato, F.; Lamanna, G.; Sanchez, D.A.; Serpico, P.D. Diffuse γ-Ray Emission from Unresolved BL Lac Objects. Astrophys. J. 2014, 786, 129. [Google Scholar] [CrossRef][Green Version]
- Zeng, H.D.; Yan, D.H.; Sun, Y.Q.; Zhang, L. γ-Ray Luminosity Function and the Contribution to Extragalactic γ-Ray Background for Fermi-detected Blazars. Astrophys. J. 2012, 749, 151. [Google Scholar] [CrossRef]
- Zeng, H.; Yan, D.; Zhang, L. A revisit of gamma-ray luminosity function and contribution to the extragalactic diffuse gamma-ray background for Fermi FSRQs. Mon. Not. R. Astron. Soc. 2013, 431, 997–1003. [Google Scholar] [CrossRef]
- Qu, Y.; Zeng, H.; Yan, D. Gamma-ray luminosity function of BL Lac objects and contribution to the extragalactic gamma-ray background. Mon. Not. R. Astron. Soc. 2019, 490, 758–765. [Google Scholar] [CrossRef]
- Abdo, A.A.; Ackermann, M.; Ajello, M.; Antolini, E.; Baldini, L.; Ballet, J.; Barbiellini, G.; Bastieri, D.; Baughman, B.M.; Bechtol, K.; et al. The Fermi-LAT High-Latitude Survey: Source Count Distributions and the Origin of the Extragalactic Diffuse Background. Astrophys. J. 2010, 720, 435–453. [Google Scholar] [CrossRef]
- Singal, J.; Petrosian, V.; Ajello, M. Flux and Photon Spectral Index Distributions of Fermi-LAT Blazars and Contribution to the Extragalactic Gamma-Ray Background. Astrophys. J. 2012, 753, 45. [Google Scholar] [CrossRef]
- Zeng, H.; Petrosian, V.; Yi, T. Cosmological Evolution of Fermi Large Area Telescope Gamma-Ray Blazars Using Novel Nonparametric Methods. Astrophys. J. 2021, 913, 120. [Google Scholar] [CrossRef]
- Ackermann, M.; Ajello, M.; Albert, A.; Atwood, W.B.; Baldini, L.; Ballet, J.; Barbiellini, G.; Bastieri, D.; Bechtol, K.; Bellazzini, R.; et al. Resolving the Extragalactic γ -Ray Background above 50 GeV with the Fermi Large Area Telescope. Phys. Rev. Lett. 2016, 116, 151105. [Google Scholar] [CrossRef]
- Abdo, A.A.; Ackermann, M.; Ajello, M.; Allafort, A.; Antolini, E.; Atwood, W.B.; Axelsson, M.; Baldini, L.; Ballet, J.; Barbiellini, G.; et al. The First Catalog of Active Galactic Nuclei Detected by the Fermi Large Area Telescope. Astrophys. J. 2010, 715, 429–457. [Google Scholar] [CrossRef]
- Marcotulli, L.; Di Mauro, M.; Ajello, M. Source-count Distribution of Gamma-Ray Blazars. Astrophys. J. 2020, 896, 6. [Google Scholar] [CrossRef]
- Efron, B.; Petrosian, V. A simple test of independence for truncated data with applications to redshift surveys. Astrophys. J. 1992, 399, 345–352. [Google Scholar] [CrossRef]
- Lynden-Bell, D. A method of allowing for known observational selection in small samples applied to 3CR quasars. Mon. Not. R. Astron. Soc. 1971, 155, 95. [Google Scholar] [CrossRef]
- Maloney, A.; Petrosian, V. The Evolution and Luminosity Function of Quasars from Complete Optical Surveys. Astrophys. J. 1999, 518, 32–43. [Google Scholar] [CrossRef]
- Singal, J.; Petrosian, V.; Lawrence, A. On the Radio and Optical Luminosity Evolution of Quasars. Astrophys. J. 2011, 743, 104. [Google Scholar] [CrossRef]
- Singal, J.; Petrosian, V.; Stawarz, Ł.; Lawrence, A. The Radio and Optical Luminosity Evolution of Quasars. II. The SDSS Sample. Astrophys. J. 2013, 764, 43. [Google Scholar] [CrossRef]
- Singal, J.; Ko, A.; Petrosian, V. Gamma-Ray Luminosity and Photon Index Evolution of FSRQ Blazars and Contribution to the Gamma-Ray Background. Astrophys. J. 2014, 786, 109. [Google Scholar] [CrossRef]
- Yu, H.; Wang, F.Y.; Dai, Z.G.; Cheng, K.S. An Unexpectedly Low-redshift Excess of Swift Gamma-ray Burst Rate. Astrophys. J. Suppl. Ser. 2015, 218, 13. [Google Scholar] [CrossRef]
- Petrosian, V.; Kitanidis, E.; Kocevski, D. Cosmological Evolution of Long Gamma-Ray Bursts and the Star Formation Rate. Astrophys. J. 2015, 806, 44. [Google Scholar] [CrossRef]
- Pescalli, A.; Ghirlanda, G.; Salvaterra, R.; Ghisellini, G.; Vergani, S.D.; Nappo, F.; Salafia, O.S.; Melandri, A.; Covino, S.; Götz, D. The rate and luminosity function of long gamma ray bursts. Astron. Astrophys. 2016, 587, A40. [Google Scholar] [CrossRef]
- Tsvetkova, A.; Frederiks, D.; Golenetskii, S.; Lysenko, A.; Oleynik, P.; Pal’Shin, V.; Svinkin, D.; Ulanov, M.; Cline, T.; Hurley, K.; et al. The Konus-Wind Catalog of Gamma-Ray Bursts with Known Redshifts. I. Bursts Detected in the Triggered Mode. Astrophys. J. 2017, 850, 161. [Google Scholar] [CrossRef]
- Ajello, M.; Angioni, R.; Axelsson, M.; Ballet, J.; Barbiellini, G.; Bastieri, D.; Gonzalez, J.B.; Bellazzini, R.; Bissaldi, E.; Bloom, E.D.; et al. The Fourth Catalog of Active Galactic Nuclei Detected by the Fermi Large Area Telescope. Astrophys. J. 2020, 892, 105. [Google Scholar] [CrossRef]
- Yonetoku, D.; Murakami, T.; Nakamura, T.; Yamazaki, R.; Inoue, A.K.; Ioka, K. Gamma-Ray Burst Formation Rate Inferred from the Spectral Peak Energy-Peak Luminosity Relation. Astrophys. J. 2004, 609, 935–951. [Google Scholar] [CrossRef]
- Lloyd, N.M.; Petrosian, V.; Mallozzi, R.S. Cosmological versus Intrinsic: The Correlation between Intensity and the Peak of the νFν Spectrum of Gamma-Ray Bursts. Astrophys. J. 2000, 534, 227–238. [Google Scholar] [CrossRef]
- Di Mauro, M.; Manconi, S.; Zechlin, H.S.; Ajello, M.; Charles, E.; Donato, F. Deriving the Contribution of Blazars to the Fermi-LAT Extragalactic γ-ray Background at E > 10 GeV with Efficiency Corrections and Photon Statistics. Astrophys. J. 2018, 856, 106. [Google Scholar] [CrossRef]
- Ackermann, M.; Ajello, M.; Albert, A.; Atwood, W.B.; Baldini, L.; Ballet, J.; Barbiellini, G.; Bastieri, D.; Bechtol, K.; Bellazzini, R.; et al. The Spectrum of Isotropic Diffuse Gamma-Ray Emission between 100 MeV and 820 GeV. Astrophys. J. 2015, 799, 86. [Google Scholar] [CrossRef]
- Ackermann, M.; Ajello, M.; Atwood, W.B.; Baldini, L.; Ballet, J.; Barbiellini, G.; Bastieri, D.; Gonzalez, J.B.; Bellazzini, R.; Bissaldi, E.; et al. The Third Catalog of Active Galactic Nuclei Detected by the Fermi Large Area Telescope. Astrophys. J. 2015, 810, 14. [Google Scholar] [CrossRef]
- Finke, J.D.; Razzaque, S.; Dermer, C.D. Modeling the Extragalactic Background Light from Stars and Dust. Astrophys. J. 2010, 712, 238–249. [Google Scholar] [CrossRef]






| Sample | log10() | ||||||
|---|---|---|---|---|---|---|---|
| Blazars (this work) | |||||||
| Blazars (EP-L) | − | ||||||
| Blazars (MA) | − | − | |||||
| FSRQs (this work) | |||||||
| FSRQs (EP-L) | − | ||||||
| FSRQs (MA) | − | − | |||||
| BL Lacs (this work) | |||||||
| BL Lacs (EP-L) | − | ||||||
| BL Lacs (MA) | − | − |
Disclaimer/Publisher’s Note: The statements, opinions and data contained in all publications are solely those of the individual author(s) and contributor(s) and not of MDPI and/or the editor(s). MDPI and/or the editor(s) disclaim responsibility for any injury to people or property resulting from any ideas, methods, instructions or products referred to in the content. |
© 2024 by the authors. Licensee MDPI, Basel, Switzerland. This article is an open access article distributed under the terms and conditions of the Creative Commons Attribution (CC BY) license (https://creativecommons.org/licenses/by/4.0/).
Share and Cite
Yin, X.; Zeng, H. Source Count Distribution of Fermi LAT Gamma-Ray Blazars Using Novel Nonparametric Methods. Universe 2024, 10, 340. https://doi.org/10.3390/universe10090340
Yin X, Zeng H. Source Count Distribution of Fermi LAT Gamma-Ray Blazars Using Novel Nonparametric Methods. Universe. 2024; 10(9):340. https://doi.org/10.3390/universe10090340
Chicago/Turabian StyleYin, Xuhang, and Houdun Zeng. 2024. "Source Count Distribution of Fermi LAT Gamma-Ray Blazars Using Novel Nonparametric Methods" Universe 10, no. 9: 340. https://doi.org/10.3390/universe10090340
APA StyleYin, X., & Zeng, H. (2024). Source Count Distribution of Fermi LAT Gamma-Ray Blazars Using Novel Nonparametric Methods. Universe, 10(9), 340. https://doi.org/10.3390/universe10090340

